Оценка качества обслуживания промышленного здания
Оценка качества обслуживания
промышленного здания
Введение
промышленный здание нечеткий множество
Данная курсовая работа строится на основе теории нечетких множеств. С
помощью этой теории и экспертных оценок, мы выявим общую оценку качества
обслуживания промышленного здания.
Для теории нечетких множеств основополагающим понятием является понятие
нечеткого множества, которое характеризуется функцией принадлежности. Основной
трудностью, мешающей интенсивному применению теории нечетких множеств при
решении практических задач, является то, что функция принадлежности должна быть
задана вне самой теории и, следовательно, ее адекватность не может быть
проверена средствами теории. В каждом существующем в настоящее время методе
построения функции принадлежности формулируются свои требования и обоснования к
выбору именно такого построения.
Л. Заде предложил оценивать степень принадлежности числами из отрезка
{0;1}. Фиксирование конкретных значений при этом носит субъективный характер. С
одной стороны, для экспертных методов важным является характер измерений
(первичный или производный) и тип шкалы, в которой получают информацию от
эксперта и которая определяет допустимый вид операций, принимаемых к экспертной
оценке. С другой стороны, имеются два типа свойств: те, которые можно
непосредственно измерить, и те, которые являются качественными и требуют
попарного сравнения объектов, обладающих оцениваемым свойством, чтобы
определить их место по отношению к рассматриваемому понятию.
1. Практическая часть
.1 Исходные данные
В примере промышленного здания можно выделить очень много показателей,
которые влияют на качество его обслуживания. Мы будем рассматривать наиболее
важные:
. Трансформаторные подстанции.
. Лифты, подъемники, эскалаторы.
. Компьютерная техника.
. Телефонная связь.
Далее присвоим каждому параметру по три значения и обозначим их буквами
для удобного дальнейшего использования.
|
1
|
Трансформаторные подстанции
|
Количество сбоев за год
|
8
|
|
2
|
Лифты, подъемники, эскалаторы
|
Количество сбоев за год
|
14
|
|
3
|
Компьютерная техника
|
Количество усовершенствований за 5 лет
|
3
|
|
4
|
Телефонная связь
|
Количество сбоев за год
|
250
|
|
Трансформаторные подстанции
|
|
12-16 Высокое А1 6-12 Среднее А2 2-6 Низкое А3
|
|
Лифты, подъемники, эскалаторы
|
|
14-18 Высокое В1 8-14 Среднее В2 2-8 Низкое В3
|
|
Компьютерная техника
|
|
4-5 Высокое С1 2-4 Среднее С2 1-2 Низкое С3
|
|
Телефонная связь
|
|
250-350 Высокое D1 150-250 Среднее D2 50-150 Низкое D3
|
1.2 Построение функций принадлежности для каждого показателя
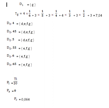
.2.1 Трансформаторные подстанции по А1
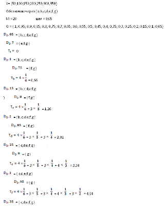
Х= {2, 4, 6, 8, 10, 12, 14, 16}
Обозначим через { a,b,c,d,e,f,g,h}
M = 25
шаг = 0,04
Q = {
1; 0,96; 0,92; 0,88; 0,84; 0,8; 0,76; 0,72; 0,68; 0,64; 0,6; 0,56; 0,52; 0,48;
0,44; 0,4; 0,36; 0,32; 0,28; 0,24; 0,2; 0,16; 0,12; 0,08; 0,04}
Трансформаторные подстанции по А2.
Х= {2, 4, 6, 8, 10, 12, 14, 16}
Обозначим через { a,b,c,d,e,f,g,h}
M = 25
шаг = 0,04
Q = {
1; 0,96; 0,92; 0,88; 0,84; 0,8; 0,76; 0,72; 0,68; 0,64; 0,6; 0,56; 0,52; 0,48;
0,44; 0,4; 0,36; 0,32; 0,28; 0,24; 0,2; 0,16; 0,12; 0,08; 0,04}
Трансформаторные подстанции на графике.
|
A1
|
A2
|
A3
|
|
2
|
0
|
0
|
1
|
|
4
|
0,119
|
0,12
|
0,84
|
|
6
|
0,281
|
0,52
|
0,678
|
|
8
|
0,481
|
0,76
|
0,558
|
|
10
|
0,637
|
1
|
0,358
|
|
12
|
0,76
|
0,88
|
0,158
|
|
14
|
0,88
|
0,32
|
0,098
|
|
16
|
1
|
0
|
0
|
|
18
|
1
|
0
|
0
|
Х0
= 8
|
А1
|
А2
|
А3
|
|
0,481
|
0,76
|
0,558
|
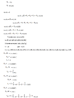
.2.2 Лифты, подъемники, эскалаторы по В1
Х= {2, 4, 6, 8, 10, 12, 14, 16, 18}
Обозначим через { a,b,c,d,e,f,g,h, j}
M = 25
шаг = 0,04
Q = {
1; 0,96; 0,92; 0,88; 0,84; 0,8; 0,76; 0,72; 0,68; 0,64; 0,6; 0,56; 0,52; 0,48;
0,44; 0,4; 0,36; 0,32; 0,28; 0,24; 0,2; 0,16; 0,12; 0,08; 0,04}

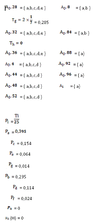
= { b,c,d,e,f,g,h,j}

= { e,f,g,h,j}

0

= { b,c,d,e,f,g,h,j}

= { e,f,g,h,j}

= 0,375

= { b,c,d,e,f,g,h,j}

= { f,g,h,j}

+ 4

= 0,946

= { c,d,e,f,g,h,j}

= { f,g,h,j}

+ 4

+ 5 

= 1,779

= { c,d,e,f,g,h,j}

= { g,h,j}

+ 4

+ 5 

+ 3 

= 2,379

= { c,d,e,f,g,h,j}

= { g,h,j}

+ 4

+ 5 

+ 3 

+ 2 

= 2,879

= { c,d,e,f,g,h,j}

= { g,h,j}

+ 4

+ 5 

+ 3 

+ 2 

+ 3 

= 3,879

= { d,e,f,g,h,j}

= { h,j}

+ 4

+ 5 

+ 4 

+ 3 

+ 3 

+ 2=
5,879

= { d,e,f,g,h,j}

= { h,j}

+ 4

+ 5 

+ 4 

+ 3 

+ 3 

+ 2 + 3=
8,879

= { d,e,f,g,h,j}

= { j}

= { d,e,f,g,h,j}

= { j}

= { d,e,f,g,h,j}

= { j}

= { e,f,g,h,j}

= 

= 

= 0,038

= 0,095

= 0,155

= 0,354

= 0,015

= 0,071

= 0,115

= 0,255

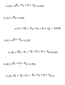
(А) = 0

(E) = 
= 0,524

(J) =


= 1

(B) =
8
= 0,12


(C) =
7
= 0,281

(G) = 

=0,839

(D) =
6
= 0,479

(H) =


=0,939
Лифты,
подъемники, эскалаторы по В2.
Х=
{2, 4, 6, 8, 10, 12, 14, 16, 18}
Обозначим
через { a,b,c,d,e,f,g,h, j}
M = 25 шаг =
0,04
Q = {1; 0,96;
0,92; 0,88; 0,84; 0,8; 0,76; 0,72; 0,68; 0,64; 0,6; 0,56; 0,52; 0,48; 0,44;
0,4; 0,36; 0,32; 0,28; 0,24; 0,2; 0,16; 0,12; 0,08; 0,04}
Лифты,
подъемники, эскалаторы на графике.
|
A1
|
A2
|
A3
|
|
2
|
0
|
0
|
1
|
|
4
|
0,12
|
0,119
|
0,88
|
|
6
|
0,281
|
0,359
|
0,8
|
|
8
|
0,479
|
0,678
|
0,68
|
|
10
|
0,524
|
1
|
0,6
|
|
12
|
0,67
|
0,838
|
0,4
|
|
14
|
0,839
|
0,519
|
0,274
|
|
16
|
0,939
|
0,239
|
0,12
|
|
18
|
1
|
0
|
0
|
Х0
= 14
|
В1
|
В2
|
В3
|
|
0,839
|
0,519
|
0,274
|
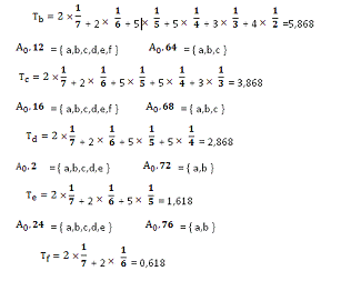
.2.3 Компьютерная техника по С1
Компьютерная техника по С2.

+ 7

+ 7 =
12,5

= { b,c,d }

=
{ a,b,c }

=
{ a,b,c } 

=
{ a,b,c }

=
{ a,b,c }

=
{ a,b }

=
{ a,b }
Компьютерная
техника на графике.
|
A1
|
A2
|
A3
|
|
1
|
0
|
0
|
1
|
|
2
|
0,24
|
0,3
|
0,8
|
|
3
|
0,51
|
1
|
0,56
|
|
4
|
0,75
|
0,65
|
0,32
|
|
5
|
1
|
0
|
0
|
Х0
= 3
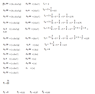
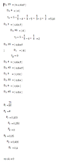
1.2.4 Телефонная связь по D1

= 0,167

= 0,392

= 0,033

(E) =
2
= 0,849

(G) =
0

(D) = 
= 1

(B) =
5
= 0,25

(F) =
4
= 0,45

(C) =
3
= 0,7

=
{ a }


=
{ a,b,c,d,e }

=
{ a,b,c,d } 

=
{ a,b,c,d }
Телефонная
связь на графике.
|
A1
|
A2
|
A3
|
|
50
|
0
|
0
|
1
|
|
100
|
0,198
|
0,25
|
0,898
|
|
150
|
0,353
|
0,7
|
0,748
|
|
200
|
0,497
|
1
|
0,598
|
|
250
|
0,698
|
0,849
|
0,398
|
|
300
|
0,848
|
0,45
|
0,198
|
|
350
|
1
|
0
|
0
|
Х0
= 250
|
D1
|
D2
|
D3
|
|
0,698
|
0,849
|
0,398
|
1.3 Отбор комбинаций значений показателей
|
А1
|
В1
|
С1
|
D1
|
R3
|
|
А1
|
В1
|
С1
|
D2
|
R3
|
|
А1
|
В1
|
С1
|
D3
|
R2
|
|
А1
|
В1
|
С2
|
D1
|
R3
|
|
А1
|
В1
|
С2
|
D2
|
R3
|
В1
|
С2
|
D3
|
R2
|
|
А1
|
В1
|
С3
|
D1
|
R3
|
|
А1
|
В1
|
С3
|
D2
|
R3
|
|
А1
|
В1
|
С3
|
D3
|
R3
|
|
А1
|
В2
|
С1
|
D1
|
R3
|
|
А1
|
В2
|
С1
|
D2
|
R2
|
|
А1
|
В2
|
С1
|
D3
|
R2
|
|
А1
|
В2
|
С2
|
D1
|
R3
|
|
А1
|
В2
|
С2
|
D2
|
R2
|
|
А1
|
В2
|
С2
|
D3
|
R2
|
|
А1
|
В2
|
С3
|
D1
|
R3
|
|
А1
|
В2
|
С3
|
D2
|
R3
|
|
А1
|
В2
|
С3
|
D3
|
R2
|
|
А1
|
В3
|
С1
|
D1
|
R2
|
|
А1
|
В3
|
С1
|
D2
|
R2
|
|
А1
|
В3
|
С1
|
D3
|
R2
|
|
А1
|
В3
|
С2
|
D1
|
R2
|
|
А1
|
В3
|
С2
|
D2
|
R2
|
|
А1
|
В3
|
С2
|
D3
|
R2
|
|
А1
|
В3
|
С3
|
D1
|
R3
|
|
А1
|
В3
|
С3
|
D2
|
R2
|
|
А1
|
В3
|
С3
|
D3
|
R2
|
|
А2
|
В1
|
С1
|
D1
|
R2
|
|
А2
|
В1
|
С1
|
D2
|
R2
|
|
А2
|
В1
|
С1
|
D3
|
R2
|
|
А2
|
В1
|
С2
|
D1
|
R3
|
|
А2
|
В1
|
С2
|
D2
|
R2
|
|
А2
|
В1
|
С2
|
D3
|
R2
|
|
А2
|
В1
|
С3
|
D1
|
R3
|
|
А2
|
В1
|
С3
|
D2
|
R2
|
|
А2
|
В1
|
С3
|
D3
|
R2
|
|
А2
|
В2
|
С1
|
D1
|
R2
|
|
А2
|
В2
|
С1
|
D2
|
R2
|
|
А2
|
В2
|
С1
|
D3
|
R1
|
|
А2
|
В2
|
С2
|
D1
|
R2
|
|
А2
|
В2
|
С2
|
D2
|
R2
|
|
А2
|
В2
|
С2
|
D3
|
R2
|
|
А2
|
В2
|
С3
|
D1
|
R2
|
|
А2
|
В2
|
С3
|
D2
|
R2
|
|
А2
|
В2
|
С3
|
D3
|
R2
|
|
А2
|
В3
|
С1
|
D1
|
R2
|
|
А2
|
В3
|
С1
|
D2
|
R1
|
|
А2
|
В3
|
С1
|
D3
|
R1
|
|
А2
|
В3
|
С2
|
D1
|
R2
|
|
А2
|
В3
|
С2
|
D2
|
R2
|
|
А2
|
В3
|
С2
|
D3
|
R1
|
|
А2
|
В3
|
С3
|
D1
|
R2
|
|
А2
|
В3
|
С3
|
D2
|
R2
|
|
А2
|
В3
|
С3
|
D3
|
R2
|
|
А3
|
В1
|
С1
|
D1
|
R2
|
|
А3
|
В1
|
С1
|
D2
|
R2
|
|
А3
|
В1
|
С1
|
D3
|
R1
|
|
А3
|
В1
|
С2
|
D1
|
R2
|
|
А3
|
В1
|
С2
|
D2
|
R2
|
|
А3
|
В1
|
С2
|
D3
|
R2
|
|
А3
|
В1
|
С3
|
D1
|
R3
|
|
А3
|
В1
|
С3
|
D2
|
R2
|
|
А3
|
В1
|
С3
|
D3
|
R2
|
|
А3
|
В2
|
С1
|
D1
|
R2
|
|
А3
|
В2
|
С1
|
D2
|
R2
|
|
А3
|
В2
|
С1
|
D3
|
R1
|
|
А3
|
В2
|
С2
|
D1
|
R2
|
|
А3
|
В2
|
С2
|
D2
|
R2
|
|
А3
|
В2
|
С2
|
D3
|
R1
|
|
А3
|
В2
|
С3
|
D1
|
R2
|
|
А3
|
В2
|
С3
|
D2
|
R2
|
|
А3
|
В2
|
С3
|
D3
|
R2
|
|
А3
|
В3
|
С1
|
D1
|
R1
|
|
А3
|
В3
|
С1
|
D2
|
R1
|
|
А3
|
В3
|
С1
|
D3
|
R1
|
|
А3
|
С2
|
D1
|
R2
|
|
А3
|
В3
|
С2
|
D2
|
R1
|
|
А3
|
В3
|
С2
|
D3
|
R1
|
|
А3
|
В3
|
С3
|
D1
|
R2
|
|
А3
|
В3
|
С3
|
D2
|
R2
|
|
А3
|
В3
|
С3
|
D3
|
R1
|
|
R1
|
MIN
|
|
A2
|
B2
|
C1
|
D3
|
0,398
|
|
A2
|
B3
|
C1
|
D2
|
0,274
|
|
A2
|
B3
|
C1
|
D3
|
0,274
|
|
A2
|
B3
|
C2
|
D3
|
0,274
|
|
А3
|
В1
|
С1
|
D3
|
0,398
|
|
А3
|
В2
|
С1
|
D3
|
0,398
|
|
А3
|
В2
|
С2
|
D3
|
0,398
|
|
А3
|
В3
|
С1
|
D1
|
0,274
|
|
А3
|
В3
|
С1
|
D2
|
0,274
|
|
А3
|
В3
|
С1
|
D3
|
0,274
|
|
А3
|
В3
|
С2
|
D2
|
0,274
|
|
А3
|
В3
|
С2
|
D3
|
0,274
|
|
А3
|
В3
|
С3
|
D3
|
0,274
|
|
|
|
|
|
|
MAX=0,398
|
|
|
|
|
R2
|
MIN
|
|
А1
|
В1
|
С1
|
D3
|
0,398
|
|
А1
|
В1
|
С2
|
D3
|
0,398
|
|
А1
|
В2
|
С1
|
D2
|
0,481
|
|
А1
|
В2
|
С1
|
D3
|
0,398
|
|
А1
|
В2
|
С2
|
D2
|
0,481
|
|
А1
|
В2
|
С2
|
D3
|
0,398
|
|
А1
|
В2
|
С3
|
D3
|
0,398
|
|
А1
|
В3
|
С1
|
D1
|
0,274
|
|
А1
|
В3
|
С1
|
D2
|
0,274
|
|
А1
|
В3
|
С1
|
D3
|
0,274
|
|
А1
|
В3
|
С2
|
D1
|
0,274
|
|
А1
|
В3
|
С2
|
D2
|
0,274
|
|
А1
|
В3
|
С2
|
D3
|
0,274
|
|
А1
|
В3
|
С3
|
D2
|
0,274
|
|
А1
|
В3
|
С3
|
D3
|
0,274
|
|
А2
|
В1
|
С1
|
D1
|
0,51
|
|
А2
|
В1
|
С1
|
D2
|
0,51
|
|
А2
|
В1
|
С1
|
D3
|
0,398
|
|
А2
|
В1
|
С2
|
D2
|
0,558
|
|
А2
|
В1
|
С2
|
D3
|
0,398
|
|
А2
|
В1
|
С3
|
D2
|
0,558
|
|
А2
|
В1
|
С3
|
D3
|
0,398
|
|
А2
|
В2
|
С1
|
D1
|
0,51
|
|
А2
|
В2
|
С1
|
D2
|
0,51
|
|
А2
|
В2
|
С2
|
D1
|
0,519
|
|
А2
|
В2
|
С2
|
D2
|
0,519
|
|
А2
|
В2
|
С2
|
D3
|
0,398
|
|
А2
|
В2
|
С3
|
D1
|
0,519
|
|
А2
|
В2
|
С3
|
D2
|
0,519
|
|
А2
|
В2
|
С3
|
D3
|
0,398
|
|
А2
|
В3
|
С1
|
D1
|
0,274
|
|
А2
|
В3
|
С2
|
D1
|
0,274
|
|
А2
|
В3
|
С2
|
D2
|
0,274
|
|
А2
|
В3
|
С3
|
D1
|
0,274
|
|
А2
|
В3
|
С3
|
D2
|
0,274
|
|
А2
|
В3
|
С3
|
D3
|
0,398
|
|
А3
|
В1
|
С1
|
D1
|
0,51
|
|
А3
|
В1
|
С1
|
D2
|
0,51
|
|
А3
|
В1
|
С2
|
D1
|
0,698
|
|
А3
|
В1
|
С2
|
D2
|
0,76
|
|
А3
|
В1
|
С2
|
D3
|
0,398
|
|
А3
|
В1
|
С3
|
D2
|
0,56
|
|
А3
|
В1
|
С3
|
D3
|
0,398
|
|
А3
|
В2
|
С1
|
D1
|
0,51
|
|
А3
|
В2
|
С1
|
D2
|
0,51
|
|
А3
|
В2
|
С2
|
D1
|
0,519
|
|
А3
|
В2
|
С2
|
D2
|
0,519
|
|
А3
|
В2
|
С3
|
D1
|
0,519
|
|
А3
|
В2
|
С3
|
D2
|
0,519
|
|
А3
|
В2
|
С3
|
D3
|
0,398
|
|
А3
|
В3
|
D1
|
0,274
|
|
А3
|
В3
|
С3
|
D1
|
0,274
|
|
А3
|
В3
|
С3
|
D2
|
0,274
|
|
MAX=0,76
|
|
|
|
|
R3
|
MIN
|
|
А1
|
В1
|
С1
|
D1
|
0,481
|
|
А1
|
В1
|
С1
|
D2
|
0,481
|
|
А1
|
В1
|
С2
|
D1
|
0,481
|
|
А1
|
В1
|
С2
|
D2
|
0,481
|
|
А1
|
В1
|
С3
|
D1
|
0,481
|
|
А1
|
В1
|
С3
|
D2
|
0,481
|
|
А1
|
В1
|
С3
|
D3
|
0,398
|
|
А1
|
В2
|
С1
|
D1
|
0,481
|
|
А1
|
В2
|
С2
|
D1
|
0,481
|
|
А1
|
В2
|
С3
|
D1
|
0,481
|
|
А1
|
В2
|
С3
|
D2
|
0,481
|
|
А1
|
В3
|
С3
|
D1
|
0,274
|
|
А2
|
В1
|
С3
|
D1
|
0,558
|
|
А2
|
В1
|
С2
|
D1
|
0,558
|
|
А3
|
В1
|
С3
|
D1
|
0,56
|
|
MAX=0,56
|
|
|
|
|
|
|
|
|
|
|
|
|
|
|
|
Заключение
После нахождения максимумов и минимумов мы получили следующие значения:
|
R1
|
R2
|
R3
|
|
MAX=0,398
|
MAX=0,76
|
MAX=0,56
|
Из этого следует, что качество обслуживания у нас попало в категорию R2. Это означает, что необходимо
принять меры по улучшению данных параметров. В первую очередь нужно обратить
внимание на обслуживание телефонной связи. Необходимо провести диагностику
причин возникновения сбоев. Также необходимо наладить работу лифтов,
подъемников и эскалаторов, в случае необходимости произвести полную смену
оборудования. Работа трансформаторной подстанции поддерживается на должном
уровне, но возможно и улучшение показателей для наилучших результатов работы.
Компьютерную технику по возможности нужно чаще усовершенствовать.
Качество обслуживания промышленного здания - важный элемент при производстве
продукции. Поэтому нужно уделять должное внимание этому фактору.