Структурные схемы надежности
СОДЕРЖАНИЕ
Введение
1. Виды расчётов надёжности элементов и систем
. Основные этапы расчёта надёжности элементов и систем
3. Метод структурной схемы надежности
4. Расчёт надёжности, основанный на использовании
параллельно-последовательных структур
.1 Расчётные формулы для элементов, соединённых параллельно в
структурной схеме надёжности
.2 Расчётные формулы для элементов, соединённых
последовательно в структурной схеме надёжности
. Способы преобразования сложных структурных схем надёжности
.1 Метод перебора состояний
.2 Преобразование с эквивалентной заменой треугольника в
звезду
.3 Преобразование с помощью разложения сложной структуры по
базовому элементу
Заключение
Список используемых источников информации
ВВЕДЕНИЕ
Надежностью называют свойство объекта сохранять во
времени в установленных пределах значения всех параметров, характеризующих
способность выполнять требуемые функции в заданных режимах и условиях
применения, технического обслуживания, ремонтов, хранения и транспортировки.
Расширение условий эксплуатации, повышение ответственности выполняемых
техническими устройствами функций, их усложнение приводит к повышению
требований к надежности изделий.
Технические устройства подразделяются на элементы и
системы, причем система состоит из элементов. Элементы, составляющие систему,
могут быть соединены между собой различным образом. С точки зрения надежности,
такие соединения представляют собой структуры, каждая из которых имеет свой
способ расчета. Такой расчет представляет собой расчет надежности, состоящий из
нескольких этапов, которые будут рассмотрены далее в этой работе.
1. ВИДЫ РАСЧЁТОВ НАДЁЖНОСТИ ЭЛЕМЕНТОВ И СИСТЕМ
Расчёты надёжности - это расчёты, предназначенные для определения
количественных показателей надёжности.
На этапе проектирования расчёт надёжности проводится с целью
прогнозирования надёжности проектируемой системы.
На этапе испытаний и эксплуатации расчёт надёжности проводится для оценки
количественных показателей надёжности спроектированной системы.
Многочисленные цели расчётов надёжности определяет большое их
разнообразие. Основные виды расчётов надёжности на этапе проектирования могут
быть представлены схемой, приведённой на (рис. 1).
При этом,
расчёт элементной надёжности - это определение показателей надёжности
изделия, обусловленных надёжностью его комплектующих частей;
расчёт функциональной надёжности - это определение показателей надёжности
выполнения заданных функций.
|
элементный
|
|
функциональный
|
|
простых изделий
|
|
сложных изделий
|
|
не резервир. изделий
|
|
резервир. изделий
|
|
без восстановления
|
|
с восстановлением
|
|
с учётом только внезапн.
отказов
|
|
с учётом различных видов
отказов
|
Рисунок - 1. Основные виды расчётов надёжности
Исходными данными при расчётах надёжности систем являются:
принципиальные схемы с указанием типов элементов, входящих в систему или
спецификаций;
режимы работы всех элементов (электрические, климатические, механические
и т. д.);
значения интенсивностей отказов всех элементов при номинальных и
фактических режимах, а также значения среднего времени исправной работы и
дисперсии для элементов, подверженных постепенным отказам.
|
Словесное описание условий
работоспособности
|
|
расчленение системы на
составные части
|
|
определение вида расчёта
надёжности
|
|
расчленение на заданные
функции
|
|
расчёт надёжности частей
(элементов) системы
|
|
составление структурной
схемы надёжности
|
|
опред. действующих факторов
и расчёт их влияния
|
|
параллельно - последов.
cтруктура
|
|
ветвящаяся структура
|
|
логическая функция
|
|
графы переходов
|
|
составление набора
расчётных формул
|
|
расчёт надёжности системы
|
|
анализ результатов расчёта
|
Рисунок - 2. Последовательность расчёта надёжности
Последовательность расчётов надёжности можно представить схемой,
представленной на рис. 2.
2. ОСНОВНЫЕ ЭТАПЫ РАСЧЁТА НАДЁЖНОСТИ ЭЛЕМЕНТОВ И СИСТЕМ
Расчёт надежности элементов и систем можно разделить на несколько этапов.
На первом этапе должно быть осуществлено разделение рассматриваемой
системы на отдельные элементы.
В качестве элементов здесь следует рассматривать первичные элементы, например,
транзисторы, резисторы, конденсаторы, подшипники и т. д. Для систем в качестве
элементов могут рассматриваться отдельные устройства, модули, блоки, показатели
надёжности которых известны или должны определяться отдельно.
Для первичных элементов характеристики надежности определяются либо путем
проведения специальных испытаний на надежность ,либо по данным эксплуатации.
Следует отметить, что первичные элементы тоже могут быть разделены на составные
части. Глубина декомпозиции определяется целями расчёта надёжности. Например,
для резистора такими составными частями могут быть выводы, основание для
токопроводящего слоя, токопроводящий слой и т. д.
На втором этапе формулируется понятие отказа для отдельных элементов и
для системы в целом.
Вначале это понятие формулируется по внезапным отказам. Например, для
конденсаторов и резисторов отказы могут проходить за счет обрывов и коротких
замыканий, причем для конденсаторов - в основном за счёт коротких замыканий, а
для резисторов - в основном за счёт обрывов. Для транзисторов внезапные отказы
могут возникать как за счёт пробоя переходов, так и обрывов выводов.
Затем формулируется это понятие по постепенным отказам. В процессе
эксплуатации параметры первичных элементов изменяются во времени (сопротивление
у резисторов, ёмкость у конденсаторов, коэффициент передачи по току у
транзисторов и т. д.). В результате расчёта схем определяются допустимые
значения параметров первичных элементов, при достижении которых система
отказывает. Отказ первичного элемента происходит при достижении предельных
значений.
На третьем этапе составляется логическая или структурная схема расчета
надежности.
При этом под структурной схемой надёжности понимается наглядное
представление, графическое или в виде логических соотношений, условий, при
которых система или объект находятся в работоспособном состоянии.
Метод структурной схемы надежности, определяемый ГОСТ Р51901. 14-2005
(МЭК 61078: 1991) является одним из методов, часто используемых в инженерной
практике при анализе рисков технических и технологических систем. Метод
позволяет строить модели технических систем и оценивать вероятности возможных
благоприятных и неблагоприятных их состояний. Поэтому, этот метод часто
применяется также в различных аналитических методах исследования надёжности.
На четвертом этапе проводится определение характеристик безотказности
всех групп элементов, входящих в систему. Расчет характеристик безотказности
производится раздельно для невосстанавливаемых и восстанавливаемых элементов,
причем учитывается влияние нагрузки на надежность элементов, цикличность и
периодичность их работы. Характеристики безотказности раздельно определяются по
внезапным и постепенным отказам.
На пятом этапе осуществляется определение характеристик восстановления
всех групп элементов, которые имеют основное соединение и в которых
предусмотрено восстановление.
На седьмом этапе осуществляется определение характеристик надежности с
учетом резервирования, временной и структурной избыточности и т. д.
В зависимости от предъявляемых требований расчет характеристик
надежности на каждом этапе может быть разделен на две группы:
предварительный расчет надежности и окончательный расчет надежности.
При предварительном расчете учитываются только основные факторы, влияющие
на надежность.
При окончательном расчете учитываются все факторы, влияющие на
надёжность.
Завершающим этапом расчёта надёжности является анализ результатов расчёта
надёжности. Основные процедуры анализа надёжности определяются ГОСТом Р51901.
5-2005 «Менеджмент риска. Руководство по применению методов анализа
надёжности».
3. МЕТОД СТРУКТУРНОЙ СХЕМЫ НАДЕЖНОСТИ
Предпосылкой для построения моделей надежности системы в виде структурных
схем является изображение путей сигнала, обеспечивающих работоспособность
системы. Часто требуется более одного определения отказа системы. Отказы
системы должны быть определены и перечислены.
Кроме того, необходимы чёткие инструкции по:
функциям, выполняемым системой;
параметрам эффективности и допустимым границам изменения параметров;
режимам эксплуатации системы и условиям окружающей среды.
При разработке модели системы сначала необходимо дать определение
работоспособного состояния системы. Если возможно более одного определения, то
для каждого определения может потребоваться отдельная структурная схема
надежности. Затем необходимо разделить систему на блоки так, чтобы определить
логику их взаимодействия в системе. При этом каждый блок должен быть
статистически независимым и максимально большим. В то же время каждый блок не
должен содержать, (по возможности), резервирования. Для простоты числовой
оценки каждый блок должен содержать только такие элементы, которые
соответствуют одному и тому же статистическому распределению наработок до
отказа.
Затем, используя определение отказа системы, строится структурная схема,
в которой подключение блоков формирует «путь успеха» системы. При этом пути
между портами ввода и вывода проходят через такие комбинации блоков, которые
должны обеспечивать функционирование системы. Если для функционирования системы
требуется, чтобы функционировали все блоки, то соответствующей структурной
схемой является такая схема, в которой все блоки соединены последовательно, как
показано на рис. 3.
O
I
Рисунок - 3. Последовательное соединение элементов:- входной порт, O
-порт вывода, A, B, C, n -блоки системы
Структурные схемы этого типа называются последовательными структурными
схемами надежности или основным соединением элементов. Из-за статистической
независимости отказ любого блока не должен повышать вероятность отказа любого
другого блока системы.
На практике встречаются системы, для работы которых необходимо
функционирование m или более из n элементов, соединенных параллельно.
Структурная схема системы, для которой n=3, m=2 имеет вид, показанный на рис.
4. Таким образом, изображенная на рисунке система допускает отказ не более
одного элемента.
I O
Рисунок - 4. Структурная схема надёжности с мажоритарным резервированием
М - мажоритарный или голосующий элемент
Большинство структурных схем надежности легко понятны, а требования к
работе системы - очевидны. Однако не все структурные схемы являются
комбинациями последовательных или параллельных систем. Пример такой структурной
схемы представлен на рис 5.
I O
Рисунок - 5. Сложная структурная схема надёжности
расчет надежность схема структурный
Представленная система находится в рабочем состоянии, если одновременно
работают элементы В1 и С1 или А и С1, или А и С2, или В2 и С2. Работы элементов
В1 и С2 или В2 и С1 недостаточно для работы системы.
Необходимо заметить, что на всех приведенных выше структурных схемах ни
один элемент не появляется более одного раза. Более сложные структурные схемы
надёжности получаются как комбинации рассмотренных выше структурных схем.
Существует много технических систем, работоспособность которых
определяется работоспособностью её элементов или блоков в различных сочетаниях.
При этом одни и те же элементы могут входить в несколько таких сочетаний.
Пример такой структурной схемы надёжности приведён на рис. 6.
A C
I O
B D
Рисунок - 6. Мостовая структурная схема надёжности
Пути между портами ввода и вывода проходят по направлению стрелок через
такие комбинации блоков, которые должны обеспечивать функционирование системы.
Работоспособность системы может быть представлена, в соответствии со
структурной схемой надежности, в виде параллельно-последовательной структуры,
приведённой на рис. 7. Эта структурная схема была получена на основе анализа и
выделения пар элементов, одновременный отказ которых приводит к отказу системы.
I O
Рисунок - 7. Параллельно-последовательная структурная схема надёжности
Таким образом, при работе со структурными схемами типа, представленного
на рис. 6, необходимо проводить более глубокий анализ работоспособности системы
с целью учёта всех возможных путей потоков между входными и выходными портами
системы.
Необходимо отметить, что структурная схема расчёта надежности отличается
от электрической схемы, а в ряде случаев может отличаться и от функциональной.
Покажем это на конкретном примере. Рассмотрим параллельное соединение двух
конденсаторов (рис. 8). Так как основным видом отказа здесь является пробой
конденсатора, то отказ схемы произойдет при отказе любого элемента. Тогда схема
для расчета надежности будет представлять собой основное (последовательное)
соединение двух элементов.
С1
С а б
Рисунок - 8. Параллельное соединение конденсаторов:
а - принципиальная схема; б - структурная схема надёжности
Для того чтобы можно было произвести расчёт показателей надёжности
системы или объекта по их структурным схемам надёжности, необходимо знать
правила преобразования структурных схем надёжности.
4. РАСЧЁТ НАДЁЖНОСТИ, ОСНОВАННЫЙ НА ИСПОЛЬЗОВАНИИ
ПАРАЛЛЕЛЬНО-ПОСЛЕДОВАТЕЛЬНЫХ СТРУКТУР
Расчёт надёжности по структурным схемам надёжности ведётся
последовательно, начиная от расчёта элементарных узлов структуры, содержащих
только последовательно или параллельно соединённые звенья, к её более сложным
узлам. Поэтому рассмотрим правила преобразования структурных схем надёжности,
содержащих только параллельно соединённые звенья или последовательно
соединённые звенья.
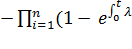
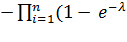
Параллельным соединением элементов в структурной схеме надежности
называется такое соединение, при котором система отказывает только при отказе
всех n элементов, образующих эту схему (рис.9).
Согласно определению,
Qc (t) = q1(t) 
q2(t) 
… 
qn(t) = 
i(t)
= 
i(t))
Отсюда
(t) = 1 - Qc(t) = 1 

i(t))
1
Рисунок
- 9. Структурная схема надежности с параллельным соединением элементов
С
учетом интенсивности отказов выражение примет вид
Pc (t) = 1
i(t )dt).
Для случая равнонадежных элементов имеем
Pc (t) =
1
i(t )dt)n,
а при λ = const последнее выражение примет
вид
Pc (t) =
1
it).
Основные правила расчета надежности при
последовательном и параллельном соединениях элементов в структурной схеме
надежности можно формулировать следующим образом:
определить количество элементов, составляющих
структурную схему надежности;
из справочных таблиц или статистики определить
интенсивность отказов λi каждого элемента;
на основании λi по формулам видов соединений в
структурных схемах надежности определяется ВБР.
4.2 расчётные формулы для
элементов, соединённых последовательно в структурной схеме надёжности
Последовательное соединение в структурной схеме
надежности - это такое соединение, при котором отказ хотя бы одного элемента
приводит к отказу всей системы в целом (рис.10).
2 n
. . .
Рисунок - 10. Структурная схема надежности с последовательным соединением
элементов
Этот тип соединения в теории надежности еще называет
основным соединением.
Если считать отказы элементов независимыми, то на
основании теоремы умножения вероятностей, вероятность безотказной работы ТУ
выражается следующим образом:
Pc
(t) = p1 (t)
p2(t)
…
pn (t) =

(t)
где pi (t)- вероятность безотказной работы i-о
элемента;
Pc (t) - вероятность безотказной работы системы.
Если
1 (t) = p2(2) = pn (t) = p(t)
то
Pc (t) = p n (t)
С учетом выражения вероятности безотказной работы
через интенсивность отказов можно записать
Pc (t) = 
λi(t)
Отсюда можно сделать заключение, что суммарная
интенсивность отказов n последовательно соединенных элементов находится как
сумма ин-тенсивностей отдельных элементов.
Λ∑ (t) = 
λi (t),
или,
для случая равнонадежных элементов,
λ∑(t) = nλ(t)
Для
случая λ = const имеем
(t)
= 
I t
откуда
λ∑ = 
i
Из
последнего выражения видно, что для обеспечения требуемой техническими
условиями вероятности безотказной работы ТУ при увеличении числа
последовательно соединенных элементов необходимо снижать величину интенсивности
отказов каждого элемента или, что тоже самое, принимать меры к увеличению их
средней наработки на отказ.
Нередки
случаи, когда система последовательно соединенных элементов состоит из k
подсистем, а каждая j-я (j = 1, k ) подсистема состоит из njравнонадежных
элементов. В этом случае вероятность безотказной работы системы будет
определяться выражением
(t)
= 
nj (t)
где
nj - количество равнонадежных элементов j-о типа; p(t)- вероятность безотказной
работы элемента j - й подсистемы.
Суммарная
интенсивность отказов равна
λ∑(t) = 
j λ(t)
Анализ
полученных выражений показывает:
вероятность
безотказной работы будет тем ниже, чем больше элементов в него входит;
вероятность
безотказной работы последовательного соединения будет ниже, чем эта же
вероятность у самого надежного элемента системы.
5. СПОСОБЫ ПРЕОБРАЗОВАНИЯ СЛОЖНЫХ СТРУКТУРНЫХ СХЕМ НАДЁЖНОСТИ
Относительная простота расчётов надёжности, основанных на использовании
параллельно-последовательных структур, делают их самыми распространёнными в
инженерной практике. Однако не всегда условие работоспособности системы можно
представить такой структурной схемой надёжности. Примером таких схем являются,
например, схемы, представленные на рис. 5.5, 5.6, мостиковые схемы. В этом
случае стремятся сложную структурную схему преобразовать в эквивалентную
параллельно-последовательную структурную схему или найти
формулы для вычисления вероятности безотказной работы системы на основе
анализа её состояний.
В инженерной практике наиболее часто используются следующие методы
расчёта надёжности сложных систем:
метод перебора состояний;
преобразование с эквивалентной заменой треугольника в звезду;
разложение сложной структуры по базовому элементу.
Рассмотрим кратко эти методы.
5.1 Метод перебора состояний
Рассмотрим суть метода на примере расчёта вероятности безотказной работы
«мостиковой» структурной схемы надёжности системы, представленной на рис. 11.
Состоянием системы будем называть множество состояний работающих
элементов системы.
О
I
Рисунок - 11 . «Мостиковая» структурная схема надёжности
Таблица 1
Работоспособные состояния
системы (последовательности элементов)
|
Вероятность
работоспособного состояния системы
|
|
0
|
1, 2, 3, 4, 5
|
P1P2P3P4P5
|
|
1
|
1, 2, 3, 4 1, 2, 3, 5 1, 2,
4, 5 1, 3, 4, 5 2, 3, 4, 5
|
P1P2P3P4Q5 P1P2P3P5Q4
P1P2P4P5Q3 P1P3P4P5Q2 P2P3P4P5Q1
|
|
2
|
1, 2, 3 1, 2, 4 1, 3, 4 1,
3, 5 1, 4, 5 2, 3, 4 2, 3, 5 2, 4, 5
|
P1P2P3Q4Q5 P1P2P4Q3Q5
P1P3P4Q2Q5 P1P3P5Q2Q4 P1P4P5Q2Q3 P2P3P4Q1Q5 P2P3P5Q1Q4 P2P4P5Q1Q3
|
|
3
|
1, 3 2, 4
|
P1P2Q2Q4Q5
P2P4Q1Q3Q5
|
По методу перебора состояний последовательно рассматриваются все
возможные состояния системы. Выбираются те состояния, в которых система
работоспособна. Для расчета надежности системы суммируются вероятности всех
работоспособных состояний.
Для мостиковой схемы получаем следующие работоспособные состояния,
указанные в табл. 1. Максимальное число отказавших элементов, при котором
система может быть ещё работоспособной равно трём. В таблице Pi, Qj, i 1,5 -
соответственно, вероятность безотказной работы и вероятность отказа i-го
элемента системы.
Так как все указанные в таблице работоспособные состояния системы
являются независимыми, то суммарная вероятность безотказной работы системы
будет равна сумме всех её работоспособных состояний.
Достоинством метода перебора состояний является его простота. Он
относительно легко программируется. Недостатком является громоздкость.
Для сложных систем с большим числом элементов метод может оказаться
неприменимым из-за больших вычислительных трудностей.
5.2 Преобразование с эквивалентной заменой
треугольника в звезду
Сущность этого метода заключается в том, что узел сложной конфигурации
заменяется узлом другой, более простой конфигурации, но при этом подбираются
такие характеристики нового узла, чтобы показатели надёжности преобразуемой
цепи сохранились прежними. Структурная схема надёжности, имеющая вид одинарного
моста, представлена на рис. 12, а.
а б
Рисунок - 12. Преобразование структурной схемы
надёжности
а) исходная структурная схема б) преобразованная
структурная схема
Элементы между узлами 1, 2, 3 рассматриваемой структурной схемы
надёжности считаются соединёнными по схеме «треугольника». Звено между узлами 2
и 3 не позволяет применить для преобразования и получения формулы для
вероятности безотказной работы системы правила преобразования последовательных
и параллельных соединений элементов.
На рис. 11, б представлена преобразованная структурная схема надёжности
системы. Полученная структурная схема надёжности легко преобразуется в одно
звено.
Преобразование будет эквивалентным, если вероятности связности узлов «1 и
2», «1 и 3» и «2 и 3» в обеих структурных схемах будут одинаковыми.
Исходя из этого условия, получим систему из трёх
уравнений:
P2 = 1 - (1 - P12) (1 - P13P23),P3 = 1 - (1 - P13) (1
- P12P23),2P3 = 1 - (1 -
P23) (1 - P12P13).
Решая полученную систему уравнений относительно вероятностей , Pi, i=1,3
элементов преобразованной структурной схемы надёжности, находим:
= 
,= 
,= 
.
Точное
определение вероятностей безотказной работы для исходной и эквивалентной
структурных схем надёжности другими методами и сравнение их с результатами,
определёнными с использованием формул (5.10) показывает, что метод
преобразования «треугольника в звезду» является приближённым методом.
5.3 Преобразование с помощью разложения сложной
структуры по базовому элементу
Этот способ преобразования сложных структурных схем надёжности основан на
использовании теоремы о сумме вероятностей несовместных событий, т. е. свойства
аддитивности вероятностей.
В соответствии с этой теоремой, если А и В не совместные события, а
событие С = А + В, то справедливо равенство
(C) = P(A+B) = P(A)+P(B).
В сложной структурной схеме выбирают базовый элемент или группу базовых
элементов, которые не позволяют применить для преобразования структурной схемы
основные правила преобразования параллельно-последовательных структур.
Для выбранных элементов делают следующие допущения:
. Базовый элемент находится в работоспособном состоянии на всём интервале
времени (через него проходит сигнал), вероятность безотказной работы элемента
P(t) =1, при 0≤ t ≤ ∞ .Такой элемент на структурной схеме
надёжности может быть заменён «перемычкой».
. Базовый элемент находится в неработоспособном состоянии на всём
интервале времени (через него не проходит сигнал), вероятность безотказной
работы элемента P(t) = 0, при 0 ≤ t ≤ ∞. Такой элемент на
структурной схеме надёжности может быть исключён.
Для этих случаев, представляющих собой два несовместных события, исходная
схема надёжности преобразуется в две новые схемы.
Рассмотрим, для примера, сложную структурную схему, представленную на
рис. 5.10.
Очевидно, структурная схема надёжности, соответствующая первому допущению
(событие А), должна быть дополнена последовательно включённым звеном, имеющим
вероятность безотказной работы базового элемента, как показано на рис. 13, а.
а) событие А
б) событие В
Рисунок - 13. «Предельные» структурные схемы
надёжности
Структурная схема надёжности, соответствующая второму допущению (событие
В), должна быть дополнена последовательно включённым звеном, имеющим
вероятность отказа базового элемента.
Затем находятся формулы для вероятностей безотказной работы каждой из
схем, проводится их суммирование и получается итоговая формула для вероятности
безотказной работы сложной структурной схемы надёжности.
ЗАКЛЮЧЕНИЕ
В данной работе были рассмотрены основные этапы расчета надежности
элементов и систем.
Расчеты показателей безотказности технических систем
(ТС) обычно проводятся в предположении, что как вся система, так и любой ее
элемент могут находиться только в одном из двух возможных состояний -
работоспособном и неработоспособном и отказы элементов независимы друг от
друга. Состояние системы (работоспособное или неработоспособное) определяется
состоянием элементов и их сочетанием. Поэтому теоретически возможно расчет
безотказности любой ТС свести к перебору всех возможных комбинаций состояний
элементов, определению вероятности каждого из них и сложению вероятно Расчеты
показателей безотказности ТС обычно проводятся в предположении, что как вся
система, так и любой ее элемент могут находиться только в одном из двух
возможных состояний - работоспособном и неработоспособном и отказы элементов
независимы друг от друга. Состояние системы (работоспособное или
неработоспособное) определяется состоянием элементов и их сочетанием. Поэтому
теоретически возможно расчет безотказности любой ТС свести к перебору всех
возможных комбинаций состояний элементов, определению вероятности каждого из
них и сложению вероятностей работоспособных состояний системы.
Для этого существуют структурные схемы расчета
надежности, которые облегчают расчет безотказности технических устройств в
целом.
СПИСОК ИСПОЛЬЗУЕМЫХ ИСТОЧНИКОВ ИНФОРМАЦИИ
1..http://bibliofond.ru
. Шкляр В.Н.
Ш66 Надёжность систем управления: учебное пособие / В.Н. Шкляр; Томский
политехнический университет. - Томск: Изд-во Томского политехнического
университета, 2011. - 126 с.
. Леонтьев Е.
А. Надежность экономических информационных систем: Учеб. пособие. Тамбов: Изд-
пособие. СПб.: Изд-во СПбГТУ, 2001, 89 с.
. Ермаков А.А. Основы надежности
информационных систем: учебное пособие. - Иркутск: ИрГУПС, 2006.- 151с.