Расчет надежности локальных систем без учета восстановления

  • Вид работы:
    Курсовая работа (т)
  • Предмет:
    Информационное обеспечение, программирование
  • Язык:
    Русский
    ,
    Формат файла:
    MS Word
    353,45 Кб
  • Опубликовано:
    2015-07-23
Вы можете узнать стоимость помощи в написании студенческой работы.
Помощь в написании работы, которую точно примут!

Расчет надежности локальных систем без учета восстановления















Расчет надежности локальных систем без учета восстановления

1. Основные этапы расчета надежности

Задачей расчета надежности локальных систем регулирования, контроля, защиты и дистанционного управления является определение показателей, характеризующих их безотказность и ремонтопригодность. Расчет складывается из следующих этапов: а) определение критериев и видов отказа системы и состава рассчитываемых показателей надежности; б) составление структурной (логической) схемы, основанной на анализе функционирования системы, учете резервирования, восстановления, контроля исправности элементов и др.; в) выбор метода расчета надежности с учетом принятых моделей описания процессов функционирования и восстановления; г) получение в общем виде математической модели, связывающей определяемые показатели надежности с характеристиками элементов; д) подбор данных по показателям надежности элементов; е) выполнение расчета и анализ полученных результатов.

Содержание перечисленных этапов в значительной мере зависит от выбранных критериев отказа и рассчитываемых показателей надежности, рассмотренных ранее. К наиболее характерным показателям надежности локальных систем относятся средняя наработка до отказа системы, вероятность ее безотказной работы за заданное время, коэффициент готовности, коэффициент оперативной готовности, параметр потока отказов.

Близкие по характеру показатели распространяются и на элементы системы - технические средства, с помощью которых реализуются локальные системы. Количество рассматриваемых показателей расширяется, если анализируется вероятность работы систем с ухудшенными показателями качества функционирования, т. е. при учете постепенных (метрологических) отказов элементов.

Рассмотренные показатели применяются как при создании систем, так и при их эксплуатации.

Составление структурной схемы, являющейся логической схемой для расчета надежности как системы, так и отдельного технического средства, включает некоторые моменты, на которых необходимо остановиться более подробно. Структурная схема для расчета надежности в общем случае существенно отличается от функциональной схемы. Структурной схемой для расчета надежности называется графическое отображение элементов системы, позволяющее однозначно определить состояние системы (работоспособное или неработоспособное) по состоянию (работоспособное или неработоспособное) ее элементов.

Для многофункциональных систем, например АСУ ТП, такие структурные схемы составляют по каждой функции; их обычно называют надежностными схемами функции или надежностно-функциональными схемами.

При составлении схемы элементы системы могут соединяться последовательно (рис. 1, а) или параллельно (рис. 1, б) в зависимости от их влияния на работоспособное состояние системы. Если отказ элемента независимо от его назначения вызывает отказ системы, то элемент соединяют последовательно. Если отказ системы возникает при отказе всех или части однотипных элементов, то такие элементы соединяют параллельно. Последовательное соединение элементов называют также основным, а параллельное - резервным. Для иллюстрации принципов составления структурной схемы на рис. 2 представлены упрощенная функциональная и структурные схемы трехимпульсного регулятора уровня в барабане котла. Расходомеры питательной воды FВ, пара FЛ, уровнемер уровня в барабане котла L и задатчик уровня 3д на структурной схеме включены последовательно, поскольку отказ любого из устройств, как и отказ регулирующего прибора Р, приводит к отказу регулятора уровня. Регулирующие органы РО с исполнительными механизмами ИМ могут находиться в основ ном (рис. 2, б) или резервном (рис. 2, в) соединении в зависимости от того, способна ли функционировать система с одним регулирующим органом или нет. Если для поддержания постоянства уровня в барабане котла достаточно регулирования подачи питательной воды только по одной нитке, что обычно имеет место, то исполнительные механизмы с регулирующими органами соединяются на структурной схеме параллельно, как показано на рис. 2, в, в противном случае их включают последовательно (рис. 2, б).

Рис. 1 Соединение элементов системы: а - последовательное (основное); б - параллельное (резервное); в - смешанное

Для одних и тех же локальных систем могут быть составлены различные структурные схемы в зависимости от анализируемой функции системы, если она является многофункциональной, и вида отказа. Так, для улучшения качества регулирования во многих локальных системах вводятся сигналы по производной от регулируемой величины или динамические связи между параметрами. Естественно, что отказ элементов, участвующих в формировании этих сигналов, приведет к ухудшению качества регулирования, но, как правило, не вызовет отключения системы регулирования. В связи с этим структурные схемы систем, составленные по внезапным и параметрическим отказам, могут существенно отличаться. Аналогичные структурные схемы составляют при расчете надежности технических средств, входящих в состав системы.

В качестве их элементов выступают блоки: измерительные, усиления, питания, регистрации, индикации и др. с входящими в их состав механическими (редукторы, рычажные передачи), электромеханическими (реле, двигатели, трансформаторы), радиоэлектронными (резисторы, интегральные схемы, конденсаторы) и другими элементами, имеющими индивидуальные показатели надежности. На рис. 3, а и б представлены функциональная и структурная схемы нормирующего преобразователя температуры, включающего блоки: измерительный ИБ, усилительный УБ, отрицательной обратной связи БОС и питания БП.

Рис. 2 Функциональная (а) и структурные схемы (б, в) трехимпульсного регулятора уровня в барабане котла

Рис. 3 Функциональная (а) и структурная (б) схемы нормирующего преобразователя

В настоящее время существует ряд руководящих технических материалов, регламентирующих аналитические методы расчета надежности комплекса технических средств АСУ ТП на этапе проектирования. Но при всем многообразии существующих методов расчета надежности систем последние можно разбить на три группы, относящихся к системам:

с простой структурой, сводящейся к последовательно-параллельному соединению элементов без учета их восстановления (оценка показателей безотказности);

со сложной структурой, не сводящейся к последовательно-параллельному соединению элементов, элементы системы не восстанавливаются (оценка показателей безотказности);

с восстанавливаемыми элементами как при нулевом, так и при конечном времени замены (восстановления) отказавшего элемента исправным (оценка показателей безотказности, ремонтопригодности и комплексных показателей).

Разновидности методов первых двух групп оперируют с количественными показателями безотказности при любых законах распределения наработки до отказа элементов. К числу этих методов относятся классический метод, базирующийся на основных понятиях и теоремах теории вероятности, и логико-вероятностный. Разновидности методов третьей группы определяются видом законов распределения наработки до отказа и восстановления, сложностью системы. К основным из них относятся методы переходных вероятностей и интенсивностей, использующие аппарат марковских процессов с дискретным и непрерывным временем, и метод, использующий аппарат полумарковских процессов. При анализе надежности локальных систем и функций АСУ ТП будут рассмотрены перечисленные выше методы расчета надежности.

С помощью выбранного метода, исходя из структурной схемы системы, определяют аналитические модели, связывающие ее показатели надежности с характеристиками элементов и процессов их обслуживания. Аналитические модели в виде формульных зависимостей, связывающих перечисленные величины и являющихся удобными для выполнения анализа надежности, удается получить для сравнительно простых систем при введении целого ряда упрощающих допущений в математическом описании характеристик систем и процессов. Для сложных восстанавливаемых систем, к числу которых относятся подсистемы АСУ ТП, показатели надежности часто определяются с использованием статистического (имитационного) моделирования.

Подбор характеристик надежности элементов структурной схемы систем сопряжен с трудностями, определяемыми рядом факторов. К их числу относится зависимость показателей надежности от условий эксплуатации, которые могут существенно различаться на разнородных видах производств, поэтому паспортные данные по надежности могут не соответствовать их фактическим значениям. По некоторым элементам, входящим в состав системы, эти показатели могут отсутствовать, например, по запорной арматуре, проводным и трубным линиям связи и др. По показателям ремонтопригодности устройств данные зачастую отсутствуют. В связи с этим при подборе показателей надежности элементов систем приходится пользоваться данными по надежности других устройств, близких к ним по конструкции.

Используя показатели надежности элементов, по полученным математическим моделям производят расчет показателей надежности систем, который может быть выполнен вручную или на ЭВМ с использованием соответствующих пакетов прикладных программ.

2. Методы расчета надежности невосстанавливаемых систем


При расчете вероятности безотказной работы, средней наработки до возникновения первого отказа элементы системы рассматриваются как невосстанавливаемые. В этом случае, если структура системы сводится к основному или резервному соединению элементов, при условии, что работа одного из параллельно соединенных элементов обеспечивает работоспособное состояние системы, показатели безотказности последней определяются по показателям безотказности элементов с использованием классического метода расчета надежности.

Поскольку при основном соединении элементов (см. рис. 1,а) работоспособное состояние системы имеет место при совпадении работоспособных состояний всех элементов, то вероятность этого состояния системы определяется произведением вероятностей работоспособных состояний всех элементов [16]. Если система состоит из п последовательно включенных элементов, то при вероятности безотказной работы каждого из элементов рi(t) вероятность безотказной работы системы

.         (1)

При параллельном соединении элементов и при условии, что для работы системы достаточно работы одного из включенных параллельно элементов, отказ системы является совместным событием, имеющим место при отказе всех параллельно включенных элементов. Если параллельно включены т элементов (см. рис. 1,б) и вероятность отказа каждого qj(t) = 1 - pj(t), то вероятность отказа этой системы

.                  (2)

Если структурная схема надежности системы состоит из последовательно и параллельно соединенных элементов, то расчет ее надежности может быть произведен с использованием (1), (2). Так, для системы, структурная схема надежности которой представлена на рис. 1,в, вероятность безотказной работы:

.

локальный резервирование невосстанавливаемый

Чтобы определить значение средней наработки системы до отказа и другие показатели надежности, требуется знать законы распределения времени безотказной работы элементов (наработки до отказа) системы. Поскольку на участке нормальной эксплуатации с удовлетворительной точностью в качестве закона распределения времени безотказной работы элементов может быть принят экспоненциальный, то при основном соединении элементов, если  выражение (1) примет следующий вид:

,

где .

Таким образом, при основном соединении элементов, имеющих экспоненциальный закон распределения времени безотказной работы, закон распределения времени безотказной работы системы также будет экспоненциальным, в соответствии с этим имеем

; ; ;    ( 4)

При резервном соединении т элементов, имеющих экспоненциальный закон распределения времени безотказной работы, вероятность отказа группы параллельно включенных элементов

.  (5)

Если все элементы равнонадежны и , то

; .

Таким образом, при резервном соединении элементов экспоненциальный закон распределения времени безотказной работы не сохраняется.

Рассмотренный метод расчета широко применяют для оценки надежности локальных систем и элементов, входящих в их состав. На стадии проектирования при известных интенсивностях отказов элементов оценивают вероятность безотказной работы системы и предусматривают мероприятия, направленные на ее повышение и заключающиеся в резервировании наименее надежных и наиболее ответственных элементов, облегчении условий эксплуатации, снижении уровня нагрузки и др.

Анализируют надежность на стадии проектирования обычно в несколько этапов. На первом этапе, проводимом на стадии составления технического задания на локальную систему или отдельное техническое средство, когда их структуры еще не определены, производится прикидочная оценка надежности. Она исходит из априорной информации о надежности близких по характеру систем и элементов, с помощью которых они могут быть реализованы. На втором этапе проводится ориентировочная оценка надежности. При этом известны структура системы и входящие в ее состав элементы, их показатели надежности, заданные при нормальных (номинальных) условиях эксплуатации.

Окончательный расчет надежности технических средств, иногда называемый коэффициентным, проводится на стадии завершения технического проекта, когда проведена эксплуатация опытных образцов устройства и известны условия эксплуатации всех элементов. Последние определяются уровнем нагрузок, характером изменения таких влияющих величин, как температура окружающей и регулируемой среды, уровень вибрации, колебания напряжения питания и частоты, колебания влажности и др. Учет этих величин позволяет произвести коррекцию значений интенсивностей отказов элементов. Так, их работа при пониженных нагрузках приводит к снижению интенсивностей отказов.

Влияние отклонения этих величин на интенсивность отказов учитывают путем использования поправочных коэффициентов ki

,

где  - номинальное значение интенсивности отказов, соответствующее нормальным условиям эксплуатации; k1, k2 ,..., kn - поправочные коэффициенты, учитывающие отклонения влияющих величин от нормальных значений.

Следует отметить, что достоверные данные по поправочным коэффициентам известны только для радиоэлектронных элементов, что позволяет производить окончательный расчет структурной надежности устройств, включающих эти элементы. По общепромышленным средствам АСУ ТП эти данные в подавляющем большинстве случаев отсутствуют. Последнее в значительной мере определяется разнообразием условий эксплуатации устройств в различных отраслях промышленности и сложностью получения этих данных.

Во многих случаях рассмотренный выше способ расчета надежности не может быть использован, так как не всегда схема надежности содержит последовательно-параллельное соединение элементов.

Существуют несколько разновидностей классического метода расчета надежности систем со сложной структурой, часть из которых будет рассмотрена на практических занятиях.

3. Виды резервирования


Резервированием называют способ обеспечения надёжности системы за счёт использования дополнительных средств и возможностей, избыточных по отношению к минимально необходимым при выполнении требуемых функций. Резервирование может использоваться не только для повышения надёжности, но и для повышения точности, устойчивости, достоверности и др. Иногда вместо термина «резервирование» используется словосочетание «введение избыточности». Между этими понятиями есть много общего, но есть и различия, поэтому их нельзя воспринимать как синонимы. Под избыточностью понимают превышение веса, габаритов, производительности, стоимости и других технико-экономических показателях изделия над минимально необходимыми. Ясно, что введение избыточности не означает автоматического улучшения показателей надёжности, достоверности и др. Чтобы улучшение произошло, необходимо соответствующим образом управлять избыточными ресурсами, создать определённые условия и правила их использования, а в некоторых случаях и предусмотреть специальные технические и программные средства актуализации этих ресурсов. Если это выполнено, то введение избыточности становится резервированием, и тогда оба понятия можно рассматривать как синонимы.

Виды и методы резервирования довольно разнообразны и зависят как от типа характеристик, которые должны быть улучшены, так и от класса систем, в которых резервирование используется. Для повышения надёжности систем управления применяют структурное, функциональное, временное, информационное, алгоритмическое резервирование. Рассмотрим подробно эти виды резервирования.

Структурное резервирование. Структурным резервированием (СР) называют способ повышения надёжности технических средств, состоящий в применении в системе дополнительных (резервных) элементов, которые не являются необходимыми для выполнения возложенных на систему функций, но используются системой после отказа основных элементов. Характерной особенностью СР является то, что в идеально надёжной системе все резервные элементы могут быть удалены из системы без какого-либо ухудшения качества её функционирования. Они необходимы только тогда, когда появляется принципиальная возможность отказа основных элементов.

В отличие от последовательной системы, в системе со СР не любой отказ элемента приводит к отказу системы, так как работа системы поддерживается за счёт перестройки (реконфигурации) структуры и подключения резервных элементов. Отказ системы наступает только тогда, когда нарушение работоспособности в одном из основных элементов не удаётся компенсировать своевременным подключением работоспособного резервного элемента (группы элементов).

Замечательным свойством СР, объясняющим его широкое применение, является то, что введение резервной аппаратуры, увеличивая суммарную интенсивность отказов элементов (основных и резервных), существенно уменьшает интенсивность отказов системы. Как следствие, улучшаются и другие показатели надёжности. И, наоборот, в отличие от последовательной системы, где любое упрощение полезно с точки зрения надёжности, в резервированной системе упрощение путём удаления резервных элементов ухудшает показатели надёжности. При наличии потока отказов элементов СР позволяет обеспечит непрерывную работу системы в течение промежутка времени, во много раз превосходящего среднюю наработку до отказа нерезервированной системы. В системах, состоящих из нескольких одновременно работающих устройств одинаковой производительности, в которых отказ одного из устройств снижает общую производительность системы, СР стабилизирует производительность системы.

Для эффективного использования СР иногда необходимо привлекать другие виды резервирования, например временное, для того чтобы гарантировать своевременное обнаружение отказов и своевременное подключение резервной аппаратуры. Для этих же целей используются информационное и алгоритмическое резервирование.

Методы структурного резервирования.

МСР различаются:

по масштабу резервирования;

соотношению количества основных и резервных элементов;

способу включения резерва;

режиму работы резервных элементов;

способам подключения резервной аппаратуры.

Резервирование называют общим, если резервируется вся последовательная система, раздельным (поэлементным), если резервируются отдельные элементы последовательной системы, и групповым, если резервируется группа элементов системы. Совокупность основных и резервных элементов, замещающих друг друга при отказе одного из элементов, называют резервированной группой. При общем резервировании в системе имеется только одна резервированная группа, при раздельном - столько резервированных групп, сколько элементов в последовательной системе. При групповом резервировании число резервированных групп имеет промежуточное значение. Система со структурным резервом отказывает тогда, когда отказывает хотя бы одна её резервированная группа. В структурной надёжностной схеме резервированные группы соединены последовательно, значит вероятность возникновения отказа резервированной группы может быть определена как:


Скользящее резервирование или с неоднозначным соответствием применят тогда, когда все основные элементы системы одинаковы. Резервные элементы не закрепляются за определёнными основными элементами, а могут заменить любой из них.

Основным параметром структурного резервирования является кратность k, представляющая собой соотношение между общим числом однотипных элементов n и числом r необходимых для функционирования системы работающих элементов:

    (6)

По способу включения резерва различают:

резервирование с постоянно включённым резервом;

резервирование с включением замещением.

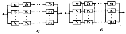
Рис. 4 Схемы постоянного резервирования и резервирования замещением

Схемы общего (а) и поэлементного (б) постоянного резервирования приведены на рис. 4. При постоянном включении основные и резервные элементы (подсистемы) функционируют одновременно, начиная с момента включения системы (рис. 4, а и б). Постоянное резервирование является пассивным. При включении замещением (рис. 4, в и г), которое является активным резервированием, резервные элементы (подсистемы) включаются в работу только после отказа основных. До этого они находятся в состоянии хранения (ненагруженный резерв), частично включены (облегчённый резерв) или полностью включены (нагруженный резерв). При нагруженном резерве резервные элементы имеют интенсивность отказов  такую же, как и основные элементы , т.е.

 

При ненагруженном резерве интенсивность отказов резервных элементов во много раз меньше, чем интенсивность отказов основных элементов, так что в расчётах можно считать . Облегчённый резерв занимает промежуточное положение, когда

 

Замещение отказавшего основного элемента резервным можно проводить вручную, полуавтоматически и автоматически. В первом случае не требуется никакой аппаратуры переключения, но время переключения довольно велико. При автоматическом переключении используют специальный автомат переключения резерва. Он уменьшает время переключения до нескольких секунд или долей секунд, однако сам обладает конечной надёжностью. При полуавтоматическом переключении часть функций выполняет автомат, а другую - оператор.

Поскольку структурное резервирование сопряжено с дополнительными затратами на резервные элементы, то последние должны окупаться за счёт повышения надёжности системы и снижения потерь от её отказов. Наиболее простыми для определения показателями эффективности резервирования являются следующие:

  (7)

где  - выигрыш за счёт повышения средней наработки до отказа резервированной системы  по сравнению с наработкой нерезервированной системы ;  - аналогичные показатели по повышению вероятности безотказной работы и снижению вероятности отказа. Резервирование эффективно, если значение показателей дольше единицы.

Временное резервирование (резервирование времени)

Временное резервирование (ВР) - это способ повышения надёжности, при котором системе в процессе функционирования предоставляется возможность израсходовать некоторое время, называемое резервным, для восстановления технических характеристик. Резерв времени можно израсходовать на переключение структурного резерва, обнаружение и устранение отказов, повторение работ, обесцененных отказами, ожидание загрузки в работоспособном состоянии. Можно указать несколько источников резервного времени.

Резерв времени может создаваться за счёт увеличения времени, выделяемого системе для выполнения задания и называемого оперативным временем. Он возникает и при создании запаса производительности всей системы или её отдельных устройств, причём без увеличения оперативного времени. Запас производительности, в свою очередь, возникает при увеличении быстродействия элементов или при комплексировании нескольких устройств (систем) одинаковой или различной производительности для выполнения общего задания.

В системах, результат работы которых оценивается объёмом производимого (обрабатываемого) продукта, резерв времени можно создать за счёт внутренних запасов выходной продукции. В АСОИУ такой продукцией является информация, в системах энергоснабжения - электрическая энергия, в системах водоснабжения - водные ресурсы, на машиностроительных предприятиях - детали, узлы, приборы и т.д. Для хранения запасов предусматриваются специальные накопители: запоминающие устройства, аккумуляторные батарее, резервуары, бункеры и др. Пока запас не исчерпан, продукция поступает на выход системы, и смежные с ней системы, не «замечая» частичного или даже полного прекращения её функционирования, считают её работоспособной.

Ещё одним источником резерва времени является функциональная инерционность протекающих в системе процессов. В работе многих технических систем допускаются незначительные перерывы, протекающие без потери качества функционирования (пока управляемые параметры находятся в пределах допусков), которые можно использовать для восстановления её работоспособности. Такими свойствами обладают АСУ ТП, системы термостатирования, диспетчерского управления, жизнеобеспечения летательных и других подвижных аппаратов и др.

Для систем с ВР нарушение работоспособности не обязательно сопровождается отказом системы даже при последовательном соединении её элементов, так как есть возможность восстановить работоспособность за резервное время. Отказ СВР - событие, заключающееся в нарушении работоспособности, вызывающем недопустимые последствия или неустранённом за допустимое время. Надёжность СВР оценивается по результатам выполнения установленных временных ограничений по всей траектории функционирования или по результатам выполнения некоторого задания.

Задание задаётся:

последовательностью и объёмом работ;

установленными моментами начала и завершения этапов работ;

ограничениями на использование различных ресурсов, которыми располагает система;

ограничениями на взаимопомощь и взаимодействие различных устройств.

Поэтому различают задания:

одноэтапные;

многоэтапные;

бригадные;

индивидуальные (автономные);

групповые;

поступающие до начала работы системы (по расписанию);

поступающие в процессе работы системы (в случайные моменты времени по заявкам). Выполнение задания - это событие, заключающееся в завершении заданного объёма работ с установленными ограничениями на время выполнения всех работ и отдельных их этапов и при выполнении требований к качеству и ритмичности работы системы. Нарушение установленных требований и ограничений рассматривается как срыв функционирования. Поэтому, отказ СВР можно определить как событие, приводящее немедленно или с некоторой задержкой к срыву выполнения задания, к срыву функционирования.

Для установления признаков отказа СВР необходимо вести статистику потерь времени, проводить специальные измерения, например, запасов продукции в накопителях. Структурно в обобщённой форме СВР может рассматриваться как совокупность исходного объекта и резерва времени (рис. 5).

После отказа системы начинает действовать резерв времени. Отказы системы могут различаться по последствиям. Если отказ вызывает лишь задержку выполнения задания, но не приводит к повторению работ, то его называют необесценивающим или неразрушающим. В противном случае его называют обесцениваищим или разрушающим. Обесценивание выполненных работ может быть полным или частичным. В связи с наличием обесценивающих отказов всю наработку системы разделяют на полезную и обесцененную. Полезной является наработка, не обесцененная отказами системы, а обесцененная наработка - это наработка, не включённая в полезную. Резервирование времени широко используется в компьютерах, вычислительных сетях, системах связи. Особенно эффективным является применение ВР для борьбы со сбоями и помехами. Его часто используют и для повышения эффективности других видов резервирования.

Рис. 5 Схема резервирования времени

Методы временного резервирования

На методы временного резервирования частично может быть распространена классификация методов структурного резервирования. Среди методов ВР можно выделить общее, раздельное, групповое, с целой и дробной кратностью. При общем резервировании созданный резерв времени может быть использован любым элементом системы. При раздельном ВР каждый элемент обеспечивается собственным резервом времени, который не может быть использован другими элементами. При групповом ВР резерв времени предназначается для любого элемента, входящего в данную группу, и не может быть использован элементами вне группы. Кратность ВР - это отношение величины резерва времени к минимальному времени выполнения задания. Оно может быть целым или дробным.

По возможности увеличения в процессе функционирования системы с резервом времени (СВР) различают непополняемый и пополняемый резерв времени. Непополняемый резерв времени создаётся заранее, до начала работы, и не возрастает при выполнении задания. При работоспособном состоянии всех элементов системы текущее значение резерва времени не меняется, а при отказах элементов может уменьшаться скачкообразно (при обесценивающих отказах) или в линейной зависимости от времени при неработоспособном состоянии системы. Пополняемый резерв возрастает по некоторому закону при работоспособном состоянии всей системы, а также во время восстановления работоспособности некоторых отказавших элементов. Мгновенно пополняемый резерв восстанавливается до исходного уровня скачком сразу же после окончания ремонта. В одной и той же системе могут использоваться оба вида резерва времени - тогда его называют комбинированным или смешанным. При раздельном или групповом резервировании возможны дополнительные ограничения на способ пополнения и использования резерва времени. В этом случае его называют резервом со сложными ограничениями.

Как и при структурном резервировании, по типу структуры различают СВР с последовательным, параллельным, последовательно-парал-лельным соединением элементов, а также СВР с сетевой структурой. Однако здесь имеются некоторые особенности. Так, существуют две разновидности последовательного соединения: основное и многофазное. При основном соединении в системе отсутствуют накопители продукции (рис. 6, а).

Рис. 6 Варианты структур систем с резервом времени

При многофазном соединении в системе есть по крайней мере один накопитель. Число фаз определяют как число накопителей, увеличенное на единицу (рис. 6,б). Параллельное соединение также имеет две разновидности: резервное и многоканальное. При резервном соединении имеются чёткие различия основных и резервных элементов. Работоспособные основные элементы находятся в работе. Резервные элементы, вне зависимости от режима (нагруженного, ненагруженного, облегчённого), не включаются в работу, пока работоспособны основные элементы (рис. 6,в). При многоканальном соединении не различают основные и резервные элементы. Все параллельно включённые элементы участвуют в работе, и результаты их работы так или иначе используют при формировании результатов работы всей системы. Если элементы характеризуются производительностью (пропускной способностью, быстродействием, мощностью и пр.), то в системе с многоканальным соединением элементов может создаваться запас производительности, в отличие от системы с минимально необходимым числом элементов (рис. 6,г). Примеры СВР с последовательно-параллельным и параллельно-последовательным соединением элементов приведены на рис. 6, д-з. Рекурсивно могут быть построены и более сложные структуры.

Функциональное резервирование

Функциональным резервированием (ФР) называют способ повышения надёжности, использующий свойство технических систем (а также живых организмов, биологических и социальных систем) обеспечивать при отказах элементов безотказное функционирование за счёт перераспределения функций и более интенсивной работы элементов, выполнявших до отказа только свои основные функции. Выполнять дополнительные функции они способны лишь временно, и это может сопровождаться некоторым ухудшением общего качества работы, но в допустимых пределах. При ФР в системе нет «лишних» элементов - они все необходимы для выполнения требуемого набора функций. Характерной особенностью этого вида резервирования является как раз то, что даже из идеально надёжной системы нельзя удалить ни одного элемента, не вызвав перераспределения функций элементов и увеличения их функциональной нагрузки уже на постоянной основе, возможно, с переходом на более тяжёлые режимы работы.

Применение ФР обычно сопровождается введением информационной и алгоритмической избыточности.

Информационное резервирование

В современной технике управления и информационно-вычис-лительной технике информационная избыточность и информационное резервирование используются для улучшения многих характеристик. Оно влияет на показатели надёжности, достоверности обработки и передачи информации, точности вычислений, производительности. Способы введения информационной избыточности весьма разнообразны. Информационная избыточность существует в виде избыточности внутреннего информационного языка устройств обработки и передачи данных, в виде избыточности помехоустойчивых кодов. Её можно вводить и как избыточность массивов данных в составе файла данных, и как избыточность файловой структуры в памяти ЭВМ. Можно с уверенностью сказать, что без информационной избыточности в той или иной форме невозможно представить ни один информационный процесс в АСОИУ. Часто без информационной избыточности нельзя использовать другие виды резервирования. Не останавливаясь на косвенных способах влияния информационной избыточности на показатели надёжности, отметим лишь основные способы прямого влияния. Информационная избыточность (ИИ) уменьшает:

поток отказов системы, так как на все отказы элементов становятся отказами системы; если последствия отказа элемента удаётся устранить за счёт ИИ, то он не считается отказом системы;

время восстановления за счёт уменьшения объёма работ, обесцененных отказом; при этом уменьшается время, затрачиваемое на повторение обесцененной части работ, и увеличивается полезная наработка;

время восстановления за счёт сокращения времени обнаружения и поиска неисправности.

Алгоритмическое резервирование (АР)

Для выполнения стоящих перед системой задач необходимо не только иметь некоторый объём информации о характере и условиях выполнения задачи, о процессах, происходящих в системе и окружающей среде, но и обеспечить обработку этой информации в соответствии с алгоритмами функционирования. Каждой системе можно сопоставить алгоритм минимальной сложности. Все прочие алгоритмы, содержащие дополнительное количество операторов, по сравнению с минимальным алгоритмом будут избыточными. АР вводится для преодоления помех и случайных возмущений, вызванных, в частности, отказами элементов аппаратуры. Оно используется во взаимодействии с другими видами резервирования и в ряде случаев является необходимым условием их реализации.

4 Расчет надежности невосстанавливаемых систем с постоянным резервом


Общее постоянное резервирование с целой кратностью. Вероятность отказа Qp параллельно работающих т элементов при r = 1 определяется выражением (2), откуда для равнонадежных элементов

; . (8)

Чем меньше вероятность отказа каждого из элементов, тем выше эффективность постоянного резервирования. Так, если q = 0,1 и 0,01, а k = 1, то выигрыш в снижении вероятности отказа при резервировании составит соответственно 10 и 100. Рассмотрим связь показателей надежности группы резервированных элементов, кратности резервирования k и длительности работы элементов t при экспоненциальном законе распределения времени их безотказной работы. Если интенсивность отказов каждого из элементов , то согласно (1.12), (1.21), (1.22) имеем

; ; (9)

;

;

; .

Графики изменения PP(t/) и р(t/)/ в зависимости от кратности резервирования и длительности работы системы представлены на рис. 7. Они показывают, что постоянное резервирование эффективно на начальном участке работы системы, когда t  .

Для группы резервированных элементов средняя наработка до отказа

.

Рис. 7 Графики зависимости вероятности безотказной работы (а) и интенсивности отказов (б) от кратности резервирования

Работа рассматриваемой группы резервированных элементов характеризуется последовательным переходом по мере возникновения отказов от т работающих элементов к т-1, т-2 и далее до одного, отказ последнего приводит к отказу всей группы. Эту последовательность переходов иллюстрирует график, представленный на рис. 8. В случайные моменты времени t1, t2 и т. д. происходят отказы элементов, число работающих элементов n(t) постепенно снижается. Поскольку на каждом из участков T1 = t1, T2 = t2 - t1 и т. д. имеет место совместное функционирование т, т-1 и т. д. элементов, то случайные интервалы времени T1, Т2,...,Тт имеют экспоненциальное распределение с интенсивностями отказов соответственно m, (т-1), ...,  и средней продолжительностью 1 = 1/(m), 2 = 1/[(т-1)], = 1/. Поскольку , то значение средней наработки до отказа группы резервированных элементов определяется как 1/(m)+1/[(т-1)]+ 1/.

Рис. 8 Временная диаграмма изменения числа параллельно функционирующих устройств

Резервирование двухполюсных элементов. В большинстве случаев резервные элементы подключают параллельно основному. Однако при дифференциации видов отказов резервирование по каждому из них может осуществляться при различных способах включения резервных элементов. Наиболее характерным в этом отношении является резервирование элементов при отказах типа «обрыв» и «короткое замыкание» (КЗ). Для двухполюсных элементов релейного типа, имеющих два возможных состояния 1 и 0, этим отказам соответствует несрабатывание при наличии управляющего сигнала и ложное срабатывание при отсутствии последнего.

При последовательном соединении релейных элементов (рис. 9,а) несрабатывание любого из элементов приводит к отсутствию цепи между точками а и b. Таким образом, для этого вида отказов последовательное соединение релейных элементов является основным. Для отказов типа ложное срабатывание последовательное соединение является резервным, поскольку этот вид отказа цепи будет иметь место только при отказе двух элементов.

Рис. 9 Схемы последовательного (а) и параллельного (б) соединения релейных элементов и соответствующие им структурные схемы

Из рассмотренного вытекает, что одному и тому же соединению элементов для этих видов отказов соответствуют две структурные схемы. При последовательном соединении релейных элементов осуществляется резервирование по отказам типа КЗ. Если вероятность отказов этого типа для каждого элемента q, то Ba = q/q2 = q-1. Для отказов типа обрыв , т. е. последовательное включение релейных элементов приводит к повышению вероятности возникновения отказов типа обрыв цепи. При параллельном соединении релейных элементов (рис. 9,б) осуществляется резервирование по отказам типа обрыв с эффективностью BQ = 1/q, а по отказам типа КЗ надежность снижается.

Резервирование с дробной кратностью. При резервировании с дробной кратностью система может функционировать, если из п однотипных работающих параллельно элементов в работоспособном состоянии находятся r. Система отказывает, если число отказавших элементов z составляет . Используя метод перебора состояний, определим вероятность отказа такой системы

.

В каждом из состояний число работоспособных элементов составляет п - z, а вероятность этого состояния , тогда

,         (10)

где Cnz = n!/[z!(n-z)!] - число сочетаний из п элементов по z, причем 0! = 1; =1. При <<1 .

При экспоненциальном законе распределения времени безотказной работы и интенсивностях отказов  каждого из элементов

.    ( 11)

Поскольку без резерва система включает r работающих элементов, то вероятность отказа исходной системы при оценке эффективности резервирования составляет 1-(1-q)r. Так, если система включает три параллельно работающих элемента и r = 2, то при q = 0,1, k = 1/2, т = 2 согласно (11)

Q = ;

.

Резервирование с голосованием по большинству

Разновидностью постоянного резервирования с дробной кратностью является резервирование с голосованием по большинству (мажоритарное). Структурная схема системы, использующей это способ резервирования, представлена на рис. 10. Параллельно работает нечетное число элементов, их выходные сигналы х1, х2,..., хп поступают на вход элемента голосования Г (кворум-элемент), выходной сигнал которого совпадает с сигналом большинства элементов. В системах с таким способом резервирования обычно используются три элемента, реже пять. Для работоспособного состояния системы необходима правильная работа большинства элементов. Отказ системы наступает при числе отказов z  m = (n + 1)/2.

Рис. 10 Схема соединения элементов с голосованием по большинству

Рис. 11 Схема защиты от превышения давления в барабане котла

Вероятность отказа системы с мажоритарным резервированием при n = 3 и n = 5 равнонадежных элементах согласно (10) составляет соответственно:

Q3 = 3q2 - 2q3; Q5 = 10q3 - 15q4 + 6q5.  (12)

Эффективность этого способа резервирования при n=3 составляет BQ = q/(3q2 - 2q3) = 1/(3q - 2q2). Если q < 0,5, резервирование эффективно, при q = 0,5 надежность системы при резервировании не изменяется, а при q > 0,5 резервирование приводит к снижению надежности.

Мажоритарное резервирование широко применяют в системах защиты реакторов и теплотехнического оборудования. Так, система защиты от превышения давления в барабане котла, изображенная на рис. 11,а, включает электроконтактные манометры M1, M2, M3, силовое реле СР и электрический клапан сброса давления К. Система защиты срабатывает при замыкании контактов любых двух манометров из трех. Схема соединения контактов манометров представлена на рис. 11,б. Ток через обмотку силового реле СР протекает при замыкании любых двух пар контактов, специального кворум-элемента в таких системах не требуется. Отказы вида «ложное срабатывание» или «несрабатывание» в системе возникают при соответствующих отказах двух манометров из трех, т. е. этот способ резервирования равнонадежен для обоих видов отказов.

Рис. 12 Схема соединения элементов

Поэлементное резервирование. Надежность системы, содержащей группы элементов или отдельные элементы с поэлементным резервированием, рассчитывают с использованием формул общего постоянного резервирования (1), (2), (10). Так, если система состоит из п участков с поэлементным резервированием целой кратностью ki, то вероятность безотказной работы системы

,                  (13)

где qij - вероятность отказа j-го элемента, входящего в i-й участок резервирования.

Для сопоставления эффективности общего и поэлементного резервирования сравним вероятности отказа двух систем, включающих одинаковое n(k+1) число равнонадежных элементов (рис. 12). В первом случае (рис. 12, а) осуществляется общее резервирование системы из п элементов кратностью k, во втором случае (рис. 1 2, б) при поэлементном резервировании каждый из п элементов системы имеет k резервных.

Вероятность отказа системы с общим резервированием

.

Считая, что вероятность отказа каждого из элементов q<<1 и (1- q)n  1 - nq, получаем . Для раздельного резервирования, используя (13) и считая q<<1, получаем

.

Эффективность поэлементного резервирования по сравнению с общим  составит nk. С увеличением глубины п и кратности k резервирования его эффективность растет. Использование поэлементного резервирования сопряжено с введением дополнительных подключающих элементов, имеющих ограниченную надежность. В связи с этим имеется оптимальная глубина резервирования попт, при n>попт эффективность резервирования снижается.

Список литературы

1. Ястребенецкий М.А. Надежность автоматизированных систем управления технологическими процессами [Текст]: учеб. пособие для вузов/ М.А. Ястребенецкий, Г.М. Иванова. - М.: Энергоатомиздат, 1989. - 264 с.: ил.; 21 см. - Библиогр.: с. 259-260. - 8700 экз. - ISBN 5-283-01549-1.

. ГОСТ 27.301-95. Надежность в технике. Расчет надежности. Основные положения. М.: Издательство стандартов, 1997. - 15 с.

. ГОСТ 24.701-86. Единая система стандартов автоматизированных систем управления. Надежность автоматизированных систем управления. Основные положения. М.: Издательство стандартов, 1987. - 17 с.

. РД 03-418-01. Методические указания по проведению анализа риска опасных производственных объектов. Госгортехнадзор России, 2001.// Безопасность труда в промышленности. - 2001. - № 10. С. 40-50.

. Черкесов Г.Н. Надежность аппаратно-программных комплексов [Текст]: учеб. пособие/ Г.Н. Черкесов. - СПб.: Питер, 2005. - 479 с.: ил.; 24 см. - Библиогр.: с. 473. - 4000 экз. - ISBN 5-469-00102-4.

. Вентцель Е.С. Теория случайных процессов и ее инженерные приложения [Текст]: учеб. пособие для втузов/ Л.А. Овчаров, Е.С. Вентцель. - 2-е изд., стер. - М.: Высш. шк., 2000. - 383 с.: ил.; 21 см. - Библиогр.: с. 378-379. - 8000 экз. - ISBN 5-06-003831-9.

. Вентцель Е.С. Теория вероятностей [Текст]: учеб. пособие для вузов/ Е.С. Вентцель. - 5-е изд., стер. - М.: Высш. шк., 1998. - 576 с.: ил.; 21 см. - Библиогр.: с. 573-575. - 12000 экз. - ISBN 5-06-003522-0.

Похожие работы на - Расчет надежности локальных систем без учета восстановления

 

Не нашли материал для своей работы?
Поможем написать уникальную работу
Без плагиата!
Без нейросетей!