Система автоматичного регулювання

  • Вид работы:
    Контрольная работа
  • Предмет:
    Информатика, ВТ, телекоммуникации
  • Язык:
    Украинский
    ,
    Формат файла:
    MS Word
    655,69 Кб
  • Опубликовано:
    2013-12-03
Вы можете узнать стоимость помощи в написании студенческой работы.
Помощь в написании работы, которую точно примут!

Система автоматичного регулювання

НАЦІОНАЛЬНИЙ АВІАЦІЙНИЙ УНІВЕРСИТЕТ

Аерокосмічний інститут

Механіко-енергетичний факультет

Кафедра автоматизації та енергоменеджменту







ДОМАШНЕ ЗАВДАННЯ

з дисципліни «Основи автоматики енергетичних систем»


Виконав: студент групи МЕФ 304 Чиримпей Є. І.

Варіант 17

Перевірив: Казак В. М.







Київ 2013

ЗАВДАННЯ:

1)      За заданою структурною схемою САР (малюнок №1) скласти передаткову функцію замкненої та розімкненої схеми регулювання.

)        Побудувати для розімкненої САР ЛАЧХ та ЛФЧХ.

)        Перевірити на стійкість отриману схему системи автоматичного регулювання.

)        Оцінити якість процесу регулювання в системі за показниками:

·        Час перехідного процесу;

·        Величину найбільшого відхилення (пере регулювання) в перехідному процесі;

·        Величину допустимої інструментальної похибки в сталому режимі.

Малюнок №1

ВІДПОВІДІ

1)      Розімкнена схема регулювання має наступний вигляд (малюнок №2):

)       

Малюнок №2

Система складається з трьох ланок, які розташовуються послідовно. Як зазначено вище на малюнку, кожна ланка оказує певний вплив на заданий параметр «х». Щоб отримати «y» - вихідну величину, ми повинні перемножити між собою реакції усіх трьох ланок, бо система має послідовний характер. Передаткова функція такої системи буде мати наступний вид:


Де W - реакція системи в загальному виді.

В розгорнутому виді передаткова функція системи має такий вид:


За для прикладу беремо часову характеристику, яка виражається через величину «P».

.

Замкнена схема регулювання вже буде відрізнятись від розімкненої. Замкнена САР наведена на малюнку №3.

Малюнок №3

автоматичне регулювання функція похибка

Основним елементом замкненої САР, який і відрізняє її від розімкнутої - є зворотній зв'язок. Як ми бачимо на малюнку, на виході з системи є вузол, який посилає вихідний сигнал у два напрями: перший на вихід з системи; інший йде на суматор - пристрій, який контролює вихідну величину системи і утримує її у заданому діапазоні.

Передаткова функція замкненої системи також буде відрізнятись від розімкненого аналога. Різниця продиктована тим самим суматором. Передаткова функція суматора має вид:


Загальну передаткову функцію системи вже маємо в такому виді:


Підставляємо значення «e» у загальну передаткову функцію замкненої САР.


Цю функцію можна представити в розгорнутому виді:


3)      Для розімкненої САР будуємо ЛАЧХ та ЛФЧХ. Для цього ми задаємо в Mat Lab характеристики усіх ланок окремо, об'єднуючи їх потім в систему. Команди в програму задаємо наступним чином:

1.      W1=tf([1_0],[1])

.        W2=tf([16_24],[1])

.        W3=tf([3],[2_0_12])

.        W=W1*W2*W3

.        bode(W)

З першої по третю команди ми задаємо в програму характеристики ланок, які задані у завданні викладачем. Четвертою командою задаємо загальний вид нашої розімкненої САР. П'ята команда вводиться за для побудови програмою ЛАЧХ та ЛФЧХ описаної системи.

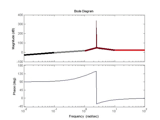
ЛАЧХ та ЛФЧХ мають наступний вид (малюнок №4):

Малюнок №4

Загалом ЛАЧХ, так само як і ЛФЧХ, даної системи ділиться на чотири зони. Тобто на ЛАЧХ виділяються чотири основні ланки (малюнок №5):

автоматичне керування функція похибка

Малюнок №5

Перші дві ланки є диференційними. На схемі вони позначені чорним та сірим кольорами. Наступну декаду займає аперіодична ланка другого порядку і позначається вона умовно коричневим кольором. Остання червона ланка - це ланка підсилення.

Але ж в системі за умовою лише три ланки. Щоб відповісти на питання «звідки взялася четверта ланка в нашій розімкненій САР?», треба поглянути на математичний опис тих ланок, які за умовою є у системі. Більш за все це має відношення до останньої ланки розімкненої САР (малюнок №2). А саме до аперіодичної ланки другого порядку.

Відомо, що мат. модель аперіодичної ланки першого порядку має вид:

Цю ж саму математичну модель можна представити в такому виді, винісши коефіцієнт з чисельника, тобто:


Тепер вже замість однієї ланки ми маємо дві: аперіодичну та підсилювальну. Але ці перетворювання робились поки тільки на загальному виді математичної моделі аперіодичної ланки. У нашому випадку ці перетворювання мають такий вид і послідовність:

1)      

2)      

Цю систему ми ділимо на дві окремі умовні ланки:

 (аперіодична ланка другого порядку)

Звідси ми й бачимо шлях, яким до нашої ЛАФЧХ прийшла підсилювальна ланка.

3)      Перевіряємо на стійкість отриману систему. Для цих цілей знову використовуємо Mat lab. Характеристики ланок у нас вже є в пам'яті програми, отже їх залишається лише викликати з історії.

Після того як всі ланки та система загалом була викликана з оперативної пам'яті уводимо нові команди, які й оцінять систему на стійкість по амплітуді й по фазі.

1)      margin(W)

З'являється вікно з нашою ЛАФЧХ, але вже з графічними відмітками, за допомогою яких ми можемо проаналізувати систему (малюнок №6).

Малюнок №6

Оскілки графічно дуже важко точно оцінювати систему, тим паче на графіку відображено лише запас по фазі, запас по амплітуді не вказаний. Отже, за допомогою інших команд, вводимо запит на вивід числових значень запасу по фазі й амплітуді:

2)      [Gm,Pm,Wcg,Wcp]=margin(W)

Проаналізувавши запит система виводить чотири значення:

1.      Gm=inf (Запас по амплітуді. Значення “inf” вказує на невизначений стан цієї величини, тобто, як видно з малюнка №6 та малюнка №4, ЛФЧХ не перетинає нульову позначку, а а плавно виходить на її значення. Це може означати, що система має або безкінечний запас стійкості по амплітуді, або знаходиться на границі стійкості, а у випадку з замкненою САР, вона може прийняти нестійкий характер.)

2.      Pm= - 83,7260 (запас по фазі)

3.      Wcg=NaN (частота при якій визначається запас по амплітуді)

4.      Wcp=0,1649 (частота при якій визначається запас по фазі)

) За для оцінки якості процесу регулювання за різними показниками слід подати на вхід стандартний одиничний сигнал (малюнок №7).

Зважаючи на те, що ми вже маємо в Mat Lab характеристику усіх ланок і системи загалом, подаємо на вхід одиничний сигнал та отримуємо графік, за допомогою команди «step(W)»

Малюнок №7

Подаємо на вхід синусоїдальний сигнал, та відслідковуємо реакцію системи на такий зовнішній вплив. Перше, про що можна судити - це час перехідного процесу. Для цього беремо один період вихідної синусоїди. Аналізуємо графічні величини: 20 поділок графіку на часовій шкалі дорівнюють 50 секундам. Отже 2,5 поділки - це є 1секунда. Вимірявши кількість поділок, на які розгортається один період синусоїди,а саме 11 поділок, робимо висновок, що час перехідного процесу системи займає 22,5 секунди.

Час пере регулювання, або величину найбільшого відхилення, визначають лише у замкненій САР, на основі реакції системи на одиничний сигнал.

Для цього задаємо в Mat Lab математичну модель уже всієї системи. До цього ми використовували лише розімкнену САР, як показано на малюнку №2, але тепер слід перейти до системи з малюнку №3. Робимо наступні дії:

1.      W1=tf([1_0],[1])

.        W2=tf([16_24],[1])

.        W3=tf([3],[2_0_12])

.        E=1- W1* W2* W3

де E - помилка неузгодженості;

- вхідна величина, або одиничний сигнал, який ми подаємо на вхід, за для аналізу системи;

W1* W2* W3 - вихідна величина, представлена у вигляді реакції системи на одиничний сигнал.

5.      W= W1* W2* W3*E (загальна передаткова функція всієї замкнутої системи САР)

6.      step(W)

З'являється графік реакції системи на одиничний сигнал (малюнок №8).

Судячи з цього графіку, досліджувана система має гранично нестійкий характер. Це означає, що у замкненому стані система САР не стійка. Це вже зазначалося вище, коли ми аналізували запас системи по амплітуді. Нагадаю, що система мала невизначений стан запасу по амплітуді:

(Gm=inf )

Система у замкненому стані піде у рознос. Вона не має запасу по амплітуді взагалі.

Малюнок №8

Зважаючи на це, величину допустимої інструментальної похибки в сталому режимі визначати марно, адже система нестабільна і не вийде на сталий режим.

Висновок

Дана система є нестабільною. В розімкненому стані вона ще зберігає деяку стабільність, тобто знаходиться на границі стійкості. А в замкненому стані, система виводиться з хиткого стану рівноваги зворотним зв'язком і система йде в рознос.

Похожие работы на - Система автоматичного регулювання

 

Не нашли материал для своей работы?
Поможем написать уникальную работу
Без плагиата!
Без нейросетей!