Спеціалізована система автоматичного регулювання температури у камері сушильного апарату
Вступ
Доступність електричної енергії та простота
технічних засобів перетворення електричної енергії у теплову зумовили широке
застосування сушильних апаратів малої потужності із живленням від електричної
мережі. Суттєва перевага таких сушильних апаратів - висока точність процесу
регулювання температури, не завжди досяжна для сушильних апаратів у яких в
якості джерел теплової енергії застосовують газовий факел, пару, гарячу воду. У
сучасних технологіях високого рівня застосовують сушильні апарати, у яких ставиться
задача підтримування температурного режиму із особливо високою точністю. Така
точність досягається шляхом застосування автоматичних регуляторів процесу
перетворення електричної енергії у тепло. Ці регулятори можуть бути
універсальними, промислового походження або спеціалізованими, для
обслуговування конкретного апарата.
У даній роботі потрібно розробити спеціалізовану
систему автоматичного регулювання температури у камері сушильного апарату
(сушильній камері), яка задовольняє двом вимогам - технічній простоті виконання
та високій, порядку 2°С точності регулювання температури.
Робота полягає у розрахунку параметрів
функціональної схеми системи регулювання, побудові кривої перехідного процесу
при включенні сушильного апарату в роботу , ескізному розрахунку принципової
схеми.
автоматичний сушильний апарат термостат
1. Теоретичні відомості
Функціональна схема автоматичного регулювання
температурного режиму сушильного апарата подана на рис.1.
Схема передбачає застосування наступних
пристроїв. Сушильний апарат 1, температурний режим у якому підтримується за
рахунок розжарювання нагрівного елемента 3 струмом І. Температура θ
у
термостаті вимірюється термопарою 7, вихідна напруга Uт якої
порівнюється із напругою U3, яка визначає заданий температурний режим
у сушильному апараті і встановлюється при настроюванні схеми. Ртутний термометр
2 - служить для незалежного об’єктивного контролю температури θ
у
сушильному апараті. В якості нагрівного елемента використовується спіраль з
високоомного матеріалу. Схема працює наступним чином.
Рис.1
В усталеному режимі температура θ
у
термостаті визначається різницею напруг ΔU=U3-Uт
близькою до нуля.
Ця різниця напруг підсилюється
підсилювачем напруги 5 в КU разів і визначає значення струму
величини І у підсилювачі струму і чутливість по струму SІ завдяки
наявності підсилювача струму 6. Струм І забезпечує задане значення температури θ
у
термостаті.
У випадку відхилення температури θ
від
заданого значення (яке задається величиною напруги U3 встановленої
при настроюванні схеми), значення напруги змінюється. Це змінне значення
напруги підсилюється в КU раз, відповідно змінюючи значення струму
І, який у свою чергу міняє температуру розжарювання нагрівного елемента 3 у
термостаті таким чином, щоб температура в термостаті помінялась у сторону
відновлення значення U, встановленого при настроюванні схеми.
Розрахунок схеми передбачає
розрахунків статичного і динамічного режимів. Статичний режим при цьому
визначається як окремий випадок динамічного режиму. Для розрахунку динамічного
режиму необхідно мати рівняння динаміки кожного із застосованих пристроїв. Такі
рівняння і спосіб їх виведення можна взяти із літератури. Для даної схеми ці
рівняння мають наступний вигляд:
Рівняння термостата:
де Тт - постійна часу
термостата, Кт- коефіцієнт термостата, який визначається його
конструкцією.
Рівняння динаміки термопари
де Тп - постійна часу
термопари, Кп - коефіцієнт термопари.
2. Завдання
Функціональна схема системи
автоматичного регулювання робочої температури у сушильній камері
С із
похибкою ± 2°С подана на рис.1. Визначити вимоги до електричної схеми:
струм 1
споживання у нагрівному елементі термостата, та побудувати криву перехідного
процесу встановлення робочої температури у термостаті. Задачу розв’язати користуючись
експериментально визначеними перехідними характеристиками сушильного апарата і
термопари, отриманими при стрипкоподібній подачі струму
I = 5,0 А,
поданому у нагрівний елемент у момент його включення у роботу.
Вихідні дані
|
№ варіанту
|
Характеристика термостата
|
Характеристика термопари
|
|
 t сек t
сек
|
|
|
|
|
10
|
25
|
80
|
12
|
10
|
. Визначення сталих часу,
коефіцієнтів термопари і термостата
З теорії автоматичного керування
відомо, що стала часу - це проміжок часу, за який величина при перехідному
процесі набирає 0,632 свого усталеного значення. З графіків визначимо сталі
часу. Очевидно, що крива характеристики термостата асимптотично наближається до
значення Θуст=125°С.
Отже, стала часу буде відповідати значенню:
Θт=
Θуст∙0,632=79°С.
Аналогічно з характеристики
термопари бачимо, що крива асимптотично наближається до Uуст=60°С:
Uт=Uуст∙0,632=37,9мВ.
З графіків визначимо сталі часу:
Тт=71,7с.
Тп=11с.
Для визначення коефіцієнтів
термопари і термостата скористаємось умовою, що перехідний процес закінчився,
тобто
;
.
Згідно теорії будемо вважати, що
перехідний процес закінчився при 5Т. Для термостата він буде становити:
∙Тт=5∙71,7=358,5с.
Для термопари він буде становити:
∙Тп=5∙11=55с.
Цьому значенню відповідає для
термостата:
Θ5т≈120°С
- робоча температура камери.
Для термопари:5т=58,8мВ.
За умовою завдання струм нагрівання
рівний І=5А.
З рівнянь що описують процеси, що
відбуваються в термостаті визначимо коефіцієнт термостата:
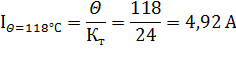
°С=5А∙Кт;
Кт=24.
Коефіцієнт термопари визначимо з
урахуванням того, що робоча температура камери має становити 120°С:
,8В=120°С∙Кп;
Кп=0,49.
Робоча температура відповідає
приблизно закінченню перехідного процесу. Адже перехідний процес можна вважати
завершеним, коли величина набирає 95% усталеного значення.
4. Визначення параметрів
установки і побудова кривої перехідного процесу
Температура в камері підтримується
струмом, що виникає за рахунок різниці напруг за датчика і напруги термопари.
Оскільки, похибка регулювання становить 2°С, то визначимо різницю напруг, що
буде виникати. Задамося умовою, що температура в камері була робоча і знизилася
на 2°С, тобто становить 118°С. Визначимо струм, що відповідає зниженій
температурі:
Рівняння, що описує вищезгаданий
процес має вигляд:
Знайдемо різницю напруг, що виникає
при зниженні температури на 2°С:
ΔU=Кп∙ΔΘ=0,49∙2=0,98
В.
Знайдемо коефіцієнт електронної
схеми:
Визначимо напругу задатчика, яка би
відповідала робочій температурі камери:
Запишемо рівняння, що описує процеси
в даній установці:

Розв’язавши дане рівняння, отримаємо
вираз, що буде описувати перехідні процеси у даній установці:
Графік перехідного процесу буде мати
вигляд:
Можна вважати що перехідний
процес завершився при t=103c.
5. Перевірка на стійкість
системи за критерієм Гурвіца
Характеристичне рівняння має вигляд:
Першому критерію воно задовольняє,
як бачимо всі коефіцієнти більші нуля. Складемо визначники Гурвіца:
.
Система стійка за Гурвіцом.
6. Розрахунок одноперіодного
випрямляча
Знаходимо напругу вторинної обмотки
трансформатора:
.
Знаходимо прямий струм через
тиристор:
.
Знаходимо зворотну напругу на
закритому тиристорі:
Знаходимо габаритну потужність
трансформатора:
Вибираємо тип тиристора із
довідникової літератури. Тиристор повинен задовольняти таким умовам:
;
.
Згідно даних умов вибираємо тиристор
типу ТЧ-20 . Напруга відкривання тиристора становить Uвідк.=3 В.
Вибираємо тип трансформатора ТММ 360
В∙А 220/63;38;6,4.
7. Пояснення роботи схеми
мультивібратора
Пояснення до схеми мультивібратора:
якщо вихід схеми знаходиться в стані логічного нуля (низький рівень), то при
подачі на вхід запуску сигналу, спрацьовує внутрішній тригер, що переводить
вихід схеми в стан логічної одиниці (високий рівень); конденсатор буде
заряджатися через резистор до моменту, коли напруга на конденсаторі не досягне
порогового рівня і внутрішній тригер скине вхід в низький рівень і конденсатор
буде розряджатися. Розряджатися він буде через керуючий електрод тиристора і
тиристор буде у відкритому стані. Досягнувши синхронізації із мережею ми
отримаємо однопівперіодне випрямлення.
Список використаної літератури
1.
Егоров К.В.Основы теории автоматического регулирования. “Энергия”, М.:1967.
.
Методичні вказівки для виконання курсової роботи “Автоматичне керування
енергооб’єктами”.
.
Р. Граф.1300 прикладів електронних схем. «Мир», М.,1989.