Организация энергетического хозяйства на предприятии

  • Вид работы:
    Контрольная работа
  • Предмет:
    Физика
  • Язык:
    Русский
    ,
    Формат файла:
    MS Word
    46,91 Кб
  • Опубликовано:
    2013-10-27
Вы можете узнать стоимость помощи в написании студенческой работы.
Помощь в написании работы, которую точно примут!

Организация энергетического хозяйства на предприятии

Содержание

Введение

. Роль, задачи и структура энергетического хозяйства

. Планирование потребности предприятия в энергии различных видов

. Направления совершенствования работы энергетического хозяйства и его технико-экономические показатели

Заключение

Список использованных источников

Введение

Электроэнергетика является важнейшей составной частью топливно-энергетического комплекса страны, обладает рядом специфических черт, делающих ее непохожей ни на одну отрасль промышленности. По существу, она должна быть признана отраслью национального хозяйства, поскольку пронизывает все его сферы.

Главными отличительными особенностями электроэнергетики следует считать:

невозможность запасать электрическую энергию (в значительных масштабах и тепловую), в связи с чем имеет место постоянное единство производства и потребления;

зависимость объемов производства исключительно от потребителей и невозможность наращивания объемов производства по желанию и инициативе энергетиков;

необходимость оценивать объемы производства и потребления не только в расчете на год, как это делается для других отраслей промышленности и национального хозяйства, но и часовые величины энергетических нагрузок;

необходимость бесперебойности энергоснабжения потребителей, являющихся жизненно важным условием работы всего национального хозяйства;

планирование потребления на каждые сутки и каждый час в течении года, т.е. необходимость разработки графиков нагрузки на каждый день каждого месяца с учетом сезона, климатических условий, дня недели и других факторов.

Для большинства процессов на предприятии, начиная с основного производства и заканчивая ремонтом оборудования необходимо снабжение различными видами энергии. Эту задачу берет на себя энергетическое хозяйство предприятия. Назначение энергетического хозяйства - бесперебойное обеспечение всех подразделений предприятия необходимыми видами энергетических услуг при минимальных затратах на содержание данной службы.

Цель данной контрольной работы - изучить организацию энергетического хозяйства на предприятиях машиностроения.

Для достижения цели необходимо решить следующие задачи:

рассмотреть роль, задачи и структуру энергетического хозяйства;

изучить планирование потребности предприятия в энергии различных видов;

проанализировать направления совершенствования работы энергетического хозяйства, его технико-экономические показатели.

1. Роль, задачи и структура энергетического хозяйства

Современные предприятия машиностроения, а также радиоэлектронной промышленности являются крупнейшими потребителями энергии и энергоносителей, в частности электроэнергии, топлива, пара, сжатого воздуха, воды и т. д.

По характеру использования потребляемая энергия подразделяется на силовую, технологическую и производственно-бытовую. Силовая энергия приводит в движение технологическое оборудование, подъемно-транспортные средства; технологическая - служит для изменения свойств и состояния материалов (плавление, термообработка и т. д.); производственно-бытовая - расходуется на освещение, вентиляцию, отопление и другие цели.

Годовые затраты на потребляемую энергию на предприятиях весьма значительны, а их доля в себестоимости продукции в настоящее время достигает 25-30%.

Основными задачами энергетического хозяйства являются:

1) бесперебойное обеспечение предприятия, его подразделений и рабочих мест всеми видами энергии с соблюдением установленных для нее параметров - напряжения, давления, температуры и др.;

) рациональное использование энергетического оборудования, его ремонт и обслуживание;

) эффективное использование и экономное расходование в процессе производства всех видов энергии.

Экономия энергии достигается проведением в жизнь следующих мероприятий:

ликвидация и снижение прямых потерь энергии в сетях и местах ее потребления (неисправное состояние электросетей, соединений трубопроводов, шлангов, кранов, вентилей и др.);

внедрение в производство высокоэкономичных технологических процессов, приборов, оборудования (внедрение электроиндукционного нагрева деталей при термообработке вместо нагрева в электропечах сопротивления снижает расход электроэнергии более чем в 2 раза);

применение наиболее выгодных режимов работы технологического и энергетического оборудования, обеспечивающих полное использование мощности электромоторов и трансформаторов, уменьшение холостых расходов энергии (повышается коэффициент мощности в сетях - косинус фи);

- вторичное использование энергоресурсов - тепла (отходящих газов печей, отработанного пара кузнечных цехов, тепла охлаждающей воды и т. д.);

- организация четкого планирования, нормирования расхода, учета и контроля за потреблением энергии (составление топливного и энергетического балансов по каждому виду энергии).

Для осуществления перечисленных задач, а также для разработки и внедрения мероприятий по экономии всех видов энергии на предприятиях создаются энергетические хозяйства, структура которых зависит от ряда факторов: типа производства, объема выпуска продукции, энергоемкости продукции, развития кооперации с другими предприятиями и т. д.

энергетический хозяйство планирование экономический

На крупных предприятиях (в объединениях) во главе энергетического хозяйства находится управление главного энергетика (УГЭ), на средних предприятиях - отдел главного энергетика (ОГЭ), на малых предприятиях - энергомеханический отдел во главе с главным механиком. Главный энергетик является заместителем главного механика.

В состав энергетического хозяйства среднего предприятия (предприятия РЭП) входят: отдел главного энергетика, электросиловой цех (или участок), тепло- или паросиловой цех, электроремонтный и слаботочный цехи.

Отдел главного энергетика возглавляется главным энергетиком завода, подчиняющимся главному инженеру.

В составе ОГЭ создаются следующие функциональные подразделения: бюро ППР, техническое бюро, планово-производственное бюро и бюро энергоиспользования.

Бюро ППР планирует, контролирует и учитывает выполнение всех видов ремонтных работ энергетического оборудования, инспектирует правильность эксплуатации этого оборудования; ведет паспортизацию и учет всех видов энергетического оборудования; устанавливает номенклатуру, сроки службы, нормы расхода и лимиты на запасные части и покупные материалы; планирует изготовление или закупку материальных ценностей для ремонта.

Техническое бюро осуществляет всю техническую подготовку производства системы ППР.

Планово-производственное бюро осуществляет планирование потребности предприятия в различных видах энергии и энергоресурсов. Планирование сводится к составлению энергетических балансов, которые подразделяются на плановые и отчетные.

Плановый энергобаланс состоит в обосновании потребности предприятия в энергии и энергоресурсах.

Отчетный энергобаланс предназначен для контроля за фактическим энергопотреблением, для анализа использования энергии, а также для оценки качества работы энергоцехов.

Основой для составления плановых энергобалансов служат удельные нормы расхода энергии, топлива и т. д., а также плановые задания по выпуску продукции основного производства.

Бюро энергоиспользования занимается нормированием расхода энергии и вопросами ее рационального использования.

Электросиловой цех включает участки:

а) электроподстанцию с электросетями, которая принимает, преобразует в требуемое напряжение и доставляет электроэнергию заводским потребителям; при этом основное оборудование - трансформаторы, мотор-генераторы, установки, электродвигатели высокого напряжения;

б) монтажный участок, который выполняет подвод электросетей к вновь устанавливаемому оборудованию и производит ремонт действующих электросетей.

Тепло- или паросиловой цех объединяет участки:

а) парокотельный с трубопроводами, подающий пар и горячую воду потребителям; его основное оборудование - паровые котлы установки для подогрева воды;

б) водонасосная станция и канализация с водопроводными и канализационными сетями;

в) компрессорная станция, снабжающая цехи сжатым воздухом; ее основное оборудование - компрессоры;

г) азотно-кислородная, газогенераторная и ацетиленовая подстанции.

Электроремонтный цех выполняет все виды ремонтов энергетического оборудования согласно системе ППР, а также ремонт электрической части технологического оборудования.

Слаботочный цех включает участок связи и сигнализации, обслуживающий телефонную сеть, радиосвязь, электрочасовые установки, диспетчерскую связь и т. п.; участок по обслуживанию контрольно-измерительных приборов и средств автоматики и телемеханики.

Функции энергетической службы предприятия:

разработка нормативов, касающихся энергетической службы;

планирование потребности всех видов энергии и энергоносителей, составление энергетического баланса предприятия;

планирование ППР оборудования;

планирование потребности в запчастях;

организация выработки (обеспечения) предприятия всеми видами энергии;

оперативное планирование и диспетчирование обеспечения предприятия всеми видами энергии;

организация ремонтных работ оборудования;

разработка технической документации для проведения монтажных, ремонтных работ оборудования и энергетических коммуникаций (сетей);

организация обслуживания энергетического оборудования, сетей, линий связи;

контроль за качеством ремонтных работ;

надзор за правилами эксплуатации оборудования;

контроль за расходами всех видов энергии.

2. Планирование потребности предприятия в энергии различных видов

Рациональная организация энергетического хозяйства в определенной мере зависит от правильности планирования своей производственно-хозяйственной деятельности, нормирования и учета потребления энергоресурсов.

Энергоснабжение предприятия имеет специфические особенности, которые заключаются в одновременности производства и потребления энергии. Подача электроэнергии на предприятие на каждый момент времени должна регулироваться объемом потребления. Недостаточно полное ее использование ведет к неизбежным потерям, к недоиспользованию мощности. При повышенном против графика потреблении возникают "пиковые" нагрузки.

Определение потребности предприятия в энергоресурсах и учет их расхода основываются на составлении энергетических и топливных балансов. Балансовый метод планирования дает возможность рассчитать потребность предприятия в энергии и топливе различных видов, исходя из объема производства на предприятии и прогрессивных норм расхода, а также определить наиболее рациональные источники потребления этой потребности за счет получения энергии со стороны и собственного производства ее на предприятии.

Энергетические балансы классифицируются по следующим признакам:

назначению - перспективные, текущие, отчетные;

видам энергоносителя - частные по отдельным видам энергоносителя (уголь, нефть, пар, газ, вода) и общие по сумме всех видов топлива;

характеру целевого использования энергии (силового, технологического, производственно-хозяйственного значения).

Перспективные балансы составляются на длительный срок и используются при проектировании, реконструкции производства и для развития энергохозяйства предприятия в целом.

Текущие плановые балансы составляются на год с разбивкой по кварталам и являются основной формой планирования и потребления энергии всех видов.

Главная задача разработки планового баланса - обоснование плановой потребности предприятия в топливе и энергии для выполнения производственной программы предприятия по выпуску продукции - это расходная часть баланса. Обоснование наиболее рациональных возможность рассчитать потребность предприятия в энергии и топливе различных видов, исходя из объема производства на предприятии и прогрессивных норм расхода, а также способов покрытия этой потребности, получение энергии со стороны и на собственных генерирующих установках - приходная часть баланса.

Отчетные (фактические) балансы предназначены для контроля за потреблением энергоносителей и выполнением плановых балансов, а также служат основным материалом для анализа использования носителей, оценки работы в области рационализации энергохозяйства и экономии (перерасхода) топлива и энергии.

Определение потребности предприятия в энергоресурсах базируется на использовании прогрессивных норм расхода. Для использования топлива и энергии различных видов применяются удельные нормы.

Под прогрессивной нормой расхода энергии и топлива понимается минимально допустимый ее расход, необходимый для изготовления единицы продукции или выполнения единицы работы в наиболее рациональных условиях организации производства и эксплуатации оборудования.

Нормы энергопотребления бывают суммарными на единицу (времени) продукции или вид работ и операционными (дифференцированными) - на деталь, операцию, отдельный технологический процесс.

Основным методом определения норм расхода является расчетно-аналитический, позволяющий рассчитать плановую норму с учетом изменений в режиме работы, параметров технологических процессов и других факторов, влияющих на величину удельного расхода.

В зависимости от характера целевого использования энергии удельные нормы подразделяются на технологические и вспомогательные нужды (освещение, отопление, вентиляцию и т. д.). При этом учитываются допустимые потери энергии в сетях.

Плановая потребность предприятия в электроэнергии (общая) определяется по формуле:


где Нр э - плановая норма расхода электроэнергии на единицу продукции, кВт ч;

Nпл - плановый объем выпуска продукции в натуральном (стоимостном) выражении, шт. (руб.);

Рэлв.сп - расход энергии на вспомогательные нужды (освещение, вентиляцию, отопление и т.д.), кВт ч;

Pст - планируемый отпуск энергии на сторону, кВт-ч;

Рпот - планируемые потери энергии в сетях, кВт-ч.

Плановая потребность энергии по цехам определяется с помощью удельных норм расхода двигательной и технологической энергии на единицу продукции, а также объема производства в натуральном или других измерителях.

Необходимое количество двигательной (силовой) электроэнергии для производственных целей зависит от мощности установленного оборудования и определяется по формуле:


где Wу - суммарная мощность установленного оборудования (электромоторов), кВт;

Fэф - эффективный фонд времени работы оборудования (потребителей электроэнергии) за плановый период (месяц, квартал, год), ч;

К3 - коэффициент загрузки оборудования;

Ко - средний коэффициент одновременной работы потребителей энергии;

- коэффициент полезного действия питающей электрической сети;

 - коэффициент полезного действия установленных электромоторов.

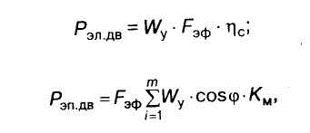
Необходимое количество электроэнергии для производственных целей рассчитывается по формулам:


где  - коэффициент спроса потребителей электроэнергии;

cosφ - коэффициент мощности установленных электродвигателей;

Км - коэффициент машинного времени электроприемников (машинного времени работы оборудования).

Потребное количество электроэнергии, идущей на освещение помещений, определяется по формуле:


где Ссв - число светильников (лампочек) на участке, в цехе, на предприятии, шт.;

Рср - средняя мощность одного светильника (лампочки), Вт;

h - норма освещения 1м2 площади, Вт (25Вт/м2);

S - площадь освещаемого здания, м2.

Расход пара на производственные цели определяется на основе удельных норм расхода соответствующего потребителя. Например, на обогрев сушильных камер (на 1 т обогреваемых деталей) периодического действия расходуется 100 кг/ч, для непрерывного действия сушильных камер (конвейеров) -45-75 кг/ч.

Расход пара на отопление здания рассчитывается по формуле:


где qn - расход пара на 1 м3 здания при разности наружной и внутренней температур в 1°С;

to - разность наружной и внутренней температур отопительного периода, °С;

Fд - время отопительного периода, ч;

V3 - объем здания (по наружному обмеру), м3;

J - теплосодержание пара (540 ккал).

Расход топлива на производственные нужды предприятия (термическая обработка металла, плавка металла, сушка литейных форм и т. д.) определяется по формуле:


где q - норма расхода условного топлива на единицу выпускаемой продукции;

 - калорийный эквивалент применяемого вида топлива.

Объем сжатого воздуха для производственных целей (,м3) определяется по формуле:


где 1,5 - коэффициент, учитывающий потери сжатого воздуха в трубопроводах, в местах неплотного их соединения;

d - расход сжатого воздуха при непрерывной работе воздухоприемника, м3/ч;

Ки - коэффициент использования воздухоприемника во времени;

К3 - коэффициент загрузки оборудования;

т - число наименований воздухоприемников.

Объем воды для производственных целей (ОВОД1 л) определяется по нормативам исходя из часового расхода:


где qBОД - часовой расход воды на один станок, л.

Расход топлива на отопление производственных и административных зданий рассчитывается по формуле:


где qT - норма расхода топлива на 1 м3 здания при разности наружной и внутренней температур в 1°С, ккал/ч;

-теплота сгорания условного топлива (7000 ккал/кг);

- коэффициент полезного действия котельной установки(=0,75).

В результате расчета потребности в энергоресурсах устанавливается лимит по видам в натуральном и денежном выражениях по подразделениям предприятия.

Анализ использования энергии и топлива базируется на данных дифференцированного учета.

Основой организации первичного учета энергии и энергоресурсов всех видов является организация контрольно-измерительного хозяйства предприятия. Счетчики энергоресурсов должны быть установлены на каждой единице энергетического оборудования. Данные учета регистрируются в журналах или ведомостях. Основными направлениями рационализации энергопотребления являются правильный выбор энергоносителей, ликвидация прямых потерь, совершенствование технологии и организации производства, ориентация на ресурсосберегающие технологии, бережное использование энергии и вторичных энергоресурсов.

3. Направления совершенствования работы энергетического хозяйства и его технико-экономические показатели

Основными направлениями совершенствования организации энергетического хозяйства предприятия и повышения эффективности его работы являются:

разработка новых методов производства и преобразования энергии;

совершенствование энергопроизводящего оборудования (и технологических процессов;

развитие взаимозаменяемости различных видов энергии ' и проводящих ее установок;

создание новых и совершенствование существующих средств преобразования энергии;

изучение закономерностей, тенденций и пропорций развития энергетики предприятия как единого целого;

формирование концепции оптимального управления энергохозяйством;

изучение комплексной проблемы энергетики, включая влияние ее на окружающую среду и развитие научно-технического прогресса.

В соответствии с разработанными направлениями по совершенствованию энергетического хозяйства составляются мероприятия, которые условно подразделяются на энергетические, технологические, мероприятия по улучшению режима работы, общепроизводственные и организационные.

К энергетическим относятся такие мероприятия, как замена энергоносителей одного другим (мазута, угля - газом и др.), повышение экономичности выработки энергии, широкое использование вторичных энергоресурсов, снижение потерь и т.д.

К технологическим мероприятиям относятся широкое внедрение скоростных методов обработки металлов резанием, нагрева заготовок, прогрессивных способов получения заготовок (точное литье, штамповка, чеканка, высадка), более технологичных конструкций изделий, а также снижение процента брака и повышение выхода годной продукции.

Мероприятия по улучшению режима работы (повышению cosφ) включают повышение загрузки оборудования, снижение холостых ходов и простоев нагревательного оборудования, замена оборудования периодического действия на оборудование непрерывного действия, механизация и автоматизация тепловых технологических процессов и энергетических установок, централизация управления, замена асинхронных двигателей на синхронные и т. д.

К общепроизводственным мероприятиям относятся внедрение экономичных систем производственной вентиляции и промышленного водоснабжения, замена ламп накаливания люминесцентными источниками света, использование выделяющегося в производстве тепла для отопления цехов (экономайзеры, рекуператоры, утилизаторы).

Организационные мероприятия - это рациональная организация контрольно-измерительного хозяйства, внедрение технического нормирования энергопотребления, четкая организация первичного учета расхода энергоресурсов.

Широкое применение во всех цехах предприятия надлежащей контрольно-измерительной аппаратуры способствует установлению более обоснованных норм расхода и проведению более правильного первичного учета.

Для первичного учета расхода электроэнергии, газа, пара, сжатого воздуха, воды и других энергоносителей следует устанавливать приборы (счетчики, паромеры, водомеры и т. д.) так, чтобы можно было получать фактические удельные величины расхода, соответствующие системе планирования норм энергопотребления, принятой на заводе. Энергетический учет должен быть оперативным и достоверным. Очень важно наряду с учетом расхода энергоресурсов учитывать выход вторичных энергоресурсов с помощью приборов или расчетным путем.

Фактические данные о расходе энергии различных видов, получаемые первичным учетом, используются, во-первых, для составления отчетных энергетических балансов по энергии всех видов в абсолютных величинах; во-вторых, для определения фактических удельных показателей расхода энергии всех видов; в-третьих, для расчета технико-экономических показателей энергетического хозяйства предприятия.

К числу основных технико-экономических показателей, характеризующих работу энергетического хозяйства, относятся:

) себестоимость единицы энергоресурса;

) доля затрат на энергию в себестоимости продукции;

) расход энергии на единицу продукции;

) размер вторичного использования энергоресурса;

) энерговооруженность труда, представляющая собой количество энергии, приходящейся на одного рабочего в год;

) коэффициент мощности (cosφ) и коэффициент спроса, характеризующие степень использования и качества эксплуатации электрооборудования.

Заключение

энергетический хозяйство планирование экономический

Энергетическое хозяйство предприятия - совокупность установок, служащих для преобразования и передачи энергии, и соответствующих служб, обеспечивающих бесперебойное снабжение предприятия всеми видами энергии и энергоносителей (электроэнергией, топливом, паром, газом и т. д.) установленных параметров и при наименьших затратах. Промышленные предприятия - основные потребители энергетических ресурсов. Их потребность в энергии и энергоносителях непрерывно возрастает, причем энерговооруженность труда на предприятиях является одним из главных показателей научно-технического прогресса.

Основные задачи энергетического хозяйства предприятия:

- бесперебойное обеспечение предприятия, его подразделений и рабочих мест всеми видами энергии с соблюдением установленных для нее параметров - напряжения, давления, температуры и др.;

рациональное использование энергетического оборудования, его ремонт и обслуживание;

эффективное использование и экономное расходование в процессе производства всех видов энергии.

Необходимым условием правильного планирования энергоснабжения является составление топливно-энергетического баланса, определяющего потребность предприятия в энергоресурсах и источники ее покрытия. Разработка энергетических балансов является основным методом планирования энергоснабжения и анализа использования энергоресурсов.

Таким образом, назначение энергетического хозяйства предприятия - надежное и бесперебойное удовлетворение в полном объеме потребностей производственных подразделений предприятия в энергии необходимых параметров с минимальными затратами.

Список использованных источников

1.  Багиев, Г.А. Организация, планирование и управление промышленной энергетикой. - М.: «Высшая школа», 2007.

2.      Ковалев, В.В., Волкова, О.Н. Анализ хозяйственной деятельности предприятия: учебник. - М.: ТК Велби, 2008.

3.      Новицкий, Н.И. Организация производства на предприятиях: учеб. метод. пособ. - М.: Финансы и статистика, 2010.

4.  Организация, планирование и управление деятельностью промышленных предприятий/ Под ред. С.Е. Каменицера, Ф.Ф. Русинова, - М.: «Высшая школа», 2009.

5.  Самсонов, В.С. Экономика предприятия энергетического комплекса. - М.: «Высшая школа», 2008.

Похожие работы на - Организация энергетического хозяйства на предприятии

 

Не нашли материал для своей работы?
Поможем написать уникальную работу
Без плагиата!
Без нейросетей!