Проектирование систем защиты радиоэлектронной аппаратуры от механических воздействий

  • Вид работы:
    Контрольная работа
  • Предмет:
    Информатика, ВТ, телекоммуникации
  • Язык:
    Русский
    ,
    Формат файла:
    MS Word
    907,21 Кб
  • Опубликовано:
    2013-08-06
Вы можете узнать стоимость помощи в написании студенческой работы.
Помощь в написании работы, которую точно примут!

Проектирование систем защиты радиоэлектронной аппаратуры от механических воздействий

Введение

амортизация радиоэлектронный аппаратура

В настоящее время радиоэлектронная аппаратура имеет широчайшее распространение в системах управления и сбора информации на различных транспортных средствах. В таких условиях ее применение сопряжено с различными механическими воздействиями, связанными, к примеру, с движением транспорта или изменением режима движения (остановка, изменение направления и т.д.), а также работой двигателя. Такие воздействия, обычно носящие периодический характер, называют вибрациями.

Эти воздействия при определенных условиях могут стать причиной сбоев в работе оборудования или его выхода из строя. Поэтому важной задачей является разработка систем, снижающих внешние воздействия на аппаратуру до допустимых для нормальной работы пределов.

Все виды механических воздействий характеризуются перегрузкой. Перегрузка в любой момент времени не должна превышать допустимых значений.

Вибрационной перегрузкой называют отношение максимального ускорения, возникающего при вибрации, к ускорению свободного падения:


Амортизация - система упругих опор, на которые устанавливается объект для защиты от внешних динамических воздействий. Амортизация - наиболее распространенный метод защиты РЭА отмеханических воздействий.

Коэффициент динамичности - величина, равная отношению ускорения элемента к ускорению борта.


Допустимый коэффициент динамичности определяется как .

Для выполнения амортизации необходимо, чтобы Kд <[ Kд ].

Используемый метод расчета - метод отстройки от собственных частот. Он заключается в выборе собственных частот таким образом, чтобы n была снижена до допустимых пределов. Затем эти частоты являются основой для расчета величин жесткости амортизаторов.

1.Расчетная часть

Выбор собственных частот. Парциальная схема

Рассмотрим парциальную схема - верхнюю часть системы.

Составим уравнение движения этой системы

Рис.

(Уравнение Лагранжа 2-го рода).

Движение плоско-параллельное.

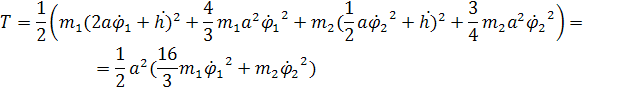
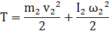
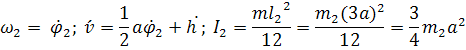
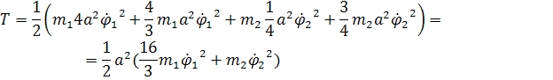
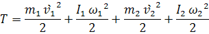
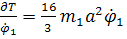
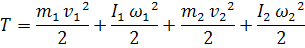
Для составления уравнения Лагранжа, найдем кинетическую энергию

;  ;

 ;

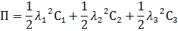
Найдем потенциальную энергию


 - пружина растягивается

 - пружина растягивается

Отсюда


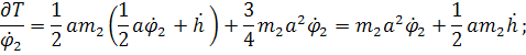
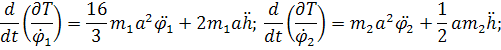
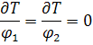
Составим уравнения Лагранжа. В общем виде

 |

Решение ищем в виде

Получим:

 |


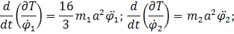
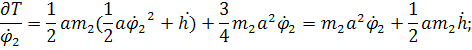
Рассмотрим систему с внешним кинетическим воздействием h=H*sinωt

Рис.

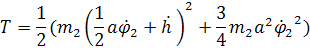
Найдем кинетическую энергию:


Потенциальная энергия такая же, как и в предыдущем случае:


Составим уравнения Лагранжа.


С учетом того, что , получим


Общее решение однородного уравнения: Asinkt

Частное решение неоднородного уравнения ищем в виде

 ;

 |


Так как элемент расположен на расстоянии r от опоры,то

По определению,, и . Получим


Для амортизации необходимо выполнение

Итак,


Левая часть неравенства выполняется всегда, так как она меньше 0.

Рис.


Получим:


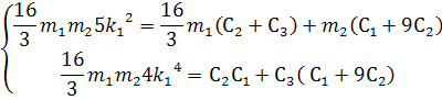
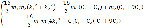
Эмперически . Тогда

В итоге, собственные частоты :



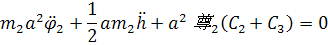
Определение жесткостей амортизаторов

Рис.

Определим необходимые величины для составления уравнения Лагранжа.

Найдем кинетическую энергию:

; ;;  ;

;


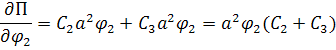
Найдем потенциальную энергию:


Удлинения пружин:

,

,


Получим

)


Составим уравнения Лагранжа:



Ищем решения в виде

 ;

 ;

Подставляем в систему и делим оба уравнения на


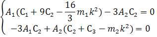
Для существования ненулевого решения необходимо, чтобы определитель был равен 0.

=0

(

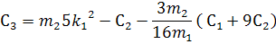
Учитывая, что (выпишем применение условий теоремы Виета для квадратного уравнения:


Получена система с тремя неизвестными (

С учетом того, что


Из первого выражаем :


Подставим полученное выражение для .


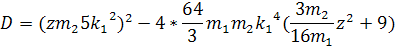
Примем z=, тогда .


Необходимо, чтобы дискриминант был больше 0:

≈20.655

≈20.655 - 9≈11.655

Выпишем выражение для корней уравнения.

=

Итоговое выражение для :


Рассчитаем жесткости при



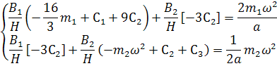
2.Проверочный расчет

Рис.

Рассмотрим систему, добавив в нее внешнее кинематическое воздействие h=H*sinωt

; ;;  ;


;


Потенциальная энергия, такая же как и в предыдущем случае

)


Составим уравнения Лагранжа:


Ищем решение в виде

 ;

 ;

Подставляем в систему, учитывая .


Отсюда, по правилу Крамера:


Рис.

Вывод

В ходе работы были рассчитаны жесткости амортизаторов, а также вычислены собственные частоты системы. Рассчитанные жесткости позволяют снизить нагрузку на заданном диапазоне частот до допустимых пределов, причем наилучшее снижение происходит при значениях жесткости

В этом случае на заданном диапазоне частот предельный коэффициент динамичности по модулю не превышает

.1 (1<, в то время как заданное предельное значение составляет 0.5

Рассчитанная система достаточно хорошо снимает нагрузку на РЭА на требуемом диапазоне частот.

Литература

1 .Ю.Н. Емельянов, О.Н. Окунькова, В.А. Титов. Проектирование систем защиты РЭА от механических воздействий - М.:МИРЭА, 1992.

Тарг С.М. Краткий курс теоретической механики. -М.:Высш. Шк., 1986

Похожие работы на - Проектирование систем защиты радиоэлектронной аппаратуры от механических воздействий

 

Не нашли материал для своей работы?
Поможем написать уникальную работу
Без плагиата!
Без нейросетей!