Проектирование систем микропроцессоров и сервисное обслуживание
Курс лекций
Проектирование систем
микропроцессоров и сервисное обслуживание
Фергана 2011
Лекция 1. Обработка информации в ИТ системах. Типы сигналов.
Логические основы цифровой техники
План
1. Виды сигналов
. Логические основы цифровой техники
. Системы счисления
. Методы представления логических функции
Ключевые слова и термины: дискретный сигнал, двоичный сигнал, реальные системы и
инерции аппаратов, позиционные системы счисления, разряд, коэффициенты разряда,
функции логической алгебры, комбинационные приборы, последовательные
устройства.
Любая форма человеческой деятельности, связана с передачей и
преобразованием информации.
Точной формулировки термина информация не существует, но мы будем
понимать под информацией ведения об изменении состояния, каких либо объектов.
Информация воплощенная и зафиксированная в некоторой материальной форме,
называется сообщением или сигналом.
Виды сигналов
Сигналы могут быть непрерывными и дискретными (цифровыми).
Непрерывный (аналоговый сигнал) представляется некоторой физической
величиной (электрическим током, напряжением и др.), изменение которой во
времени отображают информацию о рассматриваемом процессе. Физическая величина
передающая непрерывный сигнал, может в определенном интервале принимать любые
значения, и изменятся в произвольные моменты времени.
Для дискретных сообщений характерно наличие фиксированного набора
уровней, из которых в некоторые моменты времени формируются различные
последовательности.
Сигнал дискретной формы изображен на рис. 1
Рисунок
1.Сигнал дискретной формы
Дискретный
сигнал, имеющий два уровня принято называть двоичным (рис. 2)
Рисунок
2.Двоичный сигнал
На
рис.2 показан двоичный сигнал, у которого переход от одного уровня к другому
происходит мгновенно. Такой сигнал называется идеальным. Его использование
очень удобно для теоретического анализа различных моделей систем и процессоров.
Однако
все реальные системы и аппараты являются инерционными и срабатывают с
запаздыванием во времени. В них переход между уровнями сигнала происходит в
течение ненулевого отрезка времени как показано на рис. 3
Рисунок
3.Реальный двоичный сигнал
Системы
счисления
Для
представления в цифровых устройствах чисел, а также другой информации в
процессе программирования наряду с привычной для нас десятичной системой
счисления широко используются другие системы. Рассмотрим наиболее
употребительные позиционные системы счисления. Числа в таких системах счисления
представляются последовательностью цифр (цифр разрядов), разделенных запятой на
две группы: группу разрядов, изображающую целую часть числа, и группу разрядов,
изображающую дробную часть числа:
...а2а1а0,а-1а-2...
Здесь
а0,а1... обозначают цифры нулевого, первого и т. д.
разрядов целой части числа, а-1,а-2 ... - цифры первого,
второго и т. д. разрядов дробной части числа.
Цифре
разряда приписан вес рк, где р - основание системы счисления; к -
номер разряда, равный индексу при обозначениях цифр разрядов. Так, приведенная
выше запись означает следующее количество:
=
... + а2 • р2 +а1 • р1+а0
• р0+а-1 • р-1+а-2 • р-2+...
Для
представления цифр разрядов используется набор из р различных символов. Так,
при р = 10 (т.е. в обычной десятичной системе счисления) для записи цифр
разрядов используется набор из десяти символов: О, 1, 2,...,9. При этом запись
729,32410 (здесь и далее индекс при числе указывает основание
системы счисления, в которой представлено число) означает следующее количество:
Используя
такой принцип представления чисел, но выбирая различные значения основания
р,
можно строить разнообразные системы счисления.
В
двоичной системе счисления основание системы счисления р = 2. Таким образом,
для записи цифр разрядов требуется набор всего лишь из двух символов, в
качестве которых используются 0 и 1.
Следовательно,
в двоичной системе счисления число представляется последовательностью символов
0 и 1. При этом запись 11011,1012 соответствует в десятичной системе
счисления следующему числу:
В
восьмеричной системе счисления основание системы счисления р=8. Следовательно,
для представления цифр разрядов должно использоваться восемь разных символов, в
качестве которых выбраны 0, 1, 2,..,7 (заметим, что символы 8 и 9 здесь не
используются и в записи чисел встречаться не должны). Например, записи 735,468
в десятичной системе счисления соответствует следующее число:
т.
е. запись 735,468 означает число, содержащее семь раз по 82
= 64, три раза по 8 =8, пять раз по 8° = 1 ,четыре раза по 8-1 =1/8,
шесть раз по 8-2 = 1/64.
В
шестнадцатеричной системе счисления основание системы счисления р = 16 и для
записи цифр разрядов должен использоваться набор из 16 символов: О, 1, 2, ...
,9, А, В, С, D, Е, F. В нем используются 10 арабских цифр, и до требуемых
шестнадцати их дополняют шестью начальными буквами латинского алфавита. При
этом символу А в десятичной системе счисления соответствует 10, В - 11, С - 12,
D - 13,Е-14,F-15.
Запись
АВ9,С2F16 соответствует следующему числу в десятичной системе
счисления:
Для
хранения n-разрядных чисел в цифровой аппаратуре можно использовать устройства,
содержащие п элементов, каждый из которых запоминает цифру соответствующего
разряда числа. Наиболее просто осуществляется хранение чисел, представленных в
двоичной системе счисления. Для запоминания цифры каждого разряда двоичного
числа могут использоваться устройства с двумя устойчивыми состояниями
(например, триггеры). Одному из этих устойчивых состояний ставится в
соответствие цифра 0, другому - цифра 1.
При
хранении десятичных чисел каждая цифра десятичного числа представляется в
двоичной форме. Такая форма представления чисел называется двоично-кодированной
десятичной системой. Например, число 765,9310 в двоично-кодированной
десятичной системе представляется в следующем виде:
Следует
заметить, что, несмотря на внешнее сходство двоично-кодированного десятичного
числа, содержащего в разрядах лишь цифры О и 1, с двоичным числом, первое не
является двоичным. В этом легко убедиться. Например, если целую часть
приведенной выше записи рассматривать как двоичное число, то оно при переводе в
десятичную форму означало бы 189310, что не совпадает с целой частью
исходного числа 765.
Рассмотренный
способ двоичного представления (кодирования) десятичных цифр использует так
называемый код 8421 (название кода составлено из весовых коэффициентов разрядов
двоичного числа).
Наряду
с этим кодом при двоичном кодировании десятичных цифр используются различные
другие коды, наиболее употребительные из которых приведены в табл.1.1.
Таблица 1.1
|
Десятичная цифра
|
Двоичное кодирование
десятичной цифры
|
|
код 8421
|
Код 2421
|
код 2 из 5
|
код с изб.3
|
код 3а+2
|
код 7421
|
|
0
|
0000
|
0000
|
1100
|
0011
|
00010
|
0000
|
|
1
|
0001
|
0001
|
0110
|
0100
|
00101
|
0001
|
|
2
|
0010
|
0010
|
0011
|
0101
|
01000
|
0010
|
|
3
|
0011
|
0011
|
0001
|
0110
|
01011
|
0011
|
|
4
|
0100
|
0100
|
1000
|
0111
|
01110
|
0100
|
|
5
|
0101
|
1011
|
1010
|
1000
|
10001
|
0101
|
|
6
|
0110
|
1100
|
0101
|
1001
|
10100
|
0110
|
|
7
|
0111
|
1101
|
0010
|
1010
|
10111
|
1000
|
|
8
|
1000
|
1110
|
1001
|
1011
|
11010
|
1001
|
|
9
|
1001
|
1111
|
0100
|
1100
|
11101
|
1010
|
Код 7421 интересен тем, что любая кодовая комбинация содержит не более
двух единиц. В коде 2 из 5 все кодовые комбинации содержат точно две единицы.
Это свойство используется для обнаружения ошибочных комбинаций (ошибочное
распознавание любого из символов принятой кодовой комбинации изменяет число
единиц в этой комбинации).
Пары десятичных цифр, сумма которых равна девяти, составляют цифры,
взаимно дополняющие друг друга до девяти (0 и 9, 1 и 8, 2 и 7,...). В коде 2421
и коде с избытком 3 кодовая комбинация, соответствующая любой из десятичных
цифр, представляет собой инверсию комбинации, соответствующей ее дополнению до
девяти. Например, в коде 2421 паре взаимно дополняющих до девяти цифр 2 и 7
соответствуют комбинации 0010 и 1101, каждая из которых образуется как инверсия
другой. Это свойство упрощает выполнение в цифровых устройствах арифметических
операций над десятичными числами. Таким же свойством дополнения до девяти
обладает код За + 2. Кроме того, этот код имеет и другое полезное свойство:
любая пара кодовых комбинаций отличается не менее чем в двух разрядах, что позволяет
обнаруживать ошибочные комбинации (ошибка, изменяющая цифру одного разряда
любой из кодовых комбинаций, приводит к так называемой запрещенной комбинации,
не используемой для представления десятичных цифр в этом коде).
Логические основы цифровой техники
Любое дискретное устройство осуществляющее сложную переработку
информации, строится из некоторых элементарных компонентов - элементов.
При этом элементы соединяются по определенным правилам. Характер
элементов их соединение определяет функционирования устройства в целом.
Идеализированную модель устройства, отражающую лишь элементы и их соединения
будем назвать схемой.
Информация, которая передается между отдельными узлами (блоками) сложного
цифрового устройства, представляется в виде кодовых слов. Таким образом, на
входы каждого узла поступают кодовые слова, на выходе узла образуется новое
кодовое слово, представляющее собой результат обработки входных слов. Выходное
слово зависит от того, какие слова поступают на входы узла. Поэтому можно
говорить, что выходное слово есть функция, для которой аргументами являются
входные слова. Для того чтобы подчеркнуть особенность таких функций, состоящую
в том, что функция и ее аргументы могут принимать значения лог 0 и лог 1, будем
эти функции называть функциями алгебры логики (ФАЛ).
Устройства, предназначенные для формирования функций алгебры логики,
называются логическими устройствами или цифровыми устройствами.
Цифровые устройства (либо их узлы) можно делить на типы по различным
признакам.
По способу ввода и вывода кодовых слов различают логические устройства
последовательного, параллельного и смешанного действия.
На входы устройства последовательного действия символы кодовых слов
поступают не одновременно, а последовательно во времени, символ за символом (в
так называемой последовательной форме). В такой же последовательной форме
выдается выходное слово. Пример такого устройства показан на рис. 3.1 ,а. Как
нетрудно сообразить, устройство на рисунке выявляет несовпадение символов на
входах, выдавая лог 1 при несовпадении и лог 0 при совпадении символов
(действительно, при несовпадении входных символов, когда Вх1 = 1 и
Вх2 = 0 или Вх1 =
0 и Вх2
== 1, на выходе устройства Вых = 1, при совпадении входных символов,
когда Вх1=1 и Вх2=1 или Вх1=0 и Вх2=0,
на выходе Вых = 0).
На входы устройства параллельного действия все п символов каждого
входного кодового слова подаются одновременно (в так называемой параллельной
форме) В такой же форме образуется на выходе выходное слово. Очевидно, при
параллельной форме приема и выдачи кодовых слов в устройстве необходимо иметь
для каждого разряда входного (выходного) слова отдельный вход (выход). Пример
такого устройства показан на рис. 3.1 ,б. Устройство выполняет над разрядами
входных слов ту же логическую операцию (выявляя несовпадение символов
соответствующих разрядов входных слов), что и устройство, показанное на рис.
3.1 ,а, но в параллельной форме. Входы устройства разделены на две группы (I и
II), каждая из которых предназначена для приема трехразрядного входного
кодового слова в параллельной форме. На выходах устройства также в параллельной
форме получается трехразрядное выходное слово.
Рис. 3.1
В устройствах смешанного действия входные и выходные кодовые слова
представляются в разных формах. Например, входные слова - в последовательной
форме, выходные - в параллельной. Устройства смешанного действия могут
использоваться для преобразования кодовых слов из одной формы представления в
другую (из последовательной формы в параллельную или наоборот).
По способу функционирования логические устройства (и их схемы) делят на
два класса: комбинационные устройства (и соответственно комбинационные схемы) и
последовательные устройства (последовательные схемы).
В комбинационном устройстве (называемом также автоматом без памяти)
каждый символ на выходе (лог. 0 или лог. 1) определяется лишь символами (лог.0
или лог.1), действующими в данный момент времени на входах устройства, и не
зависит от того, какие символы ранее действовали на этих входах. В этом смысле
комбинационные устройства лишены памяти (они не хранят сведений о прошлом
работы устройства).
В последовательных устройствах (или автоматах с памятью) выходной сигнал
определяется не только набором символов, действующих на входах в данный момент
времени, но и внутренним состоянием устройства, а последнее зависит от того,
какие наборы символов действовали на входах во все предшествующие моменты
времени в процессе работы устройства. Поэтому можно говорить, что
последовательные устройства обладают памятью (они хранят сведения о прошлом
работы устройства).
Рассмотрим примеры комбинационного и последовательного устройства. Пусть
устройство (рис. 3.2,а) предназначено для формирования на выходе сигнала,
определяющего совпадение сигналов на входах: на выходе формируется лог. 1 в
случаях, когда на обоих входах действует либо лог. 1, либо лог.0; если на одном
из входов действует лог. 1, а на другом - лог.0, то на выходе устройства
образуется лог. 0.
Рис.3.2а)
Рис.3.2б)
Такое устройство является комбинационным, в котором значение формируемой
на выходе логической функции определяется лишь значениями ее аргументов в
данный момент времени. Рассмотрим другой пример. Счетчик на рис. 3.2,6
подсчитывает импульсы. В каждый момент времени его состояние соответствует
числу поступивших на вход импульсов. Выходная информация определяется тем,
каково было состояние счетчика до данного интервала времени и поступает или нет
на вход импульс в данном интервале времени. Таким образом, данное устройство является
последовательным устройством.
Способы задания логических функций
В классической математике для задания функции обычно используются два
способа: аналитический (запись формулой) и табличный (таблицами значений
функции, какие приводятся, например, в справочниках). Подобными же способами
могут задаваться логические функции.
При табличном способе строится так называемая таблица истинности, в
которой приводятся все возможные сочетания значений аргументов и
соответствующие им значения логической функции. Так как число таких сочетаний
конечно, таблица истинности позволяет определять значение функции для любых
значений аргументов (в отличие от таблиц математических функций, которые
позволяют задавать значения функции не для всех, а лишь для некоторых значений
аргументов).
Таблица истинности для логических функций одного аргумента приведена в
табл. 4.1. Существуют всего четыре функции одного аргумента.
Таблица 4.1
|
Аргумент x
|
Функции
|
|
f0(x)
|
f1(x)
|
f2(x)
|
f3(x)
|
|
0
|
0
|
0
|
1
|
1
|
|
1
|
0
|
1
|
0
|
1
|
Если число аргументов функции равно п, то число различных сочетаний
(наборов) значений аргументов составляет 2n , а число различных
функций п аргументов 22n . Так, при п = 2 число наборов значений
аргументов равно 22 = 4, число функций 24 = 16. Таблица
истинности функций двух аргументов представлена табл. 4.2.
Возможен и аналитический способ записи логической функции. В обычной
математике аналитический способ представления функции предполагает запись
функции в виде математического выражения, в котором аргументы функции
связываются определенными математическими операциями. Подобно этому
аналитический способ задания логической функции предусматривает запись функции
в форме логического выражения, показывающего, какие и в какой
последовательности должны выполняться логические операции над аргументами
функции.
Функции одного аргумента (табл. 4.1) представляются следующими
выражениями:
Рис.
4
Устройства,
реализующие функции f0(х),f1(х) и f3(x),
оказываются тривиальными. Как видно из рис. 4.3, формирование функции f0(х)
требует разрыва между входом и выходом с подключением выхода к общей точке
схемы, формирование функции f1(х) - соединения входа с выходом,
формирование функции f3(х) - подключения выхода к источнику
напряжения, соответствующего лог. 1 Таким образом, из всех функций одного
аргумента практический интерес может представлять лишь функция f2(x)=x
(логическое НЕ).
Кроме
таблицы истинности и уравнения функции существует способ называемый карта
Карно.
Карта
Карно с 2^n состояниями-клетками, соответствующими всем 2^n возможными
состояниям входов элемента. входы разбиваются на две группы, и при этом
столбцам карты соответствуют все комбинации одной группы, а строки другой. При
этом комбинации входных сигналов располагаются так что соседние столбцы и
строки отличаются состоянием только одного входа. Поскольку каждому входу
приписан вес 1,2,4,Й,.,.,2^n, то каждая строка и столбец будут также иметь вес,
равный сумме весов тех входов, которые в данном состоянии выхода имеет значение
1. Каждая клетка соответствует соединению с номером, равным сумме весов столбца
и строки, образующих эту клетку. Единичное обозначение сигнала на выходе
отмечается сплошной линией. Соединение клетки Карт содержат соседние наборы,
отличающиеся значением одной переменной. Соседними являются и крайние клетки.
Цифры в нижнем правом углу указывают номер набора. В средней части каждой
клетки указано значение определяемой функций, которой она равна в данном
наборе.
Число
клеток карты Карно определяется числом надборов входных переменных. Так на
рис.5 приведены Карты Карно для задания функции 2, 3, 4 переменных.
Рис.
5
Контрольные
вопросы:
1.
Какие виды существует сигналов?
.
Какие сигналы называются дискретными?
.
Какие сигналы называются аналоговыми?
.
Какие сигналы называются двоичными?
.
Какие системы счисления вы знаете?
.
Какие устройства называют логическими устройствами.
7.
Для чего нужны Карно Карты?
8.
Что такое позиционные системы счисления?
.
Что входит к функциям логической алгебры?
10.
Расскажите про комбинационные приборы и последовательные устройства.
Лекция
2. Анализ и разработка логических схем. Синтез логических схем
План
.
Синтез логических схем
.
Совершенно нормальная конъюнктивная форма
.
Минимизация функции.
.
Минимизация функции с помощью Карно карт.
Ключевые
слова и термины: канонические формы представления логических
функции, синтезирование логических сооружений, совершенно нормальная
дизъюнктивная форма (СНДФ) и совершенно нормальная конъюнктивная форма (СНКФ),
минимизация функции, Карно карты.
Канонические
формы представления логических функций
Синтез
логического устройства распадается на несколько этапов. На первом этапе
функцию, заданную в словесной, табличной или других формах требуется
представить в виде логического выражения с использованием некоторого базиса.
Дальнейшие этапы сводятся к получению минимальных форм функций, обеспечивающих
при синтезе наименьшее количество электронного оборудования и рациональное
построение функциональной схемы устройства. Для первого этапа обычно
используется базис И, ИЛИ, НЕ независимо от базиса, который будет использован
для построения логического устройства.
Для
удобства последующих преобразований приняты следующие две исходные канонические
формы представления функций: совершенная дизъюнктивная нормальная форма (СДНФ)
и совершенная конъюнктивная нормальная форма (СКНФ).
Совершенная
дизъюнктивная нормальная форма (СДНФ). Дизъюнктивной нормальной формой (ДНФ)
называется такая форма представления функции, при которой логическое выражение
функции строится в виде дизъюнкции ряда членов, каждый из которых является
простой конъюнкцией аргументов или их инверсий. Примером ДНФ может служить
выражение
(2.1)
Приведем
форму представления функции, не являющуюся ДНФ. Например, функция
представлена
не в ДНФ, так как последний член не является простой конъюнкцией аргументов.
Также не является ДНФ следующая форма представления функции:
Если
в каждом члене ДНФ представлены все аргументы (или их инверсии) функции, то
такая форма называется СДНФ. Выражение (2.1) не является СДНФ, так как в нем
лишь третий член содержит все аргументы функции.
Для
перехода от ДНФ к СДНФ необходимо в каждый из членов, в которых представлены не
все аргументы, ввести выражение вида,
где
xi - отсутствующий в члене аргумент. Так как такая операция не может
изменить значений функции. Покажем переход от ДНФ к СДНФ на примере следующего
выражения:
Добавление
в члены выражений вида приведет к функции
На
основании
Отсюда
после приведения подобных членов
т.е.
имеем СДНФ. Если исходная функция задана в табличной форме, то СДНФ может быть
получена непосредственно.
Таблица 2.1
|
X1
|
0
|
0
|
0
|
0
|
1
|
1
|
1
|
1
|
|
X2
|
0
|
0
|
1
|
1
|
0
|
0
|
1
|
1
|
|
X3
|
0
|
1
|
0
|
1
|
0
|
1
|
0
|
1
|
|
f(x1x2x3x4)
|
0
|
0
|
1
|
1
|
0
|
1
|
0
|
1
|
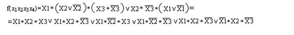
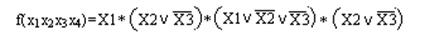
Пусть задана функция в форме табл. 2.1. Для этой функции СДНФ имеет вид
(2.2)
Каждый член в (2.2) соответствует некоторому набору значений аргументов,
при котором f(x1,x2,x3) равна 1. Каждый из
наборов аргументов, при которых f(x1,x2,x3)
равна 1 (3-, 4-, б-, 8-й столбцы наборов), обращает в единицу соответствующий
член выражения (5.2), вследствие чего и вся функция оказывается равной единице.
Можно сформулировать следующее правило записи СДНФ функции, заданной
таблицей истинности. Необходимо записать столько членов в виде конъюнкций всех
аргументов, сколько единиц содержит функция в таблице. Каждая конъюнкция должна
соответствовать определенному набору значений аргументов, обращающему функцию в
единицу, и если в. этом наборе значение аргумента равно нулю, то в конъюнкцию
входит инверсия данного аргумента. Следует отметить, что любая функция имеет
единственную СДНФ.
Совершенная конъюнктивная нормальная форма (СКНФ). Конъюнктивной
нормальной формой (КНФ) называется форма представления функции в виде
конъюнкции ряда членов, каждый из которых является простой дизъюнкцией
аргументов (или их инверсий).
Примером КНФ может служить следующая форма представления функции:
Приведем форму представления функций, не являющейся КНФ:
эта форма не является КНФ, так как в ней первый член не связан с
остальными операцией конъюнкции).
В СКНФ в каждом члене КНФ должны быть представлены все аргументы. Для
перехода от КНФ к СКНФ необходимо добавить к каждому члену, не содержащему всех
аргументов, члены вида хi*хi где аргумент, не
представленный в члене. Так как хi *х =0, то такая операция не может
повлиять на значение функции. Добавление хi *х, к некоторому члену Y
образует выражение вида Yvхi *х, которое можно привести к виду
Справедливость
данного равенства вытекает из распределительного закона, она может быть
показана также путем раскрытия скобок в правой части выражения На примере
функции
рассмотрим
переход от КНФ
Подставив
сюда значения z1 и z2, получим соответствующие члены
приведенного выше выражения
при
переходе от КНФ к СКНФ.
Совершенная КНФ функции легко строится по таблице истинности.
Рассмотрим в качестве примера функцию, приведенную в табл 2.1.
(2.3)
Выражение содержит столько членов, связанных операцией конъюнкции,
сколько нулей имеется среди значений функции f(x1,x2,x3)
в таблице истинности. Таким образом, каждому набору значений аргументов, на
котором функция равна нулю, соответствует определенный член СКНФ, принимающий
на этом наборе значений нуль. Так как члены СКНФ связаны операцией конъюнкции,
то при обращении в нуль одного из членов функция оказывается равной нулю.
Таким образом, можно сформулировать правило записи СКНФ функции, заданной
таблицей истинности. Следует записать столько конъюнктивных членов,
представляющих собой дизъюнкции всех аргументов, при скольких наборах значений
аргументов функция равна нулю и если в наборе значение аргумента равно единице,
то в дизъюнкцию входит инверсия этого аргумента. Любая функция имеет
единственную СКНФ.
Структурная схема логического устройства может быть построена
непосредственно по канонической форме (СДНФ или СКНФ) реализуемой функции.
Получающиеся при этом схемы для функций (2.2 ) и (2.3) показаны на рис. 2.1,а и
б.
Рис. 2.1
Недостаток такого метода построения структурных схем. обеспечивающего в
общем правильное функционирование устройства, состоит в том, что получающиеся схемы
чаще всего неоправданно сложные, требуют использования большого числа
логических элементов, имеют низкие экономичность и надежность. Во многих
случаях удается так упростить логическое выражение, не изменив функции, что
соответствующая структурная схема оказывается существенно более простой. Методы
такого упрощения функции называются методами минимизации функции.
Минимизация функций с использованием карт Карно
В таблице 2.2 приведена иллюстрация карты Карно для функций трех и
четырех аргументов.
Аргументы функции делятся на две группы, комбинации значении аргументов
одной группы приписываются столбцам таблицы, комбинации значений аргументов
другой группы - строкам таблицы. Столбцы и строки обозначаются комбинациями,
соответствующими последовательности чисел в коде Грея (это сделано для того,
чтобы склеивающиеся клетки находились рядом). Обозначения столбца и строки, на
пересечении которых находится клетка таблицы, образуют набор, значение функции
на этом наборе записывается в клетку.
Для получения минимизированной функции охватываются областями клетки
таблицы, содержащие 1. Как и в случае минимизации с помощью карт Вейча, области
должны быть прямоугольной формы и содержать 2К клеток (при
целочисленном значении к). Для каждой области составляется набор из двух
комбинаций: приписанных столбцам и приписанных строкам, на пересечении которых
расположена область. При этом если области соответствуют несколько комбинаций
кода Грея, приписанных столбцам или строкам, то при составлении набора области
записывается общая часть этих комбинаций, а на месте различающихся разрядов
комбинаций ставятся звездочки. Например, для функции, представленной табл. 2.2,
области I будет соответствовать набор 1.00 или член
Таким образом, для этой функции
Таблица 2.2
Для получения минимальной КНФ (МКНФ) областями охватываются клетки,
содержащие 0, и члены МКНФ записываются через инверсии цифр, получаемых для
наборов отдельных областей.
Контрольные вопросы:
. Расскажите про синтеза логических схем
. Что такое канонические формы представления логических функции?
. Расскажите про синтезирования логических сооружений.
. Что такое совершенно нормальная дизъюнктивная форма (СНДФ)?
. Что такое совершенно нормальная конъюнктивная форма (СНКФ)?
. что означает минимизация функции?
. Для чего нужны Карно карты?
Лекция 3. Сложные логические схемы. Мультиплексоры
План
. Процесс работы мультиплексоров и его задачи.
. Шифраторы.
. Дешифраторы.
. Линейные дешифраторы.
. Задачи триггеров
Ключевые слова и термины: мультиплексор, де мультиплексор, шифраторы
(кодеры), дешифраторы (декодеры), пара фазный вход, триггеры, активный
логический степень, пассивный логический степень, RS-триггер, синхроний
триггер.
Назначение и принцип работы
Устройство, которое осуществляет выборку одного из нескольких входов и
подключает его к своему выходу, называется мультиплексором. Мультиплексор имеет
несколько информационных входов (D0,D1...), адресные
входы (Ао,А1,...), вход для подачи стробирующего сигнала
С и один выход Q. На рис. 1, а показано символическое изображение
мультиплексора с четырьмя информационными входами.
Рис. 1
Каждому информационному входу мультиплексора присваивается номер, называемый
адресом. При подаче стробирующего сигнала на вход С мультиплексор выбирает один
из входов, адрес которого задается двоичным кодом на адресных входах, и
подключает его к выходу.
Таким образом, подавая на адресные входы адреса различных информационных
входов, можно передавать цифровые сигналы с этих входов на выход Q. Очевидно,
число информационных входов ni и число адресных входов na
связаны соотношением пi =2na. Функционирование
мультиплексора определяется табл. 1
Таблица 1
|
Адресные входы
|
Стробирующий сигнал
|
Выходы
|
|
А1
|
А0
|
С
|
Q
|
|
X
|
X
|
0
|
0
|
|
0
|
0
|
1
|
D0
|
|
0
|
1
|
1
|
D1
|
|
1
|
0
|
1
|
D2
|
|
1
|
1
|
D3
|
Демультиплексор
Демультиплексор имеет один информационный вход и несколько выходов и
осуществляет коммутацию входа к одному из выходов, имеющему заданный адрес
(номер).
Шифраторы
Шифратор (называемый также кодером) осуществляет преобразование
десятичных чисел в двоичную систему счисления. Пусть в шифраторе имеется m
входов, последовательно пронумерованных десятичными числами (0,1,2,. ..,т-1), и
п выходов. Подача сигнала на один из входов приводит к появлению на выходах
n-разрядного двоичного числа, соответствующего номеру возбужденного входа.
Очевидно, трудно строить шифраторы с очень большим числом входов т,
поэтому они используются для преобразования в двоичную систему счисления
относительно небольших десятичных чисел.
Шифраторы широко используются в разнообразных устройствах ввода
информации в цифровые системы. Такие устройства могут снабжаться клавиатурой,
каждая клавиша которой связана с определенным входом шифратора. При нажатии
выбранной клавиши подается сигнал на соответствующий вход шифратора, и на его
выходе возникает двоичное число, соответствующее выгравированному на клавише
символу.
На рис. 2 приведено символическое изображение шифратора, преобразующего
десятичные числа 0, 1, 2,...,9 в двоичное представление в коде 8421. Символ СD
образован из букв, входящих в
английское слово Сос1ег. Слева показаны 10 входов, обозначенных
десятичными цифрами 0, 1, 2,...,9, справа-выходы шифратора; цифрами 1, 2, 4,8
обозначены весовые коэффициенты двоичных разрядов, соответствующих отдельным
выходам.
Рис. 2
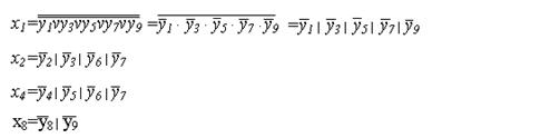
Из приведенного в табл.2 соответствия десятичного и двоичного кодов
следует, что переменная хi на выходе, обозначенном цифрой 1, равна
лог.1, если это значение имеет одна из входных переменных У1,У3,У5,У7,У9.
Следовательно,
1=y1vy3vy7vу9
Для остальных выходов
х2=y2vy3vy6vy7
х4= y4vy5vy6vy7
х8=y8vy9
Этой системе логических выражений соответствует схема на рис 3
Таблица 2
|
Номер входа (в десятичной
системе)
|
Выходной код 8421
|
|
Х8
|
Х4
|
Х3
|
X1
|
|
0
|
0
|
0
|
0
|
0
|
|
1
|
0
|
0
|
0
|
1
|
|
2
|
0
|
0
|
1
|
0
|
|
3
|
0
|
0
|
1
|
1
|
|
4
|
0
|
1
|
0
|
0
|
|
5
|
0
|
1
|
0
|
1
|
|
6
|
0
|
1
|
1
|
0
|
|
7
|
0
|
1
|
1
|
1
|
|
8
|
1
|
0
|
0
|
0
|
|
1
|
0
|
0
|
1
|
На рис. 3.6 изображена схема шифратора на элементах ИЛИ-НЕ. Шифратор
построен в соответствии со следующими выражениями:
При этом шифратор имеет инверсные выходы.
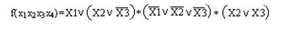
При выполнении шифратора на элементах И-НЕ следует пользоваться следующей
системой логических выражений:
В этом случае предусмотрена подача на входы инверсных значений, т.е. для
получения на выходе двоичного представления некоторой десятичной цифры
необходимо на соответствующий вход подать лог. 0, на остальные входы - лог. 1.
Схема шифратора, выполненная на элементах И-НЕ, приведена на рис. 3, в.
Рис. 3
Изложенным способом могут быть построены шифраторы, выполняющие
преобразование десятичных чисел в двоичное представление с использованием
любого двоичного кода.
Дешифраторы
Для обратного преобразования двоичных чисел в небольшие по значению
десятичные числа используются дешифраторы (называемые также декодерами). Входы
дешифратора предназначаются для подачи двоичных чисел, выходы последовательно
нумеруются десятичными числами. При подаче на входы двоичного числа появляется
сигнал на определенном выходе, номер которого соответствует входному числу.
Дешифраторы имеют широкое применение. В частности, они используются в
устройствах, печатающих на бумаге выводимые из цифрового устройства числа или
текст. В таких устройствах двоичное число, поступая на вход дешифратора,
вызывает появление сигнала на определенном его выходе. С помощью этого сигнала
производится печать символа, соответствующего входному двоичному числу.
На рис. 4,а приведено символическое изображение дешифратора. Символ DС
образован из букв английского слова Decoder. Слева показаны входы, на которых
отмечены весовые коэффициенты двоичного кода справа - выходы, пронумерованные
десятичными числами, соответствующие отдельным комбинациям входного двоичного
кода. На каждом выходе образуется уровень лог.1 при строго определенной
комбинации входного кода. Дешифратор может иметь парафазные входы для подачи
наряду с входными переменными их инверсий, как показано на рис. 4,б.
Рис. 4
По способу построения различают линейные и прямоугольные дешифраторы.
Линейный дешифратор
Рассмотрим построение дешифратора, осуществляющего преобразование,
заданное табл. 3
Таблица 3
|
Выходной код 8421
|
Номер выхода (в десятичной
системе)
|
|
X8
|
X4
|
X2
|
X1
|
|
|
0
|
0
|
0
|
0
|
0
|
|
0
|
0
|
0
|
1
|
1
|
|
0
|
0
|
1
|
0
|
2
|
|
0
|
0
|
1
|
1
|
3
|
|
0
|
1
|
0
|
0
|
4
|
|
0
|
1
|
0
|
1
|
5
|
|
0
|
1
|
1
|
0
|
6
|
|
0
|
1
|
1
|
1
|
7
|
|
1
|
0
|
0
|
0
|
8
|
|
1
|
0
|
0
|
1
|
9
|
На рис. 5, а, б показана структура дешифратора, построенного на элементах
И-НЕ, и его изображение в схемах. Структура имеет особенности, характерные для
дешифраторов в интегральном исполнении:
для уменьшения числа входов формирование инверсий входных переменных
осуществляется в самом дешифраторе;
подключенные непосредственно к входам дополнительные инверторы уменьшают
нагрузку со стороны дешифратора на его входные цепи.
А)
Б)
Рис. 5
Триггеры
Интегральные триггеры обычно реализуются на логических элементах И-НЕ,
ИЛИ-НЕ. Обратимся к таблицам истинности функций, реализуемых логическими
элементами И-НЕ и ИЛИ-НЕ (табл. 4). Каждый из этих элементов характеризуется
некоторым логическим уровнем (лог. 0 или лог.1), наличие которого на одном из
входов полностью определяет логический уровень на выходе.
Таблица 4
|
X1
|
X2
|
X1|X2
|
X1↓X2
|
|
0
|
0
|
1
|
1
|
|
0
|
1
|
1
|
0
|
|
1
|
0
|
1
|
0
|
|
1
|
1
|
0
|
0
|
При этом логический уровень на выходе элемента не зависит ни от каких
комбинаций логических уровней на других входах этого элемента. Таким логическим
уровнем для элемента И-НЕ является лог.0, а для элемента ИЛИ-НЕ - лог. 1.
Действительно, если на одном из входов элемента И-НЕ лог. 0, то на выходе
этого элемента возникает лог. 1 независимо от того, каковы логические уровни на
других входах; лог. 1 на одном из входов элемента ИЛИ-НЕ установит на выходе
уровень лог. 0, который не будет зависеть от логических уровней на других
входах элемента.
Логический уровень, наличие которого на одном из входов элемента
однозначно определяет логический уровень на его выходе независимо от уровней на
других входах, будем называть активным логическим уровнем. Таким образом,
активный логический уровень для элементов И-НЕ - лог.0, для элементов ИЛИ-НЕ -
лог.1.
Так как наличие активного логического уровня на одном из входов элемента
определяет уровень на выходе элемента (выходной уровень элемента при этом не
зависит от уровней на других входах), можно говорить, что при этом происходит
логическое отключение остальных входов элемента.
Уровни, обратные активным, будем называть пассивными логическими
уровнями. Пассивным уровнем для элементов И-НЕ является уровень лог.1. для
элемента ИЛИ-НЕ - лог.0. При пассивном логическом уровне на одном из входов
элемента уровень на выходе элемента определяется логическими уровнями на других
его входах. Пользование понятиями активного и пассивного логических уровней
облегчает анализ функционирования триггеров, построенных на элементах И-НЕ или
ИЛИ-НЕ.
Назначение триггера
Триггер предназначен для хранения значения одной логической переменной
(или значения одноразрядного двоичного числа; при хранении многоразрядных
двоичных чисел для запоминания значения каждого разряда числа используется
отдельный триггер). В соответствии с этим триггер имеет два состояния: одно из
них обозначается как состояние 0, другое - как состояние 1. Воздействуя на
входы триггера, его устанавливают в нужное состояние.
Основные обозначения
Триггер имеет два выхода: прямой Q и инверсный Q. Состояние, в котором
находится триггер, определяется уровнями напряжения на этих выходах: если
напряжение на выходе Q соответствует уровню лог.0 (Q = 0), то принимается, что
триггер находится в состоянии 0, при Q = 1 триггер, находится в состоянии 1.
Логический уровень на инверсном выходе Q представляет собой инверсию состояния
триггера (в "состоянии 0 Q = 1, и наоборот).
Триггеры имеют различные типы входов. Приведем их обозначения и
назначения:(от англ. Reset) - раздельный вход установки в состояние 0;(от англ.
Set) - раздельный вход установки в состояние 1,
К - вход установки универсального триггера в состояние 0;- вход установки
универсального триггеров состояние 1;
Т - счетный вход;(от англ. Delay) - информационный вход установки
триггера в состояние, соответствующее логическому уровню на этом входе;
С-управляющий (синхронизирующий) вход.
Наименование триггера определяется типами его входов. Например,
RS-триггер - триггер, имеющий входы типов R и S.
По характеру реакции на входные сигналы триггеры делятся на два типа:
асинхронные и синхронные. В асинхронном триггере входные сигналы воздействуют
на состояние триггера непосредственно с момента их подачи на входы, в
синхронных триггерах - только при подаче синхронизирующего сигнала на
управляющий вход С.
Типы триггеров
Рассмотрим общие характеристики основных типов триггеров. Каждый тип
триггера характеризуется таблицей переходов. Таблица переходов, приведенная в
табл. 5,а, соответствует работе RS-триггера. Здесь Q0 - текущее
состояние триггера (состояние до подачи на вход активного сигнала). При
отсутствии на входах R и S активного уровня триггер сохраняет текущее
состояние. Активный сигнал R = 1 устанавливает триггер в состояние 0, а сигнал
R = 1 - в состояние 1. Звездочкой в таблице отмечено состояние, соответствующее
запрещенной комбинации входных сигналов.
Таблица 5,6 является таблицей переходов JK-триггера. Этот тип триггера
отличается от RS-триггера отсутствием запрещенной комбинации входных сигналов,
при J= К = I триггер устанавливается в состояние, противоположное текущему
состоянию Q0.
Таблица 5в является таблицей переходов D-триггера. Триггер
устанавливается в состояние, соответствующее уровню сигнала на входе D.
Таблица 5г определяет работу Т-тригтера. При входном сигнале T=0 триггер
сохраняет текущее состояние Q0, при входном сигнале T=1 триггер
переключается в состояние, противоположное текущему.
Таблица 5
|
0
|
0
|
Q0
|
|
|
0
|
1
|
0
|
|
|
1
|
0
|
1
|
|
|
1
|
1
|
-
|
|
|
J
|
K
|
Q
|
|
0
|
0
|
Q0
|
|
0
|
1
|
0
|
|
1
|
0
|
1
|
|
1
|
1
|
Q
|
|
D
|
Q
|
|
|
0
|
0
|
|
|
1
|
1
|
|
|
T
|
Q
|
|
|
0
|
Q0
|
|
|
1
|
Q0
|
|
|
|
|
|
|
|
|
|
|
RS-триггер с прямыми входами
Логическая структура триггера представлена на рис. 6,а. Триггер построен
на двух логических элементах ИЛИ-НЕ, связанных таким образом, что выход каждого
элемента подключен к одному из входов другого. Такое соединение элементов в
устройстве обеспечивает два устойчивых состояния, в чем легко убедиться.
Пусть на входах R и S действуют пассивные для элементов ИЛИ-НЕ уровни
лог. О, которые не влияют на состояние триггера. В состоянии 0 триггера на
выходе элемента А имеем Q=0; это значение подается на вход элемента В; при этом
на обоих входах элемента В действует уровень лог.0, а на его выходе Q=1; с
выхода элемента В это значение поступает на вход элемента А, что обеспечивает
на его выходе Q=0. Это одно из устойчивых состояний триггера. В состоянии 1
триггера на выходе элемента А имеем Q=1, что обусловливает на выходе элемента В
Q = 0, при этом на обоих входах элемента А действуют уровни лог.0, что
обеспечивает на выходе этого элемента уровень лог.1. Таким образом, в каждом из
состояний триггера элементы А и В оказываются в противоположных состояниях.
Рис. 6
Переключение триггера из одного устойчивого состояния в другое происходит
при подаче активных сигналов на входы.
При R=1 элемент А устанавливается в состояние, в котором на его выходе
Q=0, следовательно, на инверсном выходе Q = 1, и таким образом, триггер
устанавливается в состояние 0. Если триггер до подачи сигнала R = 1 находился в
состоянии 0, то его состояние не изменится. Если же триггер находился в
состоянии 1, то при R = 1 произойдет переключение элемента А и на его выходе
установится Q= 0; это значение подается на вход элемента В, переключает его и
на выходе элемента В устанавливается Q=1, после чего триггер оказывается в
состоянии 0.
Таким образом, при переключении триггера из одного состояния в другое его
элементы последовательно переключаются и время переключения равно удвоенному
среднему времени задержки распространения сигнала в логическом элементе ИЛИ-НЕ:
tn=2tз Очевидно, чем меньше tn тем большее
число переключении триггера удастся произвести в единицу времени, т.е. будет
выше допустимая частота переключении или, иначе говоря, быстродействие
триггера.
Процесс установления триггера в состояние 1 при подаче на его вход S = 1
аналогичен описанному.
Одновременная подача активных уровней лог. 1 на оба входа R и S не
допускается, так как при этом на обоих выходах установится уровень лог.0, а
после снятия со входов активных логических уровней состояние триггера окажется
неопределенным: в силу случайных причин триггер может установиться либо в
состояние 0, либо в состояние 1. На рис.6,6 приведена таблица состояний
RS-триггера в форме карты Карно.
На рис 6,в показано условное обозначение асинхронного RS триггера.триггер
На рис. 7,б показаны логические структуры синхронного RS-триггера. Как
видно из этих структур, синхронный RS-триггер состоит из асинхронного триггера
с прямыми (либо инверсными) входами, на входах R и S которого включены
логические элементы И (И-НЕ). С помощью логических элементов И (И-НЕ)
обеспечивается передача активных логических уровней информационных входов S и R
синхронного триггера на входы S и R входящего в его состав асинхронного
триггера только при уровне лог. У на синхронизирующем входе С.
Таким образом, при С = 0 на входы асинхронного триггера не передаются
активные уровни и триггер сохраняет ранее установленное в нем состояние QQ. При
С = 1 состояние триггера определяется действующими на входах уровнями так же,
как и в рассмотренном выше асинхронном RS-триггере.
Следовательно, функционирование синхронного RS-триггера может быть
описано логическим выражением
Нормальная работа синхронного RS-триггера требует, чтобы за время
действия лог.1 на синхронизирующем входе С уровни на информационных входах S и
R оставались неизменными. Смена уровней на входах допускается лишь в то время,
когда С = 0 и триггер не реагирует на уровни на входах S и R.
На рис. 7.в показано условное обозначение синхронного RS-триггера.
Рис. 7
Контрольные вопросы
. Дайте описания для мультиплексора
. Дайте описания для де мультиплексора
. Дайте описания для шифратора (кодер)
. Какие типы триггеров существует?
. Что такой пара фазный вход?
. Что такой активный логический степень?
Лекция 4. Семейство логических схем
План
. Параметры логических интегральных микросхем.
. Диодно-транзисторная логика
. Транзисторные логические элементы.
Ключевые слова и термины: информационные сигналы, логический ноль,
микросхема, микропроцессор, устойчивость к статистическим волнам, диод,
диодно-транзисторная логика, напряжение транзистора, транзисторы, логическая
степень сигналов, сложный инвертор, интегральные микросхемы.
В большинстве современных ЭВМ и цифровых устройствах различного
назначения обработка информации происходит с помощью двоичного кода, когда
информационные сигналы могут принимать только два значения: 1 и 0. Операции по
обработке двоичной информации выполняют логические элементы.
Используя набор логических элементов, выполняющие элементарные логические
операции И, ИЛИ, НЕ, можно реализовать в двоичном коде любую сложную логическую
функцию.
Параметры логических интегральных микросхем
1. Входное U1вх и выходное U1вых
напряжение логической единицы - значение высокого уровня напряжения на входе и
выходе микросхемы;
2. Входное U0вх и выходное U0вых
напряжение логического нуля - значение низкого уровня напряжения на входе и
выходе микросхемы;
. Входной I1вх и выходной I1вых
токи логической единицы, входной I0вх и выходной I0вых
токи логического нуля;
. Логический период сигнала
, пороговое напряжение Uпор вх
- напряжение на входе, при котором состояние микросхемы изменяется на
противоположное;
. Входное сопротивление логической ИМС - отношение приращения
входного напряжения к приращению входного тока (различают R0вх
и R1вх), выходное сопротивление - отношение приращения
выходного напряжения к приращения выходного тока (различают R0вых
и R1вых);
. Статическая помехоустойчивость - максимально допустимое
напряжение статической помехи по высокому U1пом и низкому
U0пом уровням входного напряжения, при котором еще не
происходят изменения уровня выходного напряжения микросхемы;
. Средне потребляемая мощность Pпотр ср = (P0потр
+ Р1потр)/2 , где P0потр и Р1потр
- мощности, потребляемые микросхемой в состоянии соответственно логического
нуля и единицы на выходе;
. Коэффициент объединения по входу Коб, показывающий,
какое число аналогичных логических ИМС можно подключить к входу данной схемы, и
определяющий максимальное число входов логической ИМС;
Коэффициент разветвления по входу Кразв, показывающий какое
количество аналогичных нагрузочных микросхем можно подключить к выходу данной
ИМС, и характеризующий нагрузочную способность логической ИМС.
Диодно-транзисторная
логика. Одним из первых семейств цифровой логики мы рассмотрим
диодно-транзисторную логику. Основная схема ДТЛ приведена в соответствии с
рисунком 1а.

Рис. 1
Если отбросит
часть схемы, изображенную пунктиром, схема превращается в инвертор, и по ней
можно построить передаточную характеристику Ux от Ua.
Если напряжение на входе А равно 0, то диод VD1 смещен в прямом
направлении и напряжение U1 равно +0,6 В. Эта величина недостаточна
для открывания диодов VD2 и VD3 и перехода база-эмиттер
транзистора VТ1.
Поэтому ток i1
течет через диод VD1, источник напряжения Ua и на землю.
Транзистор VТ1 закрыт, при этом Ux = +5 В. Если Ua
увеличивается, то U1 также растет до тех пор, пор пока не достигнет
1,2 В. При этом U1 = 1,8 В. В этот момент VD2, VD2,
VТ1 открываются и ток i1 течет через транзистор VТ1
и переводит его в насыщение. Дальнейшее увеличение напряжение Ua
запирает диод VD1. но не может повлиять на величину U1
или состояние транзистора VТ1. Это относительно резкое изменение
величины напряжение Ux от +0,5 В до величены на насыщенном
транзисторе Uкэ нас приведено, в соответствии с рисунком 1б. Из
графика видно, что интервалы напряжений, соответствующие логическим состояниям
0 и 1, примерно равны
≤U0≤1.2 B
.5≤U1≤5 В
Практически U0 обычно меньше 0,4 В, а U1 очень
близко к 5 В, что обеспечивает хороший шумовой запас по постоянному току.
Если на вход подано напряжение, соответствующее логической 1, то диод VD1
смещен в обратном направлении и, следовательно, потребляет минимальную мощность
с выхода предыдущей схемы. Однако если на входе поддерживается напряжение
логического 0, то ток i1 должен течь из входной клеммы элемента
через насыщенный транзистор на землю. Это соответствует одной единичной
нагрузке. Если к одному выходу подсоединено n входов, то насыщенный транзистор
должен пропускать ток, в n раз больше чем i1. Если n увеличивается,
то будет расти и напряжение Ua, что эквивалентно увеличению
напряжения выходного транзистора. Этот эффект приведен в соответствии с
рисунком 1б, где передаточная характеристика изображена для случая одной
выходной единичной нагрузки и для случая восьми единичных нагрузок (максимально
допустимое количество для базового элемента ДТЛ). цифровой сигнал
микропроцессор компьютер
Если к схеме, в соответствии с рисунком 1а, добавить второй диод для
получения входа Ub, то напряжение Ux будет
соответствовать логической 1, если хотя бы один из входов будет в состоянии логического
нуля. Логический нуль на выходе можно получить только в том случае, если на
обоих входах присутствует напряжение логической единице, т.е. логическая
операция выполняемая данной схемой имеет вид:
Х =
Что соответствует операции НЕ-И. Добавлением дополнительных диодов для
расширения объема входа число входов в базовом элементе ДТЛ НЕ-И может доведено
до 20.
Если выходы двух (и более) ДТЛ элементов НЕ-И соединены вместе,
результирующая схема осуществляет операцию И на выходов элементов НЕ-И. Из
схемы видно, что если хотя бы на одном из двух выходов присутствует напряжение
логического нуля, то общий выход находится в состоянии логического нуля. Если
оба выхода элемента НЕ-И в состоянии логической 1, то на выходе - тоже
логическая единица. Такое соединение называется проводным И. Выходная
нагрузочная способность такой схемы должна быть уменьшена на одну единичную
нагрузку для каждого дополнительного выхода проводном соединении, так как
следует учитывать возможность шунтирования общего выхода коллекторными
сопротивлениями транзисторов, выходные напряжения которых соответствуют
логической единицы.
Задержка передачи для типичного элемента ДТЛ составляет 30 нс. Это
сравнительно большая величина, во многих случаях оказывается вполне приемлемой.
Семейство диодно-транзисторной логики содержит элементы И, ИЛИ, НЕ-И,
НЕ-ИЛИ и ИСКЛЮЧАЮЩЕЕ ИЛИ. Это семейство удобно для конструктора, так как имеет
большой набор различных элементов. Большинство схем содержит несколько
незадействованных входных клемм, которые рекомендуется соединять с
положительным полюсом источника питания или заземлять. Это увеличивает
помехозащищенность и уменьшает время задержки передачи.
Транзисторно-транзисторные
логические элементы
Простейший базовый элемент ТТЛ, в соответствии с рисунком 2а, за счет
использования многоэмиттерного транзистора, объединяющего свойства диода и
транзисторного усилителя, позволяет увеличить быстродействие, снизить
потребляемую мощность и усовершенствовать технологию изготовления микросхемы.
Базовый элемент ТТЛ также выполняет логическую операцию И-НЕ. При низком
уровне сигнала (логический 0) хотя бы на одном из выходов многоэмиттерного
транзистора VT1 последний находится в состоянии насыщения, а VT2
закрыт. На выходе схемы существует высокий уровень напряжения (логическая
единица). При высоком уровне сигнала на всех входах VT1 работает в
активном инверсном режиме, а VT2 находится в состоянии насыщения.
Описанный здесь базовые элемент ТТЛ, несмотря на прощеную технологию
изготовления, не нашел широкого применения из-за низкой помехоустойчивости,
малой нагрузочной способностью и малого быстродействия при работе на емкостную
нагрузку. Его целесообразно использовать лишь при разработке микросхем с
открытым коллектором, в соответствии с рисунком 2б, для включения внешних
элементов индикации, когда не требуется высокая помехоустойчивость и большая
нагрузочная способность.
Рис. 2
Улучшенными параметрами по сравнения с предыдущей схемой обладает базовый
элемент ТТЛ, в соответствии с рисунком 3. Однако объединение выходов в схеме не
допустимо.
Рис. 3
В статических режимах работы схемы, в соответствии с рисунком 3, VT4
повторяет состояние VT2. При запирании VT2 база транзистора
VT4 через резистор R3 подключается к “земле”, чем и
обеспечивается закрытое состояние VT4.
Если VT2 насыщен, то через базуVT4 протекает ток:
б4 = Iэ2 - IR3 = [(Eк - Uкэн2 -
Uбэ4)/a2·R2]
- (Uбэ4/R3)
Для транзисторов, выполненных по интегральной технологии, обычно
принимают Uкэн = 0,2 В, Uбэ = 0,8 В.
Для обеспечения режима насыщения VT4 при закрытых транзисторе
VT3 и диоде VD необходимо выполнить условие:
б4·В4 ≥ Iкн = n·I0вх нагр
Где: n - число нагрузочных ТТЛ-схем, подключенных к выходу рассматриваемой
схемы;0вх нагр - входной ток нагрузочной ТТЛ-схемы.
Положив в данное выражение знак равенства, можно определить нагрузочную
способность данной схемы, т.е. максимальное число нагрузочных схем, при котором
транзистор VT4 еще работает в режиме насыщения:
maz = Iб4·В4 / I0вх нагр
Состояние VT3 в статических режимах работы схемы, в
соответствии с рисунком 3, всегда противоположно состояниюVT4, а
следовательно, VT2. При насыщенном VT4 транзистор VT3
закрыт. Диод VD повышает порог отпирания VT3, обеспечивая его
закрытое состояние при насыщенном транзисторе VT4. Действительно:
бэ3 = Uкэн2 + Uбэ4 - Uкэн4 - Uд ≈
Uбэ4 - Uд < Uпор3
Так как типичны значения: Uбэ4 = 0,8 В; Uд = 0,7В;
Uпор = 0,6В.
Помехоустойчивость ТТЛ-схем по высокому и низкому уровням входного напряжения
различны, т.е. U0пом ≠ U1пом.
ТТЛ-схема более чувствительна к помехе U0пом,
которая накладывается на сигнал U0вх и вызывает ложное
переключение схемы (U0пом < U1пом).
Схема, в соответствии с рисунком 3, считается подключенной, если под действием
помехи U0пом открываются транзисторы VT2 и VT4,
для отпирания которых требуется двойное пороговое напряжение Uпор2
+Uпор4 ≈ 2·Uпор. Тогда условие сохранения
первоначального состояния схемы при действии помехи можно записать как:
0вх + U0пом
+ Uкэн1 ≤ 2Uпор
Откуда найдем:0пом ≤ 2Uпор - U0вх
- Uкэн1
Приняв U0вх = 0,2 В; Uпор = 0,6 В; Uкэн
= 0,2 В, получим U0пом ≤ 0,6 В
При определении U1пом схема считаются
переключенной, если открывается закрытый переход база - эмиттер
многоэмиттерного транзистора VT1. В режиме логическое единицы на
входе потенциал базы транзистора VT1 относительно “земли” равен
сумме напряжений на открытых переходах база-коллектор VT1 и
база-эмиттер VT2 и VT4, т.е.
б1 = Uбк1 + Uбэ2 + Uбэ4 = 2,14 В.
Тогда напряжение на закрытом переходе база-эмиттер VT1: Uбэ1
= Uб1 - U1вх. Принимая U1вх
= 3,6 В, будем иметь Uбэ1 = -1,2 В.
Напряжение помехи, при котором транзистор VT1 можно считать
открытым,
1пом = Uбэ1
- Uпор = -1,2 -0,6 = -1,8 В.
Помехоустойчивость ТТЛ-схемы со сложным инвертором по логическому нулю
выше, а по логической единице, чем ТТЛ-схемы, в соответствии с рисунком 2а.
Быстродействие ТТЛ-схем определяется в основном переходными процессами
при переключении транзисторов, а также зарядом паразитной нагрузочной емкости Сн,
которая представляет собой суммарную емкость нагрузочных ТТЛ-схем. В схеме, в
соответствии с рисунком 2а, заряд емкости Сн происходит с большой
постоянной времени через коллекторный резистор R2, что ухудшает
быстродействие схемы.
В ТТЛ-схеме со сложным инвертором постоянная заряда нагрузочной емкости
существенно уменьшается, так как емкость Сн заряжается через
выходное сопротивление Rвых 3 << R2 транзистора VT3,
работающего в схеме эмиттерного повторителя. За счет этого ТТЛ-схема со сложным
инвертором имеет большее быстродействие по сравнению с ТТЛ-схемой, в
соответствии с рисунком 2а.
Схема базового элемента со сложным инвертором лежит в основе разработок
большинства серий интегральных микросхем ТТЛ. Для расширения функциональных
возможностей элемента промышленностью выпускают так называемые расширители по
ИЛИ, в соответствии с рисунком 4а, которые представляют собой часть структуры
ТТЛ и подключаются к точкам а и б элемента, в соответствии с рисунком 2.
Полученная при этом логическая схема, в соответствии с рисунком 4б, реализует
функцию И-ИЛИ-НЕ. На выходе схемы устанавливается логический нуль, если на всех
выходах VT1 поступают сигналы, соответствующие логической единице.
При всех остальных комбинациях сигналов на выходах схемы выходное напряжение
соответствует логической единице.
Повысить быстродействие ТТЛ-схем можно, применив в схеме базового
элемента, в соответствии с рисунком 3, вместо обычных транзисторов транзисторы
Шотки, работающие в активном режиме. Тем самым сокращается время переключения
транзисторов схемы за счет исключения времени рассасывания носителей заряда в
базе транзистора при их запирании. Логические ИМС, выполненные на базе
транзисторов Шотки, называются микросхемами ТТЛШ.
Недостатком ТТЛ-схем является сильная генерация токовых помех по цепи
питания, обусловленных броском тока через сложный инвертор при переключении
схемы из состояния логического нуля в единицу.
Контрольные вопросы:
. Что такое информационные сигналы?
. Что такое логический ноль?
. Дайте описания для устойчивости к статистическим волнам
. Дайте описания к диодно-транзисторной логике
. Что такое напряжение транзистора?
. Что такое логическая степень сигналов?
. Что такое сложный инвертор?
. Дайте описания для интегральных микросхем
. Расскажите про транзисторно-транзисторные логические элементы
. Расскажите о диодно-транзисторной логике
Лекция 5. Принцип аналого-цифрового преобразования информации
План
. Дискретизация непрерывных сигналов
2. Квантования и кодирования
. Цифровые-аналоговые преобразователи
. Схема ЦАП обоснованный сложение напряжение
. Преобразователь обоснованный вычислению аналого-цифровой
последовательности
В большинстве случаев получаемый непосредственно от источника информации
сигнал представлен в форме непрерывно меняющегося по значению напряжения либо
тока. (Рис. 1). Таков, в частности, характер электрического сигнала,
соответствующего телефонным, телевизионным и другим видам сообщений. Для
передачи таких сообщений по линии связи или для их обработки (например, при от
фильтровании помех) могут быть использованы две формы: аналоговая или цифровая.
Рис. 1
Аналоговая форма предусматривает оперирование всеми значениями сигнала,
цифровая форма - отдельными его значениями, представленными в форме кодовых
комбинаций.
Преобразование сигналов из аналоговой формы в цифровую выполняется в
устройстве, называемом аналого-цифровым преобразователем (АЦП). В
преобразователе сигналов из аналоговой формы в цифровую можно выделить следующие
процессы: дискретизацию, квантование, кодирование. Рассмотрим сущность этих
процессов. При этом для определенности в последующем изложении будем считать,
что преобразование в цифровую форму осуществляется над сигналом, представленным
в форме меняющегося во времени напряжения.
Дискретизация непрерывных сигналов
Процесс дискретизации заключается в том, что из непрерывного во времени
сигнала выбираются отдельные его значения, соответствующие моментам времени,
следующим через определенный временной интервал Т (на рис. 1 моменты t0,t1...).
Интервал Т называется тактовым интервалом времени, а моменты t0,t1...
в которые берутся отсчеты, - тактовыми моментами времени.
Дискретные значения сигнала следует отсчитывать с таким малым тактовым
интервалом Т, чтобы по ним можно было бы восстановить сигнал в аналоговой форме
с требуемой точностью.
Квантование и кодирование
Сущность этих операций заключается в следующем. Создается сетка так
называемых уровней квантования (рис.1), сдвинутых друг относительно друга на величину
А, называемую шагом квантования. Каждому уровню квантования можно приписать
порядковый номер (0, I, 2, 3, 4 и т.д.). Далее полученные в результате
дискретизации значения исходного аналогового напряжения заменяются ближайшими к
ним уровнями квантования. Так, на диаграмме рис.1 значение напряжения в момент
t0 заменяется ближайшим к нему уровнем квантования с номером 3, в
тактовый момент t1 значение напряжения ближе к уровню 6 и заменяется
этим уровнем и т.д.
Описанный процесс носит название операции квантования, смысл которой
состоит в округлении значений аналогового напряжения, выбранных в тактовые
моменты времени. Как и всякое округление, процесс квантования приводит к
погрешности (к ошибкам квантования) в представлении дискретных значений напряжения,
создавая так называемый шум квантования. При проектировании АЦП стремятся
снизить шум квантования до такого уровня, при котором он еще обеспечивает
требуемую точность. Подробнее шум квантования будет рассмотрен далее.
Следующая операция, выполняемая при аналого-цифровом преобразовании
сигналов, - кодирование. Смысл ее состоит в следующем. Округление значения
напряжения, осуществляемое при операции квантования, позволяет эти значения
представлять числами - номерами соответствующих уровней квантования. Для
диаграммы, представленной на рис.1, образуется последовательность чисел: 3, 6,
7, 4, I, 2 и т.д. Получаемая таким образом последовательность чисел
представляется двоичным кодом.
Наряду с рассмотренными выше погрешностями квантования при
аналого-цифровом преобразовании возникают аппаратурные погрешности, связанные с
неточностью работы отдельных узлов АЦП. Эти погрешности будут выявляться при
рассмотрении различных схемных построений АЦП.
Цифроаналоговые преобразователи
Рассмотрим цифроаналоговые преобразователи (ЦАП), построенные по принципу
суммирования напряжений или токов, пропорциональных весовым коэффициентам
двоичного кода.
Схема ЦАП с суммированием напряжений
Одна из таких схем с суммированием напряжений на операционном усилителе
приведена на рис.2. Триггеры 1 ... n образуют регистр, в который помещаются
двоичные числа, предназначенные для перевода в пропорциональные им значения
напряжения на выходе. Будем считать, что напряжение на выходе каждого из
триггеров может принимать одно из двух возможных значений: E при состоянии 1 и
0 при состоянии 0.
Рис. 2
Напряжения с выходов триггеров передаются на выход ЦАП через операционный
усилитель (ОУ), работающий в режиме взвешенного суммирования напряжений
(аналогового сумматора). Для каждого триггера предусматривается отдельный вход
в сумматоре с коэффициентом передачи
Ki=Rос/Rвхi=Rос/(R*2n-i)=Rос2* -n-i/R
Таким образом, напряжение с выхода триггера n-го разряда передается на
выход усилителя с коэффициентом передачи: Кoc=Roc/R, этот
коэффициент для (п - 1)-го разряда
Кn-1 =2-1 Roc/R для (п - 2) -го разряда
Кn-2 =2-2 Roc/R и т.д.
Обратим внимание на то, что коэффициенты передачи усилителя с отдельных
его входов находятся в том же соотношении, что и весовые коэффициенты соответствующих
разрядов двоичного числа. Так, Кп в два раза больше Кn-1
и весовой коэффициент n-го разряда в два раза больше весового коэффициента
(п-1) -го разряда: Следовательно, напряжения, передаваемые на выход усилителя с
выходов триггеров отдельных разрядов, находящихся в состоянии 1,
пропорциональны весовым коэффициентам разрядов. Если в состоянии 1 находятся
одновременно триггеры нескольких разрядов, то напряжение на выходе усилителя
равно сумме напряжений, передаваемых на этот выход от отдельных разрядов
двоичного числа в регистре: аn, ап-1,..., а1).
Тогда напряжение на выходе усилителя
Здесь N - десятичное значение двоичного числа, введенного в регистр. Из
последнего выражения видно, что напряжение на выходе ЦАП пропорционально числу
в регистре.
Рассмотрим работу ЦАП в случае, когда на триггерах 1....п построен
двоичный счетчик. Если подать на вход этого счетчика последовательность
импульсов, то с приходом каждого очередного импульса число в счетчике будет
увеличиваться на единицу и напряжение на выходе ЦАП будет возрастать на
ступеньку, соответствующую единице младшего разряда счетчика. Таким образом,
напряжение на выходе ЦАП будет иметь ступенчатую форму, как показано на рис.3.
Рис. 3
После поступления 2n - 1 импульсов все разряды счетчика будут
содержать 1, на выходе ЦАП образуется максимальное напряжение
При большом числе разрядов 2>> 2(n-1) и Uвых max =
2ERос/ R
Далее очередным импульсом счетчик будет сброшен в нулевое со- стояние,
нулевым будет и выходное напряжение ЦАП. После этого счетчик начинает счет
импульсов сначала, и на выходе ЦАП вновь формируется напряжение ступенчатой
формы.
Суммарная абсолютная погрешность преобразования должна быть меньше
выходного напряжения, соответствующего единице младшего разряда входного
двоичного числа:
Отсюда можно получить условие для относительной погрешности:
Η = ΔUвых/Uвыхmax<2-(n-1)/(2-2-(n-1))=2-n
Недостатки рассмотренной схемы преобразователя:
используются высокоточные резисторы с различными значениями
сопротивления;
трудно обеспечить высокую точность выходного напряжения триггеров.
Схема ЦАП с суммированием токов
На рис. 4 показан еще один вариант схемы ЦАП - схема с суммированием
токов в резисторной матрице. Вместо источника стабильного напряжения Е в данной
схеме используются источники стабильного тока I. Если триггер находится в
состоянии 1, ток I источника через открытый ключ втекает в резисторную матрицу,
если триггер в состоянии 0, то открывается другой ключ, который замыкает
источник. На рис. 5,а показана схема, соответствующая числу 10002. Путем
преобразования она приводится к эквивалентным схемам на рис. 20.4,6 и в, откуда
следует UА4=Uвых=2/ЗR1. Такое же напряжение образуется в
любой из точек А1, А2 ,А3 ,А4, если
соответствующий разряд регистра содержит 1. При передаче напряжения между этими
точками напряжение делится на два и, следовательно, выходное напряжение
Рис. 4 Рис. 5
Аналого-цифровые преобразователи
По своей структуре схемы АЦП делятся на два типа: схемы, содержащие
цифроаналоговый преобразователь (ЦАП), и схемы, не содержащие ЦАП.
АЦП с промежуточным преобразованием напряжения во временной интервал
Схема преобразователя данного типа приведена на рис. 6,а, временные
диаграммы, иллюстрирующие процессы в преобразователе, - на рис. 6,6. В схеме этого
типа ЦАП не используется. Рассмотрим работу преобразователя. Очередным тактовым
импульсом счетчик сбрасывается в нулевое состояние и одновременно запускается
генератор линейно изменяющегося напряжения (ГЛИН). Выходное напряжение ГЛИН
поступает на входы компараторов К1 и К2, на другие входы которых подаются
соответственно нулевое напряжение и подлежащее преобразованию в числовую форму
напряжение Uвх на входе схемы (Вх). В момент времени, когда линейно
изменяющееся напряжение, нарастая от небольших отрицательных значений, проходит
нулевое значение, выдает импульс первый компаратор. Этим импульсом триггер
устанавливается в состояние 1. В момент, когда линейно изменяющееся напряжение
достигает значения Uвх, выдается импульс вторым компаратором. Этим импульсом
триггер возвращается в состояние 0.
Рис. 6
Время Т, в течение которого триггер находится в состоянии 1,
пропорционально входному напряжению. Таким образом, входное напряжение
преобразуется во временной интервал, длительность которого пропорциональна
значению входного напряжения.
В течение времени Т с выхода триггера подается высокое напряжение на вход
элемента И, и импульсы генератора импульсной последовательности (ГИП) проходят
через элемент на вход счетчика (Сч). Очевидно, устанавливающееся в счетчике
число пропорционально T, а, следовательно, и Uвх.
Для получения нового отсчета напряжения следует вновь подать импульс
запуска. Таким образом, импульсы запуска должны следовать с частотой
дискретизации входного напряжения. Покажем, как определяются параметры
элементов преобразователя.
По заданной относительной погрешности η преобразователя определяется
максимальное число Nmax до которого счетчик должен производить счет:
Мтах= 1/η. Число разрядов счетчика находится как
минимальное п, удовлетворяющее неравенству Nтах <2 n.
Процесс преобразования значения Цвх в число занимает время Т,
пропорциональное Цвх. Максимальное значение Тмах
называется временем преобразования;
Тпр=Тмах= τ Nmax=Nmax/F
где τ и Р- соответственно период и частота генератора импульсов.
Отсюда
= Nmax/ Тпр
Аналого-цифровой преобразователь последовательного счета
Структурная схема преобразователя данного типа приведена на рис 7.
Тактовым импульсом (ТИ) счетчик (Сч) сбрасывается в нулевое состояние.
Нулевое напряжение Uцап=0 возникает на выходе ЦАП, преобразующего числа в
счетчике в пропорциональное напряжение. Устанавливается неравенство Uвх>Uцап,
при котором компаратор (К) подает на вход элемента И уровень лог. 1. При этом
импульсы генератора импульсной последовательности (ГИ) проходят через элемент И
на вход счетчика. Каждый поступивший на вход счетчика импульс вызывает
увеличение на единицу хранившегося в нем числа, на одну элементарную ступеньку
возрастает напряжение на выходе ЦАП. Таким образом, напряжение Uцап
растет по ступенчатому закону, как показано на рис. 7,6. В момент времени,
когда Uцап достигает значения, превышающего Uвх
компаратор выдает уровень лог. 0, и в дальнейшем прекращается доступ импульсов
генератора в счетчик. Полученное к этому моменту времени в счетчике число
пропорционально напряжению Uвх.
Рис. 7
Из-за того, что в АЦП рассматриваемого типа не используется генератор
линейно изменяющегося напряжения, его аппаратурные погрешности меньше, чем могут
быть в АЦП с промежуточным преобразованием.
Контрольные вопросы:
. Что вы понимаете в дискретизации непрерывных сигналов?
. Опишите квантования и кодирования
. Расскажите про цифровых и аналоговых преобразователей
. Что такое схема ЦАП обоснованный сложение напряжение?
. Что такое сигнал из информационного источника?
. Опешите электрического сигнала и фильтрация помехов
. Что такое тактовый интервал времени?
Лекция 6. Материнская плата персонального компьютера
План
. Системная плата
2. Процессор и модули памяти
. Структурные части системной платы.
. Совокупность системно логических микросхем.
Ключевые слова и термины: motherboard, main board, system board,
North/South Bridge или структурные части Hub), ROM BIOS, SIMM/DIMM/RIMM,
PCI/AGP, Audio Modem Riser, Communications and Networking Riser, напряжения для
центральной процессора.
Важнейшим узлом компьютера является системная плата (system board),
иногда называемая материнской (motherboard), основной или главной платой (main
board). В этой главе рассматриваются типы системных плат и их компоненты.
Системные платы выпускаются в нескольких вариантах. Они отличаются размерами,
или формфакторами. Формфактор системной платы определяет тип корпуса, в котором
ее можно установить. Ниже перечислены основные формфакторы системных плат.
Устаревшие:
· Baby-AT;
· полноразмерная плата AT;
· LPX.
Современные:
· ATX;
· Micro-ATX;
· Flex-ATX;
· NLX;
· WTX.
Другие:
· производителей компьютеров (Compaq, Packard Bell, Hewlett-Packard и др.).
В последнее время наметился переход от системных плат формфакторов
Baby-AT, AT и LPX к платам ATX и ее семейству NLX. Далее в этом разделе
описываются стандартные формфакторы системных плат.
Конструкция ATX была разработана сравнительно недавно. В ней сочетаются
наилучшие черты стандартов Baby-AT и LPX и заложены многие дополнительные
усовершенствования. По существу, ATX- это “лежащая на боку” плата Baby-AT с
измененным разъемом и местоположением источника питания. Главное, что
необходимо запомнить, - конструкция ATX физически несовместима ни сAT, ни с
LPX. Другими словами, для системной платы ATX нужен особый корпус и источник
питания. Официально спецификация ATX была опубликована фирмой Intel в июле 1995
года, и поэтому другие производители могут использовать конструкцию ATX в своих
компьютерах. Такой открытой публикацией Intel фактически создала новый
промышленный стандарт ATX. Конструкция ATX позволила усовершенствовать
стандарты Baby-AT и LPX.
Наличие встроенной двойной панели разъемов ввода-вывода. На тыльной
стороне системной платы есть область с разъемами ввода-вывода шириной 6,25 и
высотой 1,75 дюйма. Это позволяет расположить внешние разъемы непосредственно
на плате и исключает необходимость использования кабелей, соединяющих
внутренние разъемы и заднюю панель корпуса, как в конструкции Baby-AT.
Наличие одноключевого внутреннего разъема источника питания. Это упрощает
замену разъемов на источнике питания типа Baby-AT. Спецификация ATX содержит
одноключевой разъем источника питания, который легко вставляется и который
невозможно установить неправильно. Этот разъем имеет контакты для подвода к
системной плате напряжения 3,3 В, а это означает, что для системной платы ATX
не нужны встроенные преобразователи напряжения, которые часто выходят из строя.
Перемещение процессора и модулей памяти. Изменены места расположения этих
устройств: теперь они не мешают платам расширения, и их легко заменить новыми,
не вынимая при этом ни одного из установленных адаптеров. Процессор и модули
памяти расположены рядом с источником питания и обдуваются одним вентилятором,
что позволяет обойтись без специального вентилятора для процессора, который не
всегда эффективен и часто склонен к поломкам. Есть также место и для большого пассивного
теплоотвода.
Более удачное расположение внутренних разъемов ввода-вывода. Эти разъемы
для накопителей на гибких и жестких дисках смещены и находятся не под разъемами
расширения или самими накопителями, а рядом с ними. Поэтому можно уменьшить
длину внутренних кабелей к накопителям, а для доступа к разъемам не нужно
убирать одну из плат или накопитель.
Улучшение охлаждения. Процессор и модули памяти охлаждаются тем же
вентилятором, что и источник питания. Кроме того, в конструкции ATX вентилятор
источника питания направляет поток воздуха внутрь корпуса, увеличивая в нем
давление и препятствуя проникновению пыли и грязи. Вы можете установить фильтр
и сделать компьютер еще более защищенным.
Снижение стоимости. Конструкция ATX не требует наличия гнезд кабелей к
разъемам внешних портов, встречающихся на системных платах Baby-AT,
дополнительного вентилятора для процессора и 3,3-вольтного стабилизатора на
системной плате. В этой конструкции используется один-единственный разъем
питания. Кроме того, вы можете укоротить внутренние кабели дисковых
накопителей. Все это существенно уменьшает стоимость не только системной платы,
но и всего компьютера, включая корпус и источник питания.
На рис.1 показаны особенности конструкции компьютера с платой ATX.
Системная плата не прикрывается дисковыми накопителями, что обеспечивает
свободный доступ к таким деталям, как процессор, память и внутренние разъемы,
которые, со своей стороны, не мешают доступу к разъемам шины. Обратите внимание
также на ориентацию источника питания и его единственный вентилятор, который
направляет воздушный поток на самые тепловыделяющие элементы- процессор и
модули памяти.
Рис. 1. Схема и особенности конструкции компьютера ATX
Компоненты системной платы
В современную системную плату встроены такие компоненты, как гнезда
процессоров, разъемы и микросхемы. Самые современные системные платы содержат
следующие компоенты:
· гнездо для процессора;
· набор микросхем системной логики (компоненты North/South
Bridge или Hub);
· микросхема Super I/O;
· базовая система ввода-вывода (ROM BIOS);
· гнезда модулей памяти SIMM/DIMM/RIMM;
· разъемы шин /PCI/AGP;
· разъем AMR (Audio Modem Riser);
· разъем CNR (Communications and Networking Riser);
· преобразователь напряжения для центрального процессора;
· батарея.
Гнезда для процессоров
Процессоры можно устанавливать в гнезда типа Socket или Slot. Процессоры,
разрабатываемые фирмой Intel (начиная с 486-го), пользователь может
устанавливать и заменять самостоятельно. Были разработаны стандарты для гнезд
типа Socket, в которые можно установить различные модели конкретного
процессора. Каждый тип гнезда Socket или Slot имеет свой номер. Любая системная
плата содержит гнездо типа Socket или типа Slot; по номеру можно точно
определить, какие типы процессоров могут быть установлены в данное гнездо.
Более подробно гнезда процессоров описываются в главе “микропроцессоры для ПК”
В табл.1 указаны микросхемы, которые можно установить в различные гнезда
типа Socket или Slot.
Таблица 1
Технические данные для гнезд процессоров
Наборы микросхем системной логики
Чтобы заставить компьютер работать, на первые системные платы IBM PC
пришлось установить много микросхем. Кроме процессора, на системную плату было
установлено множество других компонентов: генератор тактовой частоты,
контроллер шины, системный таймер, контроллеры прерываний и прямого доступа к
памяти, память CMOS, часы и контроллер клавиатуры. Наконец, чтобы обеспечить
работу установленных компонентов, понадобился еще ряд микросхем, а также
процессор, математический сопроцессор (модуль для выполнения операций над
числами с плавающей запятой) и память.
Большинство системных плат в настоящее время имеют набор микросхем
системной логики, разработанный Intel. На сегодняшний день у этой компании
немного конкурентов на рынке наборов микросхем системной логики. Среди них можно назвать такие, как ALi (Acer Laboratories, Inc.), VIA Technologies и SiS (Silicon integrated Systems). Благодаря появлению процессоров
Athlon/Duron многие из этих компаний значительно увеличили объемы производства.
Большинство наборов микросхем системной логики фирмы Intel (и ее
конкурентов) имеют двухуровневую архитектуру и состоят из двух блоков: North
Bridge и South Bridge. Основным блоком набора микросхем системной логики
является North Bridge, в него включен интерфейс между процессором и остальной
частью системной платы. North Bridge содержит контроллеры кэш-памяти и
оперативной памяти, интерфейс между быстродействующей шиной процессора (33, 50,
66 или 100 МГц), шиной PCI (Peripheral Component Interconnect, 33 МГц) и шиной
ускоренного графического порта AGP (Accelerated Graphics Port, 66 МГц). North
Bridge в более современных наборах микросхем системной логики Intel часто
называет PAC (PCI/AGP Controller). North Bridge, по существу, главный компонент
системной платы; это единственная схема (помимо процессора), которая обычно
работает на полной тактовой частоте системной платы (на частоте шины
процессора). В самых современных наборах микросхем системной логики схема North
Bridge реализована на одном кристалле - раньше требовалось до трех микросхем
для реализации схемы North Bridge. South Bridge - компонент в наборе микросхем
системной логики с более низким быстродействием; он всегда находился на
отдельной микросхеме. Одна и та же микросхема South Bridge может использоваться
в различных наборах микросхем системной логики. (Различные типы схем North
Bridge, как правило, разрабатываются с учетом того, чтобы мог использоваться
один и тот же компонент South Bridge.) Благодаря модульной конструкции набора
микросхем системной логики стало возможным снизить стоимость и расширить поле
деятельности для изготовителей системных плат. South Bridge подключается к шине
PCI (33 МГц) и содержит интерфейс шины ISA (8 МГц). Кроме того, обычно она
содержит две схемы, реализующие интерфейс контроллера жесткого диска IDE и
интерфейс USB (Universal Serial Bus - универсальная последовательная шина), а
также схемы, реализующие функции памяти CMOS и часов. South Bridge содержит
также все компоненты, необходимые для шины ISA, включая контроллер прямого
доступа к памяти и контроллер прерываний.архитектура
В новой, 800-й, серии набора микросхем используется hub-архитектура, где
компонент North Bridge называется Memory Controller Hub (MCH), а компонент
South Bridge - I/O Controller Hub (ICH). Эти компоненты соединяются с помощью
нового интерфейса, работающего по схеме 4Ч66 МГц, что практически вдвое
превосходит полосу пропускания шины PCI. А самое главное, что при этом не перегружается
шина PCI, а следовательно, подключенные к ней устройства работают быстрее. При
такой архитектуре скорость передачи данных между компонентами набора микросхем
достигает 266 Мбайт/с. В наборе микросхем серии 820 компонент MCH является
частью микросхемы 82820, а компонент ICH - 80801AA. Разгрузка шины PCI
позволила подключать устройства непосредственно к компоненту I/O Controller Hub
новые высокоскоростные устройства, удовлетворяющие спецификациям ATA- 66,
ATA-100 и USB 2.0. Hub-архитектура также позволила уменьшить число контактов
интерфейса до 8 бит. На первый взгляд это кажется неразумным (интерфейс шины
PCI 32- разрядный), но таким образом упрощается разводка системной платы,
снижаются помехи, а кроме того, микросхемы имеют меньшее число выводов. Уменьшение
разрядности интерфейса не привело к потере производительности, наоборот -
скорость передачи данных выросла до 266 Мбайт/с (при частоте 66 МГц). Это
объясняется тем, что за один цикл данные передаются четыре раза (для сравнения:
в 32-разрядной шине PCI, работающей на частоте
МГц, скорость передачи данных достигает 133 Мбайт/с). Компонент MCH
обеспечивает передачу данных между шиной процессора (100/133 МГц) и шиной AGP
(66 МГц), а компонент ICH - между портами IDE ATA-66 и шиной PCI (33 МГц).
Базовая система ввода-вывода
Во всех системных платах есть микросхема, в которой записано программное
обеспечение, называемое BIOS или ROM BIOS. Эта микросхема содержит стартовые
программы и драйверы, необходимые для запуска системы и функционирования
основного аппаратного обеспечения. В ней также содержится процедура POST
(самотестирование при включении питания) и данные системной конфигурации. Все
эти параметры записаны в CMOS-память, которая питается от батарейки,
установленной на системной плате. Эту CMOS-память часто называют NVRAM
(Non-Volatile RAM).
Таким образом, BIOS представляет собой комплект программ, хранящихся в
одной или нескольких микросхемах. Эти программы выполняются при запуске
компьютера до загрузки операционной системы. BIOS в большинстве PC-совместимых
компьютеров выполняет четыре основные функции.
· POST - самотестирование при включении питания процессора, памяти, набора
микросхем системной логики, видеоадаптера, контроллеров диска, дисковода,
клавиатуры и других жизненно важных компонентов системы.
· Программа установки параметров BIOS (Setup BIOS)-
конфигурирование параметров системы. Эта программа запускается при нажатии
определенной клавиши (или комбинации клавиш) во время выполнения процедуры
POST. В старых компьютерах на базе процессоров 286 и 386 для запуска этой
программы необходима специальная дискета.
· Начальный загрузчик системы - выполнение поиска главного
загрузочного сектора на дисковых устройствах. Если последних два байта этого
сектора (его сигнатура) равны 55AAh, данный код выполняется.
· BIOS - набор драйверов, предназначенных для взаимодействия
операционной системы и аппаратного обеспечения при загрузке системы. При
запуске DOS или Windows в режиме защиты от сбоев используются драйверы
устройств только из BIOS.
Прерывания
Каналы запросов прерывания (IRQ), или аппаратные прерывания, используются
различными устройствами для сообщения системной плате (процессору) о
необходимости обработки определенного запроса. Каналы прерываний представляют
собой проводники на системной плате и соответствующие контакты в разъемах.
После получения IRQ компьютер приступает к выполнению специальной процедуры его
обработки, первым шагом которой является сохранение в стеке содержимого
регистров процессора. Затем происходит обращение к таблице векторов прерываний,
в которой содержится список адресов памяти, соответствующих определенным
номерам (каналам) прерываний. В зависимости от номера полученного прерывания
запускается программа, относящаяся к данному каналу. Указатели в таблице
векторов определяют адреса памяти, по которым записаны программы драйверы для
обслуживания платы, пославшей запрос. Например, для сетевой платы вектор
прерывания содержит адрес сетевых драйверов, предназначенных для работы с ней;
для контроллера жесткого диска вектор указывает на программный код BIOS,
обслуживающий контроллер. После выполнения необходимых действий по обслуживанию
устройства, пославшего запрос, процедура обработки прерывания восстанавливает
содержимое регистров процессора (извлекая его из стека) и возвращает управление
компьютером той программе, которая выполнялась до возникновения прерывания.
Благодаря прерываниям компьютер может своевременно реагировать на внешние
события. Например, всякий раз, когда с последовательного порта в систему
поступает новый байт, вырабатывается IRQ.
Аппаратные прерывания имеют иерархию приоритетов: чем меньше номер
прерывания, тем выше приоритет. Прерывания с более высоким приоритетом обладают
преимуществом и могут “прерывать прерывания”. В результате в компьютере может
возникнуть несколько “вложенных” прерываний.
При генерации большого количества прерываний стек может переполниться и
компьютер зависнет.
Внешние аппаратные прерывания часто называются маскируемыми прерываниями,
т.е. их можно отключить (“замаскировать”) на время, пока процессор выполняет
другие критические операции.
Каналы прямого доступа к памяти
Каналы прямого доступа к памяти (DMA) используются устройствами,
осуществляющими высокоскоростной обмен данными. Последовательный и параллельный
порты, например, не используют DMA, в отличие от звуковой платы или адаптера
SCSI. Один канал DMA может использоваться разными устройствами, но не
одновременно. Например, канал DMA 1 может использоваться как сетевым адаптером,
так и накопителем на магнитной ленте, но вы не сможете записывать информацию на
ленту при работе в сети. Для этого каждому адаптеру необходимо выделить свой
канал DMA.
Контрольные вопросы:
. Какую задачу выполняет системная плата?
. Опешите процессора и модулей памяти.
. Что входит к структурным частям системной платы?
. Что такое структурные части Hub?
. Дайте описания к напряжении для центральной процессора.
. Что такое перемещение процессора и модулей памяти?
. Что такое наличие одно ключевого внутреннего разъема источника питания?
. Что такое наличие встроенной двойной панели разъемов ввода-вывода?
. Каких производителей материнской платы вы знаете?
. Расскажите про компонентов системной платы
Лекция 7: Микропроцессоры для ПК
План
1. Основные параметры процессоров
2. Шина данных и шина адресов
. КЕШ память
. Процессоры Pentium
Ключевые слова и термины: CPU (Central Processing Unit),
микропроцессор, сопроцессоры, тактовый частота, период частоты, частоты
системной платы, процедуры конфигурирования плати, понятие шин данных и адреса,
КЕШ память.
“Мозгом” персонального компьютера является микропроцессор, или
центральный процессор - CPU (Central Processing Unit). Микропроцессор выполняет
вычисления и обработку данных (за исключением некоторых математических
операций, осуществляемых в компьютерах, имеющих сопроцессор) и, как правило,
является самой дорогостоящей микросхемой компьютера.
Во всех PC-совместимых компьютерах используются процессоры, совместимые с
семейством микросхем Intel, но выпускаются и проектируются они как самой фирмой
Intel, так и компаниями AMD, Cyrix, IDT и Rise Technologies.
В настоящее время Intel доминирует на рынке процессоров. Однако в конце
70-х годов лидерами на этом рынке были фирмы Zilog (модель Z-80) и MOS
Technology (модель 6502).
Процессор Z-80 был улучшенной и недорогой копией процессора Intel 8080.
Звездный час фирм Intel и Microsoft наступил в 1981 году, когда IBM
выпустила первый персональный компьютер IBM PC с процессором Intel 8088 (4,77
МГц) и операционной системой Microsoft Disk Operating System (DOS) версии 1.0.
С этого момента практически во все персональные компьютеры устанавливаются
процессоры фирмы Intel и операционные системы Microsoft.
Основные параметры процессоров
Быстродействие - это одна из характеристик процессора, которую зачастую
толкуют по-разному. В этом разделе вы узнаете о быстродействии процессоров
вообще и процессоров Intel в частности.
Быстродействие компьютера во многом зависит от тактовой частоты, обычно
измеряемой в мегагерцах (МГц). Она определяется параметрами кварцевого
резонатора, представляющего собой кристалл кварца, заключенный в небольшой
оловянный контейнер. Под воздействием электрического напряжения в кристалле
кварца возникают колебания электрического тока с частотой, определяемой формой
и размером кристалла. Частота этого переменного тока и называется тактовой
частотой. Микросхемы обычного компьютера работают на частоте нескольких
миллионов герц. (Герц - одно колебание в секунду.) Быстродействие измеряется в
мегагерцах, т.е. в миллионах циклов в секунду. На рис.1 показан график
синусоидального сигнала.
Наименьшей единицей измерения времени (квантом) для процессора как
логического устройства является период тактовой частоты, или просто такт. На
каждую операцию затрачивается минимум один такт.
Рис. 1. Графическое представление понятия тактовая частота
Например, обмен данными с памятью процессор Pentium II выполняет за три
такта плюс несколько циклов ожидания. (Цикл ожидания - это такт, в котором
ничего не происходит; он необходим только для того, чтобы процессор не “убегал”
вперед от менее быстродействующих узлов компьютера)
Время, затрачиваемое на выполнение команд, также непостоянно. В
процессорах 8086 и 8088 на выполнение одной команды уходит около 12 тактов. В
процессорах 286 и 386 этот показатель уменьшился в среднем до 4,5 тактов на
операцию, а в 486 - до 2 тактов. Использование в процессоре Pentium двух
параллельных конвейеров и других ухищрений позволило сократить время выполнения
среднестатистической команды до одного такта. В процессорах Pentium Pro,
Pentium II/III, Celeron и Xeon, а также Athlon/Duron за один такт выполняется
как минимум три команды.
Различное количество тактов, необходимых для выполнения команд,
затрудняет сравнение производительности компьютеров, основанное только на их
тактовой частоте (т.е. количестве тактов в секунду). Почему при одной и той же
тактовой частоте один из процессоров работает быстрее, чем другой? Причина
кроется в производительности.
Процессор 486 обладает более высоким быстродействием по сравнению с
386-м, так как на выполнение команды ему требуется в среднем в два раза меньше
тактов, чем 386-му. А процессору Pentium- в два раза меньше тактов, чем 486-му.
Таким образом, процессор 486 с тактовой частотой 133 МГц (типа AMD 5x86-133)
работает даже медленнее, чем Pentium с тактовой частотой 75 МГц! Это происходит
потому, что при одной и той же частоте Pentium выполняет вдвое больше команд,
чем процессор 486. Pentium II и Pentium III- приблизительно на 50% быстрее
процессора Pentium, работающего на той же частоте, потому что они могут
выполнять значительно больше команд в течение того же количества циклов.
Сравнивая относительную эффективность процессоров, можно увидеть, что
производительность процессора Pentium III, работающего на тактовой частоте 1
000 МГц, теоретически равна производительности процессора Pentium, работающего
на тактовой частоте 1 500 МГц, которая, в свою очередь, теоретически равна
производительности процессора 486, работающего на тактовой частоте 3 000 МГц, а
она, в свою очередь, теоретически равна производительности процессоров 386 или
286, работающих на тактовой частоте 6 000 МГц, или же 8088-го, работающего на
тактовой частоте 12 000 МГц. Если учесть, что первоначальный PC с процессором
8088 работал на тактовой частоте, равной всего лишь 4,77 МГц, то сегодняшние
компьютеры более чем в 1,5 тыс. Раз быстрее по сравнению с ним. Поэтому нельзя
сравнивать производительность компьютеров, основываясь только на тактовой
частоте; необходимо принимать во внимание тот факт, что на эффективность
системы влияют и другие факторы.
Тактовая частота процессора и маркировка тактовой частоты системной
платы:
Почти все современные процессоры, начиная с 486DX2, работают на тактовой
частоте, которая равна произведению некоторого множителя на тактовую частоту
системной платы. Например, процессор Celeron 600 работает на тактовой частоте,
в девять раз превышающей тактовую частоту системной платы (66 МГц), а Pentium
III 1000 - на тактовой частоте, в семь с половиной раз превышающей тактовую
частоту системной платы (133 МГц). Большинство системных плат работали на
тактовой частоте 66 МГц; именно такую частоту поддерживали все процессоры Intel
до начала 1998 года, и только недавно эта фирма разработала процессоры и наборы
микросхем системной логики, которые могут работать на системных платах,
рассчитанных на 100 МГц. Некоторые процессоры фирмы Cyrix разработаны для
системных плат, рассчитанных на 75 МГц, и многие системные платы,
предназначенные для Pentium, также могут работать на этой частоте. Обычно
тактовую частоту системной платы и множитель можно установить с помощью
перемычек или других процедур конфигурирования системной платы (например, с
помощью выбора соответствующих значений в программе установки параметров BIOS).
В конце 1999 года стали появляться системные платы, рассчитанные на
частоту 133 Мгц. Эти платы поддерживали все современные модели процессоров
Pentium III. В это же время фирма AMD выпустила процессор Athlon и системные
платы, поддерживающие частоту 100 МГц, но с удвоенным коэффициентом (т.е.
частота 200 МГц) передачи данных между процессором и частью набора микросхем
North Bridge.
В современных компьютерах используется генератор переменной частоты,
обычно расположенный на системной плате; он генерирует опорную частоту для
системной платы и процессора. На большинстве системных плат процессоров Pentium
можно установить одно из трех или четырех значений тактовой частоты. Сегодня
выпускается множество версий процессоров, работающих на различных частотах, в
зависимости от тактовой частоты конкретной системной платы. Например,
быстродействие большинства процессоров Pentium в несколько раз превышает
быстродействие системной платы.
Шины данных и шины адреса
Одной из самых общих характеристик процессора является разрядность его
шины данных и шины адреса. Шина - это набор соединений, по которым передаются
различные сигналы. Представьте себе пару проводов, проложенных из одного конца
здания в другой. Если вы подсоедините к этим проводам генератор напряжения в
220 В, а вдоль линии расставите розетки, то получится шина. Независимо от того,
в какую розетку будет вставлена вилка, вы всегда получите один и тот же сигнал,
в данном случае - 220В переменного тока. Любую линию передачи (или среду для
передачи сигналов), имеющую более одного вывода, можно назвать шиной. В обычном
компьютере есть несколько внутренних и внешних шин, а в каждом процессоре - две
основные шины для передачи данных и адресов памяти: шина данных и шина адреса.
Когда говорят о шине процессора, чаще всего имеют в виду шину данных,
представленную как набор соединений (или выводов) для передачи или приема
данных. Чем больше сигналов одновременно поступает на шину, тем больше данных
передается по ней за определенный интервал времени и тем быстрее она работает.
Разрядность шины данных подобна количеству полос движения на скоростной
автомагистрали; точно так же, как увеличение количества полос позволяет
увеличить поток машин по трассе, увеличение разрядности позволяет повысить
производительность.
Данные в компьютере передаются в виде цифр через одинаковые промежутки
времени. Для передачи единичного бита данных в определенный временной интервал
посылается сигнал напряжения высокого уровня (около 5 В), а для передачи
нулевого бита данных- сигнал напряжения низкого уровня (около 0 В). Чем больше
линий, тем больше битов можно передать за одно и то же время. В процессорах 286
и 386SX для передачи и приема двоичных данных используется 16 соединений,
поэтому у них шина данных считается 16-разрядной. У 32-разрядного процессора,
например 486 или 386DX, таких соединений вдвое больше, поэтому за единицу
времени он передает вдвое больше данных, чем 16-разрядный. Современные
процессоры типа Pentium имеют 64-разрядные внешние шины данных. Это означает,
что процессоры Pentium, включая оригинальный Pentium, Pentium Pro и Pentium II,
могут передавать в системную память (или получать из нее) одновременно 64 бита
данных.
Представим себе, что шина - это автомагистраль с движущимися по ней
автомобилями. Если автомагистраль имеет всего по одной полосе движения в каждую
сторону, то по ней в одном направлении в определенный момент времени может
проехать только одна машина. Если вы хотите увеличить пропускную способность
дороги, например, вдвое, вам придется ее расширить, добавив еще по одной полосе
движения в каждом направлении. Таким образом, 8-разрядную микросхему можно
представить в виде однополосной автомагистрали, поскольку в каждый момент
времени по ней проходит только один байт данных (один байт равен восьми битам).
Аналогично, 32-разрядная шина данных может передавать одновременно четыре байта
информации, а 64-разрядная подобна скоростной автостраде с восемью полосами
движения! Автомагистраль характеризуется количеством полос движения, а
процессор - разрядностью его шины данных. Если в руководстве или техническом
описании говорится о 32- или 64-разрядном компьютере, то обычно имеется в виду
разрядность шины данных процессора. По ней можно приблизительно оценить
производительность процессора, а значит, и всего компьютера. Разрядность шины
данных процессора определяет также разрядность банка памяти. Это означает, что
32-разрядный процессор, например класса 486, считывает из памяти или записывает
в память 32 бита одновременно. Процессоры класса Pentium, включая Pentium III и
Celeron, считывают из памяти или записывают в память 64 бита одновременно.
Поскольку стандартные 72-контактные модули памяти SIMM имеют разрядность,
равную всего лишь 32, в большинстве систем класса 486 устанавливают по одному
модулю, а в большинстве систем класса Pentium- по два модуля одновременно.
Разрядность модулей памяти DIMM равна 64, поэтому в системах класса Pentium
устанавливают по одному модулю, что облегчает процесс конфигурирования системы,
так как эти модули можно устанавливать или удалять по одному. Каждый модуль DIMM
имеет такую же производительность, как и целый банк памяти в системах Pentium.
Кэш-память
Во всех процессорах, начиная с 486-го, имеется встроенный (первого
уровня) кэш-контроллер с кэш-памятью объемом 8 Кбайт в процессорах 486DX, а
также 32, 64 Кбайт и более в современных моделях. Кэш- это быстродействующая
память, предназначенная для временного хранения программного кода и данных.
Обращения к встроенной кэш-памяти происходят без состояний ожидания, поскольку
ее быстродействие соответствует возможностям процессора, т.е. кэш-память
первого уровня (или встроенный кэш) работает на частоте процессора.
Благодаря этому обмен данными с относительно медленной системной памятью
значительно ускоряется. Процессору не нужно ждать, пока очередная порция
программного кода или данных поступит из основной области памяти, а это
приводит к ощутимому повышению производительности компьютера. При отсутствии
кэш-памяти такие паузы возникали бы довольно часто.
В современных процессорах встроенный кэш играет еще более важную роль,
потому что он часто является единственным типом памяти во всей системе, который
может работать синхронно с процессором. В большинстве современных процессоров
используется множитель тактовой частоты, следовательно, они работают на
частоте, в несколько раз превышающей тактовую частоту системной платы, к
которой они подключены. Например, тактовая частота (1 ГГц), на которой работает
процессор Pentium III, в семь с половиной раз превышает тактовую частоту
системной платы, равную 133 МГц. Поскольку оперативная память подключена к
системной плате, она также может работать только на тактовой частоте, не
превышающей 133 МГц. В такой системе из всех видов памяти только встроенный кэш
может работать на тактовой частоте 1 ГГц. Рассмотренный в этом примере
процессор Pentium III на 1 ГГц имеет встроенный кэш общим объемом 32 Кбайт (в
двух отдельных блоках по 16 Кбайт).
Если необходимые данные во встроенном кэше отсутствуют, процессор
обращается за ними в кэш-память второго уровня или непосредственно к системной
шине.
Процессоры Pentium
В октябре 1992 года Intel объявила, что совместимые процессоры пятого
поколения (разрабатывавшиеся под кодовым названием Р5) будут называться
Pentium, а не 586, как предполагали многие. Такое название было бы вполне
естественным, однако выяснилось, что цифровые обозначения не могут быть
зарегистрированы в качестве торговой марки, а Intel опасалась конкурентов,
которые могли начать выпуск аналогичных микросхем под давно ожидавшимся
“непатентуемым” названием. Первые процессоры Pentium были выпущены в марте 1993
года, а через несколько месяцев появились и первые компьютеры на их основе.
Pentium совместим с предыдущими процессорами фирмы Intel, но при этом
значительно отличается от них. Одно из отличий вполне можно признать
революционным: в процессоре Pentium есть два конвейера, что позволяет ему
выполнять сразу две команды. (Все предыдущие процессоры выполняли в каждый
момент времени только одну команду.) Intel назвала эту возможность
суперскалярной технологией. Благодаря этой технологии производительность
Pentium по сравнению с процессорами 486 существенно повысилась. Стандартная
микросхема 486 выполняет одну команду в среднем за два внутренних такта, а в
процессорах DХ2 и DХ4 за счет удвоения частоты- за один такт. Благодаря
использованию суперскалярной технологии в процессоре Pentium можно выполнять по
две команды за один такт. Понятие суперскалярная архитектура обычно связывается
с высокопроизводительными RISС-процессорами. Pentium- один из первых
процессоров CISC (Complex Instruction Set Computer), который можно считать
суперскалярным. Он практически эквивалентен двум процессорам 486, объединенным
в одном корпусе.
Таблица 1
Характеристик процессора Pentium
Контрольные вопросы:
. Опешите основных параметров процессоров
2. Каких производителей микропроцессоров вы знаете?
. Чем отличается микропроцессор от сопроцессора?
. Что такое тактовая частота?
. Что такое понятие шин данных и адреса?
. Что такое КЕШ память?
. Основные характеристики процессора Pentium
Лекция 8. Микропроцессы и микро-ЭВМ. Основные определения.
Классификация
План
1. Строения (архитектура) ЭВМ
2. Шинные система микро-ЭВМ
. Схема соединения блоков микро-ЭВМ
. Обмен информации в микро-ЭВМ
Ключевые слова и термины: понятие ЦП и микро-ЭВМ, адрес шины, шина
данных, шина управления, микропроцессор, создания процессорных систем, сигналы
входа и выхода микропроцессора, адрес шин (данных), адрес вращения (строб) STB
(или ALE), сигнал шинного опроса HLD (или
HOLD), NMI - не маскированная разъединения.
Микропроцессоры - это обрабатывающее и управляющее устройства,
выполненные с использованием технологии БИС (часто на одном кристалле) и
обладающие способностью выполнять под программным управлением обработку
информации, включая ввод и вывод информации, принятие решений, арифметические и
логические операции.
В общем случае в состав МП входят: арифметико-логическое устройство
(АЛУ); схема управления и синхронизации; регистр-аккумулятор; сверхоперативное
запоминающее устройство (СОЗУ); программный счетчик; адресный стек; регистр
команд и дешифратор кода операции: параллельные шины данных и ввода - вывода;
схема управления памятью и вводом - выводом.
Микро-ЭВМ - это вычислительная или управляющая система, выполненная на
основе МП, в состав которой могут также входить: программная память (обычно -
постоянное запоминающее устройство (ПЗУ)); память данных (обычно - оперативное
запоминающее устройство (ОЗУ)); устройства ввода - вывода (УВВ); генератор
тактовых сигналов, а также другие устройства, выполненные с использованием БИС
или элементов с меньшей степенью интеграции.
Первый МП появился в 1971 г. (Intel 4004), однако в настоящее время известно уже около 100 различных типов
МП, точнее, микропроцессорных комплексов (МПК) БИС, поскольку
фирмы-изготовители предлагают обычно наборы из нескольких БИС: МП, ОЗУ, ПЗУ,
полупостоянной памяти (ППЗУ), ввода-вывода и др. Такое многообразие МП
определяется различным сочетанием их характеристик, некоторое
представление о котором можно получить из приведенной на рис. В.3
классификации МП.
Улучшение большинства характеристик МП непосредственно связано с
совершенствованием технологии. Именно она определила общепринятое в настоящее
время деление всех МП на три поколения: 1 - на основе р - канальной
МОП-технологии; 2-на основе n-канальной
и комплементарной МОП-технологии; 3 - на основе биполярной технологии.
МП первого поколения характеризуются временем выполнения команд 10-20
мкс, относительно ограниченными набором команд, объемом памяти и видами
адресации. МП второго поколения появились в 1973 г. от МП первого поколения они
отличаются меньшим временем выполнения команд (2-5 мкс), расширенными набором
команд, объемом памяти и видами адресации. Эти МП проще в использовании,
поскольку выпускаются комплектами БИС. МП третьего поколения (1974 г.)
выполняются с использованием биполярной технологии, что обусловливает их
высокое быстродействие (время выполнения команд 100 - 300 не), и
микропрограммного принципа управления.
Большое количество существующих в настоящее время типов МП
свидетельствует о том, что хотя МП является алгоритмически универсальным
прибором, существует определенный класс применений, для которого данное
сочетание характеристик МП дает наибольший технико-экономический эффект.
При всем разнообразии МП можно выделить общие для всех типов
характеристики и свойства:
— малая
разрядность слова: 2, 4, 8, 12 или 16 бит;
— ограниченная
мощность набора команд (обычно требуется 2-5 команд для выполнения операции,
эквивалентной одной команде мини - ЭВМ);
-аппаратно подкрепленная организация связи подпрограмм (с помощью
стека);
— программно-управляемый
ввод - вывод;
— низкая
стоимость микро-ЭВМ (обычно 1 - 5% от стоимости мини-ЭВМ).
Контрольные вопросы:
. Расскажите про архитектуру ЭВМ.
. Каких поколений знаете микропроцессоров?
. Что входит в состав микропроцессора?
. Расскажите характеристику микропроцессора.
. Что такое микро-ЭВМ?
Лекция 9: Конструктивные и функциональные модули
микропроцессоров
План
. Описания модуля
2. Функциональный модуль
3. Конструктивный модуль
4. Основные направления развития микропроцессорных средств
Ключевые слова и термины: Функциональный модуль, конструктивный
модуль, логические элементы, элементарные функциональные модули, типовые
функциональные узлы, типовые функциональные блоки, функциональное устройство
ЭВМ, навесные элементы, печатные узлы, блок, рама, стойка, конструктивный
комплекс.
Определим модуль как законченный элемент, который может служить
конструктивной, функциональной, метрологической, информационной и другой
единицей (мерой) при проектировании, изготовлении, эксплуатации, а также
сравнении изделий.
При разработке ЭВМ под модулем будем понимать вычислительное устройство,
обладающее функциональной, конструктивной и электрической завершенностью,
способное самостоятельно или в совокупности с другими модулями решать требуемые
задачи.
Функциональная завершенность характеризует способность реализовать без
помощи дополнительных средств конечное число функций вычислительного процесса.
Конструктивная завершенность предполагает выполнение устройства в виде
конструктивного элемента одного из уровней иерархии конструктивов, а также
наличие средств механической фиксации и электрической коммутации при установке
в качестве элемента в конструктивном модуле высшего уровня.
Электрическая завершенность предусматривает наличие в модуле средств
электрического сопряжения с модулями определенного класса, а также автономных
схем синхронизации и питания.
Дополнительными требованиями при проектировании модулей являются
требования автономности (асинхронности), энергетической, конструктивной,
информационной, электрической, эксплуатационной совместимости - способности
непосредственного сопряжения модулей без использования дополнительных средств.
Конструктивно-функциональный анализ модулей существенно осложняется
тенденцией отображения все более сложных функций конструктивными элементами все
более низких уровней, вызванной интенсивным развитием интегральной технологии.
В связи с этим целесообразно рассматривать отдельно конструктивные и
функциональные модули.
Функциональный модуль (ФМ) - функциональная часть вычислительного
устройства, обладающая функциональной завершенностью, не имеющая, как правило,
самостоятельного конструктивного оформления.
Можно выделить следующие функциональные уровни рассмотрения средств ВТ и
соответствующих им ФМ:
. Логические элементы (ЛЭ) - вентили-логически неделимые элементы,
реализующие одно- или двухступенчатые логические функции И - НЕ, ИЛИ - НЕ, И -
ИЛИ - НЕ, И - ИЛИ, И, ИЛИ, НЕ.
2. Элементарные функциональные модули (ЭФМ) - совокупность ЛЭ,
реализующая заданную функцию хранения или преобразования информации над
операндами единичной длины. К ним относятся одноразрядные ячейки памяти,
триггеры, разрядные сечения регистров, счетчиков, сумматоров и других типовых
функциональных узлов. Частным случаем ЭФМ являются ЛЭ.
. Типовые функциональные узлы (ТФУ) - совокупность ЭФМ, предназначенная
для хранения или (и) преобразования информационных слов (регистры, счетчики,
сумматоры, дешифраторы, многоразрядные ячейки памяти). Частным случаем ТФУ
являются ЭФМ.
. Типовые функциональные блоки (ТФБ) - совокупность ТФУ, реализующая
функции хранения, обработки, обмена массивов информации или управления этими
процессами. Примерами ТФБ являются ОЗУ, ПЗУ, АЛУ, блок управления.
5. Функциональное устройство ЭВМ (ФУ ЭВМ) - совокупность ТФБ, реализующая
одну или несколько функций хранения, обработки, управления и обмена над
различными типами информационных массивов в ЭВМ. Примерами ФУ ЭВМ являются
процессор, устройства ввода - вывода, ЗУ. Частным случаем ФУ ЭВМ являются ТФБ.
. ЭВМ - совокупность устройств, осуществляющая автоматическое решение
задач, представленных программами и данными в цифровой или аналоговой форме.
Необходимо отметить определенную условность деления ЭВМ на указанные ФМ.
Основными макрофункциями вычислительного процесса, реализуемыми ФМ
различного уровня являются функции хранения (memory)- М, обработки (processing) - Р, обмена (transfer) - Т и управления (control) - С.
Конструктивный модуль (КМ) - устройство, обладающее конструктивной
завершенностью и рассматриваемое, как правило, безотносительно к
функциональному назначению.
Можно выделить следующие уровни конструктивной иерархии и соответствующие
им КМ:
. Навесные элементы (НЭ) - электро-, радио- и вычислительные элементы,
рассматриваемые при проектировании РЭА как конструктивно неделимые, выполненные
методами дискретной или интегральной технологии, имеющие средства защиты
(корпус), а также механической и электрической коммутации с другими КМ.
Основным видом НЭ при проектировании ЭВМ являются ИС, СИС, БИС, МПК БИС.
. Печатные узлы (ПУ) - совокупность НЭ (ИС, БИС), размещенных на печатной
плате и объединенных в законченную схему печатными проводниками, имеющая
средства коммутации с другими КМ. В практике конструирования ЕС ЭВМ и других
ЭВМ ПУ получил название типовой элемент замены (ТЭЗ). ТЭЗ - типовая минимальная
составная часть устройств ЭВМ, которая может быть заменена аналогичной. ТЭЗом
может быть КМ любого уровня.
. Блок (Б) - совокупность ПУ (ТЭЗ), электрически объединенной проводным
или печатным монтажом и имеющая средства защиты от внешних воздействий (в
панели отсутствуют) и электрической коммутации с другими КМ.
. Рама (Р) - совокупность панелей.
. Стойка (С) - совокупность блоков (рам, панелей), имеющая корпус,
средства стабилизации режимов эксплуатации, питания, управления и коммутации. К
этому уровню могут быть отнесены автономные пульты управления, тумбы и т. д.
. Конструктивный комплекс (К) - совокупность стоек, пультов управления,
тумб и других КМ, выполняющих все необходимые функции в соответствии с
назначением системы обработки информации.
Большое
число модулей низших конструктивных уровней (НЭ, ПУ) в современных ЭВМ,
снижение их повторяемости, различие темпов роста степени интеграции элементов и
числа внешних связей КМ усложняет проблему конструктивно-функциональной
организации модулей при их исполнении в виде БИС, ПУ, ТЭЗ. Число ИС и их типов
в ЭВМ измеряется соответственно десятками и сотнями тысяч (в процессоре ЭВМ ЕС
1060 20000 ИС и 500 типов ТЭЗ, а повторяемость последних не превышает 2).
Большое
внимание при разработке ЭВМ в настоящее время уделяется функциональной
организации БИС и ПУ. Это вызвано тем, что они являются основными видами ТЭЗ,
на уровне которых производится ремонт ЭВМ. Поэтому особенно важной является
задача сокращения номенклатуры модулей низших конструктивных уровней.
На
рис. 1.1 приведены варианты взаимного соответствия (взаимо-отображения) ФМ и
КМ, характерные для ЭВМ различных поколений (I - IV).
Функциональное наполнение КМ и конструктивное оформление ФМ определяются как
конструктивно-технологическими ограничениями, характерными для данного этапа
развития технологии, так и принципами проектирования и структурной организации
ЭВМ.
Изменение
характера зон при переходе к новым поколениям ЭВМ отражает, с одной стороны,
увеличивающееся разнообразие конструктивного выполнения ЭВМ, а с другой -
возрастание функциональной нагрузки КМ низших уровней.
Анализ
развития элементно-технологической базы показывает, что опережение роста
функциональных возможностей элементов уровня их конструктивной сложности
приводит к развитию и углублению взаимно-неоднозначного соответствия функциональных
и конструктивных модулей и необходимости их совместного
функционально-технологического синтеза.
Разрешить
противоречия взаимно-неоднозначного соответствия ФМ и КМ можно совместным
функционально-технологическим проектированием модулей и использованием принципа
максимального структурно-логического соответствия ФМ и КМ. Этот принцип
предполагает разработку структур ФМ с учетом конструкторско-технологических
ограничений. Это означает последующее отображение ФМ конструктивными модулями,
характеризующимися в функциональном отношении общностью структурной организации
и логики функционирования с отображаемыми ФМ. Функциональное наполнение КМ при
этом отличается от ФМ лишь количественными показателями (разрядностью, объемом
памяти) и различной схемотехнической интерпретацией структурных решений ФМ.
Таким
образом, вопрос о функционально-конструктивной организации модулей в условиях
технологии БИС становится исключительно важным.
Решение
этого вопроса осложняется ограничениями экономического характера, проявляющимися
в требованиях минимизации числа типов модулей, их внешних выводов, времени
проектирования, изготовления и диагностики неисправностей и требует проведения
работ не только в области конструкторско-технологической, но и в области
функциональной унификации.
Десятки
типов МП, имеющихся сегодня на мировом рынке, свидетельствуют, с одной стороны,
об освоении процессов разработки и изготовления МПК БИС, а с другой, - о
трудностях концепции универсальных модулей. Отсюда вытекает необходимость
совместной использования принципов универсальности и специализации путем
выделения и исследования классов задач, алгоритмов, функций и создания
проблемно- и функционально-ориентированных на эти классы модулей и обеспечения
возможности развития, наращивания средств н основе базовых, относительно
устойчивых структур.
Основные
направления развития микропроцессорных средств
В
качестве основных направлений развития микропроцессорных средств можно отметить
следующие:
создание
все более развитых и эффективных универсальных MП путем
повышения уровня интеграции, увеличения числа функций реализуемых на кристалле,
и развития схем сопряжения;
разработка
проблемно-ориентированных МПК БИС, включающих как многофункциональные, так и
специализированные модули;
создание
ЭВМ на основе многофункциональных регулярных структур типа систем памяти.
Непременным
условием проектирования ЭВМ в рамках каждого из направлений является анализ и
учет возможностей, ограничений тенденций развития интегральной технологии и
принципов проектирования ЭВМ на БИС.
Отсутствие
общей методологии разработки минимального числа типов структурно-однотипных
процессорных модулей, отвечающих требованиям технологии БИС, и организации на
их основе проблемно- ориентированных ЭВМ существенно усложняет разработку
систем.
Контрольные вопросы:
. Опишите функционального модуля
. Опишите конструктивного модуля
. Что такое логические элементы?
. Что такое элементарные функциональные модули?
. Опешите типовых функциональных узлов.
. Опешите типовых функциональных блоков.
. Что такое функциональное устройство ЭВМ?
. Опешите навесные элементы, печатные узлы, блоки, рамы и стойки
Использованная литература
1. Е.П.
Балашов, Д.В. Пузанков. Микропроцессоры и микропроцессорные системы.-
М.:"Радио и связь", 1981.
. Е.П.
Балашов, В.Л. Григорьев, Г.А. Петров. Микро и мини ЭВМ. М.: Энергоатомиэдат,
1984.
. Л.
Левенталь. Введение в микропроцессоры.- М.: Энергоатомиздат, 1983
. Г. Гибсон,
Ю-Ч. Лю. Аппаратные и программные средства микро-ЭВМ. - М.: Финансы и
статистика, 1983.
. Дж.
Уокерли. Архитектура и программирование на микро-ЭВМ. М.: Мир, 1984.
. А. Дирксен.
Микро-ЭВМ. - М.:Энергоиэдат, 1982.
. А.В.
Гиглавый и др. Микро-ЭВМ СМ-1800.Архитектура, программирование, применение. -
М.: Финансы и статистика, 1984.
. Р. Токхайм.
Микропроцессоры. Курс и упражнения. - М.: Энергоатомиздат, 1988.
Размещено на Allb
est.ru