Проектирование фундамента промышленного здания
1. Исходные данные
Вариант задания на курсовое проектирование-3М1.
Вариант промышленного здания.
Рис. 1
Рис. 2 - Схема поперечного сечения здания
|
№№
вари- анта
|
L1,
м
|
L2,
м
|
Шаг
Колонн В, м
|
Высота
Сечения колонны h, мм по осям
|
Усилия
на уровне обреза фундамента по осям
|
|
|
|
|
|
А;В
|
Б
|
А
|
Б
|
Б
|
|
|
|
|
|
|
|
Non,
кН
|
Mon,
кНм
|
Qon,
кН
|
Non,
кН
|
Mon
кНм
|
Qon,
кН
|
Non,
кН
|
Mon,
кНм
|
Qon,
кН
|
|
1
|
2
|
3
|
4
|
5
|
6
|
7
|
8
|
9
|
10
|
11
|
12
|
13
|
14
|
15
|
|
3
|
12
|
36
|
12
|
600
|
900
|
650
|
80
|
50
|
950
|
70
|
45
|
750
|
40
|
60
|
|
|
|
|
|
|
|
|
|
|
|
|
|
|
|
|
|
|
Схема грунтовых условий
Рис.3 - Грунтовая обстановка после срезки
растительного слоя и планировки; WL - уровень грунтовых вод; 1,2,3, - номера
слоев грунта, считая от спланированной поверхности
Вариант площади строительства
|
№№
вариантов схем грунтовых условий по рис.2
|
Напластование
|
Район
(город)
|
|
Буквенное
обозначение
|
№№
образцов грунта (по табл. 3), отобранных из слоев
|
|
|
|
1
|
2
|
3
|
|
|
1
|
3
|
4
|
5
|
6
|
|
3
|
М
|
25
|
55
|
88
|
Воронеж
|
Физико-механические характеристики грунтов
оснований
Песчаные грунты
|
№№
обр. грунта
|
Гранулометрический
состав, %
|
Показатели
|
|
>2
|
2.0
0.5
|
0.5
0.25
|
0.25
0.1
|
<0.1
|
р
т/м3
|
Рs
т/м3
|
W
д.ед
|
φ
град
|
Е
Мпа
|
Кф
м/сут
|
|
1
|
2
|
3
|
4
|
5
|
6
|
7
|
8
|
9
|
10
|
11
|
12
|
|
25
|
63.0
|
23.3
|
6.1
|
2.2
|
5.4
|
1.78
|
2.65
|
0.07
|
32
|
17.3
|
49.4
|
Пылевато-глинистые грунты
|
№№
обр. грун- та
|
Показатели
|
|
p
т/м3
|
рs
т/м3
|
W
д.ед.
|
Wp
д.ед.
|
WL
д.ед.
|
С
Мпа
|
φ
град.
|
Е
Мпа
|
Кф*104
м/сут
|
|
1
|
2
|
3
|
4
|
5
|
6
|
7
|
8
|
10
|
|
55
|
2.02
|
2.76
|
0.37
|
0.1
|
0.37
|
0.011
|
11
|
2.78
|
5.6
|
|
88
|
1.91
|
2.78
|
0.06
|
0.1
|
0.32
|
0.023
|
15
|
4.86
|
7.3
|
2. Определение нагрузок
.1 Общие положения
Нагрузки и воздействия на основания,
передаваемые фундаментами зданий и сооружений, возможные сочетания нагрузок, а
также коэффициенты, учитывающие множество факторов, принимаются согласно
требованиям СНиП [1].
Основания рассчитываются, прежде всего, по
деформациям, а затем, в немногих, случаях, регламентированных в СНиП [3]-по
несущей способности грунта, свай и ростверка.
Расчет оснований по 2-ой
группе предельных состояний (по деформациям) производится на основное сочетание
расчетных нагрузок, которые определяются как произведение нормативной нагрузки
Fn на коэффициент надежности по нагрузке γf = 1, то
есть Fп = Fn · γf, или Fп = Fn.
Расчет оснований по 1-ой группе предельных
состояний (по несущей способности) производится на основе (при наличии)
сочетания расчетных нагрузок, которые также определяются по нагрузке γf
> 1, т.е.
F1 = Fn· γf.
2.2 Сбор нагрузок
Фундамент колонны промышленного здания
рассчитываются на действие вертикальных нагрузок от веса частей сооружения,
снега и горизонтальной ветровой нагрузки, а также действие мостовых кранов.
Нагрузка на фундамент собирается на уровне его
обреза в виде сосредоточенных усилий N, M и Q (рис. 1).
Сбору нагрузок на поперечник промышленного
здания и его статическому расчету уделяется достаточно много внимания в курсах
других дисциплин, изучаемых студентами на кафедре <<Строительные
конструкции>>.
Поэтому в данном курсовом проекте раздел не
выполняется, а усилия, действующие на фундаменты крайнего и среднего рядов,
принимаются согласно последней цифре шифра.
В задании приводятся нормативные значения усилий
Non, Mon, Qon. Усилия для расчета по первой и второй группам предельных
состояний определяются умножением последних соответственно на коэффициент
надежности по нагрузке γf = 1 и
γf
= 1.3.
3. Оценка инженерно-геологических
условий площадки
Для обоснованного выбора приемлемых вариантов
оснований и фундаментов, а также глубины заложения фундаментов по результатам
инженерно-геологических изысканий проводят всестороннюю оценку
инженерно-геологических условий площадки. Для этого физико-механические
характеристики каждого образца грунта, приведенные в задании подвергаются
обработке в следующей последовательности
ПЕСЧАНЫЕ ГРУНТЫ:
.Определение вида (наименования) песчаного или
крупнообломочного грунта на основе анализа гранулометрического состава.
Для установления наименования грунта
последовательно суммируется процент содержания в нем частиц: крупнее 200 мм; 10
мм; 2 мм и т.д. в порядке расположения размеров в табл. 1, прил. Б.
Наименование грунта принимают по первому значению суммы процентов частиц,
удовлетворяющему условиям табл. 1, прил. Б. Грунт является гравелистым.
.Определение коэффициента пористости песчаного
грунта:
Согласно табл.3 прил. Б, плотность сложения
является плотной.
.Определение степени влажности грунтов:
Согласно табл.2 прил. Б, грунт является
маловлажным.
.Определение плотности грунта во взвешенном
состоянии:
.Опредедение условного расчетного сопротивления
грунта: согласно табл.6 прил. Б, R0 = 600 кПа.
.Свойства грунта: песок гравелистый, плотный,
маловлажный.
.Вывод: данный анализируемый слой грунта
возможно использовать в качестве несущего, т.к. плотность сложения-плотная и
считается «надежным».
ПЫЛЕВАТО-ГЛИНИСТЫЕ ГРУНТЫ:
.Определение вида пылевато-глинистого грунта по
числу пластичности (табл.4 прил. Б)
Грунт является глиной.
.Определение показателя текучести
пылевато-глинистого грунта:
Согласно табл.5 прил. Б, грунт 2 -глина
полутвердая, грунт 3 - глина твердая.
.Определение коэффициента пористости
пылевато-глинистого грунта:
.Определение плотности грунта во взвешенном
состоянии:
.Определение условного расчетного сопротивления
грунта по табл.6 прил. Б: грунт 2 R0=200кПа грунт 3 R0=250кПа.
.Свойства грунтов: грунт 2: глина, полутвердая,
грунт 3:глина, твердая.
.Вывод: данные пылевато-глинистые грунты
являются надежными, и их можно использовать для устройства фундамента любого
вида.
4. Разработка вариантов фундаментов
Общие положения
При проектировании оснований и фундаментов
необходимо учитывать следующие положения:
.Максимальное использование прочностных
деформативных свойств грунтов;
.Максимальное использование прочности материалов
фундамента;
.Достижение минимальной стоимости, материалоемкости
и трудоемкости.
Для конкретных инженерно-геологических условий
можно подобрать несколько приемлемых вариантов оснований и фундаментов,
отвечающих первым трем положениям. Однако окончательный выбор производится
после экономического сравнения вариантов, т.е. определяющим является четвертое
положение.
В качестве проектируемых вариантов следует
принимать фундаменты на естественном основании и один из типов свайного
фундамента на: забивных призматических сваях; буронабивных сваях без уширения;
буронабивных сваях с уширением.
Если фундамент на естественном основании явно не
целесообразен по инженерно-геологическим условиям, тогда следует разработать
различные типы свайных фундаментов, варьируя размерами свай и их количеством.
Исходя из вышеизложенного и выводов п.3
необходимо принять два варианта фундаментов к дальнейшей разработке,
предварительно определив также глубины заложения фундаментов и ростверков с
учетом рекомендаций п.4.
4.1 Проектирование фундамента
мелкого заложения
Выбор глубины заложения подошвы
При выборе глубины заложения подошвы фундамента
следует руководствоваться п. 2.25 СНиП 2.02.01-83.
Согласно вышеуказанным нормам глубину заложения
назначают в результате последовательного анализа ряда факторов, определяющих ее
значение.
В задании на курсовое проектирование приводится
сведения только по четырем основным факторам, которые и будут определяющими при
назначении глубины заложения фундамента и ростверка:
)Назначение и конструктивные особенности здания.
Здесь учитывается наличие подвалов, подпольных
каналов, фундаментов под оборудование и т.п. Для каркасных зданий глубина
заложения подошвы назначается с учетом высоты фундамента h, которая, в свою
очередь, зависит от глубины заделки колонны заделки колонны в фундаменте d,
минимальной высоты плитной части 0.2 м, расстояние между торцом колонны и дном
стакана 0.05 м. Таким образом, минимальная высота фундамента
= d + 0.25
Значение d принимаются:
для колонн прямоугольного сплошного сечения
≥
b;
для
двуветвевых колон
d
≥ 0.5 + 0.33b (при b > 1.2 м),≥ b [1-0.8(b-0.9)] (при b < 1.2
м),= 0.9 < 1.2; d ≥ 0.9[1-0.8(0.9-0.9)]= 0.9≥ 0.9 + 0.25 = 1.15
м
где
b - наибольший размер сечения колонны.
Уровень
верхнего обреза фундамента или верх ростверка принимается на отметке - 0.15.
В
дальнейшем эти размеры корректируются при расчете тела фундамента.
)Инженерно-геологические
условия площадки.
Минимальная
глубина заложения фундамента d1 определяется так, чтобы фундаментом были
прорезаны насыпные или слабые грунты, и он был заглублен в несущий слой не
менее чем 50 см.
Следует
избегать наличия под подошвой фундамента слоя грунта малой толщины, если его
свойства значительно ниже свойств подстилающего слоя.
Предварительная
длина сваи назначается из условий погружения их на глубину не менее 0.5 м в
крупнообломочные грунты, гравелистые, крупные и средней крупности песчаные
грунты и глинистые грунты, с показателем текучести IL ≤ 0.1 и не менее 1
м в остальные грунты.
)Глубина
сезонного промерзания грунтов.
Для
районов, где глубина промерзания не превышает 2.5 м, ее нормативное значение
определяется по формуле:
,
где
Мt - безразмерный коэффициент, численно равный сумме абсолютных значений
отрицательных среднемесячных температур за зиму в данном районе по строительным
нормам и правилам (для некоторых городов значения Мt приведены в табл. 8, прил.
Б для г. Воронеж - 30.4; d0(м) - величина, принимаемая для: песков гравелистых,
крупных и средней крупности-0.3;
Расчетная
глубина промерзания сезонного промерзания грунта определяется по формуле
,
где
-
нормативная глубина промерзания грунтов,
коэффициент,
учитывающий влияние внутреннего теплового режима здания на грунты основания
(см. табл. 9, прил. Б)
При
назначении глубины заложения фундамента, расчетная глубина промерзания грунтов
должна
рассматриваться совместно с фактором (4).
)Гидрогеологические
условия площадки.
Необходимо
учитывать взаимоположение глубины залегания уровня грунтовых вод dw (расстояние
от отметки DL до отметки WL) и расчетной глубины промерзания df по табл.10
прил. Б.
Глубина
заложения подошвы фундаментов и ростверков под наружные стены отапливаемых
сооружений, наружные и внутренние стены отапливаемых сооружений с холодными
подвалами и техническими подпольями (глубина исчисляется от пола) должна
применятся по этой таблице.
Глубина
заложения подошвы фундаментов и ростверков под внутренние стены отапливаемых
сооружений применяется независимо от расчетной глубины промерзания
.
Кроме
того, по возможности фундамент следует располагать выше существующего
прогнозируемого уровня грунтовых вод.
Наряду
с рассмотренными факторами необходимо также учитывать, что наименьшая глубина
заложения отдельно стоящего фундамента под колонны промышленных зданий - 1.5м.
В
качестве минимального необходимой принимается глубина заложения фундамента,
удовлетворяющая всем условиям, которая затем уточняется с учетом размеров
типовых сборных конструкций или модуля высоты 0.3 для монолитных фундаментов.
Фундаменты
здания или его отсека должны закладываться на одном уровне. При необходимости
заложение соседних фундаментов на разных отметках их допустимая разность
определяется из условия
где
a - расстояние между фундаментами в свету;
и
- расчетные
(по 1-ой группе предельных состояний) значение угла внутреннего трения и
удельного сцепления грунта;
- среднее
давление под подошвой выше расположенного фундамента от расчетных нагрузок для
расчета оснований по первой группе предельных состояний. Переход от менее
заглубленной части к более заглубленной осуществляется уступами высотой 0.6 м.
Определение размеров подошвы фундамента
.Определяется в первом приближении требуемая
площадь фундамента по формуле:
где
-
нагрузка на фундамент согласно п.2.2;
- условное
расчетное сопротивление грунта под подошвой фундамента;
-
сосредоточенное значение удельного веса материала фундамента и грунта в
пределах глубины заложения d (принимается 20 кПа);- глубина заложения
фундамента от спланированной отметки;
берем
.Для
прямоугольного в плане фундамента задаются соотношения сторон
, тогда
,
м
Рис. 4 - Расчетная схема к определению размеров
подошвы фундамента.
Вычисляем расчетное сопротивление грунта при
принятом значении b по формуле
где
-
коэффициенты условий работы, принимаемые по табл.14 прил. Б;
коэффициент
надежности;
зависящие от
расчетного угла внутреннего трения несущего слоя
,
принимаемые по табл.15 прил. Б;
коэффициент,
зависящий от размеров подошвы фундамента, принимаемый при b < 10м;
-
ширина подошвы, равная диаметру фундамента, м;
вес грунтов,
залегающих выше подошвы;
принимается равной
глубине заложения подошвы d, м;
глубина подвала, м
(в данном случае
);
расчетное удельное
сцепление несущего слоя грунта, кПа;
.Определить суммарные нагрузки на основание в
виде сосредоточенных сил и момента, приложенных в уровне подошвы фундамента
где
-
расчетная нагрузка для второй группы предельных состояний, приложенная в уровне
обреза фундамента (см. задание), кН;
вес грунта на
обрезе фундамента, определяемый исходя из удельного веса грунта и его объема,
кН;
вес фундамента,
определяемый также, кН;
момент в уровне
обреза фундамента (см. задание), кН·м;
поперечная сила в
уровне обреза фундамента (см. задание), кН;
кН·м;
.Определяем эксцентриситет приложения
равнодействующей относительно геометрической оси фундамента
.Проверить условие
выбираем пункт б)
б.Определить краевые давления в уровне подошвы
фундамента:
где
-
момент сопротивления площади подошвы фундамента, определяемый для
прямоугольного сечения
б.Проверяем условия
Условия выполняются, следовательно размеры
фундамента по п.2 принимаем окончательными.
Расчет и конструирование фундамента
а) Проверка фундамента по прочности на
продавливание колонной от дна стакана при действии продольной силы Nc (рис.4)
производится из условия
Nc ≥ bl Rbt bm (h0,p - dp) /
Ao ,
где Rbt(В20) = 0.9 - расчетное сопротивление
бетона осевому растяжению, принимаемое с необходимыми коэффициентами условий
работы железобетонных сечений; Ao - площадь многоугольника abcdeg (см. рис. 4),
равная Ao = 0,5b (l - lp - 2h0,p) - 0,25 (b - bp - 2h0,p)2 ; bm = bp + ho,p .
ho,p = 465мм - рабочая высота пирамиды продавливания от дна стакана до
плоскости расположения растянутой арматуры; bp =550мм, lp = 1000мм - размеры по
низу меньшей и большей сторон стакана (см. рис. 4).
<#"667984.files/image083.gif">
= 2(bc + lc) dc- площадь боковой
поверхности колонны, заделанной в стакан фундамента
= 2·(0.45+0.9)·1.4= 3.78м2
1604мм2
б) Проверка фундамента по прочности
на раскалывание от действия продольной силы Nc (рис. 5) производится из
условий:
при bc / lc > Ab / Al Nc μ (1 + bc /
lc) μ g Al Rbt
;
при bc / lc > Ab / Al Nc μ (1 + lc /
bc) μ g Ab Rbt ;
где μ - коэффициент
трения бетона по бетону, принимаемый равным 0,75; g - коэффициент, учитывающий
совместную работу фундамента с грунтом и принимаемый равным 1,3; при отсутствии
засыпки фундамента грунтом (например, в подвалах) коэффициент принимается
равным 1; Al, Ab - площади вертикальных сечений фундамента в плоскостях,
проходящих по осям сечения колонны параллельно соответственно сторонам l и b
подошвы фундамента, за вычетом площади стакана фундамента (см. рис. 5).
<#"667984.files/image090.gif">
<#"667984.files/image091.gif"><
в) Площадь сечений рабочей арматуры
As в обоих направлениях определяется из расчета на изгиб консольного выступа
плитной части фундамента в сечениях на грани колонны (подколонника) и по граням
ступеней от действия давления грунта.
Площадь сечения арматуры на всю
ширину фундамента определяется по формуле
= Mi/ (0,9hiRs),
где Мi - изгибающий момент в
рассматриваемом сечении консольного выступа (по грани колонны или по граням
ступеней);- рабочая высота рассматриваемого сечения от верха ступени до центра
арматуры; Rs - расчетное сопротивление арматуры.
Изгибающие моменты Mi в расчетных
сечениях определяются по давлению грунта р, вычисленному от расчетных значений
нормальной силы М, приложенной по обрезу фундамента, и изгибающего момента М на
уровне подошвы, действующего в плоскости определяемого момента Mi .
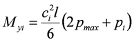
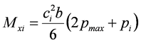
Изгибающий момент Mi в сечении i,
определяемый в направлении l (большего размера подошвы),
и в направлении b (меньшего размера
подошвы)
где ci - длина консоли от края
фундамента до расчетного сечения;- максимальное краевое давление на грунт,
определяемое по формуле;
рi - давление на грунт в расчетном
сечении:
pi = N/ A +
k′iM/ W;′i = 1 - 2ci/ l.
k′i = 1-2·0.325/3=0.12
=900·1.3/4.5+0.12·80/1.1=208.7кПа
=
=
Берем рабочую арматуру А-1
12 с As =
2.26см2 .
Давление по подошве фундамента
p=208.7кПа=0.2мПа=2кгс/см2, коэффициент относительной сжимаемости для песка
гравелистого
и для глины
.
По СНиП определяем α=0.734 и вычисляем
(от 0 до 6
м) от подошвы фундамента
Получим:
,
,
.
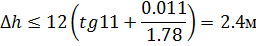
Сжатие слоев глубже 6м не учитываем.
Тогда максимальная осадка фундамента,
определяемая по методу элементарного суммирования (без учета бокового
расширения грунта), по формуле
По СНиП2.02.01-83* для зданий данного типа
находим допустимую осадку
В рассматриваемом случае
Следовательно,
полная усадка фундамента не превышает допустимой по СНиПу.
4.2 Проектирование свайного
фундамента
Выбор глубины заложения ростверка
Определение глубины заложения ростверка зависит
от нескольких факторов: глубины промерзания грунта, нормативная глубина
сезонного промерзания грунта. Наличие конструктивных особенностей: в нашем
случае подвальных помещений нет, поэтому глубина заложения роствирка учитывая
все перечисленные условия п.4.1.1., принимаем глубину заложения ростверка dр =
1,5 м, исходя из кратности ростверка по высоте 15 см.
Расчет по несущей способности
.Назначить тип и размеры свай. Типовые размеры
свай приведены в в табл. 11 прил. Б. Первоначально можно принять сваю сечением
25х25см, а ее длину назначить с учетом грунтовой ситуации 5м.
.Вычертить геологический разрез площадки и
привязать к нему свайный фундамент. Необходимо учесть: высоту ростверка,
глубину заложения ростверка, длину заделки сваи в ростверк - 0.1м, длину сваи.
.Определить несущую способность одной сваи
где
коэффициент
условий работы сваи в грунте;
коэффициент условий
работы соответственно под нижним концом сваи боковой поверхности сваи,
принимаемые по табл. 18 прил. Б;
расчетное
сопротивление грунта под нижним концом сваи, кПа, принимаемое по табл. 16 прил.
Б;
площадь
поперечного сечения сваи, м2;
расчетное
сопротивление i-го слоя грунта по боковой поверхности сваи, кПа, принимаемое по
табл. 17, прил. Б;
толщина i-го слоя
грунта, соприкасающийся с боковой поверхностью сваи, м.
.Определить число свай в фундаменте
где
коэффициент
надежности, принимаемый при практическом методе определения несущей способности
сваи равным 1.4;
расчетная нагрузка
на фундаменты для предельных состояний первой группы, кН;
несущая способность
одной сваи, кН
6.Количество свай по п.6 разместить в пределах
проекции ростверка, размеры которого назначить с учетом нижеследующего:
расстояние между сваями принимается в пределах
(d-размер
сечения сваи) 0.75м ≤ а ≤ 1.50м.
расстояние от оси крайнего ряда свай до грани
ростверка принимается не менее.
.Определить расчетную нагрузку, приходящуюся на
отдельную сваю (крайнюю)
где
расчетная
нагрузка для расчета по первой группе предельных состояний, кН;
вес грунта на
ростверке, кН;
количество свай в
фундаменте;
расчетный
изгибающий момент относительно главной центральной оси х плоскости подошвы
ростверка, кН·м;
расстояние от
главной оси х до оси сваи, для которой вычисляется расчетная нагрузка, м;
8.Проверяем условие
Конструирование свайного фундамента.
По результатам расчетов, а также используя
литературу, принимаем размеры ростверка, свай конструкцию фундамента в целом и
вычертить эскиз свайного фундамента.
Расчет осадок свайного фундамента методом
эквивалентного слоя
Вычисляем осредненный угол внутреннего трения
основания, прорезаемого сваей
где
осредненное значение угла внутреннего трения грунтов, прорезаемых
сваей;
угол внутреннего трения;
толщина i-го слоя грунта в пределах высоты сваи
Находим ширину условного фундамента
свайный фундамент ростверк подошва
где
ширина сваи
глубина погружения
сваи в грунт от подошвы ростверка
Определим вес свай, имея в виду что вес сваи
СВ-4.5-25 равен 0.0073 кН:
Определяем вес грунта всех слоев в пределе
условного фундамента
Находим вес ростверка
Среднее давление под подошвой условного
фундамента составит
где
-
площадь условного фундамента
Определяем конечную стабилизированную осадку
условного фундамента с площадью подошва 2.2Х2.2м при удельной нагрузкой на
грунт 0.64кгс/см2, если коэффициент относительной сжимаемости грунта
mv=0.003см2/кгс
и
коэффициент поперечной деформации μ0=0.2.По
табл.5.6
(механика грунтов Н.А. Цытович).

А по формуле (5.52)
стабилизированная осадка условного фундамента заданных размеров с учетом
бокового расширения грунта и всей сжатой зоны под фундаментом
В рассматриваемом случае
Следовательно,
полная усадка фундамента не превышает допустимой по СНиПу.
Литература
1. СНиП
2.01.07-85. Нагрузки и воздействия. - М., 1986 - 34 с.
2. СНиП
2.01.01-82. Строительная климатология и геофизика. - М., 1983.-136с.
. СНиП
2.02.01-83*. Основания зданий и сооружений. - М., 1995.-49с.
. СНиП
2.02.03-85. Свайные фундаменты. - М., 1986.-48с.
. СНиП
2.03.01-84*. Бетонные и железобетонные конструкции. -М., 1989. -86с.
. ГОСТ
25100-95. Грунты. Классификация. - М., 1996.
. Пособие
по проектированию оснований зданий и сооружений (к СНиП 2.02.01.-83). -М.,
1986.-415 с.
. Основания
и фундаменты. Справочник // Г.И. Швецов, Н.В. Носков, А.Д. Слободян, Г.С.
Госькова / под редакцией Г.Н. Швецова. -М., 1991.-384с.
. Далматов
Б.Н. Механика грунтов, основания и фундаменты.-Л.; 1988.-415с.
. Справочник
проектировщика. Основания, фундаменты и подземные сооружения // Под общ. ред.
Е.А. Сорочана и Ю.Г. Трофименкова.-М.,1988.-415с.
. Веселов
В.А. Проектирование оснований и фундаментов: (Основы теории и примеры расчета):
Учеб. Пособие для вузов.-М.,1990.-304с.
. Берлинов
М.В. Основания и фундаменты: Учебник для вузов. -М., 1988. -319с.
. Берлинов
М.В., Ягупов Б.А. Примеры расчета оснований и фундаментов.- М.,1986.-173с.
. Байков
В.Н., Сигалов Э.Е. Железобетонные конструкции: Учебник для вузов, изд. 4-е.-М.,
1985.-728с.
. Механика
грунтов, основания и фундаменты: Учеб. Пособие для вузов / под ред. С.Б.
Ухова.-М.,2002.-566с.
. Цитович
Н.А. Механика грунтов (краткий курс): учебник для вузов, изд. 4-е. -
М.,1983.-272с.
. Долматов
Б.И., Морарескул Н.Н., Науменко В.Г. Проектирование фундаментов зданий
промышленных сооружений. - М.,1986.-240с.
. Руководство
по выбору проектных решений фундаментов. - М., 1984.-243с.
. Хасауов
Ю.М. Методические указания к разработке курсового проекта по дисциплине
«Основания и фундаменты». - Нальчик: КБГУ, 1998.-65с.