|
Элемент кровли
|
Нормативное значение нагрузки кПа
|
Коэффициент надёжности нагрузки
|
Расчетное значение нагрузки кПа
|
|
Трёхслойный рубероидный ковёр
|
0,13
|
1,3
|
0,17
|
|
Фанерные обшивки
|
0,26
|
1,1
|
0,286
|
|
Рёбра
|
0,15
|
1,1
|
0,17
|
|
Связи по покрытию
|
0,07
|
1,1
|
0,077
|
|
Утеплитель
|
0,054
|
1,2
|
0,0648
|
|
Итого
|
0,664
|
|
0,77
|
Примечание к таблице:
)
-удельный вес фанеры и дерева принимаются по [2, прил. 3]
)
- удельный вес утеплителя (для минераловатных плит от 0,5 до 2,5
кН/
, для пенопластов - 0,25 до 1,0 кН/
)
)нагрузка от веса продольных рёбер
определяется по формуле:
Где
,
-
размеры сечения продольных рёбер в м и их количество(коэффициент 1,3 учитывает
наличие поперечных рёбер)
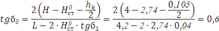
Собственный вес рамы, приходящийся
на 1
покрытия, определяется по формуле:
Где
- нормативное значение веса снегового покрова на
горизонтальной поверхности, принимаемое по [1] в зависимости от
снегового района, кПа;
-
нормативное значение собственного веса кровли, кПа;
- пролёт рамы в м;
-
коэффициент собственного веса, можно принимать равным 4.
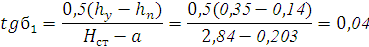
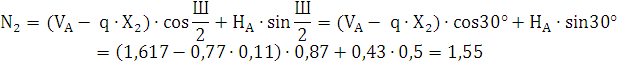
Расчетное значение снеговой нагрузки
принимается в зависимости от снегового района, кПа.
2.Рамы из прямоугольных
элементов
2.1. Конструирование рам
Исходными данными для
конструирования являются: пролёт рамы, высота рамы в коньке, уклон ригеля
Высота стойки определяется
выражением:
где
=0,57
Высота сечения в карнизном узле
принимается равной:
Высота сечения стойки в пяте
и высота ригеля в коньке
принимаются из следующих условий:
Высота рамы по оси сечения
определяется по формуле:
При выполнении данных требований,
проверка нормальных напряжений выполняется только в карнизном узле.
Ширина поперечного сечения рамы
принимается постоянной из условий
.Сечение компонуется из досок толщиной не более 33 мм в
соответствии с сортаментом на пиломатериалы хвойных пород(ГОСТ 24454-80Е), с
учетом припусков на фрезерование с двух сторон кромок(5
) и пластин (
).
3. Статистический расчет
рамы
Для выполнения статистического
расчета необходимо пользоваться методическими указаниями [3].В трехшарнирных
рамах со стойками высотой до 4 м расчет на ветровую нагрузку можно не
выполнять. Расчетные усилия M,N,Q в наиболее нагруженных сечениях 1-1,1-2,1-3 можно вычислять в
следующей последовательности:
определяют координаты точек 1-3:

вычисляют опорные реакции:
где
- суммарное расчетное значение погонной нагрузки на раму
(постоянная нагрузка + снеговая), кН/м
усилие в сечениях 1-1,1-2,1-3 будут
равны:
Поперечная сила в сечении А при
действии полной расчетной нагрузки на всем пролёте:
Расчетная поперечная сила в
коньковом узле «К» возникает при загружении равномерной снеговой нагрузкой p половины пролёта:
4. Конструктивный расчет
рам из прямолинейных элементов
Конструктивный расчет следует
начинать с определения геометрических характеристик рассматриваемых сечений.
Для биссектрисного сечения 1-2:
Момент сопротивления:
Сечения 1-1, 1-3
Проверяем прочность и
устойчивость рамы в ее плоскости в биссектрисном сечении 1-2.
Напряжение в сжатой зоне
вдоль оси под углом
к
волокнам:
- изгибающий момент от
действия поперечной и продольной нагрузок
- коэффициент,
учитывающий дополнительный момент от продольной силы
- коэффициент продольного
изгиба
- радиус инерции сечения
- длина полурамы

- длина ригеля по оси
-коэффициенты, зависящие
от угла
,
принимаемый по таблице.
- расчетные
сопротивления
Напряжение в растянутой
зоне вдоль оси под углом
к
волокнам:
условие выполняется.
Напряжение в растянутой
зоне вдоль оси под углом
:
условие выполняется.
Проверяем прочность по
нормальным напряжениям в наиболее напряженном сечении:
условие выполняется.
Проверяем сечение на
устойчивость плоской формы деформирования:
,
где
-
максимальные площадь и момент сопротивления на рассматриваемом участку;
N
- продольная сила в сечении с максимальным изгибающим моментом;
n=2
- для элементов без закрепления растянутой зоны из плоскости деформирования.
, где
-
расчетная длина;
, где b - ширина поперечного сечения;
,
где М- максимальный
изгибающий момент на рассматриваемом участке l
, где h - максимальная высота поперечного сечения на участке
;
- коэффициент, зависящий
от формы изгибающих моментов.
Проверка условия:
условие выполняется.
7. Расчет узлов
трехшарнирных рам
Расчет узлов деревянных
конструкций выполняется, в основном, как проверочные, т.е вначале выполняется
конструирование узла и его соединительных элементов, а затем осуществляется
проверка прочности элементов узла, исходя из напряженно-деформированного
состояния.
1. Коньковый узел на
боковых парных накладках
Расчет конькового узла
производят на действие максимальных продольных
и поперечных
сил,
действующих вдоль горизонтальных и вертикальных осей узла. Максимальные
продольные силы
возникают
от совместного действия всех нагрузок. Поперечные силы
возникают
здесь только от действия несимметричных нагрузок(снег на половине пролёта,
ветер)
Торцы клееных блоков
ригеля в узле соединяются впритык, со срезом крайних досок под углом для
большей шарнирности узла и предотвращения откола крайних волокон при повороте
элементов шарнирного узла. Боковые накладки, как правило, выполняются
дощато-клееные. Размеры накладок определяют по конструктивным требованиям.
Крепятся накладки к каждой полураме металлическими болтами. Вследствие
кососимметрической схемы работы накладок усилия, воспринимаемые болтами, будут
неодинаковыми. Более нагруженные болты, расположенные ближе к месту стыка,
поэтому здесь болты устанавливают в два ряда по высоте. Приняв диаметр болтов d(d=16…25 мм), определяют их расстановку, исходя из нормативных
требований для нагельных соединений.
d=25
мм
Коньковый узел на
боковых накладках:

Расчет узла заключается
в выполнении следующих проверок прочности его элементов.
1.Проверка прочности
коньковых торцов полурам на смятие под углом к волокнам.
Смятие коньковых торцов
полурам происходит под воздействием усилия:
Размер площади смятия
под углом к волокнам:
Расчетное сопротивление
древесины смятию под углом к направлению волокон
Проверка условия:
.Проверка прочности на
изгиб.
Величина наибольшего изгибающего
момента на накладках:
где
-расчетная поперечная сила в коньковом узле «К»
Проверка условия:
.Проверка несущей
способности двухсрезных болтов.
Реактивные усилия в болтах
определяются расчетной схемой работы накладок:
Определение расчетной несущей
способности
(кН)
одного болта в одном рабочем шве:
а) при смятии древесины среднего
элемента соединения (накладок)
б) при смятии древесины среднего
элемента соединения (ригеля)
в) при изгибе нагеля
где a, c, d-толщина накладок, ширина рамы и
диаметр болта,см.
а)
б)
в)
Проверка условия:
где
2. Опорный узел с
металлическим башмаком
Расчет опорного узла трёхшарнирной
рамы производят на воздействие максимальных опорных реакций: распора Н и
вертикальной реакции V, возникающих от совместного действия нагрузок.
Опирание стойки рамы на бетонный
фундамент выполняется непосредственно через торец, т.е сжимающие усилие
передаётся непосредственно на фундамент. Между бетоном и торцевым обрезом
стойки проложена гидроизоляция из двух слоёв толя, склеенных битумной мастикой.
Возможен вариант башмака опорного узла со сплошной опорной пластинкой, при этом
сжимающее усилие передаётся на фундамент через опорную пластину. Башмак
крепится к фундаменту двумя анкерными ботами, работающими на срез и
растяжение(в случае применения сплошной опорной пластины анкерный болт работает
только на срез). Диаметр анкерных болтов принимают равным 20,22 или 25 мм. Для
того чтобы усилие среза воспринималось полным сечением обоих анкерных болтов,
под гайки устанавливают шайбы(толщиной 10 мм) и закрепляют их монтажной сваркой
на башмаке. Болт, соединяющий башмак со стойкой, назначается конструктивно.
Расчет опорного узла проводится в
следующей последовательности:
1. Проверка прочности
опорных торцов полурам на смятие вдоль волокон
где
-размер площадки смятия вдоль волокон,
2.Расчет торцевой
вертикальной пластины опорного башмака.
Высота башмака
определяется из условий прочности опорных кромок полурам на
смятие поперёк волокон:
где
-размер площадки смятия поперёк волокон,
Вертикальная торцевая пластинка
воспринимает распор Н и рассчитывается на изгиб как балка, частично защемленная
на опорах, с учетом пластического перераспределения моментов на действие
изгибающего момента
.
Требуемый момент сопротивления
пластины
, где
=2450

где
- толщина пластины, определяемая по формуле:
.Проверка прочности
пластин опорного башмака на внецентренное растяжение.
Боковые пластины уголкового профиля
принимают той же толщины, что и вертикальная торцевая пластина. При проверке
прочности боковых пластин на внецентренное растяжение упрощенно учитывают
только их вертикальные полки.
Определяют площадь поперечного сечения
и момент сопротивления одной вертикальной полки боковой пластины.
где 
Растягивающее усилие, действующее на
вертикальную полку одной боковой пластины:
Изгибающий момент, действующий в
плоскости вертикальной боковой пластины:
Проверка условия:
4.Проверка прочности
бетона фундамента на воздействие вертикального сжимающего усилия V, передающегося от стойки на фундамент, не проводится в виду большей
прочности бетона по сравнению с прочностью древесины.
5.Проверка прочности
анкерных болтов.
В соответствии с расчетной схемой
работы опорного башмака, определяется растягивающее усилие в одном анкерном
болте:
Напряжение растяжения по
ослабленному нарезкой сечению болта:
где
площадь болта,
Срезывающее усилие в анкерном болте:
Напряжение анкерного болта на срез:
Библиографический список
1. СНиП 2.01.07-85.
Нагрузки и воздействия / Госстрой России -М.: ФГУП ЦПП, 2004.-22 с
2. СНиП II-25-80.Деревянные
конструкции / России -М.: ФГУП ЦПП, 2004.-30 с
. Расчет
трёхшарнирных арок и рам на ДВК / О.В. Емельянов, Р.М. Каримов, В.А. Плотников,
В.Е. Фомин: Метод. указания. Магнитогорск: МГМИ, 1992. 27с.
. Руководство по
проектированию клееных деревянных конструкций. М.: Строиздат, 1977.189 с.
. Гринь
М.И.Строительные конструкции из дерева и синтетических материалов.
Проектирование и расчет. Киев: Вища шк., 1975. 28 с