Решение экологических проблем города Новокузнецка
Введение
экологический
смог промышленный системный
Системный анализ - это совокупность определенных
научных методов и практических приемов решения разнообразных проблем,
возникающих во всех сферах целенаправленной деятельности общества, на основе
системного подхода и представления объекта исследования в виде системы.
Системный анализ предназначен для:
решения слабоструктурированных проблем, то есть
проблем, состав элементов и взаимосвязей которых установлен частично;
решения задач, возникающих в ситуациях, характеризуемых
наличием неопределенности и содержащих неформализуемые элементы;
определения и упорядочения целей деятельности
системы, при функционировании которой возникла проблема (при этом
устанавливается соответствие между этими целями, возможными путями решения
проблемы и потребными для этого ресурсами);
раскрытия содержания проблем, стоящих перед
руководителями, принимающими решения, чтобы им стали очевидны все остальные
последствия решений;
объединения разных методов с помощью единой
методологии.
Системный анализ характеризуется главным образом
упорядоченным, логически обоснованным подходом к исследования проблем и
использованием существующих методов их решений, которые были разработаны в
рамках других наук.
Применение системного анализа в
отношении к теме данной курсовой работы вполне обоснованно, т.к. позволяет
расчленить проблему решения экологических проблем города Новокузнецка на
составные части, правильно поставить цели, рассчитать коэффициенты
относительной важности с помощью метода экспертной оценки, а также разработать
расписание выполнения комплексов работ и мероприятий для разрешения как
составных частей, так и всей проблемы в целом и оптимизировать работу по
проведению необходимых мероприятий.
1. Описание предметной области
Город Новокузнецк - крупный промышленный центр,
просто задыхающийся от смога. Так, объем валовых выбросов загрязняющих веществ
в атмосферу в 1998 году составил 431,5 тыс.тонн, превышение установленных
предельных нормативов выбросов в целом по городу составило 154,3 тыс.т
загрязняющих веществ.
Наибольший вклад в совокупный валовой выброс
вносят следующие предприятия города: ОАО «ЗСМК» - 47,5%; ОАО «КМК» - 27,7%; АО
«НКАЗ» - 7,9%; Западно-Сибирская ТЭЦ - 6,6%; Кузнецкая ТЭЦ - 3,1%; АО
«Кузнецкие ферросплавы» - 1,7%. Совокупно эти предприятия выбрасывают 94,5%
загрязняющих веществ. Котельные города вносят 2,3% в общий валовой выброс.
Несмотря на небольшой процент валовых выбросов от котельных, они оказывают
основное негативное влияние на атмосферу города. Это объясняется размещением
котельных непосредственно в жилых районах города, отсутствием на мелких
котельных золоулавливающих устройств, низкой эффективностью очистки отходящих
газов на котельных средней мощности.
Промышленными предприятиями города в атмосферный
воздух выбрасывается более 100 загрязняющих веществ.
Большая концентрация промышленного производства
неизбежно оказывает мощный отрицательный эффект на окружающую природную среду и
человека. Так, добыча одной тонны каменного угля сопровождается образованием от
трех до двадцати тонн твердых отходов и выбросом в атмосферу от 5 до 25
кубометров метана. При годовой добыче угля как в 2003 году - 144 млн. тонн - в
атмосферу выброшено примерно около 2,5 млрд. кубометров метана, около миллиарда
тонн твердых отходов и уже накоплено в отвалах и терриконах десятки миллиардов
кубометров породы, что сопоставимо с вершиной горы Эльбрус. В результате
проведения горных работ в области нарушено и выведено из сельскохозяйственного
производства более 70 тыс. гектаров плодородных земель и уничтожено около 300
малых речек. Ежегодный объем отходов флотации при обогащении угля составляет от
10 до 15 млн. тонн.
Предприятиями металлургической промышленности
Кузбасса в 2001 году было образовано 8,2 млн. тонн токсических отходов, в.т.ч.
64 тыс. тонн первого и второго класса токсичности. В атмосферу выброшено 413
тыс. тонн газообразных, твердых и жидких отходов, основную массу которых
составили оксид углерода, диоксид азота, диоксид серы, сернистый ангидрид,
аммиак, цианистый водород, углеводороды и другие токсичные соединения.
Транспорт является доминирующим источником
загрязнения воздуха в городских зонах области, значительная часть городского
населения по-прежнему испытывает воздействие повышенных концентраций от
выхлопных газов автотранспорта.
Транспортные средства, использующие значительные
объемы углеводородного сырья, являются одним из существенных источников
загрязнения атмосферы. Основную долю в выбросах от передвижных источников
составляют выбросы от автомобильного транспорта (90%).
В составе выбросов в атмосферу от автомобильного
транспорта содержится более 280 соединений. Это, в основном, газообразные
вещества, многие из которых по химическим свойствам, характеру воздействия на
организм человека являются токсичными: оксид углерода, оксиды азота, диоксид
серы, углеводороды и другие, а также твердые вещества - сажа, свинец,
бенз(а)пирен.
Основные загрязнители, потенциально воздействуя
на здоровье людей, могут вызвать различные виды заболеваний. По данным
Всемирной организации здравоохранения (ВОЗ):
вдыхаемые частицы, оксид углерода, свинец
способствуют сердечно-сосудистым и онкологическим заболеваниям, заболеваниям
нервной системы;
вдыхаемые частицы, диоксид серы, углеводороды
способствуют заболеваниям дыхательных путей;
воздействие диоксида азота на человека приводит
к нарушению функций легких и бронхов, воздействию в большей степени подвержены
дети и люди, страдающие сердечно-сосудистыми заболеваниями.
В этих условиях просто необходимо срочное
решение экологических проблем.
Элементы системы: очистные сооружения,
предприятия города, горожане, СМИ, система штрафов за нарушение экологического
законодательства.
Подсистемы: определение конечных целей решения
экологических проблем, подготовка решений экологических проблем, претворение в
жизнь решений.
Характеристики внешнего окружения:
высокий уровень неопределенности;
высокий уровень изменчивости.
Входные параметры: высокий уровень
загрязненности среды г.Новокузнецка.
Выходные параметры: уровень загрязненности среды
г.Новокузнецка в пределах ПДК.
Признаки проблемной ситуации: найти решение
экологических проблем г.Новокузнецка.
2. Дерево целей
.1 Построение дерева целей
На рисунке 1 представлено дерево проблем, на
основе которого далее построим дерево целей.
Рисунок 1 - Дерево экологических проблем
г.Новокузнецка
Рисунок 2 - Дерево целей организации решения
экологических проблем г.Новокузнецка
2.2 Расчёт коэффициентов
относительной важности
Произведем расчет КОВ дерева целей (1-й
уровень): защита водной среды, защита воздушной среды, защита земельных
ресурсов.
Таблица. Матрица опроса
|
Подцели
|
Эксперт
|
|
|
|
1
|
2
|
3
|
4
|
5
|
|
|
|
Защита
водной среды
|
1
|
3
|
2
|
3
|
1
|
|
|
|
Защита
воздушной среды
|
2
|
1
|
1
|
1
|
2
|
|
Rmax=3
|
|
Защита
земельных ресурсов
|
3
|
2
|
3
|
2
|
3
|
|
|
Таблица. Матрица преобразованных рангов
|
Подцели
|
Эксперт
|
Сумма
|
КОВ
|
|
1
|
2
|
3
|
4
|
5
|
|
|
|
Защита
водной среды
|
2
|
0
|
1
|
0
|
2
|
5
|
0,333
|
|
Защита
воздушной среды
|
1
|
2
|
2
|
2
|
1
|
8
|
0,533
|
|
Защита
земельных ресурсов
|
0
|
1
|
0
|
1
|
0
|
2
|
0,134
|
|
|
|
|
|
|
15
|
1
|
Произведем расчет КОВ дерева целей (2-й уровень,
часть 1 - подцели защиты водной среды)
Таблица. Матрица опроса экспертов
|
Подцели
|
Эксперт
|
|
|
1
|
2
|
3
|
4
|
5
|
|
|
Увеличить
штрафы за выбросы выше ПДК
|
1
|
2
|
2
|
2
|
3
|
|
|
Обязать
предприятия очищать все выбросы
|
3
|
1
|
1
|
1
|
1
|
Rmax=3
|
|
Снизить
объемы выбросов
|
2
|
3
|
3
|
3
|
2
|
|
Таблица. Матрица преобразованных рангов
|
Подцели
|
Эксперт
|
Сумма
|
|
КОВ
|
|
1
|
2
|
3
|
4
|
5
|
|
|
|
|
Увеличить
штрафы за выбросы выше ПДК
|
2
|
1
|
1
|
1
|
0
|
5
|
0,333
|
0,111
|
|
Обязать
предприятия очищать все выбросы
|
0
|
2
|
2
|
2
|
2
|
8
|
0,533
|
0,177
|
|
Снизить
объемы выбросов
|
1
|
0
|
0
|
0
|
1
|
2
|
0,134
|
0,045
|
|
|
|
|
|
|
15
|
|
0,333
|
Произведем расчет КОВ дерева целей (2-й уровень,
часть 2 - подцели защиты воздушной среды).
Таблица. Матрица опроса экспертов
|
Подцели
|
Эксперт
|
|
|
1
|
2
|
3
|
4
|
5
|
|
|
Увеличить
штрафы за выбросы выше ПДК
|
1
|
2
|
1
|
2
|
2
|
|
|
Обязать
предприятия очищать все выбросы
|
2
|
1
|
3
|
1
|
1
|
Rmax=3
|
|
Снизить
объемы выбросов
|
3
|
3
|
2
|
3
|
3
|
|
Таблица. Матрица преобразованных рангов
|
Подцели
|
Эксперт
|
Сумма
|
|
КОВ
|
|
1
|
2
|
3
|
4
|
5
|
|
|
|
|
Увеличить
штрафы за выбросы выше ПДК
|
2
|
1
|
2
|
1
|
1
|
7
|
0,467
|
0,249
|
|
Обязать
предприятия очищать все выбросы
|
1
|
2
|
0
|
2
|
2
|
7
|
0,467
|
0,249
|
|
Снизить
объемы выбросов
|
0
|
0
|
1
|
0
|
0
|
1
|
0,066
|
0,036
|
|
|
|
|
|
|
15
|
|
0,533
|
Произведем расчет КОВ дерева целей (2-й уровень,
часть 3 - защита земельных ресурсов)
Таблица. Матрица опроса экспертов
|
Подцели
|
Эксперт
|
|
|
1
|
2
|
3
|
4
|
5
|
|
|
Обязать
все предприятия утилизировать мусор
|
3
|
3
|
2
|
2
|
2
|
|
|
Увеличить
штрафы за несанкционированные свалки
|
1
|
2
|
3
|
3
|
1
|
Rmax=3
|
|
Организовать
работу по уборке и переработке мусора
|
2
|
1
|
1
|
1
|
3
|
|
Таблица. Матрица преобразованных рангов
|
Подцели
|
Эксперт
|
Сумма
|
|
КОВ
|
|
1
|
2
|
3
|
4
|
5
|
|
|
|
|
Обязать
все предприятия утилизировать мусор
|
0
|
0
|
1
|
1
|
1
|
3
|
0,200
|
0,027
|
|
Увеличить
штрафы за несанкционир. свалки
|
2
|
1
|
0
|
0
|
2
|
5
|
0,333
|
0,045
|
|
Организовать
работу по уборке и перер. мусора
|
1
|
2
|
2
|
2
|
0
|
7
|
0,467
|
0,062
|
|
|
|
|
|
|
15
|
|
0,134
|
Нанесем полученные данные на искомое дерево
целей (рисунок 3).
Рисунок 3 - Дерево целей организации решения
экологических проблем г.Новокузнецка
Как видно из расчетов, главная цель разбита на
три неравнозначные подцели:
защита водной среды 0,333;
защита воздушной среды - 0,533;
защита земельных ресурсов - 0,134.
Определим главенство подцелей. Так, защита
воздушной среды является важным фактором обеспечения здоровья населения,
поэтому весомость данной цели составляет 0,533 (ну, или проще, 53,3%). На
втором месте - защита водной среды - все мы состоим из воды, поэтому вес
данного фактора также велик, тем более что очистка питьевой воды оставляет
желать много лучшего (0,333). На последнем месте - защита земельных ресурсов -
тем более, что уже отрылся завод по переработке твердых бытовых отходов,
поэтому на реализацию данной подцели можно уделять меньше ресурсов.
Все рассмотренные подцели в детализированном
виде представляют главную цель и поэтому, эффективно распределяя ресурсы для
достижения всех этих подцелей, и, достигая их, мы достигаем и главной цели -
организации решения экологических проблем г.Новокузнецка.
Главными подцелями второго уровня для достижения
подцели «Защита воздушной среды» являются:
увеличение штрафов за выбросы в воздушную среду
выше ПДК - 0,249;
обязать предприятия очищать все выбросы в
воздушную среду - 0,249;
снизить объемы выбросов в воздушную среду -
0,036.
Также важную роль играет защита водной среды -
0,333, которая разбита на 3 подцели:
увеличение штрафов за выбросы в водную среду
выше ПДК - 0,111;
обязать предприятия очищать все выбросы в водную
среду - 0,177;
снизить объемы выбросов в водную среду - 0,045.
Немаловажную роль играет защита земельных
ресурсов - 0,134, которая разбита на 3 подцели:
обязать все предприятия утилизировать мусор -
0,027;
увеличить штрафы за несанкционированные свалки -
0,045;
организовать работу по уборке и переработке
мусора - 0,062.
Реализация всех подцелей приведет к реализации
главной цели автоматически.
3. Деревья мероприятий
.1 Построение деревьев мероприятий
для всех подцелей нижнего уровня дерева целей
Рисунок 4 - Дерево мероприятий для подцели
«Увеличить штрафы за выбросы в водную среду выше ПДК»
3.2 Расчёт коэффициентов оценки
вариантов мероприятий
.2.1 Выбор критериев (факторов)
оценки альтернатив
Для оценки альтернативных вариантов решения
будут использованы следующие критерии:
эффективность варианта;
сложность реализации;
затраты времени на реализацию.
Произведем расчет коэффициентов важности
факторов.
Таблица. Матрица опроса экспертов
|
Критерии
|
Эксперт
|
|
|
1
|
2
|
3
|
4
|
5
|
|
|
Эффективность
варианта
|
1
|
2
|
1
|
1
|
|
|
Сложность
реализации
|
2
|
1
|
1
|
2
|
2
|
Rmax=3
|
|
Затраты
времени на реализацию
|
3
|
3
|
2
|
3
|
3
|
|
Таблица. Матрица преобразованных рангов
|
Критерии
|
Эксперт
|
Сумма
|
КОВ
|
|
1
|
2
|
3
|
4
|
5
|
|
|
|
Эффективность
варианта
|
2
|
1
|
0
|
2
|
2
|
7
|
0,467
|
|
Сложность
реализации
|
1
|
2
|
2
|
1
|
1
|
7
|
0,467
|
|
Затраты
времени на реализацию
|
0
|
0
|
1
|
0
|
0
|
1
|
0,066
|
|
|
|
|
|
|
|
15
|
1
|
|
|
|
|
|
|
|
|
|
Согласно таблице, критерии оценки мероприятий
получили следующие веса:
эффективность варианта - 0,467;
сложность реализации - 0,467;
затраты времени на реализацию - 0,066.
.2.2 Расчетные таблицы семейств
каждого дерева мероприятий (для одного дерева приводится полный расчет со всеми
таблицами, а для остальных деревьев только результаты расчета)
Таблица расчета альтернатив семейства №1
(исходная)
|
Критерии
|
КВ
|
Опред.
«потолок» штрафа, т.е. макс.
|
Ув.
все штрафы за выбросы выше ПДК
|
Итого
|
|
Эффективность
варианта
|
0,467
|
|
|
|
|
Сложность
реализации
|
0,467
|
|
|
|
|
Затраты
врем. на реализацию
|
0,066
|
|
|
|
|
Итоговые
оценки
|
|
|
|
|
Расчет весов альтернатив по фактору 1 -
эффективность варианта
Таблица. Матрица опроса экспертов
|
Альтернативы
|
Эксперт
|
|
|
|
1
|
2
|
3
|
4
|
5
|
|
|
|
Определить
«потолок» штрафа, т.е. максимум
|
1
|
2
|
2
|
2
|
1
|
|
|
|
Увеличить
все штрафы за выбросы выше ПДК
|
2
|
1
|
1
|
1
|
2
|
|
Rmax=2
|
Таблица. Матрица преобразованных рангов
|
Альтернативы
|
Эксперт
|
Сумма
|
КВ
|
|
1
|
2
|
3
|
4
|
5
|
|
|
|
Определить
«потолок» штрафа, т.е. максимум
|
1
|
0
|
0
|
0
|
1
|
2
|
0,40
|
|
Увеличить
все штрафы за выбросы выше ПДК
|
0
|
1
|
1
|
1
|
0
|
3
|
0,60
|
|
|
|
|
|
|
|
5
|
1
|
|
|
|
|
|
|
|
|
|
Расчет весов альтернатив по фактору 2 -
сложность реализации
Таблица. Матрица опроса экспертов
|
Альтернативы
|
Эксперт
|
|
|
|
1
|
2
|
3
|
4
|
5
|
|
|
|
Определить
«потолок» штрафа, т.е. максимум
|
2
|
2
|
2
|
1
|
2
|
|
|
|
Увеличить
все штрафы за выбросы выше ПДК
|
1
|
1
|
1
|
2
|
1
|
|
Rmax=2
|
Таблица. Матрица преобразованных рангов
|
Альтернативы
|
Эксперт
|
Сумма
|
КВ
|
|
1
|
2
|
3
|
4
|
5
|
|
|
|
Определить
«потолок» штрафа, т.е. максимум
|
0
|
0
|
0
|
1
|
0
|
1
|
0,20
|
|
Увеличить
все штрафы за выбросы выше ПДК
|
1
|
1
|
1
|
0
|
1
|
4
|
0,80
|
|
|
|
|
|
|
|
5
|
1
|
|
|
|
|
|
|
|
|
|
Расчет весов альтернатив по фактору 3 - затраты
времени на реализацию
Таблица. Матрица опроса экспертов
|
Альтернативы
|
Эксперт
|
|
|
|
1
|
2
|
3
|
4
|
5
|
|
|
|
Определить
«потолок» штрафа, т.е. максимум
|
1
|
1
|
2
|
1
|
2
|
|
|
|
Увеличить
все штрафы за выбросы выше ПДК
|
2
|
2
|
1
|
2
|
1
|
|
Rmax=2
|
Таблица. Матрица преобразованных рангов
|
Альтернативы
|
Эксперт
|
Сумма
|
КВ
|
|
1
|
2
|
3
|
4
|
5
|
|
|
|
Определить
«потолок» штрафа, т.е. максимум
|
1
|
1
|
0
|
1
|
0
|
3
|
0,60
|
|
Увеличить
все штрафы за выбросы выше ПДК
|
0
|
0
|
1
|
0
|
1
|
2
|
0,40
|
|
|
|
|
|
|
|
5
|
1
|
|
|
|
|
|
|
|
|
|
Таблица. Таблица расчета альтернатив семейства
№1 (заполненная)
|
Критерии
|
КВ
|
Определить
«потолок» штрафа
|
Увеличить
все штрафы за выбросы выше ПДК
|
Итого
|
|
Эффективность
варианта
|
0,467
|
0,4
|
0,6
|
1
|
|
Сложность
реализации
|
0,467
|
0,2
|
0,8
|
1
|
|
Затраты
времени на реализ.
|
0,066
|
0,6
|
0,4
|
1
|
|
Итоговые
оценки
|
|
0,32
|
0,68
|
|
Результат расчета первого семейства.
Рисунок 5 - Результат расчета первого семейства
Дерево мероприятий №1 (семейство 2)
Таблица. Матрица опроса экспертов
|
Критерии
|
Эксперт
|
|
|
|
1
|
2
|
3
|
4
|
5
|
|
|
|
Эффективность
варианта
|
2
|
3
|
3
|
1
|
2
|
|
|
|
Сложность
реализации
|
1
|
2
|
1
|
2
|
3
|
|
Rmax=3
|
|
Затраты
времени на реализацию
|
3
|
1
|
2
|
3
|
1
|
|
|
Таблица. Матрица преобразованных рангов
|
Критерии
|
Эксперт
|
Сумма
|
КВ
|
|
1
|
2
|
3
|
4
|
5
|
|
|
|
Эффективность
варианта
|
1
|
0
|
0
|
2
|
1
|
4
|
0,27
|
|
Сложность
реализации
|
2
|
1
|
2
|
1
|
0
|
6
|
0,40
|
|
Затраты
времени на реализацию
|
0
|
2
|
1
|
0
|
2
|
5
|
0,33
|
|
|
|
|
|
|
|
15
|
1
|
|
|
|
|
|
|
|
|
|
Таблица. Таблица расчета альтернатив семейства
№2 (исходная)
|
Критерии
|
КВ
|
Сделать
штрафы на уровне «потолка»
|
Сделать
штрафы на 20% ниже «потолка»
|
Итого
|
|
Эффективность
варианта
|
0,27
|
|
|
|
|
Сложность
реализации
|
0,40
|
|
|
|
|
Затраты
времени на реализ.
|
0,33
|
|
|
|
|
Итоговые
оценки
|
|
|
|
|
Расчет весов альтернатив по фактору 1 -
эффективность варианта
Таблица. Матрица опроса экспертов
|
Альтернативы
|
Эксперт
|
|
|
|
1
|
2
|
3
|
4
|
5
|
|
|
|
Сделать
штрафы на уровне «потолка»
|
1
|
1
|
1
|
2
|
1
|
|
|
|
Сделать
штрафы на 20% ниже «потолка»
|
2
|
2
|
2
|
1
|
2
|
|
Rmax=2
|
Таблица. Матрица преобразованных рангов
|
Альтернативы
|
Эксперт
|
Сумма
|
КВ
|
2
|
3
|
4
|
5
|
|
|
|
Сделать
штрафы на уровне «потолка»
|
1
|
1
|
1
|
0
|
1
|
4
|
0,8
|
|
Сделать
штрафы на 20% ниже «потолка»
|
0
|
0
|
0
|
1
|
0
|
1
|
0,2
|
|
|
|
|
|
|
|
5
|
1
|
|
|
|
|
|
|
|
|
|
Расчет весов альтернатив по фактору 2 -
сложность реализации
Таблица. Матрица опроса экспертов
|
Альтернативы
|
Эксперт
|
|
|
|
1
|
2
|
3
|
4
|
5
|
|
|
|
Сделать
штрафы на уровне «потолка»
|
2
|
1
|
2
|
2
|
2
|
|
|
|
Сделать
штрафы на 20% ниже «потолка»
|
1
|
2
|
1
|
1
|
1
|
|
Rmax=2
|
Таблица. Матрица преобразованных рангов
|
Альтернативы
|
Эксперт
|
Сумма
|
КВ
|
|
1
|
2
|
3
|
4
|
5
|
|
|
|
Сделать
штрафы на уровне «потолка»
|
0
|
1
|
0
|
0
|
0
|
1
|
0,2
|
|
Сделать
штрафы на 20% ниже «потолка»
|
1
|
0
|
1
|
1
|
1
|
4
|
0,8
|
|
|
|
|
|
|
|
5
|
1
|
|
|
|
|
|
|
|
|
|
Расчет весов альтернатив по фактору 3 - затраты
времени на реализацию
Таблица. Матрица опроса экспертов
|
Альтернативы
|
Эксперт
|
|
|
|
1
|
2
|
3
|
4
|
5
|
|
|
|
Сделать
штрафы на уровне «потолка»
|
2
|
2
|
2
|
1
|
1
|
|
|
|
Сделать
штрафы на 20% ниже «потолка»
|
1
|
1
|
1
|
2
|
2
|
|
Rmax=2
|
Таблица. Матрица преобразованных рангов
|
Альтернативы
|
Эксперт
|
Сумма
|
КВ
|
|
1
|
2
|
3
|
4
|
5
|
|
|
|
Сделать
штрафы на уровне «потолка»
|
0
|
0
|
0
|
1
|
1
|
2
|
0,40
|
|
Сделать
штрафы на 20% ниже «потолка»
|
1
|
1
|
1
|
0
|
0
|
3
|
0,60
|
|
|
|
|
|
|
|
5
|
1
|
|
|
|
|
|
|
|
|
|
Таблица. Таблица расчета альтернатив семейства
№2 (заполненная)
|
Критерии
|
КВ
|
Сделать
штрафы на уровне «потолка»
|
Сделать
штрафы на 20% ниже «потолка»
|
Итого
|
|
Эффективность
варианта
|
0,27
|
0,8
|
0,2
|
1
|
|
Сложность
реализации
|
0,40
|
0,2
|
0,8
|
1
|
|
Затраты
времени на реал.
|
0,33
|
0,4
|
0,6
|
1
|
|
Итоговые
оценки
|
|
0,43
|
0,57
|
|
Дерево мероприятий №1 (семейство 3)
Таблица. Матрица опроса экспертов
|
Критерии
|
Эксперт
|
|
|
|
1
|
2
|
3
|
4
|
5
|
|
|
|
Эффективность
варианта
|
3
|
3
|
2
|
3
|
1
|
|
|
|
Сложность
реализации
|
2
|
2
|
3
|
1
|
2
|
|
Rmax=3
|
|
Затраты
времени на реализацию
|
1
|
1
|
1
|
2
|
3
|
|
|
Таблица. Матрица преобразованных рангов
|
Критерии
|
Эксперт
|
Сумма
|
КВ
|
|
1
|
2
|
3
|
4
|
5
|
|
|
|
Эффективность
варианта
|
0
|
0
|
1
|
0
|
2
|
3
|
0,20
|
|
Сложность
реализации
|
1
|
1
|
0
|
2
|
1
|
5
|
0,33
|
|
Затраты
времени на реализацию
|
2
|
2
|
2
|
1
|
0
|
7
|
0,47
|
|
|
|
|
|
|
|
15
|
1
|
|
|
|
|
|
|
|
|
|
Таблица расчета альтернатив семейства №2
(исходная)
|
Критерии
|
КВ
|
Пов.
штрафы на 20%
|
Пов.
штрафы на 50%
|
Итого
|
|
Эффективность
вар.
|
0,20
|
|
|
|
|
Сложность
реализации
|
0,33
|
|
|
|
|
Затраты
врем. на реал.
|
0,47
|
|
|
|
|
Итоговые
оценки
|
|
|
|
|
Расчет весов альтернатив по фактору 1 -
эффективность варианта
Таблица. Матрица опроса экспертов
|
Альтернативы
|
Эксперт
|
|
|
|
1
|
2
|
3
|
4
|
5
|
|
|
|
Повысить
штрафы на 20%
|
2
|
1
|
2
|
2
|
1
|
|
|
|
Повысить
штрафы на 50%
|
1
|
2
|
1
|
1
|
2
|
|
Rmax=2
|
Таблица. Матрица преобразованных рангов
|
Альтернативы
|
Эксперт
|
Сумма
|
КВ
|
|
1
|
2
|
3
|
4
|
5
|
|
|
|
Повысить
штрафы на 20%
|
0
|
1
|
0
|
0
|
1
|
2
|
0,40
|
|
Повысить
штрафы на 50%
|
1
|
0
|
1
|
1
|
0
|
3
|
0,60
|
|
|
|
|
|
|
|
5
|
1
|
|
|
|
|
|
|
|
|
|
Расчет весов альтернатив по фактору 2 -
сложность реализации
Таблица. Матрица опроса экспертов
|
Альтернативы
|
Эксперт
|
|
|
|
1
|
2
|
3
|
4
|
5
|
|
|
|
Повысить
штрафы на 20%
|
2
|
1
|
2
|
2
|
2
|
|
|
|
Повысить
штрафы на 50%
|
1
|
2
|
1
|
1
|
1
|
|
Rmax=2
|
Таблица. Матрица преобразованных рангов
|
Альтернативы
|
Эксперт
|
Сумма
|
КВ
|
|
1
|
2
|
3
|
4
|
5
|
|
|
|
Повысить
штрафы на 20%
|
0
|
1
|
0
|
0
|
0
|
1
|
0,20
|
|
Повысить
штрафы на 50%
|
1
|
0
|
1
|
1
|
1
|
4
|
0,80
|
|
|
|
|
|
|
|
5
|
1
|
|
|
|
|
|
|
|
|
|
Расчет весов альтернатив по фактору 3 - затраты
времени на реализацию
Таблица. Матрица опроса экспертов
|
Альтернативы
|
Эксперт
|
|
|
|
1
|
2
|
3
|
4
|
5
|
|
|
|
Повысить
штрафы на 20%
|
1
|
1
|
2
|
1
|
2
|
|
|
|
Повысить
штрафы на 50%
|
2
|
2
|
1
|
2
|
1
|
|
Rmax=2
|
Таблица. Матрица преобразованных рангов
|
Альтернативы
|
Эксперт
|
Сумма
|
КВ
|
2
|
3
|
4
|
5
|
|
|
|
Повысить
штрафы на 20%
|
1
|
1
|
0
|
1
|
0
|
3
|
0,60
|
|
Повысить
штрафы на 50%
|
0
|
0
|
1
|
0
|
1
|
2
|
0,40
|
|
|
|
|
|
|
|
5
|
1
|
|
|
|
|
|
|
|
|
|
Таблица. Таблица расчета альтернатив семейства
№2 (заполненная)
|
Критерии
|
КВ
|
Пов.
штрафы на 20%
|
Пов.
штрафы на 50%
|
Итого
|
|
Эффективность
вар.
|
0,20
|
0,4
|
0,6
|
1
|
|
Сложность
реализации
|
0,33
|
0,2
|
0,8
|
1
|
|
Затраты
врем. на реал.
|
0,47
|
0,6
|
0,4
|
1
|
|
Итоговые
оценки
|
|
0,43
|
0,57
|
|
Результаты расчета и выбора эффективного
варианта.
Рисунок 6 - Результаты расчета и выбора
эффективного варианта на дереве мероприятий
Таким образом, оптимальный вариант - Увеличить
все штрафы за выбросы в водную среду выше ПДК на 50%.
3.3 Определение эффективных
мероприятий во всех деревьях мероприятий
Рисунок 7 - Дерево мероприятий для подцели
«Обязать предприятия очищать все выбросы в водную среду»
Оптимальная альтернатива - Обязать предприятия
очищать все выбросы в водную среду, заставив их купить новые очистные
сооружения, оказывая помощь муниципалитета - 0,53.
Рисунок 8 - Дерево мероприятий для подцели
«Снизить объемы выбросов»
Оптимальная альтернатива - Снизить объемы выбросов
в водную среду штрафными санкциями, повысив штрафы на 50% (0,72).
Рисунок 9 - Дерево мероприятий для подцели
«Увеличить штрафы за выбросы в атмосферу выше ПДК»
Оптимальная альтернатива - Увеличить все штрафы
за выбросы в атмосферу выше ПДК на 50% (0,72).
Рисунок 10 - Дерево мероприятий для подцели
«Обязать предприятия очищать все выбросы в атмосферу»
Оптимальная альтернатива - Обязать предприятия
очищать все выбросы в атмосферу, заставив их закупить новые очистные сооружения
при помощи муниципалитета (0,55).
Рисунок 11 - Дерево мероприятий для подцели
«Снизить объемы выбросов в атмосферу»
Оптимальная альтернатива - Снизить объемы
выбросов в атмосферу штрафными санкциями, повысив штрафы на 50% (0,59).
Рисунок 12 - Дерево мероприятий для подцели
«Обязать все предприятия утилизировать мусор»
Оптимальная альтернатива - Обязать все
предприятия утилизировать мусор, вывозя его на завод по переработке мусора
(0,55).
Рисунок 13 - Дерево мероприятий для подцели
«Увеличить штрафы за несанкционированные свалки»
Оптимальная альтернатива - Увеличить штрафы за
несанкционированные свалки, подняв их для всех предприятий на 20% (0,58).
Рисунок 14 - Дерево мероприятий для подцели
«Организовать работу по уборке и переработке мусора»
Оптимальная альтернатива - Организовать работу
по уборке и переработке мусора, законодательными мерами обязав производителей
перерабатывать отходы (0,46).
Далее следует все мероприятия, получившие
максимальные баллы, собрать воедино и составить список.
3.4 Выводы (формирование полного
перечня мероприятий по достижению цели)
Полученные выше при расчете и анализе деревьев
мероприятий наиболее эффективные варианты мероприятий дают нам список работ:
Увеличить все штрафы за выбросы в водную среду
выше ПДК на 50%;
Обязать предприятия очищать все выбросы в водную
среду, заставив их купить новые очистные сооружения, оказывая помощь
муниципалитета;
Снизить объемы выбросов в водную среду штрафными
санкциями, повысив штрафы на 50%;
Увеличить все штрафы за выбросы в атмосферу выше
ПДК на 50%;
Обязать предприятия очищать все выбросы в
атмосферу, заставив их закупить новые очистные сооружения при помощи
муниципалитета;
Снизить объемы выбросов в атмосферу штрафными
санкциями, повысив штрафы на 50%;
Обязать все предприятия утилизировать мусор,
вывозя его на завод по переработке мусора;
Увеличить штрафы за несанкционированные свалки,
подняв их для всех предприятий на 20%;
Организовать работу по уборке и переработке
мусора, законодательными мерами обязав производителей перерабатывать отходы.
4. Сетевой график реализации
мероприятий
Таблица
|
Обозначение
работы
|
Наименование
(содержание) работы
|
Предшествующие
работы
|
|
а1
|
Увеличить
все штрафы за выбросы в водную среду выше ПДК на 50%
|
-
|
|
а2
|
Обязать
предприятия очищать все выбросы в водную среду, заставив их купить новые
очистные сооружения, оказывая помощь муниципалитета
|
А1
|
|
а3
|
Снизить
объемы выбросов в водную среду штрафными санкциями, повысив штрафы на 50%
|
А2
|
|
а4
|
Увеличить
все штрафы за выбросы в атмосферу выше ПДК на 50%
|
А1
|
|
а5
|
Обязать
предприятия очищать все выбросы в атмосферу, заставив их закупить новые
очистные сооружения при помощи муниципалитета
|
А4
|
|
а6
|
Снизить
объемы выбросов в атмосферу штрафными санкциями, повысив штрафы на 50%
|
А5
|
|
а7
|
Обязать
все предприятия утилизировать мусор, вывозя его на завод по переработке
мусора
|
-
|
|
а8
|
Увеличить
штрафы за несанкционированные свалки, подняв их для всех предприятий на 20%;
|
А7
|
|
а9
|
Организовать
работу по уборке и переработке мусора, законодательными мерами обязав
производителей перерабатывать отходы
|
А8
|
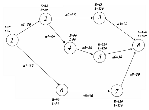
Таблица. Определим длительность работ.
|
Обозначение
работы
|
Наименование
(содержание) работы
|
Длительность,
дней
|
|
а1
|
Увеличить
все штрафы за выбросы в водную среду выше ПДК на 50%
|
30
|
|
а2
|
Обязать
предприятия очищать все выбросы в водную среду, заставив их купить новые
очистные сооружения, оказывая помощь муниципалитета
|
35
|
|
а3
|
Снизить
объемы выбросов в водную среду штрафными санкциями, повысив штрафы на 50%
|
20
|
|
а4
|
Увеличить
все штрафы за выбросы в атмосферу выше ПДК на 50%
|
60
|
|
а5
|
Обязать
предприятия очищать все выбросы в атмосферу, заставив их закупить новые
очистные сооружения при помощи муниципалитета
|
30
|
|
а6
|
Снизить
объемы выбросов в атмосферу штрафными санкциями, повысив штрафы на 50%
|
30
|
|
а7
|
Обязать
все предприятия утилизировать мусор, вывозя его на завод по переработке
мусора
|
90
|
|
а8
|
Увеличить
штрафы за несанкционированные свалки, подняв их для всех предприятий на 20%;
|
30
|
|
а9
|
Организовать
работу по уборке и переработке мусора, законодательными мерами обязав
производителей перерабатывать отходы
|
30
|
Построим сетевой график
Рисунок 15 - Сетевой график
Таблица
|
Работа
|
Длительность
|
Время
начала
|
Время
окончания
|
Резервы
|
Vнач
|
Vкон
|
|
|
Es
|
Ls
|
Ef
|
Lf
|
П
|
Ср
|
Нез
|
E
|
L
|
E
|
L
|
|
а1
|
30
|
0
|
0
|
30
|
30
|
0
|
0
|
0
|
0
|
0
|
30
|
30
|
|
а2
|
35
|
30
|
95
|
65
|
130
|
65
|
0
|
0
|
30
|
30
|
65
|
130
|
|
а3
|
20
|
65
|
130
|
85
|
150
|
65
|
65
|
0
|
65
|
130
|
150
|
150
|
|
а4
|
60
|
30
|
30
|
90
|
90
|
0
|
0
|
0
|
30
|
30
|
90
|
90
|
|
а5
|
30
|
90
|
90
|
120
|
120
|
0
|
0
|
0
|
90
|
90
|
120
|
120
|
|
а6
|
30
|
120
|
120
|
150
|
150
|
0
|
0
|
0
|
120
|
120
|
150
|
150
|
|
а7
|
90
|
0
|
0
|
90
|
90
|
0
|
0
|
0
|
0
|
0
|
90
|
90
|
|
а8
|
30
|
90
|
90
|
120
|
120
|
0
|
0
|
0
|
90
|
90
|
120
|
120
|
|
а9
|
30
|
120
|
120
|
150
|
150
|
0
|
0
|
0
|
120
|
120
|
150
|
150
|
Критических пути 2: 1) а1-а4-а5-а6; 2) а7-а8-а9
Критический путь найден. Выполнение работ а2 или
а3 можно задержать на 65 дней без увеличения срока выполнения всех работ.
Заключение
В курсовой работе был проведен системный анализ
решения экологической проблемы г.Новокузнецка, для чего было:
построено дерево целей;
проведен расчет коэффициентов относительной
важности;
построены деревья мероприятий с коэффициентами
весомости альтернативных вариантов решений;
построен сетевой график реализации мероприятий.
Целью написания данной работы являлось овладение
практическими навыками системного анализа.
На основе дерева проблем было составлено дерево
целей.
Были составлены деревья мероприятий по
достижению поставленных целей.
Был составлен следующий перечень работ по
достижению поставленной цели: «Организация решения экологических проблем
г.Новокузнецка»:
Увеличить все штрафы за выбросы в водную среду
выше ПДК на 50%;
Обязать предприятия очищать все выбросы в водную
среду, заставив их купить новые очистные сооружения, оказывая помощь
муниципалитета;
Снизить объемы выбросов в водную среду штрафными
санкциями, повысив штрафы на 50%;
Увеличить все штрафы за выбросы в атмосферу выше
ПДК на 50%;
Обязать предприятия очищать все выбросы в
атмосферу, заставив их закупить новые очистные сооружения при помощи
муниципалитета;
Снизить объемы выбросов в атмосферу штрафными
санкциями, повысив штрафы на 50%;
Обязать все предприятия утилизировать мусор,
вывозя его на завод по переработке мусора;
Увеличить штрафы за несанкционированные свалки,
подняв их для всех предприятий на 20%;
Организовать работу по уборке и переработке
мусора, законодательными мерами обязав производителей перерабатывать отходы.
Общая продолжительность работ составит,
ориентировочно, 150 дней.
Список литературы
.Кричевский
А.И. Системный анализ. - Новосибирск: НГУЭУ, 2005. - 124с.
.Официальный
сайт Администрации г.Новокузнецка [Электронный ресурс]. - Режим доступа:
www.nvkz.ru.