Технология и механизация погрузочно-разгрузочных работ. Расчет мощности склада
Содержание
Расчет
площади склада
Расчет
площадей экспедиций приема и отпуска продукции. Расчет площади служебных
помещений. Расчет вспомогательной площади склада
Расчет
мощности склада. Расчет длины погрузочно-разгрузочного фронта работы
Расчет
необходимого количества поддонов и тары
Расчет
необходимого количества весоизмеримого оборудования
Расчет
необходимого количества механизмов для осуществления перегрузочно-транспортных
работ
Список
использованной литературы
Расчет площади склада
Определить полезную и общую площадь склада
цветных металлов.
Условие
В течение года на склад поступают цветные
металлы:
) Алюминий 8 000 тонн;
) Медь 6 500 тонн;
) Сурьма 7 000 тонн;
) Свинец 4 200 тонн,
) Цинк 5 400 тонн
Коэффициент использования площади α=0,31
Нормативная нагрузка на 1
площади
складирования на высоте укладки 1 м (σ), т/
:
- алюминий
первичный в чушках - 1,5;
- слитки
медные (вайербарсы) - 3,8;
- свинец
в чушках - 3,0;
- цинк
в чушках - 2,5
Решение:
Определим полезную площадь по известной нагрузке
на 1
площади
склада
где σ - нормативная
нагрузка на 1
площади
складирования на высоте укладки 1
;
h-высота
складирования, м; Q-величина
установленного запаса соответствующего материала на складе, т:
Или
где Q
сут/отп - величина среднесуточного отпуска продукции со склада (среднесуточный
грузооборот), т/сутки; Q
год/отп - годовой грузооборот (отпуск), т; t
хр - установленный срок хранения продукции на складе (норма запаса хранения),
сутки.
=5333.3
=1710,5
=3043,5
=1400
=2160
=
5333.3+1710.5+3043.5+1400+2160=13647.3
=
=
13647,3/0,35=38992,3
Определить общую и полезную площадь склада
круглого леса.
Условие
В течение года на склад поступают лесоматериалы:
Береза 12 тыс.
;
сосна 14 тыс.
;
ель 10 тыс.
;
осина 8 тыс.
Срок хранения круглого леса на складе tхр
40 дней;
Круглый лес хранится в штабелях, плотность
укладки (β)
0,65%,
объемная масса (j) 0,8, при
следующих габаритах:
L=6.5м, b=18.0м,
h=3,5м
Коэффициент использования площади склада α
=0,36
Решение:
Величина установленного запаса на складе в
натуральном выражении составляет:
Q=44000*40/365=4821,9
Емкость штабеля
Е=V*j*β=(l*b*h)*j*β=(6.5*18.0*3.5)*0.8*0.65=
=409.5*0.8*0.65=212.94
Количество штабелей
n=Q/E=4821.9/212.94=22.64=23
штабеля
Полезная площадь, занятая круглым лесом на
складе
=l*b*n=6.5*18*23=2691
Так как у нас известен коэффициент использования
площади склада (α) , общую
площадь склада круглого леса найдем из формулы:
=
=2691/0,36=7475
Определить емкость стеллажа и величину запаса
метизных изделий.
Условие
Размеры одной ячейки стеллажа:
Длина (l)
- 2000мм;
Ширина (b)-1200мм;
Высота (h)
- 700мм;
Коэффициент заполнения объема ячейки стеллажа (β)=0,85;
Количество установленных на складе стеллажей
)=32
шт.;
Количество ячеек в одном стеллаже
)
18 шт.
Решение:
Определим емкость ячейки стеллажа:
=
*j*
β=(l*b*h)*j*
β=2.0*1.2*7.0*1.1*0.85=15.708т.
Определим емкость стеллажа:
=
=15,708*18=282,744т.
Определим величину складского запаса материалов
(фактическую емкость склада):
Q=282,744*32=9047,808т.
Определить полезную и общую площадь склада
химической продукции, а также полезный и общий объем, коэффициент использования
объема.
Условие
Размеры стеллажа:
Длина стеллажа (l)
- 4м;
Ширина стеллажа (b)
- 2м;
Высота стеллажа (h)
- 4м;
Габаритные размеры склада:
Длина (L)
- 80м;
Ширина (B)
- 10м;
Высота (H)
- 6м;
Количество установленных на складе стеллажей
)=
18 шт.
Объем служебного помещения (
200
Определим площадь, занятую на складе одним
стеллажом
=4*2=8
Определим полезную площадь склада:
=8*18=144
Определим общую площадь склада:
=L*B=80*10=800
Определим полезный объем склада,
=
=
144*4=576
Определим общий объем склада для нахождения
коэффициента использования объема склада:
=
*H=800*6=4800
Определяем коэффициент использования объема
склада:
=576/(4800-200)=0,13
Определить полезную и общую площадь склада
инструментов
Условие
Годовой грузооборот склада (Q
год/отп) 12 000т;
Нормативный срок хранения продукции (tхр)
10 суток;
Нормативная нагрузка на 1
площади склада при высоте укладки в 1м,т/
(σ)
1,5;
Инструмент хранения в стеллажах высотой
4,9
м;
Нормативный коэффициент использования площади
склада (α)
0,4.
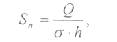
Определим полезную площадь по известной нагрузке
на 1
площади
склада,
где σ - нормативная
нагрузка на 1
площади
складирования на высоте укладки 1
;
h-высота
складирования, м; Q-величина
установленного запаса соответствующего материала на складе, т:
Величина установленного запаса на складе в
натуральном выражении составляет:
Q=12000*10/365=328,76
,
=328,76/(1,5*4,9)=44,73
Так как у нас известен коэффициент использования
площади склада (α) , общую
площадь склада круглого леса найдем из формулы:
=
=44,73/0,41=109
Определить запас лакокрасочной продукции,
полезную и общую площадь склада.
Условие
На складе установлены стеллажи в количестве
)
18 шт.
Габаритные размеры стеллажа:
Длина
)
4,0 м;
ширина
)
1.8 м;
Высота
)
4.5 м.
Средняя объемная масса продукции (j)
5,5 т/
Коэффициент заполнения объема (β)
0.85;
Коэффициент использования площади склада (α)
0,35
Определим полезную площадь склада с помощью
коэффициентов заполнения и габаритов оборудования:
Так как у нас известен коэффициент использования
площади склада (α) , общую
площадь склада круглого леса найдем из формулы:

Для того, чтобы определить запас лакокрасочной
продукции на складе, необходимо знать емкость стеллажа (Е).
Емкость стеллажа рассчитываем по формуле Е=V*j*β,
где
V - объем стеллажа (
),
j- объемная масса
продукции, помещаемая в штабель; β-коэффициент
заполнения объема (плотность укладки):
Е=(l*b*h)*j*β=(4*1,8*4,5)*5,5*0,85=151,47
Расчет площадей экспедиций приема и
отпуска продукции. Расчет площади служебных помещений. Расчет вспомогательной
площади склада
Рассчитать площади по приему и отпуску
материалов на складе
Величина годового поступления продукции на склад
составляет (Qгот.пост) - 60000 т
Величина годового грузооборота (Qгот.пост)
- 58 000 т. Коэффициент неравномерности поступления продукции на склад
(К.н.пост) 1,2;
Коэффициент неравномерности отпуска продукции со
склада (Кн.отп) 1,1;
Количество дней нахождения продукции на приемной
площадке (t) 1;
Количество дней поступления продукции на склад в
году (Т) 365;
Количество дней отпуска продукции на склад в
году (
)
270;
Нормативная нагрузка на 1
площади склада (σ) 0,90;
Высота укладки продукции на приемочной площадке
(hэ.пр) 1м;
Коэффициент использования площади приемочной
площадки (экспедиция приема) (
) 0,30;
Коэффициент использования площади отпускной
площадки (экспедиция отпуска) (
) 0,40
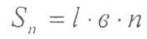
Площадь экспедиции приема определим, как
=
60000*1,2*1/365*0,90*1,0=219,18
Определим площадь, требующуюся для организации
экспедиции отпуска
=60000*1,2*1/270*0,90*1,0*0,40=740,7
Расчет мощности склада. Расчет длины
погрузочно-разгрузочного фронта работы
Рассчитать длину разгрузочного фронта склада,
если известно, что грузы поступают на склад железнодорожным транспортом.
Годовое поступление материалов на склад (Qгод.пост)
119,04 тыс.т;
Коэффициент неравномерности поступления
продукции со склада (Кн.пост) 1,5 Коэффициент неравномерности отпуска продукции
со склада (Кн.отп) 1,1;
Количество дней поступления продукции на склад в
году (Т) 360;
Средняя грузоподъемность одного вагона (qгр)
62 т;
Длина одного вагона (lв)
13,6 м;
Расстояние между вагонами в сцепленном состоянии
(ll) 1.1 м
Для определения длины разгрузочного фронта по формуле:
определим количество вагонов (nтр)
, которое будет поступать на склад под погрузку за сутки:
nтр=
=8
вагонов
теперь определим количество вагонов, которое
будет подаваться по согласованию с органами управления железной дороги к складу
за одну подачу (n1):
n1=8/3=2,7
Lфр=
2,7*13,6+1,7*1,1=42,3м
Определите длину погрузочного фронта склада,
если известно, что грузы отправляются потребителями централизованно
автотранспортом
Годовое поступление материалов на склад (Qгод.пост)
15,32 тыс.т;
Количество подач автомобилей в сутки к складу
под погрузку (m) 4;
Средняя грузоподъемность одного автомобиля (qгр)
5,5 т;
Ширина автомобиля по фронту (lв)
2,5 м;
Расстояние между автомобилями по фронту (ll)
1.5 м;
Количество дней отпуска продукции со склада (Т)
260;
Коэффициент неравномерности отпуска продукции со
склада (Кн.отп) 1,1
Для определения длины разгрузочного фронта по
формуле:
определим количество автомобилей (nтр)
, которое будет поступать на склад под погрузку за сутки:
nтр=
=11,8
= 12 автомобилей;
теперь определим количество автомобилей, которое
будет подаваться по к складу за одну подачу (n1):
n1=12/4=3 автомобиля
Lфр= 3*2,5+2*1,5 =
10,5м
Какое количество полочных стеллажей требуется
установить на складе электрооборудования? Определить количество поддонов.
Годовой грузооборот склада (Qгод.пост)
36,52 тыс.т;
Нормативный срок хранения продукции (tхр)
12 суток;
Размеры ячейки стеллажа:
lяч 12,1 м
bяч 4.8м
hяч 7,3 м
Количество поддонов, устанавливаемых на одну
полку (nпод) 6 штук;
Средняя объемная масса хранимой продукции j
1,5 т/
Коэффициент заполнения объема (плотность
укладки) (β) 0.95$
Количество ячеек в стеллаже (nяч)
24;
Ширина автомобиля по фронту (lв)
2,5 м;
Расстояние между автомобилями по фронту (ll)
1.5 м;
Количество дней отпуска продукции со склада (Т)
260;
Коэффициент неравномерности отпуска продукции со
склада (Кн.отп) 1,1
n=Е/
Q-нормативнй запас
Е-емкость одного стеллажа
=
*j*β
=(1,2*4,8*7,3)*1,5*0,95+604,18т
Q=36520*12/365=1200,7
n=604.18/1200.7=5.03=6
полок
nпод=6*6=36 поддонов
На предприятии химической промышленности
предусмотрено строительство нового склада. Определить количество типовых
цилиндрических резервуаров
Годовой грузооборот склада (Qгод.пост)
72,64 тыс.т;
Срок хранения продукции на складе (tхр)
16 суток;
Объемная масса продукции j
0,94 т/
Размеры цилиндрического резервуара:
Диаметр d
10,8м
Высота h
6,2 м
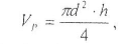
Рассчитаем полезный объем резервуара с плоским
днищем по формуле:
прием склад транспортный резервуар
Vр= 3,14*
*6,2/4=567,7
Определить необходимое количество резервуаров -
бочек для хранения отходов нефтеперерабатывающего комбината
Годовой грузооборот склада (Qгод.пост)
166,44 тыс.т;
Срок хранения продукции на складе (tхр)
38 суток;
Объемная масса продукции j
0,94 т/
Размеры цилиндрического резервуара:
Диаметр d
10,8м
Диаметр d=5,4
Высота h
8,2 м
Полезный объем резервуара (бочки) определяют по
формуле:
=1/2*3,14*8,2*(2*5,4+
Q=166440*38/365=17328
n=17328/1640.7=10.6=11
бочек
Расчет необходимого количества
поддонов и тары
Определить потребное количество тары,
необходимое для нормальной работы склада запасных частей
Годовой грузооборот склада (Qгод.пост)
10,34 тыс.т;
Срок хранения продукции на складе (tхр)
8 суток;
Средняя грузовместимость тары (
)
0.27 т;
Коэффициент ремонта тары (
)
0,40;
Тара задерживается потребителем (tпотр)
4 суток;
Грузы отпускаются со склада в году (Т) 250 дней;
Тара находится в пути (tпути)
3 суток
Коэффициент неравномерности отпуска продукции со
склада (Кн.отп) 1,2
Количество тары, необходимой для нормального
функционирования склада определим по формуле:
Для этого, нам необходимо знать следующие
показатели:
Находим:
=10340*8/365*0,27=839,37
=839,37*0,40=335,75
=10340*4/250*0,27=612,74
=10340*1,2*3/365*0,27=377,72
=839,37+335,75+612,74+337,72=2125,6=2126шт
Расчет необходимого количества
весоизмеримого оборудования
Для осуществления приемки минеральных удобрений
на складе требуется установить весы. Какое количество их потребуется?
Условия
Общее количество минеральных удобрений (Qсм)
32т;
Максимальная масса взвешиваемого груза (
)
200 кг;
Грузоподъемность весов (
)
230 кг
Коэффициент использования весов (
)
0,85;
Время, затрачиваемое на одно взвешивание (tв)
45 сек.
Решение:
Qчас=3600*
=13,68
nвесов=320/8*13,68=2,92
3
(весов)
Расчет необходимого количества
механизмов для осуществления перегрузочно-транспортных работ
Определить количество погрузчиков, которое
требуется для отгрузки слесарного инструмента со склада
Годовой грузооборот склада (Qгод.пост)
68,92 тыс.т;
Количество дней отпуска продукции со склада в
году (
)
260 суток
Масса перемещаемого груза (
)
0,68 т
Дальность перемещения груза (l1)
60 м;
Средняя высота подъема груза (h)
2,5 м;
Время, затрачиваемое на подъем рамы
электропогрузчика (t1) 0,15 мин;
Время, затраченное на проведение вспомогательных
операций (t0) 1,2 мин;
Скорость подъема груза (V0)
12 мин;
Скорость перемещения электропогрузчика с грузом
и без (V1) 100 м/мин;
Коэффициент использования электропогрузчика по
времени (
)
0,86;
Коэффициент неравномерности отпуска продукции со
склада (Кн.отп) 1,1;
Электропогрузчик работает в стуки (Тсут) не
менее 8,8 часов
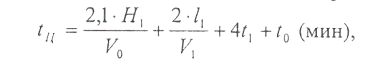
tц=(2,1*2,5/1,2=2/100)+4*0,15+1,2=1,2
мин
Q=60*1,12*0,86/1,2=29,37т/ч
Q
=291,58/29,37*8,8=1,12
2
(погрузчика)
На складе мясокомбината требуется заменить
электропогрузчики, используемые для разгрузки поступающей продукции на
ленточные конвейеры. Определить необходимое количество конвейеров.
Годовой грузооборот склада (Qгод.отп)
201,48 тыс.т;
Коэффициент неравномерности поступления
продукции (Кн.пост) 1,5;
Масса поступающего груза (
)
54 кг
Конвейеры должны работать в сутки не менее
(Тсут) 6,5 часов
Расстояние между грузами на ленте конвейера (l)
4 м;
Скорость движения ленты конвейера (V)
1,3 м/с
Так как не оговорено в условии, Т примем за 365
дней.
Для решения данной задачи используем следующие
формулы:
Qч=3,6*54/4*1,3=63,18т/ч
Qсут=201480*1,5/365=828т/сутки
nптм=828/63,18*6,5=2,02
3
конвейера
Определить необходимое количество
кранов-штабелеров для склада запасных частей
Годовой грузооборот склада (Qгод.отп)
187,61 тыс.т;
Нормативный срок хранения 15 суток;
Средняя высота подъема груза в цикле 9 м;
Средняя дальность перемещения груза 54 м;
Средний путь захвата крана-штабелера 1,2 м;
Скорость подъема груза 24 м/мин;
Скорость перемещения груза 120 м/мин
Скорость выдвижения захватов 12,0м/мин
Время, затраченное на выполнение вспомогательных
2мин
Грузоподъемность крана-штабелера 1,4 т
Фактическая масса поднимаемого груза 1,25 т;
Кран-штабелер должен работать не менее 5,5 ч;
Склад работает в году 260 дней
Коэффициент использования крана по времени 0,81
Для решения данной задачи используем следующие
формулы:
tц=2*54/120+4*1.2/100=1.3мин
Q=60*1.4*(1.25/1.4)*0.81/8.13=46.58т/ч
Qcут=187610*1.1/260=793.73т/сутки
Qч=60,56/1,3=46,6т/ч
nптм=793,73/46,6*5,5=3,1
4
крана-штабелера
Список используемых источников
1. Вирабов
С.А. Складское и тарное хозяйство. Киев: Высш.шк., 1997.232 с.
. Демичев
Г.И. Складское хозяйство и технология транспорта складских процессов.
М..:высш.шк.,1978.248 с.
. Дыбовская
В. Складское хозяйство: Место и роль складов в схемах логистического
обслуживания//Риск.1998.
. Маликов
О.Б., Малкович А.Р. Склады промышленных предприятий: Справочник/Под ред.
О.Б.Маликова. Л.:Машиностроение, 1989. 672 с.
. Кузьмина
Т.С. Складское хозяйство в логистической системе. Учебно-методическое
пособие.-Волгоград.:ВолГу, 2000.-76с.