Электрическая таль с дистанционным управлением для цеха обкатки двигателей
Министерство
сельского хозяйства Российской Федерации
Федеральное
государственное образовательное учреждение
высшего
профессионального образования
«Красноярский
государственный аграрный университет»
Институт
управления инженерными системами
Кафедра
« Детали машин и технология металлов»
Курсовой проект на тему:
Электрическая таль с дистанционным управлением для цеха обкатки
двигателей
.М4.01-01.ДФ.ПЗ.
Выполнил: студент гр. М-42
Капленко В.Н
Проверил: Ярлыков В.М.
Красноярск
2009
Содержание
Ведение
Назначение и область
применения
2
Техническое описание конструкции
3 Расчеты подтверждающие
надежность и работоспособность конструкции
.1 Определение усилия в
канате механизма подъема
.2 Определения
геометрических размеров барабана, диаметра и длины
.3 Расчет мощности и
выбор электродвигателя
.4 Кинематические
силовые расчеты (выбор редуктора, тормозов и соединительной муфты)
.5 Приводная тележка
Заключение
Литература
Введение
электрическая
таль дистанционное управление
Для промышленности любой страны
значительную роль играет подъемно-транспортное машиностроение, перед которым
поставлена задача широкого внедрения комплексной механизации и автоматизации
производственных процессов, ликвидации ручных погрузочно-разгрузочных работ и
исключения тяжелого ручного труда при выполнении основных и вспомогательных
технологических операций. Стала давно явной необходимость увеличения
производства прогрессивных средств механизации подъемно-транспортных,
погрузочно-разгрузочных и складских работ, в том числе грузоподъемных машин с
дистанционным и программным управлением, подвесных конвейеров с автоматическим
адресованием грузов и автоматизированного оборудования для складов. Современные
поточные технологические и автоматизированные линии, межцеховой и внутрицеховой
транспорт требуют применения разнообразных типов подъемно-транспортных машин и
механизмов, обеспечивающих непрерывность и ритмичность производственных
процессов. Именно поэтому подъемно-транспортное оборудование в настоящее время
играет уже не вспомогательную роль в производственном процессе, а превращается
в один из основных решающих факторов, определяющих эффективность современного
производства. Насыщенность производства средствами механизации трудоемких и
тяжелых работ, уровень механизации технологического процесса определяют собой
степень совершенства технологического процесса.
Правильный выбор
подъемно-транспортного оборудования является решающим фактором нормальной
работы и высокой продуктивности производства. Нельзя обеспечить его устойчивый
ритм на современной ступени интенсификации без согласованной и безотказной
работы современных средств механизации внутрицехового и межцехового
транспортирования сырья, полуфабрикатов и готовой продукции на всех стадиях
обработки и складирования.
Современные высокопроизводительные
грузоподъемные и транспортирующие машины, работающие с большими скоростями и
обладающие высокой грузоподъемностью, являются результатом постепенного
развития этих машин в течение долгого времени. Еще в глубокой древности, за
4000 лет до нашей эры, древнекитайская культура знала применение простейших
грузоподъемных устройств- рычагов и полиспастов, используемых для подъема воды
из колодцев и при возведении сооружений. Аналогичные устройства для поднятия и
перемещения больших тяжестей были известны и народам Ближнего Востока.
Темпы развития
подъемно-транспортного машиностроения, технический уровень и качество
выпускаемого оборудования позволяют обеспечить выполнение все возрастающего
объема погрузочно-разгрузочных, транспортных и складских работ в самых
различных областях народного хозяйства. Внедрение прогрессивных машин и
оборудования, средств механизации позволило существенно увеличить
производительность труда. За последние годы для механизации
погрузочно-разгрузочных работ специализированные проектные организации
совместно с машиностроительными заводами создали ряд высокопроизводительных
экономичных и удобных в эксплуатации машин и устройств. Созданы электро- и
автопогрузчики, различные погрузочные машины для штучных и сыпучих грузов,
штабелирующие и другие подъемные средства, позволяющие осуществить комплексную
механизацию на многих участках предприятий черной и цветной металлургии,
машиностроительной, угольной, химической промышленности и др. Разработаны
уникальные конструкции плавучих кранов большой грузоподъемности, созданы новые
конструкции мостовых электрических кранов общего назначения грузоподъемностью
5-50 т с высокими техническими показателями.
Из основных тенденций в развитии
подъемно-транспортного машиностроения необходимо отметить:
создание качественно новых видов
подъемно-транспортных машин и механизмов, а также широкую модернизацию
существующих машин и установок для обеспечения механизации и автоматизации
погрузочно-разгрузочных, транспортных и складских работ во всех областях народного
хозяйства;
повышение грузоподъемности и
надежности машин при одновременном значительном снижении их металлоемкости
благодаря применению новых кинематических схем, более совершенных методов
расчета, использования рациональных облегченных профилей проката, новых
материалов (легированные стали, легкие сплавы, пластмассы), а также
прогрессивной технологии машиностроения (новые методы термообработки,
.нанесение упрочняющих покрытий и др.);
увеличение производительности
оборудования благодаря применению широкого регулирования скоростей механизмов,
автоматического, полуавтоматического и дистанционного управления, специальных
захватных и других подъемных агрегатов, а также улучшения условий труда
крановщиков благодаря применению установок для охлаждения и очистки воздуха в
кабинах и других мероприятий;
увеличение области применения машин
непрерывного транспортирования путем расширения нормальных рядов машин как в
направлении создания мощных и сверхмощных машин (в том числе конвейеров для
транспортирования сыпучих грузов на расстояние, превышающее 100 км), так и в
направлении создания машин легкого и особо легкого типов (подвесные конвейеры),
а также путем приспособления транспортирующих машин и их элементов к
специфическим свойствам грузов (создание морозостойких и жаростойких
высокопрочных лент и т. п.).
Современное производство
подъемно-транспортных машин основывается на создании блочных конструкций,
позволяющих получить высокий технико-экономический эффект при изготовлении и
эксплуатации этих машин.
Унификация элементов конструкции
уменьшает количество необходимого оборудования, инструмента, литейных форм,
позволяет применять специальные приспособления, повышающие производительность
труда и качество изделия, уменьшает необходимый парк запасных частей. Принцип унификации
и блочности, широко используемый в отечественном подъемно-транспортном
машиностроении создает основу для серийного производства подъемно-транспортных
машин и, следовательно, для увеличения съема продукции с тех же
производственных площадей и при том же оборудовании, а также для расширения
кооперации между различными специализированными заводами.
Целью данной работы является изучить
существующие конструкции, разработать схему механизма, провести их технический
анализ, а также проработать методы улучшения и усовершенствования механизма.
Решить задачу с наименьшей затратой материалов и средств на создание машины,
обеспечить ее высокую производительность и удобство управления.
1. Назначение и область применения
По исполнению тали электрические
различаются на два вида: передвижные с продольным расположением подъемного
механизма относительно пути и с расположением крюка под барабаном; стационарные
подвесные с расположением крюка под барабаном. Указанные исполнения различаются
в зависимости от высоты подъема груза.
Основным (базовым) исполнением
является электроталь ТЭ500-911 с высотой подъема 6м. Другие исполнения талей
являются производными (модификациями) электротали ТЭ500-911. Устройство
(конструкция) основных узлов всех исполнений талей одинаково.
Передвижная таль электрическая
представляет собой подъемно-транспортный механизм общего применения,
предназначенный для вертикального подъема, а также для опускания
горизонтального перемещения груза, подвешенного на крюк тали. Горизонтальное
перемещение груза производится только вдоль подвесного однорельсового пути, по
которому движется таль. Стационарная подвесная таль электрическая предназначена
только для подъема и опускания груза, подвешенного на крюк тали.
Область применения.
Электроталь предназначена для работы
в помещениях или под навесом при температуре окружающей среды от -40°С до +40°С
в атмосфере со средней влажностью и запыленностью.
При эксплуатации необходимо
учитывать степень запыленности места, где применяется таль, нужно иметь в виду,
что пыль, особенно абразивая, ускоряет износ механизмов, и поэтому при
эксплуатации в значительно запыленных местах (например, формовочных или
землеприготовительных участках литейных цехов, на углеподачах и т. п.)
требуется наиболее тщательное наблюдение за состоянием механизмов тали.
Таль не допускается применять для
подъема и транспортирования раскаленного и жидкого металла, жидкого шлака,
кислот, щелочей при уменьшении грузоподъемности и соблюдении требований
Росгортехнадзора изложенных в «Правилах устройств и безопасной эксплуатации
грузоподъемных кранов».
Поскольку электроталь относится к
категории подъемно-транспортных машин общего назначения, ее применение
запрещается:
во взрывоопасных и пожароопасных
средах, в помещениях, насыщенных парами кислот; щелочей и других веществ в
концентрациях, вредно влияющих на металл и изоляцию электропроводки или
создающих недостаточно надежные условия заземления тали.
Разработать проект электрической
тали грузоподъемностью 2 т. Высота подъема 6 м, скорости: подъема - 8 м/мин,
передвижения - 20 м/мин. Режим работы М4. Управление -дистанционное. Ток
переменный, напряжение 380 в.
2.
Техническое описание конструкции
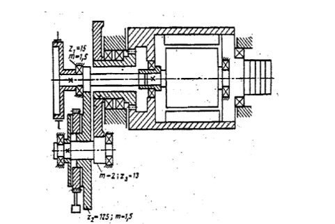
Электрическая таль
(рис. 1) включает в себя механизм подъема 1, закрепленный на траверсе 2,
которая подвешена к приводной 3 и холостой 4 ходовым тележкам.
На двухкратном
сдвоенном полиспасте подвешена крюковая подвеска 5.
Приводная ходовая
тележка состоит из ходовых колес 1, закрепленных в корпусах 2, вращение которым
передается отэлектродвигателя 3 через редуктор 4.
Рис. 1. Таль
электрическая
3. Расчет подтверждающие надежность
и работоспособность конструкции
.1 Определение усилия в канате,
механизм подъема
Механизм подъема.
Кинематическая схема механизма
подъема показана на рис 2.
Определение усилия в канате
механизма подъема.
Где
-передаточное число, или кратность полиспаста;
-общий
КПД полиспаста, зависит от количества блоков
конструкции полиспаста и КПД одного
блока,(
=0.97);
q- вес крюковой подвески (q=0,03
Q);
Q- вес груза.
Определение разрывного усилия в
канате
|
М - 3
|
М - 4-5.
|
М - 8.
|
|
Лег
|
Сред
|
Тяж
|
Выс Т
|
|
3
|
3-4
|
5-7
|
7-9
|
По разрывному усилию определяем
диаметр каната. Принят канат ЛК-О ГОСТ 3077-80,имеющий разрывное усилие Fo=31,8kH
3.2 Определения геометрических
размеров барабана, диаметра и длины
Определение диаметра барабана.
|
М 1-3
|
М 4-5
|
М 6-7
|
М 8
|
|
Л
|
С
|
Т
|
ВТ
|
|
11-14
|
16-18
|
20-22
|
25
|
Где
-диаметер каната
Dб=dк*h=22,5*16=360мм
Рис. 2.
Кинематическая схема механизма подъема
Определение длины барабана
;

.3 Расчет мощности и выбор
электродвигателя
Требуется мощность электродвигателя.
,
где
Принят электродвигатель типа 4А 112
мощностью 3 клВ, частота вращения
N=4,4 кВт
Максимальное натяжение ветви каната,
набегающей на барабан.
=10,61
кН
Число оборотов барабана.
3.4 Кинематические силовые расчеты (
выбор редуктора, тормозов и соединительной муфты).
Передаточное число редуктора.
Передаточное число первой ступени.
Передаточное число второй ступени.
Общее передаточное число.
Выбираем редуктор РМ - 400
На быстром валу.
=9550
=9550
ТкТ 200/100 D тормозного шкива, тормозной момент
40.
Выбор соединительной муфты.
Выбираем муфту способную передавать
крутящий момент
исполнение
глухая муфта.
Угол наклона нитки резьбы.
Расчет грузоупорного тормоза
Рис 4. Схема грузоупорного тормоза
=81,0 Н
м- крутящий момент на валу, где установлен тормоз.
f=0,12 - коэффициент трения вальцованной ленты по стали в масле.
Здесь средний радиус дисков трения;
Осевое усилие в тормозе
Линейная скорость на диске тормоза,
отнесенная к среднему диаметру дисков трения.
Давление на диск
Где [P]=10кг/
- при работе в масле.
.5 Приводная тележка.
Приводная тележка показана на рис а
схема ее нагружения на рис
Грузоподъемность: Q=2000кг;
кг- вес приводной тележки;
=115кг-вес подъемного механизма;
кг-вес холостой (неприводной) тележки;
=25кг-вес остальных элементов тали, приведенный к оси крюковой
подвески.
Рис.5. приводная
ходовая тележка
Суммарное усилие, воспринимаемое
ходовыми колесами.
=Q+
+
+
+
=2000+190=2190H. Давление на колеса (рис 6)
Рис. 6. Схема
нагружения приводной ходовой тележки
Электроталь с грузом:
Электроталь без груза:
Сопротивление передвижению тали
принято 0,03 суммарного веса груза и электротали:
Требуемая мощность электродвигателя;
Где v=20м/мин - скорость передвижения;
=0.9 - KПД механизма передвижения.
Принять электродвигатель 4А71.
P=0.55кВт,
=1370
об/мин,
=2,0.
Число оборотов ходового колеса;
об/мин,
Где
=120мм - диаметр ходового колеса.
Передаточное число редуктора:
Проверка запаса сцепления ходовых
колес монорельсом производится для процесса пуска при работе тали без груза.
Время разгона:
Номинальный момент двигателя:
Пусковой момент двигателя:
Маховый момент двигателя:
Условие сопротивления при работе без
груза:
Разбивка передаточного числа
редуктора показана на рис.
Рис. 7.
Кинематическая схема приводной ходовой тележки
Момент сопротивления передвижению
при работе без груза:
Таким образом время разгона:
Среднее ускорение при пуске:
Фактический запас сцепления:
Где
-коэффициент сцепление колеса с рельсом.
-диаметер оси колеса.
Заключение
ü изучить
существующие конструкции;
ü разработать схемы
механизма;
ü их технический
анализ;
ü проработать методы
по улучшению и усовершенствованию механизма;
ü решить задачи с
наименьшей затратой материалов и средств на создание машины;
ü обеспечить ее
высокую производительность и удобство в управлении.
Также я выяснил, что по исполнению
тали электрические различаются на два вида: передвижные с продольным
расположением подъемного механизма относительно пути и с расположением крюка
под барабаном; стационарные подвесные с расположением крюка под барабаном.
Указанные исполнения различаются в зависимости от высоты подъема груза.
Основным (базовым) исполнением
является электроталь ТЭ500-911 с высотой подъема 6 м. Другие исполнения талей
являются производными (модификациями) электротали ТЭ500-911. Устройство
(конструкция) основных узлов всех исполнений талей одинаково.
Правильный выбор
подъёмно-транспортного оборудования является решающим фактором нормальной
работы и высокой продуктивности производства.
Нельзя обеспечить его устойчивый
ритм на современной ступени интенсификации без согласованной и безотказной
работы современных средств механизации внутрицехового и межцехового
транспортирования сырья, полуфабрикатов и готовой продукции на всех стадиях
обработки и складирования.
Список используемой литературы
1. Подъемно-транспортные машины: Атлас конструкций / М.П.
Александров. - М.: Машиностроение, 1973. - 256 с.
2. Александров, М.П. Подъемно-транспортные машины: Учеб./ М.П.
Александров. - М: Высш. шк., 1985. - 520 с.
3. Вайнсон, А.А. Подъемно-транспортные машины: Учеб. / А.А. Вайнсон.
- М.: Машиностроение, 1984. - 432 с.
4. Грузоподъемные машины: Учеб. / М.П. Александров и др. - М.:
Машиностроение, 1986. - 400 с.
5. Подъемно-транспортные машины зерноперерабатывающих пред-приятий /
Ф.Г. Зуев, Н.А. Лотков, А.И. Полухин. - М.: Агропромиздат, 1985. - 320 с.
6. Подъемно-транспортные машины: Учеб. /В.В. Красников и др. - М.:
Агропромиздат, 1987. - 272 с.