Оптимизация механизированной линии перегрузки леса в пакетах
Введение
Важнейшими задачами современных портов являются:
Повышение производительности труда и снижение
потребности в рабочей силе за счет внедрения комплексной механизации и
автоматизации погрузочно-разгрузочных работ; обеспечение выхода на передовые
рубежи научно-технического прогресса; улучшение качества перегрузочной
технологии; использование современных погрузочно-разгрузочных машин; быстрейшее
освоение экономических методов руководства.
Лесные материалы в основном хранят на открытых
плошадках, а круглый лес в некоторых портах хранят на воде. Под навесами
укладывают пиленый лес и заготовки из лиственных и хвойных пород, а в закрытых
складах - особенно ценные породы (красное дерево, самшит и т.п.), изделия из
дерева.
Складские площадки для хранения леса и
лесоматериалов могут быть грунтовые с хорошо утрамбованным грунтом, а также с
различного рода покрытием. Поверхность площадки должна быть ровной, без впадин,
с уклоном к водосбросам.
Проезды должны иметь твердые покрытия шириной не
менее 6 м с подходами к водоисточникам и площадкам для стоянки пожарных машин.
Для разных сортов лесных грузов применяют
различные способы формирований штабелей. Круглый лес - длинномер складируют и
хранят мокрым, сырым или сухим способом. При мокром способе древесину укладывают
в максимально уплотненные штабеля так, чтобы влага сохранялась в ней. В теплое
время года для искусственного увлажнения дерева штабеля обливают водой. При
сыром способе свежевырубленную древесину укладывают также в уплотненные
штабеля, не снимая с бревен коры, что обеспечивает сохранение в них влаги. При
сухом способе древесину укладывают в неплотные штабеля, чтобы внутри и вокруг
них обеспечивалась циркуляция воздуха.
Хвойный лес обычно складируют на открытых
площадках. План размещения складских площадок и система размещения механизации
разрабатываются с учетом местных климатических условий, направления
грузопотоков и принятого способа хранения леса.
При сухом способе хранения штабеля располагают с
широкими разрывами вдоль направления господствующих ветров, при мокром и сыром
способах с минимальными разрывами поперек направления ветров, чтобы создать
увлажненный и мягкий микроклимат внутри штабелей.
Пакеты круглых пиломатериалов маркируются при
помощи бирок, имеющих следующие реквизиты: номер партии, назначение
пиломатериала, количество бревен и общий объем пиломатериалов в пакете.
В ходе курсовой работы необходимо: определить
оптимальную механизированную линию перегрузки кранами пакетов леса по варианту
«вагон-склад»; оптимизировать механизированную линию; по минимальной величине,
определить приведенные годовые расходы.
1. Классификация порта (причала)
Специализированный порт IV категории.
Вариант механизации работ - «вагон-склад».
Наименования операций:
вагонная;
складская.
Характеристика схемы механизации СМ-1:
крюковая;
обратимая.
Характеристика схемы механизации СМ-2:
крюковая;
не обратимая;
специализированная.
.1 Расчет емкости склада
Предварительно определяется среднесуточный
грузопоток по «отправлению» или «прибытию» груза
где
-
заданный годовой грузооборот,
;
- коэффициент
неравномерности поступления или отправления грузов;
Емкость склада определяется по формуле:
где
-
срок хранения груза на складе, сут.;
- коэффициент
складочности, учитывающий количество груза, подвергающееся складской
переработке.
Определение размеров, массы грузового места,
количества грузовых мест
Объем пакета круглого леса определяется по
формуле:
где b=1,3 - ширина пакета (ПС-01) [2], м;=1,35 -
высота пакета (ПС-01) [2], м;
- длина пакета, м;
=0,78 - коэффициент
полновесности пакета, учитывающий заполнение или плотность укладки (по
справочным данным).
Масса пакета круглого леса определяется по
формуле:
где
-
объемная масса древесины при заданной влажности.
2. Схема механизации СМ-1
2.1 Выбор марки погрузочно-разгрузочной
машины для СМ-1
Выбираем портальный кран КППК 10-30-10,5
грузоподъемностью 10 тонн [1] .
Характеристики крана:
Вылет стрелы, м:
Максимальный - 30;
Минимальный - 8;
Высота подъема груза - 25 м;
Глубина опускания - 20 м;
Скорость поднимаемого груза - 1 м/с;
Скорость изменения вылета стрелы - 0,815 м/с;
Скорость крана - 0,55 м/с;
Частота вращения - 1,5 об/мин;
Мощность электродвигателя - 230 кВт;
Число ходовых колес - 16;
Число приводных колес - 8;
Общая масса крана - 185 т;
Масса подвижного противовеса - 23 т;
Восстановительная стоимость - 16515000 руб.
Рис. 2.1 - Схема механизации СМ-1 (вид сбоку)
Рисунок 2.2 - Схема механизации СМ-1 (вид
сверху)
2.2 Определение геометрических
размеров склада
Из геометрических характеристик вагона находим
количество пакетов помещающихся в один вагон (
).
Ширина грузовой площадки определяется пролетом
крана.
Длину склада определим из формулы:
где
-
емкость склада;
- площадь
поперечного сечения склада,
;
- коэффициент
заполнения груза.
2.3 Определение необходимого
количества вагонов
Определим необходимые количества вагонов,
2.4 Определение необходимого
количества подач вагонов
Определим необходимое количество подач вагонов
где
-
количество вагонов в одной подаче.
где
-
длина одного вагона, м.
Принимаем
в
каждом случае.
Полученные результаты внесем в сводную таблицу.
Таблица 2.1 - Исходные данные
|
|
300
|
500
|
800
|
|
|
1380
|
2300
|
3680
|
|
|
21
|
35
|
56
|
|
|
4140
|
6900
|
11040
|
|
|
67
|
112
|
179
|
|
X
|
4
|
4
|
4
|
Явочный состав бригады для крана и тарифные
ставки:
Длительность погрузочно-разгрузочных работ
принимаем:
2.5 Определение эксплуатационной
производительности погрузочно-разгрузочной машины
где
-
масса фактически поднимаемого груза,
;
- коэффициент
использования погрузочно-разгрузочной машины в течение времени смены;
-
продолжительность рабочего цикла, с.
2.6 Определение количества
погрузочно-разгрузочных машин
где
-
расчетный суточный грузооборот,
;
- эксплуатационная
производительность погрузочно-разгрузочной машины,
;-
количество смен работы в сутки;= 8 - продолжительность рабочей смены, ч;
- коэффициент,
учитывающий увеличение объема перегружаемого груза при его погрузке-выгрузке
при складской переработке груза.
2.7 Расчет годовых приведенных
расходов для грузового фронта
Расчет годовых приведенных расходов для
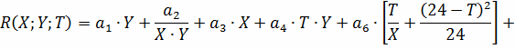
грузового фронта определяется по формуле [3]:
где
-
сумма амортизационных и годовых приведенных расходов;
- стоимость
простоев подвижного состава - технологических простоев;
- стоимость
маневровых работ;
- расходы на
оплату труда бригады механизаторов, обслуживающих одну погрузочно-разгрузочную
машину;
- расходы,
связанные с неполносуточным режимом работы грузового фронта;
- расходы на
оплату энергоносителей;
- расходы,
связанные с вагоно-часами ожидания подачи (X-1) групп вагонов на подъездной
путь склада и накопления на станционных путях при погрузке-выгрузке маршрута
частями.
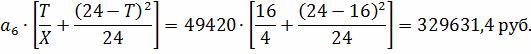
Рассчитаем годовые приведенные расходы для
грузооборота
:
где
-
стоимость погрузочно-разгрузочной машины, руб.;
- норма
амортизационных отчислений на реновацию машину,
[3];
- коэффициент
эффективности капиталовложений,
[3].
где
-
количество календарных дней поступления вагонов на грузовой фронт;
- суточный
вагонопоток;
- грузоподъемность
вагона данного типа,
;
- коэффициент
использования вагона по грузоподъемности;
- стоимость
простоя вагоно-часа, руб/в-ч[3].
где
-
суммарная средняя продолжительность маневровых операций на грузовом фронте по
постановке-уборке одной подачи вагонов;
- стоимость
локомотиво-часа маневровых работ, руб/л-ч [ 3].
где
-
коэффициент увеличения фонда оплаты труда механизаторов;
- соответственно,
тарифная ставка механизаторов и подсобных рабочих, руб/ч;
где N - суммарная мощность двигателей,
установленных на одной погрузочно-разгрузочной машине, кВт;
- коэффициент
использования двигателей по мощности [3];
- коэффициент
использования двигателей по времени [3];
- коэффициент
потерь мощности в подводящих электрических цепях [3];
- стоимость
киловатт-часа, руб/кВт
ч [5].
Стоимость одного
груза
рассчитывается по формуле:
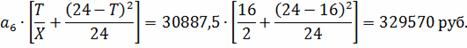
Аналогично рассчитаем другие грузообороты.
:
Стоимость одного
груза
рассчитывается по формуле:
(Y=1; T=24):
Стоимость одного
груза
рассчитывается по формуле:
порт производительность погрузочный
разгрузочный
(Y=2; T=16):
Стоимость одного
груза
рассчитывается по формуле:
Полученные результаты занесем в таблицу.
Таблица 2.2 - Годовые приведенные расходы
|
|
300
|
500
|
800
|
|
|
1380
|
2300
|
3680
|
|
|
21
|
35
|
56
|
|
X
|
4
|
4
|
4
|
|
Y
|
1
|
1
|
1
|
|
Т,
ч
|
16
|
16
|
24
|
|
R,
руб
|
13084324,5
|
13668226,4
|
19449868,5
|
|
r,
руб/
|
43,61
|
27,34
|
24,31
|
3. Схема механизации СМ-2
.1 Выбор марки
погрузочно-разгрузочной машины для СМ-2
Выбираем козловой кран КДКК-10 грузоподъемностью
10 тонн [1].
Характеристики крана:
Грузоподъемность - 10 т;
Длина пролета - 16 м;
Число консолей - 2;
Вылет консолей - 4,2 и 4,2 м;
Наибольшая длина хода тележки - 24,4 м;
Наибольшая длина подъема крюка - 8,65 м;
Габаритные размеры:
Ширина - 29 м;
Высота - 11,56 м;
Длина по фронту работ - 9,1 м;
Скорость крана - 1,5 м/с;
Скорость груза при подъеме - 0,168 м/с;
Скорость тележки - 0,635 м/с;
Суммарная мощность - 54,2 кВт;
База крана - 7 м;
Масса крана - 36т;
Восстановительная стоимость - 2318000 руб.
3.2 Определение геометрических
размеров склада
Из геометрических характеристик вагона находим
количество пакетов помещающихся в один вагон (
).
Ширина грузовой площадки определяется пролетом
крана.
Длину склада определим из формулы:
где
-
емкость склада;

- площадь
поперечного сечения склада, 
;

- коэффициент
заполнения груза.
3.3 Определение необходимого
количества вагонов
Определим необходимые количества вагонов,

3.4 Определение необходимого
количества подач вагонов
Определим необходимое количество подач вагонов
где - количество вагонов в одной подаче.
где

- длина одного
вагона, м.
Принимаем в каждом случае.
Полученные результаты внесем в сводную таблицу.
Таблица 3.1 - Исходные данные
|
|
300
|
500
|
800
|
|
|
1380
|
2300
|
3680
|
|
|
21
|
35
|
56
|
|
|
4140
|
6900
|
11040
|
|
|
132
|
220
|
351
|
|
X
|
2
|
2
|
2
|
Явочный состав бригады для крана и тарифные ставки:
Длительность погрузочно-разгрузочных работ
принимаем:
3.5 Определение эксплуатационной
производительности погрузочно-разгрузочной машины
где

- масса фактически
поднимаемого груза, 
;

- коэффициент
использования погрузочно-разгрузочной машины в течение времени смены;

-
продолжительность рабочего цикла, с.
3.6 Определение количества
погрузочно-разгрузочных машин
где

- расчетный
суточный грузооборот, 
;

- эксплуатационная
производительность погрузочно-разгрузочной машины, 
;
m
- количество смен работы в сутки;
t
= 8 - продолжительность рабочей смены, ч;

- коэффициент,
учитывающий увеличение объема перегружаемого груза при его погрузке-выгрузке
при складской переработке груза.
.7 Расчет годовых приведенных
расходов для грузового фронта
Расчет
годовых приведенных расходов для грузового фронта определяется по формуле [3]:
где

- сумма
амортизационных и годовых приведенных расходов;

- стоимость
простоев подвижного состава - технологических простоев;

- стоимость
маневровых работ;

- расходы на
оплату труда бригады механизаторов, обслуживающих одну погрузочно-разгрузочную
машину;

- расходы,
связанные с неполносуточным режимом работы грузового фронта;

- расходы на
оплату энергоносителей;

- расходы,
связанные с вагоно-часами ожидания подачи (X-1)
групп вагонов на подъездной путь склада и накопления на станционных путях при
погрузке-выгрузке маршрута частями.
Рассчитаем
годовые приведенные расходы для грузооборота

:
где

- стоимость
погрузочно-разгрузочной машины, руб.;

- норма
амортизационных отчислений на реновацию машину, 
[3]; 
- коэффициент
эффективности капиталовложений, 
[3].
где

- количество
календарных дней поступления вагонов на грузовой фронт;

- суточный
вагонопоток;

- грузоподъемность
вагона данного типа,
;

- коэффициент
использования вагона по грузоподъемности;

- стоимость
простоя вагоно-часа, руб/в-ч [3].
где

- суммарная
средняя продолжительность маневровых операций на грузовом фронте по
постановке-уборке одной подачи вагонов;

- стоимость
локомотиво-часа маневровых работ, руб/л-ч [3].
где

- коэффициент
увеличения фонда оплаты труда механизаторов;

- соответственно,
тарифная ставка механизаторов и подсобных рабочих, руб/ч;
где
N - суммарная
мощность двигателей, установленных на одной погрузочно-разгрузочной машине,
кВт;

- коэффициент
использования двигателей по мощности [3];

- коэффициент
использования двигателей по времени [3];

- коэффициент
потерь мощности в подводящих электрических цепях [3];

- стоимость
киловатт-часа, руб/кВт
ч [].
Стоимость
одного 
груза
рассчитывается по формуле:
Аналогично
рассчитаем другие грузообороты.

:
Стоимость
одного 
груза
рассчитывается по формуле:

(Y=1; T=24):
Стоимость одного 
груза
рассчитывается по формуле:

(Y=2; T=16):
Стоимость
одного 
груза
рассчитывается по формуле:
Полученные
результаты занесем в таблицу.
Таблица 3.2 - Годовые приведенные расходы
|
|
300
|
500
|
800
|
|
|
1380
|
2300
|
3680
|
|
|
21
|
35
|
56
|
|
X
|
2
|
2
|
2
|
|
Y
|
1
|
1
|
1
|
|
Т,
ч
|
16
|
16
|
24
|
|
R, руб
|
6185038
|
6818366
|
11859566
|
|
r, руб/
|
20,62
|
13,64
|
14,82
|
Таблица 3.3 - Годовой экономический эффект
|
|
300
|
500
|
800
|
300
|
500
|
800
|
|
|
1380
|
2300
|
3680
|
1380
|
2300
|
3680
|
|
|
21
|
35
|
56
|
21
|
35
|
56
|
|
Х
|
4
|
4
|
4
|
2
|
2
|
2
|
|
Y
|
1
|
1
|
1
|
1
|
1
|
1
|
|
Т,
ч
|
16
|
16
|
24
|
16
|
16
|
24
|
|
R,
руб
|
13084324,5
|
13668226,4
|
19449868,5
|
6185038
|
6818366
|
11859566
|
|
r,
руб/
|
43,61
|
27,34
|
24,31
|
20,62
|
13,64
|
14,82
|
|
ΔR,
руб
|
-
|
-
|
-
|
6899286,5
|
6849900,4
|
7590302,5
|
4. Определение количества причалов
Количество причалов определяется по формуле [4]:
где 
- максимальный
суточный грузооборот, 
;

- максимальная
суточная производительность погрузочно-разгрузочных машин;

- коэффициент
метеоусловий;

- коэффициент
занятости (для лесных грузов).
где t=30
- календарное количество не рабочих дней.
Т.е. необходимы два специализированных причала
для лесного груза.
5. Техника безопасности и охрана
труда
Складирование пакетов круглого леса
осуществляется в соответствии со схемами складирования, с соблюдением железнодорожных,
крановых габаритов, проездов и проходов установленной величины.
Расстояние от наружной грани головки ближайшего
к грузу ж.д. или подкранового рельса должно быть не менее 2,0 м при высоте
складирования до 1,2 м или 2,5 м - при большей высоте.
Проезды между штабелями должны быть не менее 3,5
м, а магистральные проезды между группами штабелей - 6,0 м.
Проходы между штабелями должны быть не менее 1,0
м.
Штабель формируется в виде усеченной пирамиды.
Высота штабелем определяется производителем
работ в зависимости от допускаемой нагрузки на 1 
складской емкости.
По высоте груз распределяется равномерно, по
всей длине склада.
До начала расформирования штабеля крановщик
обязан убедиться в отсутствии людей, перегрузочной техники, транспортных
средств в опасной зоне.
Груз следует выбирать послойно, начиная от
средней части штабеля по всей его площади, не допуская углублений более 1,0 -
1,5 м.
Заключение
В ходе курсовой работы разработаны
технологические схемы перегрузки пакетированного круглого леса с использованием
портальных и козловых кранов для варианта перегрузочных работ «вагон-склад».
Для исследования технологической схемы
перегрузки использована математическая модель работы грузового железнодорожного
фронта, учтены стоимость простоя вагонов и стоимость маневровых работ.
Определены оптимальные параметры оснащенности
грузового железнодорожного фронта.
Показана технико-экономическая эффективность
использования козловых кранов в тыловой зоне причала.
Годовой экономический эффект составил от
6899286,5 до 7590302,5 рублей при грузооборотах от 300000 до 800000 
.
Список использованных источников
1. Падня
В.А. Погрузочно-разгрузочные машины: Справочник. - 4-е изд., перераб. и доп. -
М.: Транспорт, 1981. - 448 с.
. Макеева
Ю.Н. Автоматизированные перегрузочные комплексы транспортно-грузовых систем
ж.-д. и портовых терминалов. Технология перегрузочных работ. Оптимизация
технологических решений: учебное пособие для вузов / Ю.Н. Макеева; Рост. гос.
ун-т путей сообщения. - Ростов н/Д, 2007. - 292 с.
. Макеева
Ю.Н. Организация и технология перегрузочных процессов в портах. Оптимизация
технологических схем: учебное пособие для вузов / Ю.Н. Макеева; Рост. гос. ун-т
путей сообщения. - Ростов н/Д, 2007. - 237 с.
. Березуцкий
Ю.И. Методические указания к курсовому проекту (работе) по дисциплине
«Комплексная механизация и автоматизация погрузочно-разгрузочных работ» / Ю.И.
Березуцкий, Ю.Н. Макеева. Ч.1 - Ростов н/Д: Рост. гос. ун-т путей сообщения,
2002. - 50 с.
. Данные
справочника ж.д. за 2012 г.