Решение логических задач
Задание 1
Произведите с понятием «суд» операции
определения, деления, обобщения, ограничения (определение проверьте по правилам
логики)
Сначала сформулируем определение данного
понятия.
Суд (А) - государственный орган (В),
осуществляющий правосудие в форме рассмотрения и разрешения уголовных,
административных, гражданских и иных категорий дел в установленном законом
конкретного государства процессуальном порядке (c).
A - дефиниендум или
определяемое понятие (Dfd).
В (с) - дефиниенс или определяющее понятие (Dfn).
Вид определения: реальное (по логическому
строению), родовидовое (по характеру дефиниенса), операциональное, которое
близко к номинальному определению.
Логическая схема: А≡В(с). Или: Dfd
≡
Dfn. Иными словами, в
этом определении правила логики соблюдены
Обобщение.
Суд (А) ==>государственный орган (В)(рис. 1).
логический суждение силлогизм
Рис. 1
Ограничение
Суд (А) ==> Городской суд (В) ==>
Благовещенский Городской суд(С) (рис. 2).
Рис. 2
Под обобщением понятий подразумевается операция
перехода от понятий меньшего объема к понятиям большего объема (переход от
видового понятия к родовому), а под ограничением - обратный процесс перехода от
понятий большего объема к понятиям меньшего объема (переход от родового понятия
к видовому).
Деление по видообразующему признаку.
Произведём операции деления с понятием суд (на
примере Судебной системы Российской Федерации) в соответствии с его
юрисдикцией:
Суд (А) - Конституционный Суд РФ (В), Верховный
Суд РФ (С), Высший Арбитражный Суд РФ (D)
(рис. 3)
А ==> В Ù
C Ù
D
Рис. 3
Дихотомическое деление.
Суд (А) ==> Федеральный Суд (В), и не
Федеральный Суд (не В) (рис.4).
А ==> В Ù
не-В
Рис.4
Задание 2
Дайте объединённую классификацию суждений,
приведите их схемы и принятые в логике обозначения (A,E,I,O). Укажите
распределение терминов и изобразите их соотношение с помощью круговых схем
Эйлера.
.1. Почти все студенты получили зачёт по
«Римскому праву». 2.2. Интеллектуальная собственность охраняется законом. 2.3.
«Никто из сидящих не обратил внимание на новоприбывшего зрителя» (М. Булгаков).
2.4. Часть студентов юридических вузов не изучают конфликтологию.
Решение
.1. Почти все студенты (S)
получили зачёт по «Римскому праву» (P).
Суждение является частноутвердительным (I),
т.е. частным по количеству и утвердительным по качеству. Логическая схема
«Некоторые S суть P».
I (Некоторые S суть P):
х(S(x) Ù P(x))
Ни S, ни Р не
распределены.
.2 Интеллектуальная собственность (S) охраняется
законом (P).
Суждение является общеутвердительным
(А), т.е. общим по количеству и утвердительным по качеству. Логическая схема
«Все S суть Р»
А (Все S суть Р):
х (S(x)
P(x))
распределён, Р не распределён.
.3 «Никто из сидящих (S) не обратил
внимание на новоприбывшего зрителя (P)» (М.
Булгаков).
Суждение относится к
общеотрицательным (Е), т.е. общее по количеству и отрицательное по качеству.
Схема этих суждений «Ни одно S не есть Р» E(Ни одно S не есть Р): 
х (S(x) 
ךP(x))
И S, и Р
распределены.
.4 Часть студентов юридических вузов
(S) не изучают
конфликтологию (P). Это суждение относится к
частноотрицательным (О), т.е. суждение частное по количеству и отрицательное по
качеству. Схема суждения «Некоторые S не суть Р».
О(Некоторые S не суть Р): 
х(S(x) ∧ ךP(x))
S не
распределён, Р распределён.
Задание 3
Установите вид сложного суждения, укажите его
составные части (простые суждения), запишите с помощью символов, используя
пропозициональные союзы. Составьте таблицу истинности. Если сложное суждение
комбинированное, приведите его полную логическую схему.
3.1. Трудовые договоры заключаются на
неопределённый срок или определённый. 3.2. «Если сделка, требующая
государственной регистрации, совершена в надлежащей форме, но одна из сторон
уклоняется от её регистрации, суд вправе по требованию другой стороны вынести
решение о регистрации сделки» (Гражданский кодекс РФ).
Решение
.1. Трудовые договоры заключаются на
неопределённый срок или определённый.
Данный пример является дизъюнктивным
(разделительным) суждением, состоящим из двух простых: «Трудовые договоры
заключаются на неопределённый срок»; «Трудовые договоры заключаются на
определённый срок». Если первое обозначить p, а второе -
q, то
символически суждение можно выразить следующим образом р 
q, где р и q -
дизъюнкты, 
- символ дизъюнкции.
Таблица истинности:
|
р
|
q
|
р
 q
|
|
И
|
И
|
И
|
|
И
|
Л
|
И
|
|
Л
|
И
|
И
|
|
Л
|
Л
|
Л
.2. «Если сделка, требующая государственной
регистрации, совершена в надлежащей форме, но одна из сторон уклоняется от её
регистрации, суд вправе по требованию другой стороны вынести решение о
регистрации сделки» (Гражданский кодекс РФ).
Это эквивалентное суждение, включающее в
качестве составных два суждения, связанных двойной (прямой и обратной) условной
зависимостью, выражаемой логической связкой «если и только если…, то..».
Åñëè ñäåëêà,
òðåáóþùàÿ ãîñóäàðñòâåííîé
ðåãèñòðàöèè,
ñîâåðøåíà â íàäëåæàùåé
ôîðìå, íî îäíà
èç ñòîðîí óêëîíÿåòñÿ
îò å¸ ðåãèñòðàöèè
(ð), ñóä âïðàâå ïî
òðåáîâàíèþ äðóãîé
ñòîðîíû âûíåñòè
ðåøåíèå î ðåãèñòðàöèè
ñäåëêè (q).
Ñõåìà äàííîãî
ñóæäåíèÿ p
≡
q
Ïîñòðîèì
òàáëèöó èñòèííîñòè:
Ñóæäåíèå
q ≡
p èñòèííî
â òåõ ñëó÷àÿõ,
êîãäà îáà ñóæäåíèÿ
ïðèíèìàþò îäèíàêîâûå
çíà÷åíèÿ, ÿâëÿÿñü
îäíîâðåìåííî
ëèáî èñòèííûìè,
ëèáî ëîæíûìè.
à) Åñëè ñäåëêà,
òðåáóþùàÿ ãîñóäàðñòâåííîé
ðåãèñòðàöèè,
ñîâåðøåíà â íàäëåæàùåé
ôîðìå, íî îäíà
èç ñòîðîí óêëîíÿåòñÿ
îò åå ðåãèñòðàöèè,
ñóä âïðàâå ïî òðåáîâàíèþ
äðóãîé ñòîðîíû
âûíåñòè ðåøåíèå
î ðåãèñòðàöèè
ñäåëêè. Îáà ñóæäåíèÿ
ÿâëÿþòñÿ èñòèííûìè,
ñëåäîâàòåëüíî
è ñóæäåíèå â öåëîì
èñòèííî.
á) Åñëè ñäåëêà,
òðåáóþùàÿ ãîñóäàðñòâåííîé
ðåãèñòðàöèè,
ñîâåðøåíà â íàäëåæàùåé
ôîðìå, íî îäíà
èç ñòîðîí óêëîíÿåòñÿ
îò åå ðåãèñòðàöèè,
ñóä íå âïðàâå
ïî òðåáîâàíèþ
äðóãîé ñòîðîíû
âûíåñòè ðåøåíèå
î ðåãèñòðàöèè
ñäåëêè. Ñóæäåíèå
p - èñòèííî,
à ñóæäåíèå q
- ëîæíî. Âñå ñóæäåíèå
òîæå ëîæíî.
â) Åñëè ñäåëêà,
òðåáóþùàÿ ãîñóäàðñòâåííîé
ðåãèñòðàöèè,
ñîâåðøåíà íå
â íàäëåæàùåé
ôîðìå, è îäíà èç
ñòîðîí óêëîíÿåòñÿ
îò åå ðåãèñòðàöèè,
ñóä âïðàâå ïî òðåáîâàíèþ
äðóãîé ñòîðîíû
âûíåñòè ðåøåíèå
î ðåãèñòðàöèè
ñäåëêè. Ñóæäåíèå
p - ëîæíî,
à ñóæäåíèå q
- èñòèííî, íî ñóæäåíèå
â öåëîì áóäåò
ëîæíî.
ã) Åñëè ñäåëêà,
òðåáóþùàÿ ãîñóäàðñòâåííîé
ðåãèñòðàöèè,
ñîâåðøåíà íå
â íàäëåæàùåé
ôîðìå, è îäíà èç
ñòîðîí óêëîíÿåòñÿ
îò åå ðåãèñòðàöèè,
ñóä íå âïðàâå
ïî òðåáîâàíèþ
äðóãîé ñòîðîíû
âûíåñòè ðåøåíèå
î ðåãèñòðàöèè
ñäåëêè. Îáà ñóæäåíèÿ
ëîæíû, íî âñå ñóæäåíèå
â öåëîì - èñòèííî.
 èòîãå
ïîëó÷àåòñÿ ñëåäóþùàÿ
òàáëèöà:
|
ð
|
q
|
ð
 q
|
|
È
|
È
|
È
|
|
È
|
Ë
|
Ë
|
|
Ë
|
È
|
Ë
|
|
Ë
|
Ë
|
È
|
Çàäàíèå
4
Ñäåëàéòå
ïîëíûé ðàçáîð
ñèëëîãèçìà. Åñëè
çàêëþ÷åíèå ñ
íåîáõîäèìîñòüþ
íå ñëåäóåò, óêàæèòå,
êàêèå ïðàâèëà
íàðóøåíû.
.1. Âñå ãðàæäàíå
ÐÔ îáÿçàíû ïëàòèòü
çàêîííî óñòàíîâëåííûå
íàëîãè. Í. íå ãðàæäàíèí
ÐÔ. Çíà÷èò, îí
íå îáÿçàí ïëàòèòü
íàëîãè.
.2. Åñëè äàííûé
ñèëëîãèçì - ýíòèìåìà,
òî â åãî ñòðóêòóðå
íåò îäíîé ïîñûëêè.
Åñëè äàííûé ñèëëîãèçì
- ýíòèìåìà, òî
â åãî ñòðóêòóðå
íåò çàêëþ÷åíèÿ.
 äàííîì ñèëëîãèçìå
åñòü âñå ïîñûëêè
è èìååòñÿ çàêëþ÷åíèå.
Çíà÷èò, ýòî - íå
ýíòèìåìà.
Ðåøåíèå
.1. 1. Âñå ãðàæäàíå
ÐÔ(Ì+) îáÿçàíû ïëàòèòü
çàêîííî óñòàíîâëåííûå
íàëîãè.(Ð-)
2. Í.(S+)
íå ãðàæäàíèí
ÐÔ.(M+)
3. Çíà÷èò,
îí(S+) íå
îáÿçàí ïëàòèòü
íàëîãè.(P+)
Ïåðâîå ñóæäåíèå
- áîëüøàÿ ïîñûëêà
âèäà À.
Âòîðîå ñóæäåíèå
- ìåíüøàÿ ïîñûëêà
âèäà Å.
Òðåòüå ñóæäåíèå
- âûâîä âèäà Å.
Í. - ìåíüøèé
òåðìèí (S).
Îáÿçàí ïëàòèòü
íàëîãè -áîëüøèé
òåðìèí (Ð).
Ñðåäíèé
òåðìèí (Ì) - «ãðàæäàíèí
ÐÔ»
Ìîäóñ ñóæäåíèÿ
ÀÅÅ
Ôèãóðà:
Ïåðâàÿ ôèãóðà
ñèëëîãèçìà. Ìîäóñ
äëÿ äàííîé ôèãóðû
íåâåðíûé.
íàðóøåíî
ïðàâèëî ðàñïðåäåë¸ííîñòè
òåðìèíîâ: òåðìèí,
íå ðàñïðåäåë¸ííûé
â ïîñûëêå, íå ìîæåò
áûòü ðàñïðåäåë¸í
â çàêëþ÷åíèè.
Áîëüøèé òåðìèí
â áîëüøåé ïîñûëêå
íå ðàñïðåäåë¸í,
íî ðàñïðåäåë¸í
â çàêëþ÷åíèè.
Âûâîä ñ íåîáõîäèìîñòüþ
íå ñëåäóåò.
.2. Åñëè äàííûé
ñèëëîãèçì - ýíòèìåìà,
òî â åãî ñòðóêòóðå
íåò îäíîé ïîñûëêè.
Åñëè äàííûé ñèëëîãèçì
- ýíòèìåìà, òî
â åãî ñòðóêòóðå
íåò çàêëþ÷åíèÿ.
 äàííîì ñèëëîãèçìå
åñòü âñå ïîñûëêè
è èìååòñÿ çàêëþ÷åíèå.
Çíà÷èò, ýòî - íå
ýíòèìåìà.
Ðåøåíèå
. Åñëè äàííûé
ñèëëîãèçì - ýíòèìåìà,(à)
òî â åãî ñòðóêòóðå
íåò îäíîé ïîñûëêè.(b)
. Åñëè äàííûé
ñèëëîãèçì - ýíòèìåìà,(a)
òî â åãî ñòðóêòóðå
íåò çàêëþ÷åíèÿ.(c)
. Â äàííîì
ñèëëîãèçìå åñòü
âñå ïîñûëêè(~b)
è èìååòñÿ çàêëþ÷åíèå.(~c)
Çíà÷èò,
ýòî - íå ýíòèìåìà.(~a)
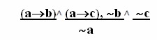
Ñëîæíîå
óñëîâíî-êàòåãîðè÷åñêîå
óìîçàêëþ÷åíèå.
Ñõåìà:
Îòðèöàþùèé
ìîäóñ.
Êàòåãîðè÷åñêàÿ
ïîñûëêà îòðèöàåò
èñòèííîñòü ñëåäñòâèÿ,
çàêëþ÷åíèå îòðèöàåò
èñòèííîñòü îñíîâàíèÿ.
Ìîäóñ ïðàâèëüíûé.
Âûâîä ñëåäóåò
ñ íåîáõîäèìîñòüþ
Çàäàíèå
5
Îïðåäåëèòü
â ñëåäóþùåì òåêñòå
ôîðìàëüíî-ëîãè÷åñêèé
çàêîí ëèáî åãî
íàðóøåíèå; çàïèñàòü
åãî â âèäå ôîðìóëû.
«Ðåêîìåíäóþ
Ìàê Ñèìà äëÿ óòâåðæäåíèÿ
â âûñîêîì çâàíèè
êàíäèäàòà â ðÿäîâûå
Áîåâîé Ãâàðäèè…
 ñâÿçè ñ âûøåèçëîæåííûì
ñ÷èòàþ ñâîèì
äîëãîì îáðàòèòü
âíèìàíèå êîìàíäîâàíèÿ
íà íåîáõîäèìîñòü
òùàòåëüíîé ïðîâåðêè
ïðîøëîé æèçíè
îçíà÷åííîãî
êàíäèäàòà â ðÿäîâûå
Áîåâîé Ãâàðäèè»
(Ñòðóãàöêèå À.
è Á.«Îáèòàåìûé
îñòðîâ»).
Ðåøåíèå
Íàðóøåí
çàêîí òîæäåñòâà,
ñîãëàñíî êîòîðîìó
âñÿêàÿ ìûñëü â
ïðîöåññå ðàññóæäåíèÿ
äîëæíà áûòü òîæäåñòâåííà
ñàìîé ñåáå. Ôðàçà
«ðåêîìåíäóþ Ìàê
Ñèìà» â äàííîì
îòðûâêå äâóñìûñëåííà:
Ìàê Ñèìà èëè
Ìàêñèìà.
Èç çàêîíà
òîæäåñòâà ñëåäóåò:
íåëüçÿ îòîæäåñòâëÿòü
ðàçëè÷íûå ìûñëè,
íåëüçÿ òîæäåñòâåííûå
ìûñëè ïðèíèìàòü
çà íåòîæäåñòâåííûå.
Íàðóøåíèå ýòîãî
òðåáîâàíèÿ â
ïðîöåññå ðàññóæäåíèÿ
íåðåäêî áûâàåò
ñâÿçàííî ñ ðàçëè÷íûì
âûðàæåíèåì îäíîé
è òîé æå ìûñëè
â ÿçûêå.
Îòîæäåñòâëåíèå
ðàçëè÷íûõ ïîíÿòèé
ïðåäñòàâëÿåò
ñîáîé ëîãè÷åñêóþ
îøèáêó - ïîäìåíó
ïîíÿòèÿ, êîòîðàÿ
ìîæåò áûòü êàê
íåîñîçíàííîé,
òàê è ïðåäíàìåðåííîé.
 äàííîì ïðèìåðå
òàêîé ïîäìåíîé
ïîíÿòèÿ ìîæåò
âûñòóïàòü ïîíÿòèå
Ìàê Ñèì, òàê êàê
ñîçâó÷íî èìåíè
Ìàêñèì.
Çàêîí òîæäåñòâà
ìîæåò áûòü âûðàæåí
ôîðìóëîé ð®ð
(åñëè ð, òî ð), ãäå
ð - ëþáîå âûñêàçûâàíèå,
®
- çíàê èìïëèêàöèè.
Áèáëèîãðàôè÷åñêèé
ñïèñîê
1. Èâàíîâ
Å.À. Ëîãèêà. - Ì.: ÁÅÊ,
2008.
2. Èâèí
À.À. Ïðàêòè÷åñêàÿ
ëîãèêà. - Ì.: ÔÀÈÐ-ÏÐÅÑÑ,
20
. Èâëåâ
Þ.Â. Ëîãèêà. - Ì. : Ïðîñïåêò,
2007.
4.Êèðèëëîâ
Â.È., Ñòàð÷åíêî
À.À. Ëîãèêà. - Ì.: Ïðîñïåêò,
2009.
.Ìàëàõîâ
Â.Ï. Ëîãèêà äëÿ
þðèñòîâ. - Ì. - Åêàòåðèíáóðã:
Àêàäåìè÷åñêèé
ïðîñïåêò; Äåëîâàÿ
êíèãà, 2002. - Ñ.332 - 426.
Ðàçìåùåíî
íà Allbest.ru
Похожие работы на - Решение логических задач
|