Аналіз товарної політики ТОВ 'Морозко'
ЗМІСТ
Вступ
. Маркетингова товарна політика
як основа формування концепції маркетингу
.1 Сутність і значення
маркетингу в сучасній економіці
.2 Поняття товарів в
маркетингу. Класифікація товарів, життєвий цикл товару
1.3 Показники товарної
номенклатури і товарного асортименту
.4 Товарна політика
підприємства, її сутність та модифікації
2. Аналіз
виробничо-господарської діяльності ТОВ «МОРОЗКО»
.1 Моніторинг ринку виробництва
та споживання замороженої плодоовочевої продукції в Україні та світі
.2 Аналіз організаційної
структури та фінансового стану підприємства
.3 Аналіз конкурентів
підприємства ТОВ «Морозко»
.4 Аналіз структури та
асортименту продукції
. Формування товарного портфеля
підприємства ТОВ «МОРОЗКО» на основі асортиментних матриць
.1 Асортиментна матриця як
результат структурування асортименту
.2 Рекомендації по
удосконаленню управління товарним портфелем підприємства
.3 Аналіз ефективності
товарного портфелю підприємства
. Охорона праці та
навколишнього середовища
.1 Загальні питання охорони
праці
4.2 Управління охороною праці
на підприємстві
.3 Перелік небезпечних і
шкідливих виробничих факторів
.4 Промислова санітарія
.5 Електробезпека
4.6
Пожежна безпека
.7 Охорона навколишнього
середовища
Висновки
Список джерел інформації
ВСТУП
Товар і товарна політика є головними
елементами комплексу маркетингу. Можна по-різному удосконалювати цінову
політику, систему просування продукції і збуту, однак без високоякісного
товару, характеристики якого відповідають запитам споживачів, на успіх на ринку
сподіватися марно. Практика переконливо доводить, що основу ринкового успіху
відомих товарних марок становить саме товар. Причому в сучасних економічних
умовах актуальність маркетингової товарної політики лиш зростає.
Прискорення темпів росту НТП,
підвищення стандартів якості життя, трансферт фінансів та технологій призводять
до частих змін уподобань і смаків споживачів, що, в свою чергу, супроводжується
змінами вимог до характеристик товарів; скорочення життєвого циклу товарів
тощо. І саме товарна політики спрямована на вирішення одного з основних завдань
маркетингу - орієнтації виробництва ї збуту на задоволення потреб і запитів
споживачів з метою одержання прибутку і забезпечення умов тривалого виживання і
розвитку підприємства на ринку відповідно до його місії і прийнятої мотивації
діяльності.
Тільки на основі оптимальної
товарної політики, розробленої на засадах маркетингу, підприємство може
ефективно функціонувати.
Цій проблемі в країна з розвитою
ринковою економікою вже не одно десятиріччя приділяється дуже велика увага.
Особливо слід відзначити наукові роботи таких відомих зарубіжних авторів як Ф.
Котлер, Г. Армстронг, П. Дойль, Г. Черчилль. Окремі аспекти формування товарної
політики висвітлено в працях російських авторів, а саме Г.А. Азоєва, Є.П.
Голубкова, А.М. Романова, П.С. Зав'ялова та інших. Слід відмітити появу за
останні роки наукових робіт з проблем формування товарної політики, які
підготовлені вченими України, а саме: С.С. Гаркавенко, В.Я. Кардаш, С.М.
Ілляшенко, А.В. Войчак, О.М. Мозговий. Усе це визначає актуальність, а отже і
об’єктивну необхідність подальшого розвитку теоретико-методологічних засад та
розробки практичних рекомендацій щодо управління товарною політикою
підприємства.
Об'єктом дослідження даної дипломної
роботи є підприємство, яке працює у сфері переробки (заморожування свіжих
овочів та фруктів) з його поточним і перспективним товарним асортиментом,
виробничими потужностями, використовуваними ресурсами, показниками
виробничо-господарської діяльності.
Предмет дослідження: товарна політика
підприємства ТОВ «Морозко»
У дипломному дослідженні вирішується
наступний перелік задач:
- визначення
місця і ролі товарної політики підприємства в загальній системі маркетингу;
- моніторинг
ринку виробництва та споживання замороженої плодоовочевої продукції в Україні
та світі;
- аналіз
фінансово-господарської діяльності підприємства з урахуванням виробленої
товарної політики;
- аналіз
ефективності товарного портфелю підприємства;
- комплексний
аналіз окремих елементів товарної політики підприємства і її узагальнених
результатів;
- формування
товарного портфелю підприємства на основі методу асортиментних матриць;
- розрахунок
ефективності запропонованих заходів.
Методологічною і теоретичною основою
дослідження є наукові праці провідних вітчизняних і зарубіжних фахівців в
області економіки, управління, маркетингу і менеджменту, а також фінансові
звіти діяльності підприємства ТОВ «Морозко».
При розробці принципів, методів і
засобів для вироблення товарної політики підприємством використовувалися
наступні наукові методи: програмно-цільового рішення економічних завдань,
маркетингу, техніко-економічного аналізу виробничо-господарської діяльності
підприємств, лінійного програмування, метод асортиментних матриць.
товар маркетинг асортимент
1. МАРКЕТИНГОВА ТОВАРНА ПОЛІТИКА ЯК
ОСНОВА ФОРМУВАННЯ КОНЦЕПЦІЇ МАРКЕТИНГУ
.1 Сутність і значення маркетингу в
сучасній економіці
У сучасній економічній літературі
налічується кілька сотень визначень маркетингу. Частину з них офіційно визнали
маркетингові та інші організації і застосовують протягом кількох десятиріч.
Таблиця 1.1 - Генезис розвитку
визначення сутності поняття «маркетинг»
|
Визначення маркетингу
|
Автори, рік оприлюднення
|
|
Маркетинг - поставка стандартів і розподіл
рівня життя суспільства
|
Пол Мейзур, 1947
|
|
Сучасний маркетинг з погляду споживача чи
користувача є ширшим поняттям, ніж продаж. Маркетинг має охоплювати всі сфери
діяльності підприємства
|
Пітер Друкер, 1954
|
|
Сукупність дій підприємців, компаній, інших
організацій і людей, спрямованих на забезпечення потрібного потоку товарів і
послуг від їх виробника до користувача або споживача
|
Асоціація маркетингу США, 1960
|
|
Маркетинг є економічним процесом, за допомогою
якого продукти пристосовуються до ринкових потреб і право власності
переходить від одного учасника ринку до іншого
|
І. Кандіф, 1964
|
|
Система взаємозв’язаних дій
торговельно-промислових підприємств з планування, ціноутворення, реклами та
розподілу необхідних споживачеві товарів, а також послуг для наявних і
майбутніх користувачів
|
І. Стептон, 1971
|
|
Сукупність необхідних і випадкових дій щодо
забезпечення співвідношень обміну в наявній економічній системі
|
Хеллоуен і Хепкоп, 1973
|
|
Повний набір дій окремих особистостей і
організацій з метою задоволення потреб людини
|
Еніс, 1977
|
|
Маркетинг - це підприємницька діяльність щодо
просування товару від виробника до споживача
|
С. Маджаро, 1979
|
Проте більшість визначень маркетингу
залишилися в історії науки тільки як спроби науковців уточнити це поняття або й
зовсім змінити його суть (табл. 1.1).
Водночас спільними зусиллями
багатьох авторів склалося поняття маркетингу як теорії, тобто системи
теоретичних, методологічних і практичних знань, які розроблялися та
поглиблювалися в межах загальних дисциплін комерційної справи й підприємницької
діяльності. У цьому контексті найбільш всеосяжним та повним є дане Ф. Котлером
визначення маркетингу як «соціального процесу, унаслідок якого окремі індивіди
та групи отримують те, чого потребують і чого бажають, на засадах створення і
обміну одних товарів та вартостей на інші» (табл. 1.2).
Таблиця 1.2 - Основні суб’єкти
маркетингу
|
Виробники товарів (послуг)
|
®
|
Юридичні чи фізичні особи - виробники товарів
і послуг
|
|
Кінцевий споживач
|
®
|
Родина або людина, що купує товари (послуги)
для особистого, родинного чи господарського споживання
|
|
Організації-споживачі
|
®
|
Організації, що купують товари(послуги) для
використання у своїй діяльності
|
|
Гуртова торгівля
|
®
|
Організації або люди, що купують
товари(послуги) для перепродажу в роздрібну торгівлю, промисловим
організаціям, комерційним споживачам
|
|
Роздрібна торгівля
|
®
|
Організації або люди, діяльність яких
пов’язана з продажем товарів кінцевим споживачам
|
|
Фахівці з маркетингу
|
®
|
Організації або люди, що спеціалізуються на
конкретних маркетингових функціях
|
Такий підхід залучає маркетинг
безпосередньо до сфери розподілу та обміну. Проте всесвітнього визнання набуло
інше визначення Ф. Котлера: «Маркетинг - це вид діяльності, що спрямована на
задоволення потреб людини шляхом обміну...», хоч відомий американський
економіст Т. Левіт і попереджував про те, що «... маркетинг не слід
ототожнювати з продажем товарів. Завдання торговельної системи полягає в тому,
щоб переконати покупця придбати те, що виготовлено. Завданням маркетингу є
поставляння на ринок того товару, в якому споживач справді має потребу». Цікава
також характеристика маркетингу, що належить професорові Гарвардського
університету Пітеру Друкеру: «Маркетинг - це концепція управління фірмою, в
орбіті якої перебувають покупець, клієнт з його потребами та запитами і фірма,
її відділення, філії та дільниці, націлені на якомога якісніше задоволення цих
потреб». Отже, сучасний маркетинг інтегрований у всі ланки управління
виробництвом і є, по суті, підприємницькою філософією, яка вважає головною
метою фірми всебічне задоволення потреб споживачів. Тому продаж виробленої
підприємством продукції - це не тільки акт її реалізації, а й спосіб вивчення
споживачів і спілкування з ними. З позицій маркетингу вся система ділової
активності фірми має бути зорієнтована на ринок, передбачати вивчення, аналіз
та задоволення потреб покупців. Зрозуміло, що маркетинг є динамічним діловим
процесом, а не набором понять і функцій. Маркетингова програма починається із
зародження ідеї товару і триває доти, доки потреби споживачів не будуть вповні
задоволені (рис. 1.1).
Успіх маркетингової діяльності
вимірюється максимумом прибутків із продажу товарів протягом тривалого часу. Як
цілеспрямована діяльність із вивчення, задоволення та впливу на потреби людей
маркетинг дає змогу поліпшувати координацію наявних ресурсів, підвищувати інформованість
та «перебірливість» споживачів. Завдання й цілі сучасного маркетингу соціально
спрямовані, а тому позитивно впливають на рівень та стиль життя, сприяють їх
поліпшенню.
У сучасній економічній науці існують
чотири альтернативні концепції, на підставі яких комерційні та некомерційні
організації здійснюють маркетингову діяльність. Перша з них має назву концепції
товару. Згідно з нею господарське управління підприємством виходить з того, що
споживач позитивно ставиться до товару, оскільки продукт доброякісний і
продається за помірною ціною.
Рисунок 1.1 - План-програма
маркетингової діяльності підприємства
За таких сприятливих чинників
потрібні лише незначні маркетингові зусилля для досягнення бажаного обсягу продажу
та прибутку. Засади цієї концепції такі:
фірма концентрує увагу на
виробництві товарів високої якості, які реалізуються за конкурентоспроможними
цінами;
споживач зацікавлений у
придбанні цих товарів;
покупці знають про наявність
товарів-аналогів і товарів-замінників;
споживачі здійснюють свій вибір,
порівнюючи якість і ціни аналогічних товарів.
Другою за популярністю є концепція
збуту, згідно з якою визнається, що споживачі купуватимуть запропоновані товари
в достатньому обсязі лише за умов, коли фірма докладе достатніх зусиль з метою
просування товарів і розширення їх продажу. Успіх цієї концепції залежить від
того, чи здатна фірма розробити ефективні методи продажу та демонстрування
своєї продукції, розвіяти сумніви покупців, переконати їх у необхідності робити
повторні придбання товару. Отже, потрібно проводити цілеспрямований пошук
потенційний пошук, покупців, вміти демонструвати їм приховані корисні
властивості товару за допомогою інтенсивної реклами, спрямованої на споживача.
У центрі класичної концепції
маркетингу перебувають потреби та запити споживачів, а також бажання та
готовність фірми їх задовольнити. Ця концепція, на думку Ф. Котлера, базується
на визначенні потреб і на реальних оцінках споживачами асортименту та якості
продукції, визнає за необхідне пристосовувати виробництво й властивості товарів
до вимог покупців ліпше, ніж це роблять конкуренти. Для цього фірма має
провести дослідження поведінки покупців із метою виявлення їх окремих цільових
груп, з’ясувати свої технічні можливості, технологічну гнучкість та
організаційну пристосованість для оперативного реагування на зміни стану ринку,
бажань та потреб споживачів. Крім цього, маркетингова діяльність підприємства
постійно контролюється та аналізується з метою перевірки того, чи відповідають
потребам споживачів результати його господарської діяльності, чи забезпечують
вони повторну купівлю товарів і чи здобувають позитивну громадську оцінку.
Зрозуміло, що концепція маркетингу (як і концепція збуту) мають на меті
отримання максимального прибутку від виробничої діяльності. Однак, якщо першого
можна досягти внаслідок максимального задоволення потреб визначених споживачів,
то другого - лише за рахунок збільшення обсягів продажу (інтенсифікації
комерційних зусиль).
Подальшим розвитком класичної концепції
маркетингу є її соціально-етична інтерпретація, коли задоволення особистих
потреб та бажань покупців супроводжується прагненням зберегти та поліпшити
життєвий рівень суспільства. Соціально-етична концепція маркетингу
характеризується розумінням того, що з погляду попиту колективні та
індивідуальні інтереси не завжди збігаються. Поведінка як виробника, так і
споживача не завжди враховує інтереси суспільства. Тому соціально-етична
концепція маркетингу передбачає наявність таких обов’язкових елементів:
задоволення розумних потреб
покупців з урахуванням інтересів суспільства;
постійне оновлення
асортименту за рахунок нових товарів, які достатньо відповідають суспільним
інтересам;
відмова від виготовлення та
реалізації товарів, які суперечать інтересам суспільства.
Звідси випливає, що концепція
соціально-етичного маркетингу відрізняється від класичної тим, що її мета -
забезпечити «якість життя» не тільки окремого споживача, а й всього
суспільства. З огляду на це маркетингові рішення мають ураховувати чотири
чинники: потреби споживача; інтереси споживача; інтереси фірми; інтереси
суспільства.
За час розвитку й становлення
маркетингу виокремились такі сфери його застосування:
споживацький маркетинг -
маркетинг товарів масового попиту;
промисловий маркетинг -
маркетинг товарів виробничого призначення;
маркетинг послуг;
міжнародний маркетинг;
некомерційний маркетинг -
метамаркетинг (наприклад, в управлінні політичними партіями, професійними
асоціаціями тощо);
мікромаркетинг -
маркетингова діяльність фірм та інших комерційних організацій;
макромаркетинг - діяльність
держави в ринковій сфері;
соціальний маркетинг -
сукупність методів здійснення соціальних програм державою й громадськими
організаціями, а також соціальні аспекти ринкової діяльності господарчих
об’єднань;
егомаркетинг - діяльність
особистості на ринку (наприклад, під час працевлаштування).
Сучасний маркетинг - це не тільки
прикладна економіка, а й частина стратегії підприємництва. Його вплив і
завдання охоплюють усі сфери суспільного життя.
.2 Поняття товару в маркетингу.
Класифікація товарів, життєвий цикл товару
На підприємствах ринкової орієнтації
однією із головних складових виробничо-господарської діяльності є створення
товарів з оптимальними для споживачів характеристиками. Саме тому студентам
варто докласти достатніх зусиль, щоб вивчити чинну в системі маркетингу
класифікації товарів та послуг. У сфері маркетингу товар розглядають як
комплекс відчутних та невідчутних характеристик, спрямованих на задоволення
потреб споживачів. На думку відомого американського економіста Ф. Котлера,
«...товар - це все, що має задовольнити потребу і пропонується ринку з метою
привернення уваги, придбання, використання чи споживання». Як носій
функціонально корисних властивостей товар може бути розглянутий із
узагальнених, розширених і конкретних позицій.
З найбільш узагальнених позицій
економісти-маркетологи розглядають п’ять рівнів товару, що й утворюють ієрархію
цінностей для покупця і мають істотне значення для вдалого позиціювання товару
на ринку. Перехід на кожний новий рівень - це збільшення цінності. Тому саме на
рівні потенційного товару вишукуються можливості майбутніх його доповнень та
трансформацій, формуються стратегічні підходи до розробки нових способів
задоволення потреб споживачів(рис. 1.2).
Підприємства з маркетинговою
орієнтацією привертають увагу, створюють, утримують і розширюють контингент
споживачів, розробляючи товари з високою споживчою цінністю (рис. 1.3).
Рисунок 1.2 - Схема складових ринкового
позиціювання п’ятирівневого товару
Рисунок 1.3 - Створення споживчої
цінності товару
Послуги також є споживчими
цінностями, але вони переважно не набирають матеріалізованої форми. Виробник
послуг утримує якнайтісніший контакт зі споживачами, а сама суть послуг має
здебільшого індивідуальний характер і майже не припускає відкладеного
використання. Тобто послуги - це специфічний вид товару, що зумовлює
необхідність особливого підходу та стратегії маркетингових дій. Залежно від
призначення та особливостей використання товари й послуги можна класифікувати
за багатьма ознаками. Зокрема, стосовно ймовірних покупців товарна класифікація
в найбільш загальному вигляді така: споживчі товари і послуги; товари і послуги
виробничого призначення.
Споживчі товари за ознакою
довговічності бувають тривалого і короткочасного користування. Згідно з
поведінкою та звичками споживачів розрізняють товари повсякденного попиту,
попереднього вибору, особливого попиту, пасивного попиту (табл.1.3)
Таблиця 1.3 - Класифікація товарів у
залежності від характеру споживчої поведінки покупців
|
Групи товарів
|
Складові елементи
|
|
Товари повсякденного попиту
|
Основні товари, товари імпульсної покупки,
товар для екстрених випадків
|
|
Товари попереднього вибору
|
Одяг; меблі; складна побутова техніка, тощо
|
|
Товари особового попиту
|
Марки коштовних модних товарів; автомобілі
престижних марок, тощо
|
|
Товари пасивного попиту
|
Страхові поліси; ритуальні послуги;
енциклопедії, тощо
|
Товари повсякденного попиту, як
правило, купують без роздумів, без порівняння з аналогами, здебільшого за
звичкою (газети, кава, сигарети). Їх поділяють на товари постійного попиту, що
їх купують регулярно; імпульсивної купівлі, які купують незаплановано (жувальна
гумка, дрібний сувенір); екстрених випадків, спричинених певною життєвою
ситуацією (купівля електрообігрівача за сильних морозів).
Товари попереднього вибору купують,
порівнюючи спочатку можливі варіанти за критеріями якості, ціни, дизайну.
Розрізняють схожі (холодильники, пральні машини) і несхожі (квартири, меблі,
будинки) товари.
Товари особливого попиту мають
унікальні ознаки або популярні марки, що надають їм престижності. За такі
товари покупець готовий сплачувати додатково (автомобіль марки «Мерседес»,
годинник «Роллекс»).
На товари пасивного попиту покупці з
різних причин не звертають особливої уваги доти, доки вони не стають
необхідними (послуги страхування, ритуальні послуги).
Товари і послуги виробничого
призначення також класифікуються за багатьма ознаками. Так, залежно від
призначення і особливостей використання вони поділяються на два класи: товари,
що безпосередньо витрачаються під час використання, і товари, що втрачають у
процесі використання свій ресурс (табл. 1.4).
Таблиця 1.4 - Класифікація товарів
виробничого призначення
|
Клас
|
Група
|
|
1. Продукція, що безпосередньо витрачається
під час використання
|
1. Сировина і природне паливо
|
|
2. Матеріали і продукти
|
|
3. Витратні вироби
|
|
2. Продукція, що витрачає у процесі
використання свій ресурс
|
4. Вироби, які не підлягають ремонту
|
|
5. Вироби, які підлягають ремонту
|
Використання товарів 1-го класу
супроводжується необоротним процесом їх переробки. Це, наприклад, сировина та
природне паливо, матеріали тощо. Товари 2-го класу експлуатуються практично без
зміни маси і натуральних складників, але зазнають фізичного та морального
старіння (зносу): машини, прилади, технічні системи. Частина з них підлягає
ремонту (машини, прилади, меблі) решта - ні (валки, електровакуумні вироби).
Залежно від вартості, характеру й
терміну використання, а також ролі в технологічному процесі товари виробничого
призначення найчастіше поділяють на капітальне та допоміжне обладнання,
сировину, напівфабрикати й деталі, а також матеріали.
Капітальне обладнання - це
стаціонарні споруди (будівлі різного призначення) та стаціонарне обладнання
(важкі верстати, генератори, автоматичні лінії). До допоміжного обладнання
належить рухоме та вантажно-транпортне обладнання, організаційно-технічне
устаткування. Капітальне та допоміжне обладнання не стає частиною кінцевої
продукції і не зазнає зміни форми. Вимоги до цього різновиду товарів з боку
виробників і споживачів вельми специфічні, що пояснюється тривалістю
використання і великою вартістю таких компонентів виробництва.
Сировина, напівфабрикати і деталі -
це товари, які цілком використовуються у процесі виробництва або стають
частиною готової продукції. Ці товари значно дешевші, ніж капітальне та
допоміжне обладнання, а швидкість їх споживання незмірно вища.
Споживчі послуги поділяються на три
категорії: пов’язані з орендою товару; пов’язані з власним товаром; особисті
послуги.
Послуги виробничого призначення
стосуються об’єктів, що не присутні в готових виробах: експлуатація і ремонт
обладнання, прибирання споруд і приміщень, охорона тощо. Особливе місце
належить діловим послугам щодо організації управління, реклами, бухгалтерського
обліку.
Природа та характер послуг
відрізняють їх від товарів, які можна відчути, і тому потребують особливого
підходу в маркетинговій діяльності (рис. 1.4).
Рисунок 1.4 - Характерні особливості
послуг
Послугу в чистому вигляді до її
придбання не можна оцінити органолептичними методами (тобто з допомогою органів
чуття). Нематеріальна послуга стає разною мірою відчутною для споживача лише
через рівень якості праці безпосередніх виконавців (табл. 1.5).
Таблиця 1.5 - Класифікація послуг за
мірою невідчутності властивостей
|
Послуги з реалізації споживчої цінності
товару
|
Послуги з використанням обладнання
|
Послуги особистої участі
|
|
Гарантії: автомобілі електроніка побутові
прилади
|
Автоматизовані: торговельні автомати миття
автомобілів
|
Некваліфікована праця: охоронці швейцари
|
|
Ремонт: післягарантійний ремонт
позагарантійний ремонт
|
Некваліфікована праця: підстригання газонів
хімічне чищення вантажоперевезення
|
Кваліфікована праця: гувернантки добір
управлінських кадрів громадське харчування
|
|
Профілактика: заміна картриджів система
вентиляції
|
Кваліфікована праця: авіалінії оператори ЕОМ
монтаж автоматичних ліній
|
Спеціалісти, магістри: юристи лікарі
маркетологи
|
За функціональною ознакою послуги,
що традиційно надаються в Україні, можна поділити на дві групи - матеріальні та
нематеріальні. До матеріальних послуг, результати яких здебільшого мають
предметну форму, належать послуги побутові, транспортні, торгові, громадського
харчування, комунальні. Вони задовольняють матеріально-побутові потреби
споживачів, сприяють економії їхнього часу. Із нематеріальними послугами
пов’язують послуги з охорони здоров’я, культури, мистецтва, туризму, фізичної
культури, спорту, освіти, санітарно-курортного обслуговування. За допомогою
таких послуг забезпечуються моральний та фізичний розвиток особистості,
збереження її здоров’я і т. ін.
Життєвий цикл товару - концепція, що
визначає послідовність періодів існування товару. Кожному етапу відповідає своя
маркетингова стратегія і своя тактика (рис.1.5).
Етап розробки товару пов'язаний зі
значними інвестиціями на створення першої неприбуткової продуктової моделі.
Конкретні стратегічні заходи цього етапу - дослідження ринку, сегментація та
розробка нових продуктів з урахуванням вимог споживачів визначеного сегмента;
прогноз-продаж на основі підрахунку місткості цього сегмента; проведення тестів
виробництва та маркетингу; підготовка та підбір персоналу.
Рисунок 1.5 - Життєвий цикл товару
Етап виведення товару на ринок -
період появи товару на ринку і поступового збільшення обсягу продажу. Збут
зростає повільно, що пояснюється затримками у виробництві, постачанні,
переломом традиційного світогляду у споживачів. Стратегічні заходи, що
допоможуть усунути незлагодженість процесу: закріплення ділових стосунків з
надійними постачальниками і розширення обсягів виробництва та маркетингових
заходів.
Етап зростання - свідчить про
визнання продукту споживачами. Появляються його модифікації та активізується
конкуренція. Починає зростати прибуток. Стратегія цього періоду повинна
орієнтуватись на перемогу в конкурентній боротьбі. Ціну необхідно зменшити з
урахуванням прибутку підприємства.
Етап зрілості (насичення). Темпи
зростання збуту на цьому етапі зменшуються, загострюється конкуренція. Для
підтримки високого рівня продажу необхідно: збільшувати зручність та
надійність; використовувати нові додатки чи складові продукту; активізувати
рекламу; акцентувати увагу споживачів на особливостях послуги, що відсутні у
конкурентів; пропонувати широкий вибір модифікацій продукту; застосовувати
різноманітні методи стимулювання збуту: знижки, купони, подарунки; формувати
громадську думку за допомогою особистих інтерв'ю в пресі; поліпшення сервісу;
пошук нових сегментів ринку.
Етап спаду або занепаду. Передбачає
скорочення збуту та відповідно прибутків. Стратегічні заходи, що супроводжують
цей етап, передбачають зняття товару з виробництва, розпродаж продукції за
низькими цінами.
Особливості товару та способів його
споживання зумовлюють різні способи перебігу життєвого циклу. Основними
чинниками, які визначають ЖЦТ, можуть бути сезонність, мода, примха тощо ( рис.
1.6).
Класична крива (бум) описує
популярний товар, що з'являється на ринку зі стабільним збутом упродовж
тривалого часу.
Крива захоплення показує швидкий
злет і падіння популярності товару.
Тривале захоплення має ті самі
характеристики, що і крива захоплення, але збут за невеликих розмірів здійснюється
довше.
Сезонна крива (крива моди)
характеризується великим обсягом реалізації на період початку сезону чи піку
моди.
Крива ностальгії стосується товару,
що знову набув популярності.
Крива провалу характеризує товар, що
взагалі не мав ринкового успіху.
Украй важливим питанням товарної
політики маркетингу є питання продовження життєвого циклу товару. Зумовлено це,
насамперед, чинниками, що пов'язані з наявними технологіями виробництва,
кваліфікацією персоналу, налагодженими каналами розподілу товарів тощо. По
суті, знімаючи товар з виробництва чи реалізації, підприємство припиняє роботу
з добре вивченим об'єктом виробничої чи комерційної діяльності та змушене
переключатися на нові види діяльності, що тягне за собою цілу низку змін, до
яких можуть бути не готовими працівники підприємства, його партнери та
споживачі.
Рисунок 1.6 Типи життєвих циклів
товару
Практика маркетингу, з метою
продовження життєвого циклу товару, використовує такі кроки:
постійне вдосконалення надійності
та зручності виробів;
використання сучасних
матеріалів у конструкції;
удосконалення
функціональних властивостей пакувальних матеріалів;
пропозицію наборів моделей
товару чи комплексів послуг для ринку;
підтримання високого рівня
післяпродажного обслуговування;
розширення спектру
застосування споживчих якостей товару;
аналіз розвитку ринку з
метою пристосування товару до мінливих уподобань споживачів;
пошук шляхів зниження цін
на товари;
широке застосування засобів
маркетингових комунікацій;
пошук і оволодіння новими
ринковими сегментами.
За умов неможливості скористатися
вищезазначеними засобами підприємство повинно визнати, що життєвий цикл товару
добігає кінця, та вжити диверсифікаційних заходів або навіть перейти до
ліквідації самого підприємства.
Кожному підприємству чи організації
задля того, щоб підтримувати рівень збуту на колишньому рівні або збільшити
його, необхідно замінювати старі товари новими, а отже, займатися їхньою
розробкою. Оскільки споживачам завжди хочеться чогось новенького, конкуренти не
шкодуватимуть сил на те, щоб задовольнити їхні запити.
Нові товари - оригінальні товари,
удосконалені варіанти та модифікації наявних товарів і нові торгові марки, які
організація розробляє силами власного відділу досліджень і розробок.
Підприємство може освоїти новий товар двома способами: шляхом придбання права
на його виготовлення та/або розробити його власними силами. У цьому випадку
існує можливість придбати: іншу компанію; патент на продукт; ліцензію - або
укласти договір про франчайзинг.
Практика маркетингу розподіляє нові
товари за ступенем їхньої новизни, для підприємства-виробника та для ринку на
шість основних категорій:
світові новинки (піонерні
товари): нові товари, поява яких веде до формування особливого ринку;
нові товарні лінії: нові
продукти, які дають змогу підприємству вперше вийти на певний ринок;
розширення наявних товарних
ліній: нові товари, які є доповненням до товарних ліній, що вже має
підприємство (нова розфасовка, наповнювачі тощо);
удосконалені та модифіковані
товари: нові товари з поліпшеними характеристиками або з вищою, на думку
споживача, цінністю, що витісняють наявні товари;
репозиційовані: наявні
товари, призначені для нових ринків або сегментів ринку;
товари за зниженими цінами:
нові товари, що мають такі ж властивості, як і їхні попередники, але коштують
дешевше.
Лише 10% усіх нових товарів є дійсно
оригінальними й можуть називатися світовими новинками. Їхні розробка та
впровадження у виробництво вимагають найбільших витрат і пов'язані з підвищеним
ризиком, оскільки вони не знайомі ні підприємству, ні ринку. Тому діяльність із
розробки нових товарів здійснюється переважно в напрямі удосконалення наявних
продуктів. Наприклад, у компанії Sony більше 80% всієї роботи з розробки нових
товарів ведеться у напрямі модифікації та вдосконалення наявних продуктів.
Розробка нових товарів - життєво
важливий чинник, що визначає майбутнє підприємства. Заходи, що становлять зміст
даного процесу, називають інноваційною політикою.
Інноваційна політика - це процес пошуку
ідеї та створення нового товару з урахуванням потреб споживача, виведення
нового товару, на ринок спостереження за тим, що відбувається з товаром на
ринку. Звідси витікає те, що інновація - це ідея, товар або технологія,
впроваджені у виробництво та представлені на ринку, які споживач сприймає як
абсолютно нові або такі, які мають унікальні властивості та нові якості, що
вперше реалізовані в певному товарі або технології та представлені на ринку.
Інноваційний процес на підприємствах
проходить по-різному і найчастіше визначається специфікою товару, ступенем його
новизни, сумою субсидованих коштів тощо. У найбільш загальному вигляді - це
процес послідовно змінюваних семи етапів: генерація ідей, відбір ідей, розробка
та перевірка концепції товару, проведення економічного аналізу, розробка
прототипу товару, ринкове тестування товару, виробництво та реалізація
продукції.
А) Генерація ідей
Генерація ідей - систематично
організований пошук ідей нових товарів. Існує багато способів генерувати
постійний потік ідей. Головні джерела ідей нових товарів - внутрішні та
зовнішні джерела.
Внутрішні джерела ідей нових
товарів: керівництво компанії, власний торговий персонал, працівники
науково-дослідницького відділу компанії, інші працівники компанії (маркетологи,
дизайнери тощо).
Зовнішні джерела ідей нових товарів:
покупці, конкуренти, дистриб'ютори, постачальники, представники консалтингових
компаній. Більшість нових ідей виникає всередині самої компанії.
Науково-дослідницький відділ пропонує передусім проекти, які з'являються в
період роботи над програмою розробки нових товарів, індивідуальні пропозиції
дослідників та інших працівників. Важливе джерело - продавці, які повсякденно
контактують з покупцем. Крім того, ідеї нових товарів можуть генерувати
споживачі та партнери підприємства, а дізнатися про них можна шляхом проведення
дослідження.
Відомо багато творчих методів пошуку
нових ідей, серед яких: мозкова атака; конференція ідей; синектика; метод
морфологічного аналізу; метод контрольних запитань; метод словесних асоціацій
та інші.
Скористатися творчими методами можна
як у межах підприємства, використовуючи інноваційний потенціал його працівників
різного фаху, так і з залученням сторонніх фахівців, аматорів або просто
потенційних споживачів.
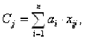
Б) Відбір ідей
Мета цього етапу - вибрати з наявних
проектів кілька перспективних, на яких надалі варто сконцентрувати увагу.
Проводять його як у межах підприємства, так і поза ними.
Для відбору ідей можуть бути
використані: чек-листи, які показують, які ризики можуть виникнути в межах
інноваційного процесу товару (технологічний ризик, ризики ринку, витрат, часу
тощо); метод оцінної шкали, що передбачає оцінку ідеї шляхом зважування їхніх
основних чинників.
Метод оцінної шкали передбачає:
формування переліку
критеріїв оцінки;
визначення ваги кожного
критерію та присвоєння експертами кожній ідеї певного балу за кожним критерієм;
здійснення загальної
оцінки.
Це може бути середньозважена оцінка
ідеї (Сj):
(1.1)
де i - номер критерію;- номер ідеї;-
вага критерію;- оцінка ступеня задоволення ідеєю j за критерієм i.
Розробка та перевірка концепції
товару
Концепція товару - ідея, розроблена
та сформульована з позиції важливих для покупця характеристик товару. Ідея
товару - загальний опис товару, який підприємство могло б запропонувати на
ринку.
Цільові аудиторії, які розглядають
концепцію товару, такі: керівники фірм - концепція описує очікування
позиціювання товару і вказує на ресурси, необхідні для досягнення бажаного
результату; науково-дослідницькі служби - концепція дає змогу оцінити технічну
можливість служби її реалізувати; рекламні агенції - концепція містить
інформацію, яку рекламна агенція повинна довести до ринку (вигоди від нового
товару).
Концепція визначає, яку потребу
задовольнятиме товар на базовому ринку, де він буде позиційований. Концепція
повинна дати відповіді на такі запитання:
) На які характеристики
товару потенційні споживачі реагують позитивно?
) Як за такими самими
характеристиками сприймають товари-конкуренти?
) Яку нішу може зайняти новий
товар з урахуванням очікувань цільового сегмента та позицій
товарів-конкурентів?
) Які засоби маркетингу слід
використати для досягнення очікуваного позиціювання?
Тестування концепції - перша
перевірка реакції на неї групи цільових споживачів, яких ознайомлюють зі
словесним описом товару або з його дослідними зразками. Інколи для тестування
достатньо словесного опису чи рисунка товару. Однак створення віртуальної
реальності підвищує надійність результатів тестування. Необхідне для тестування
обладнання може складатися з комп'ютера та сенсорного пристрою.
Після ознайомлення споживачів із
концепцією їх можна попросити поділитися своїми враженнями, надавши відповіді
на підготовлені запитання. Надані відповіді допоможуть підприємству вирішити,
яка з концепцій видається споживачам більш привабливою. Більшість підприємств і
організацій вважають за доцільне протестувати концепцію товару перед тим, як
почати його масове виробництво.
Розробка стратегії маркетингу
Після того, як вибір
найпривабливішої концепції нового товару здійснено, починається розробка
стратегії маркетингу нового товару.
Розробка стратегії маркетингу
складається з трьох основних етапів:
) Визначення цільового ринку
та позиціювання товару.
) Розробка цінової та
розподільної стратегії, маркетингового бюджету на перший рік.
) Опис стратегій окремих
елементів маркетингового комплексу.
Проведення економічного аналізу
Економічний аналіз (бізнес-аналіз) -
оцінка ймовірності того, що реальні величини обсягів продажу, частки ринку та
прибутку від продажу нового товару відповідатимуть очікуванням. Прогноз обсягів
продажу нового товару ґрунтується на аналізі обсягів продажу вже наявних на
ринку аналогічних товарів. Мінімальні та максимальні значення визначають на
діапазон ризику. Аналогічно складають прогнози прибутків і витрат з урахуванням
видатків на маркетинг, науково-дослідницькі розробки, виробництво тощо.
Отримані показники використовують для оцінки фінансової привабливості нового
товару.
Методи проведення економічного
аналізу:
аналіз беззбитковості;
порівняння прибутку;
аналіз ризику.
Аналіз беззбитковості дає можливість
визначити точку беззбитковості - кількість одиниць продукції, яку треба продати
для того, щоб покрити відповідні витрати. Під час аналізу також визначають
мінімальну ціну реалізації за заданої точки беззбитковості.
Обсяг продажу нового товару
оцінюють, використовуючи такі підходи:
експертну оцінку
(експертами можуть бути працівники відділів збуту або маркетингу);
аналіз намірів споживачів
щодо придбання товару;
аналіз розміру цільового
сегмента споживачів;
аналіз даних щодо продажу
аналогічних товарів у минулому;
контрольний продаж (оцінка
пробних і повторних купівель):
Обсяг продажу = Пробні купівлі +
Повторні купівлі · Інтенсивність (1.2)
Аналіз ризиків полягає в оцінці
рентабельності за різних рівнів обсягу продажу. Варто розглядати кілька
варіантів прогнозу, щоб наблизити його до реалій ринку.
Розробка прототипу товару
Розробка прототипу товару -
створення перших дослідних зразків. Цю роботу виконують технологічний та
науково-дослідницький відділи.
Починаючи з цього етапу, витрати на
розробку товару суттєво зростають. Робота над прототипом починається зі
створення дослідних зразків. Дослідні зразки повинні демонструвати всі переваги
технології та дизайну нового товару. У цьому разі їхнє виробництво слід
здійснювати в межах визначеного часу і витрат, які не перевищували б
відведеного бюджету. Такі прототипи випробовують у лабораторіях і польових
умовах. Їх можна виготовляти як кілька днів, так і кілька років. Окрім на!
явності всіх необхідних функціональних властивостей, виготовлений зразок
повинен справляти добре враження. Споживачам, які беруть участь у тестуванні,
надається можливість випробувати прототип і дати оцінку його характеристикам.
Ринкове тестування товару
Ринкове тестування товару, або
пробний маркетинг, - етап процесу розробки нового товару, на якому товар і
маркетингова програма проходять перевірку в умовах, близьких до ринкових.
Пробний маркетинг уможливлює випробування товару і маркетингової програми в
реальних ринкових умовах. Він демонструє реакцію покупців і посередників на
новий товар, їхню поведінку на момент купівлі-продажу, ставлення до товару, яке
формується у процесі його використання, та частоту повторних угод. Результати
пробного маркетингу дають змогу з більшою точністю спрогнозувати обсяги продажу
і прибутку.
Тестування товару в умовах ринку
може здійснюватися з використанням таких методів:
представлення товару, на
яких компанія планує продавати новий товар у майбутньому. Строк для проведення
пробного маркетингу встановлюють з урахуванням необхідності визначення
коефіцієнта повторних купівель і прогнозування обсягу продажу;
проведення контрольного
тестування ринку, яке передбачає тестування товару на моделі ринку (можливо, у
спеціально створеній панелі магазинів). У цьому разі також установлюють частоту
повторних купівель або з'ясовують, чому споживачі обмежилися лише однією
купівлею;
змодельований пробний
маркетинг - моделювання середовища покупців. Вибраним покупцям демонструють
рекламні матеріали різноманітних товарів, зокрема нового товару, що проходить
випробування. Покупців запрошують у реальний або віртуальний магазин, надаючи
їм певну суму грошей. Дослідники спостерігають за тим, як покупці купують новий
товар і товари конкурентів. За кілька тижнів можливе проведення телефонного
опитування покупців для з'ясування їхнього сприйняття товару, особливостей його
використання, намірів здійснити повторну купівлю. Останнім часом маркетологи
дедалі частіше використовують високі технології та Інтернет.
Пробний маркетинг, зазвичай,
потребує великих витрат на реалізацію. Однак їхній розмір менший порівняно зі
збитками, яких може зазнати підприємство, якщо споживач не від реагує на товар.
Виробництво та реалізація продукції
Від інформації, яку отримано під час
випробування товару в ринкових умовах, залежить, чи розпочнуть масове
виробництво нового товару. Якщо рішення позитивне, проект вступає у фазу
комерціалізації, або виведення нового товару на ринок, що потребує значних
витрат. Наприклад, упродовж першого року активного продажу продукції
підприємства, які виробляють фасовані товари, зазвичай витрачають великі кошти
на рекламу та стимулювання збуту.
Підприємство, яке виводить новий
товар на ринок, повинне визначитися з певних питань:
коли виводити новий товар
на ринок? Для цього потрібен слушний момент. Якщо новий товар призведе до
зменшення обсягів продажу інших товарів компанії, його випуск може бути
відкладений;
на який ринок вивести
товар? Новий товар може продаватися в одному місці, регіоні, на національному
або міжнародному ринку;
кому запропонувати новий
товар на першому етапі? Компанія повинна визначити покупців нового товару і
спрямувати на них маркетингові зусилля;
як виводити новий товар на
ринок? Компанія повинна мати план дій щодо виведення нового товару на ринок. На
цьому етапі маркетинговий бюджет розподіляється на заходи комплексу маркетингу
(ціна, розподіл, просування) та інші процедури з маркетингу.
На підприємстві відповідати за
розробку нових товарів можуть: відділи нових товарів; менеджери з товарів і
марок; міжфункціональні команди.
Можливі причини «комерційного
провалу» нових товарів:
дефекти товару;
помилкове визначення
ринкового попиту на новий товар;
недостатні зусилля щодо
просування товару;
фіксована ціна;
дії конкурентів, пов'язані
з появою нового товару;
помилково вибраний час
виходу товару на ринок;
виробничі проблеми.
Зниження ризику, пов'язаного з
розробкою нового товару, досягають кількома шляхами:
придбання ліцензії на
виробництво, а не розробка нового товару;
виведення товару на ринок
під назвою марки, визнаної ринком;
перепозиціювання товару;
внесення незначних змін у
товар. Якщо таке вдосконалення товару стає відчутним для споживача, воно
спроможне пожвавити попит.
Реалізація інноваційної політики
допомагає підприємству зміцнювати свої конкурентні позиції, покращувати свій
імідж. Виведення на ринок нових товарів, які задовольняють нові потреби, формує
в середовищі споживачів, партнерів і широкої громадськості образ інноваційного
підприємства, здатного негайно відреагувати на наявний і потенційний попит.
.3 Показники товарної номенклатури і
товарного асортименту
Для оцінки рівня різноманітності
продукції конкретних підприємств застосовують показники товарної номенклатури і
товарного асортименту.
Товарна одиниця - окремий товар
(набір споживчих якостей), який характеризується певними відмінними від інших
показниками: назвою, ціною, дизайном, якістю і т.д.
Товарний асортимент (товарна лінія)
- група однойменної продукції (за назвами, видами, розмірами, артикулами,
ґатунками). Як правило, група товарів певного асортименту характеризується
схожістю функціонально-корисних властивостей, особливостями виготовлення, обігу
та споживання в межах одного й того самого діапазону цін.
У торгівлі використовуються також
категорії замкненого, насиченого, мішаного та широкого асортименту (рис. 1.7).
Кожен продуцент має систематично
ревізувати асортимент і за потребою впорядковувати його. Спеціальні знижки для
споживачів полегшують розпродаж нерентабельних частин асортименту.
З метою кількісного оцінювання
товарного асортименту застосовують систему показників, які представлені на рис.
1.8.
Рисунок 1.7 - Види асортименту
Рисунок 1.8 - Варіанти товарного
асортименту
Товарна номенклатура - це
систематизований перелік усіх асортиментних груп товарів і товарних одиниць, що
їх пропонує виробник для реалізації. Основними показниками номенклатури
продукції є ширина, насиченість, глибина та гармонійність. Показник ширини дає
кількісну оцінку різноманітності продукції фірми, характеризуючи кількість
окремих (за призначенням або іншими властивостями) видів продукції, які
виготовляє підприємство. Насиченість номенклатури відбиває загальну кількість
товарів, що входять до її складу. Кількістю пропонувань кожного з окремих видів
продукції визначається глибина відповідної номенклатури. Міра подібності
товарів різних асортиментних груп за призначенням, організацією та технологією
виготовлення оцінюється показником гармонійності. Товари, подібні між собою за
функціональним призначенням, у господарській практиці об’єднуються у класи:
швейні вироби, трикотажні товари, галантерейні товари, культтовари тощо. Клас
товарів, у свою чергу, поділяється на групи, групи - на види, види - на
різновиди, різновиди - на марки, моделі, артикули.
Основні показники номенклатури дають
кількісну оцінку можливостей підприємства адаптуватися до змінних та
неконтрольованих чинників ринку. Номенклатура товарів та послуг фірми має так
органічно поєднуватися, щоб її окремі складові доповнювали одна одну. Принцип
синергізму у формуванні номенклатурного пропонування сприяє найбільш
ефективному використанню виробничих потужностей, науково-технічної бази,
збутової мережі. Повнішу якісну оцінку товарного пропонування можна дістати,
вивчивши асортимент продукції.
Рішення про формування товарного
асортименту і товарної номенклатури ухвалюють, виходячи з ситуації, що склалася
на ринку, загальноекономічної і маркетингової стратегії підприємства, його ресурсних
можливостей.
Однозначні рекомендації щодо того,
якими повинні бути товарний асортимент і товарна номенклатура, дати важко,
однак можна зазначити таке. Широкий і глибокий асортимент продукції, яка
орієнтована на запити різних груп споживачів, збільшує адаптаційні можливості
підприємства до змін ситуації на ринку і зменшує ризик нереалізації продукції,
однак у цій ситуації значно ускладнюються організація виробництва і збуту, а а
також система управління підприємством. При цьому простішим і менш ризикованим
для товаровиробника є збільшення глибини асортименту, ніж його розширення,
пов’язане з розробкою нових товарних ліній.
Поглиблення асортименту забезпечує
більший ступінь урахування специфіки запитів різних груп споживачів. На цьому
базується стратегія диференціації як однієї з двох основних конкурентних
стратегій. Іншою є стратегія лідерства за витратами, що передбачає виробництво
стандартизованих дешевих товарів.
Розширення асортименту збільшує
стійкість підприємства на ринку, особливо якщо товарні лінії значно
відрізняються за сферою використання і цільовими групами споживачів. У цьому
випадку при втраті інтересу споживачів до одних товарних ліній (наприклад, при
зміні споживацьких запитів) підприємство може виживати і розвиватися за рахунок
інших, виводячи з асортименту (модернізуючи) види продукції, що не користуються
попитом споживачів і вводячи нові (модернізуючи складові комплексу маркетингу).
Ревізія товарної номенклатури і товарної політики повинна здійснюватися
постійно і узгоджуватися з новими ринковими можливостями.
До розширення асортименту продукції
слід підходити досить обережно і враховувати такі зауваження [3,5]:
- розширення асортименту
необов'язково супроводжується наслідуванням цінностей вихідної торгової марки;
- розширювати асортимент
доцільно тоді, коли введення нового товару в асортимент збільшує цінності
вихідної марки і всього асортименту;
- цінності вихідної торгової
марки повинні підходити для нових ринків чи їх сегментів;
- розширення асортименту менш
ризиковане і затратне, ніж введення нової торгової марки, однак, як правило, є
менш прибутковим;
різні торговельні марки
мають різну еластичність, тобто здатність переносити свої цінності на нові
ринки чи сегменти.
Останніми роками в економічно
розвинених країнах у загальному обсязі продажу зростає частка послуг та
інформаційних товарів, і ці тенденції продовжують поглиблюватися, що
товаровиробникам слід брати до уваги.
.4 Товарна політика підприємства, її
сутність та модифікації
Товарна політика - це комплекс
заходів, спрямованих на орієнтацію виробництва на задоволення потреб і запитів
споживачів і отримання на цій основі прибутку.
Відповідно до концепції маркетингу
товарна політика підприємства (які товари, якої якості, у якій кількості слід
виробляти) має бути орієнтована на виробництво і просування на ринку
конкурентоспроможних товарів, що відповідають запитам споживачів, її суть -
формування ефективного з економічного погляду товарного асортименту. Товари
слід розглядати як сукупності споживчих властивостей, які повинні відповідати
запитам споживачів. У першу чергу будуть купуватися ті товари, які мають
більший ступінь такої відповідності. На основі цього визначають товари, що
мають перспективи на ринку, і ті, які слід знімати з виробництва.
Оцінку ступеня відповідності характеристик
товару потребам і запитам споживачів виконують поетапно: попередньо, під час
аналізу функціональних карт у процесі сегментації ринку; потім шляхом
порівняння його характеристик і товарів-конкурентів, а також складових
комплексу маркетингу.
Товарна політика підприємства
передбачає управління товарною номенклатурою, товарним асортиментом, окремими
товарами.
Управління товарною номенклатурою
передбачає:
- модифікацію товарної
номенклатури (створення нових чи ліквідацію існуючих асортиментних груп);
- модифікацію асортиментних
груп (витягнення чи скорочення асортиментних ліній).
Виведення на ринок нового товару
(товарної марки) є досить ризикованим, однак у випадку успіху прибуток, як
підтверджує практика, буде значно більшим, ніж при виведенні нової модифікації
товару в рамках існуючих асортиментних груп. За наявними даними [30], із
загальної кількості проектів з розробки і виведення на ринок нової продукції
зазнають невдачі 40% проектів, пов'язаних з виробництвом товарів широкого
споживання, 20% - товарів промислового призначення і 18% - послуг. При цьому
46% витрат на створення і просування на ринку припадає на товари, які так і не
знаходять попиту.
Інноватори - лідери хоча і
функціонують в умовах підвищеного ризику, але при вдалій реалізації нового продукту
формують запас «економічної міцності», який проявляється у наявності портфелю
нової конкурентоспроможної продукції і характеризується більш низькими
порівняно із середніми питомими витратами виробництва. Їхні послідовники
ризикують менше, але умови конкуренції для них більш складні, відповідно гірші
і їхні економічні показники.
Нова продукція доповнює товарний
асортимент підприємства і надає йому можливості конкурувати з продукцією інших
виробників, пропонуючи споживачам більше, ніж конкуренти, як з погляду
різноманітності товарів, так і з погляду способів і умов їх реалізації, а також
передпродажного і післяпродажного сервісу. Слід також врахувати ті обставини,
що підприємство, яке постійно здійснює технологічні і технічні зміни чи
зрушення на ринках, не буде захопленим зненацька, коли існуючий товар застаріє.
Якщо підприємство випускає більш-менш широку номенклатуру продукції, при цьому
окремі товари (асортиментні групи) перебувають на різних стадіях життєвого
циклу і оновлення продукції відбувається постійно, то практично завжди буде
забезпечене завантаження його виробничих потужностей і стабільність прибутку.
Більше того, виробництво різноманітних за призначенням, а також сферами їх
застосування товарів дозволяє при зміні кон'юнктури споживчого попиту
отримувати більш-менш стабільний прибуток по черзі за рахунок різних товарів.
Природно припустити, що при пошуку
(розробці) нової продукції, на яку варто орієнтувати роботу підприємства, у
першу чергу слід звернути увагу на існуючі на ринку товари, на які є
незадоволений попит чи очікується різке зростання попиту в найближчому
майбутньому. При цьому враховується попит, підкріплений платіжною спроможністю
фактичних чи потенційних споживачів, причому не поодиноких, а в кількостях, що
забезпечують прибуткову роботу підприємства-виробника хоча б у найближчому
доступному для аналізу періоді.
Рішення про модифікацію товарної
номенклатури належать до стратегічних.
При цьому застосовуються такі
методологічні підходи і методичні інструменти [32]:
- SWOT-аналіз.
Базується на зіставленні ринкових можливостей і загроз (факторів зовнішнього
середовища, що сприяють розвитку чи ускладнюють його) з сильними та слабкими
сторонами діяльності підприємства (внутрішнє середовище). У результаті
виділяють ті види діяльності і товари, для впровадження яких є як зовнішні, так
і внутрішні можливості [17].
- GАР-аналіз.
Надає можливість на основі дослідження фактичних та потенційних потоків
прибутку від виробництва та реалізації різних видів продукції виділити сегменти
ринку, які можна заповнити новою продукцією.
Стратегічна модель Портера.
Дозволяє виявити і оцінити конкурентні переваги конкретних підприємств чи видів
діяльності (товарів) залежно від частки ринку, що вони займають, і рівня їх
рентабельності. На основі цього здійснюється вибір стратегій розвитку: цінове
лідерство (досягнення найнижчих витрат і відповідно найнижчих цін на ринку);
диференціація (товари повинні відрізнятися від товарів конкурентів і бути
орієнтовані на конкретні групи споживачів); концентрація зусиль на один або
декілька вибіркових сегментів ринку (логічне поєднання перших двох стратегій).
Матриця Бостонської
консультативної групи. За її допомогою, порівнюючи відомі чи прогнозовані
частки ринку і темпи їх зростання для кожного з видів продукції підприємства,
оцінюють ефективність їх виробництва та реалізації і визначають варіанти
подальшого розвитку: стратегія розвитку (фінансування певного виду діяльності з
метою збільшення ринкової частки); стратегія підтримання конкурентних переваг
(відстоювання ринкових переваг з метою збереження своєї частки ринку);
стратегія збирання урожаю (підтримання тих видів діяльності, які ще можуть
давати прибутки); стратегія елімінації (припинення виду діяльності, який не є
перспективним і не дає прибутків).
Матриця Мак Кінсі і
Дженерал Електрик. На основі порівняння привабливості фактичних чи потенційних
ринків і конкурентоспроможності конкретних видів діяльності виділяють ті з них,
розвивати які найбільш доцільно. Для цього застосовують такі стратегії
розвитку: зростання; підтримання конкурентних переваг; збирання урожаю;
вибіркового розвитку (спеціалізація на найбільш перспективних видах
діяльності); пошук ніші (орієнтація діяльності на задоволення специфічних
потреб невеликих груп споживачів); елімінації.
- SТР-аналіз
(сегментація ринку). Дозволяє вибрати цільові ринки (сегменти чи ніші), на яких
конкретне підприємство зможе максимально проявити свої порівняльні конкурентні
переваги в конкретних ринкових умовах.
З розглянутих підходів доцільно
використовувати: на корпоративному рівні - в основному SWOT-аналіз;
на бізнес рівні - GАР-аналіз,
стратегічну модель Портера, матрицю Бостонської консультативної групи, матрицю
Мак Кінсі і Дженерал Електрик; на товарному рівні - в основному SТР-аналіз.
Процес маркетингового стратегічного
управління відбувається відповідно до вимог системного підходу - від загального
до окремого, при цьому через зворотні зв'язки відбувається уточнення
(коригування) стратегій більш високих рівнів. Тобто процес є ієрархічним і
циклічним, він може містити кілька ітерацій (їх кількість визначається на
основі розрахунків економічної доцільності).
Розглянемо аналіз портфеля бізнесу
підприємства (портфеля замовлень) за допомогою матриці Бостонської
консультативної групи (рис. 1.9).
Рисунок 1.9 - Матриця Бостонської
консультативної групи
В її основу покладено такі
твердження:
із збільшенням ринкової
частки підприємства зменшуються питомі витрати виробництва і зростає прибуток
як результат економії на масштабах виробництва;
чим більша швидкість
зростання ринку, тим більші можливості для розвитку.
На вертикальній осі відкладаємо
прогнозні значення зростання (зменшення) темпів зростання ринку - максимальне і
мінімальне. Горизонтальна лінія ділить цей діапазон навпіл. На горизонтальній
осі відкладаємо діапазон змін відносної частки ринку підприємства порівняно з
конкурентом, який займає найбільшу частку ринку. Вертикальна лінія проходить
через ту точку цього діапазону, починаючи з якої спостерігається зменшення
питомих витрат, або через точку з відносною часткою ринку, що дорівнює одиниці.
Для товарів - «зірок» характерним є
швидке зростання обсягів збуту. Витрати на збут значні, однак і доходи досить
значні, оскільки ці товари є лідерами на своїх ринках. Такі товари добре
продаються, але не дають великих прибутків. У подальшому динаміка їх збуту
уповільнюється, і вони переходять у розряд «дійних корів», а якщо при цьому
також скорочується їхня частка ринку (втрачається конкурентоспроможність) - у
«розряд собак». Відносно товарів -«зірок» застосовують стратегію підтримання
конкурентних переваг.
Для «дійних корів» характерною є
низька динаміка зростання збуту. При цьому їх частка ринку велика, і вони дають
великі доходи, розмір яких значно перевищує витрати на виробництво і збут.
Отримувані великі прибутки можуть бути використані на модернізацію товарів або
на розроблення нових. Це найбажаніший вид товарів. Відносно них застосовують
стратегію збирання урожаю.
Товари з розряду «собак» є
нежиттєздатними (займають незначну частку ринку, динаміка зростання ринку
незначна), їх слід виводити з ринку (стратегія елімінації), якщо, звичайно,
немає перспектив їх розвитку. Збереження цих товарів потребує значних витрат.
Управління асортиментною групою
(товарною лінією) передбачає встановлення її оптимальної довжини (глибини
асортименту) і складу. Товарна лінія є надто довгою, якщо скорочення кількості
товарних одиниць приводить до збільшення прибутку. І надто короткою, якщо
розширенням кількості товарних одиниць можна збільшити прибуток. Довжина
товарної лінії залежить від стратегічних цілей підприємства. Так, підприємства,
що намагаються розширити свою частку ринку або шукають нові ринки, мають довгі
товарні лінії. Підприємства, що прагнуть до високої прибутковості, мають
короткі товарні лінії [9].
Товарні лінії витягують як вгору
(перехід нових моделей чи модифікацій товарів у рамках товарного асортименту до
більш дорогих цінових сегментів), так і вниз (перехід до дешевших цінових
сегментів). Довжина товарної лінії може бути збільшена також додаванням нових товарних
одиниць у рамках існуючого цінового діапазону. У будь-якому випадку кожна нова
товарна одиниця повинна мати чіткі характерні особливості і відповідати
потребам ринку.
Зменшення глибини товарного
асортименту (довжини товар¬ної лінії) проводять за наявності збиткових чи
малодохідних і безперспективних товарних одиниць, при дефіциті виробничих
потужностей.
Товарна лінія також повинна
періодично оновлюватися, щоб не відставати від конкурентів і підтримувати
інтерес покупців до своєї продукції, наприклад, таке оновлення регулярно
проводять виробники мікропроцесорної техніки, програмного забезпечення для
комп'ютерів, бритви для гоління «Жилет», зубні щітки тощо.
Просування на ринок товарної лінії
відбувається не відразу. Звичайно головну увагу приділяють одній-двом найбільш
конкурентоспроможним товарним одиницям, які відіграють свого роду роль лідерів,
привертаючи увагу до себе і всієї товарної лінії, прокладаючи дорогу іншим
товарам.
Вивчення товарної номенклатури
передбачає аналіз частки кожної товарної одиниці в загальних обсягах продажу і
прибутків у межах товарної лінії (рис. 1.10).
Дослідження показують, що в першій і
шостій товарних одиницях обсяги прибутку відповідають обсягам продажу, у другій
і третій - обсяги прибутку відстають від обсягів продажу, у п'ятій ( рис. 1.8)
і сьомій - обсяги прибутку випереджають обсяги продажу. Із цього випливає, що
найкращі позиції займає товарна одиниця сім, яка при обсягу продажу у 11%
забезпечує 26% загального прибутку товарної лінії. Разом з товарною одиницею 1 вона
забезпечує 56% прибутку. Якщо ці товарні одиниці будуть витіснені з ринку, то
підприємство втратить більшу частину прибутку. Якщо ж будуть витіснені товарні
одиниці 1 і 2, то обсяг продажу зменшиться на 50%. Значна частка продажу і
прибутку окремих товарних одиниць свідчить про вразливість товарної лінії. Тому
цим товарам слід приділяти особливу увагу і шукати шляхи виходу із такої
ситуації, наприклад, шляхом витягування чи оновлення товарної лінії.
Рисунок 1.10 - Частка товарних
одиниць в обсягу продажу і прибутку в межах товарної лінії, %
Крім того, на четверту товарну
одиницю припадає всього 5% продажу і 5% прибутку. Якщо цей товар не має
суттєвих перспектив розвитку, то його можна зняти з виробництва, скоротивши таким
чином довжину товарної лінії.
Отже, отримана в результаті аналізу
рис. 1.10 інформація може бути використана для перегляду складу товарних
одиниць і, відповідно, модифікації асортиментної групи (товарної лінії).
Аналогічний аналіз може бути
проведений і для всієї товарної номенклатури підприємства.
Необхідними також є виявлення,
аналіз і оцінка позицій товарної лінії і окремих товарних одиниць відносно
продукції конкурентів.
Отримана інформація може бути
використана для визначення цільових сегментів ринку як існуючих, так і нових
товарних одиниць, а також для розробки ринкової стратегії товарної лінії.
Одним із найбільш ефективних
способів підвищення ефективності товарної політики є диверсифікація. Вона
дозволяє зменшити ризики, пов'язані з кон'юнктурними коливаннями, а також
інноваційні ризики, ефективно використовувати виробничі потужності і вільні
капітали.
Загалом виділяють такі стратегії
диверсифікації.
Узагальнено маркетингові стратегії
диверсифікації можна відобразити у вигляді матриці (табл. 1.6)
Таблиця 1.6 Маркетингові стратегії
диверсифікації
|
Ринки
|
Товари
|
|
товари, що виробляються
|
нові
|
|
Наявні
|
стабілізація позицій
|
диверсифікація за товарами
|
|
Нові
|
диверсифікація за ринками
|
повна диверсифікація
|
Стратегія концентричної
(горизонтальної) диверсифікації. Підприємство, яке її застосовує, додає до
своєї номенклатури нові види продукції, які виробляються з використанням тих
самих технологій і потребують аналогічних маркетингових програм. Так,
підприємство, що виготовляє будівельні матеріали, наприклад, дошки, брус,
фанеру та інші матеріали, може виробляти з них меблі.
Стратегія вертикальної
диверсифікації полягає в тому, що існуюча товарна номенклатура доповнюється
продукцією попередніх та наступних ступенів. Наприклад, виробництво напоїв
доповнюється виготовленням пляшок або створення мережі власних кафе та барів.
Латеральна (поздовжня)
диверсифікація. Підприємство, що її застосовує, працює в нових галузях, які не
збігаються з його основною діяльністю, відповідно немає жодного зв’язку між
традиційною і новою продукцією. Однак така диверсифікація є досить складною. Її
здійснюють підприємства зі значним науково-технічним, технологічним і
фінансовим потенціалом, які мають гнучке обладнання і технології,
висококваліфіковані кадри (особливо управлінські)
В усіх випадках диверсифікація має
на меті досягнення максимального прибутку від наявних товарів та ринків,
розширення збуту, збагачення асортименту товарів, що виробляються, зменшення
ризику.
2. АНАЛІЗ ВИРОБНИЧО-ГОСПОДАРСЬКОЇ
ДІЯЛЬНОСТІ ТОВ «МОРОЗКО»
.1 Моніторинг ринку виробництва та
споживання замороженої плодоовочевої продукції в Україні та світі
В ефірі ринку плодоовочевого
заморожування вже третій рік лунає цифра 5000 тонн, яка характеризує його
ємність. Однак розрахунки на підставі експертних оцінок дають підставу вважати,
що сьогодні величина ринку складає не менше 7000 тонн. Але і ця цифра не є
повною, тому що відбиває винятково сегмент роздрібних продажів - тільки частину
загальної величини ринку і, притім, меншу.
Незважаючи на те, що кількість споживачів
заморожених овочів, фруктів, ягід і сумішей не досягає поки і 15% населення, за
цей сегмент йде завзята боротьба українських і закордонних виробників. Як і
раніше, більшість покупців схиляється у своєму виборі до купівлі імпортного
товару, і лідирують тут польські та французькі бренди. При цьому Україна
вигідно вирізняється від сусідів по СНД, де імпортна продукція займає більшу
частку ринку (рис.2.1).
Рисунок 2.1 - Співвідношення
місцевої й імпортної продукції на ринках деяких країн СНД
На даний час не можна переоцінити
роль сучасних торгових форматів у реалізації плодоовочевого заморожування -
через мережі супермаркетів продається близько 90% фасованого товару. Для
операторів ринку гідно закріпитися в роздробі - значить зробити собі ім'я та
процвітати.
За даними дослідження Capital
Research Group, основні споживачі цих продуктів - люди із середнім доходом. Для
населення з низьким рівнем доходів це занадто дорогі продукти. А ті, у кого
доходи вищі за $700 на людину, можуть завжди дозволити собі купувати свіжі
овочі. Відповідно до опитувань компанії SWIFT, ця група визначається не тільки
рівнем доходів, але і віком від 25 до 55 років. Також варто відзначити, що 84%
групи складають жінки (рис. 2.2)
Рисунок 2.2 - Динаміки купівельного
інтересу до заморожених овочів і фруктів у залежності від віку
Середня частота купівлі заморожених
овочів і фруктів складає 13 пачок на одного постійного покупця на рік. А
ключовим мотивом, під дією якого люди купують продукти заморожування, є зовсім
не багатство на вітаміни в зимовий період, як вважалося раніше, а швидкість і
легкість приготування (рис.2.3).
Споживачами плодоовочевого
заморожування є жителі великих (з населенням від 500 тис. чоловік) міст,
переважно промислового південного сходу країни. І, звичайно, столиця. На долю
Києва припадає третина українського ринку заморожування.
Рисунок 2.3 - Основні мотиви для
купівлі плодоовочевого заморожування
Український ринок заморожених плодів
зберігає дуже високі темпи зростання - близько 30% на рік, що пов'язано зі
зростанням споживчого попиту. Останній обумовлений декількома причинами:
по-перше, прискорюється темп життя. По-друге, зростає платоспроможність населення,
по-третє, розвивається тяга до здорового харчування. Обсяг споживання
плодоовочевого заморожування зростає не тільки вглиб, але і вшир. З'являються
нові гравці, з метою утримання лідируючих позицій на ринку виробники розширюють
асортимент своєї продукції: на даний час одразу кілька компаній готують до
виведення на ринок нові торгові марки в сегменті "середній", а також
продукцію класу "преміум".
Попит на заморожені овочі та фрукти
зазнає значних сезонних коливань - улітку споживчий попит падає в 2-3 рази. На
зимові та перші весняні місяці припадає пік продажів: у березні-квітні
(позначається брак і дорожнеча свіжих овочів на прилавках), потім відбувається
значне зниження в серпні-вересні (новий врожай свіжих овочів), з жовтня знову
розпочинається зростання попиту (рис.2.4).
Рисунок 2.4 - Сезонні коливання
попиту на заморожені овочі, фрукти та ягоди
Слід зазначити, що глибина спаду
обсягів продажів заморожених овочів у літній період постійно зменшується, тобто
частка споживачів цих продуктів зростає не тільки в сезон пікового споживання,
але й у період спаду.
Аналіз переваг споживачів
плодоовочевого заморожування показав цікаві дані: для 77% покупців не має
значення торгова марка продукції. А це значить, що головною зброєю конкуренції
може стати тотальна присутність у торгових точках.
Річне споживання замороженої
рослинної продукції в розвинених країнах світу перевищує 40-100 кг в рік на
душу населення. Лідерами у споживанні є Великобританія, Німеччина, Франція.
Питому частку країн-лідерів у загальному обсязі споживання замороженої
плодоовочевої продукції наведено на рис 2.5
Серед виробників лідером на
українському ринку замороженої плодоовочевої продукції є польська компанія
Hortex. Польські виробники мають найбільшу частку ринку (71,7%) і традиційно
займають нішу середніх за якістю продуктів, орієнтуючись на споживачів із
середніми доходами [14].
Рисунок 2.5 - Питома частка країн
лідерів у загальному обсязі споживання замороженої плодоовочевої продукції, %.
В Польщі розвиток холодильного
консервування пов'язують, перш за все, з особливостями внутрішнього ринку. Його
великі потенційні можливості засновані на зростаючій можливості споживачів.
Річне споживання заморожених плодів і овочів в Польщі складає близько 4 кг на
людину, тобто 1/5 частину середнього показника по Євросоюзу або 1/12 споживання
замороженої продукції в Данії. Приблизна структура споживання така: на долю
заморожених овочів припадає 2,0-2,4 кг, тобто 50-60%, плодів і ягід - 25%,
решту поляки споживають в складі інших продуктів.
Загальний обсяг пропозиції
замороженої продукції у Польщі визначається в основному власним виробництвом.
Серед відомих польських компаній по
виробництву замороженої плодоовочевої продукції можна відмітити фірми Hortex і
Zgoda.
В останні роки в Європі
спостерігається помітне зростання попиту на екологічно чисті продукти
харчування, особливо для дитячого харчування. Ökohof
- під такою торговою маркою німецьке підприємство
Ardo випускає заморожену екологічно чисту продукцію. Асортимент дитячого
харчування представлено цвітною капустою, молодими зеленими бобами і квасолею,
кукурудзою, зеленим горошком, листям зеленого салату, морквою сорту “картопля”.
Крім того, під назвою "біопродукти" випускаються продукти, весь цикл
вирощування яких здійснюється в екологічно чистих умовах.
Як свідчать дані інформаційних
джерел, в Німеччині споживання замороженої плодоовочевої продукції у 2011 році
порівняно з 2009 р. підвищилося: на 3% овочів, 2,2% - плодів, 5% -
картоплепродуктів. Структуру споживання замороженої плодоовочевої продукції в
Німеччині наведено у табл.2.1.
Таблиця 2.1 - Структура споживання
замороженої плодоовочевої продукції в Німеччині
|
Заморожені продукти
|
2009р.
|
2011р.
|
|
Кількість, тонн
|
Питома частка,%
|
Кількість, тонн
|
Питома частка,%
|
|
овочі
|
430900
|
42
|
446412,4
|
50,09
|
|
плоди
|
60700
|
7
|
62096,1
|
6,96
|
|
картоплепродукти
|
357600
|
51
|
382632
|
42,95
|
Французька компанія Bonduelle є
визнаним лідером по переробці овочів. На сьогодні Bonduelle має в своєму
асортименті консервовані овочі, заморожені овочі, готові страви. Асортимент
плодоовочевої продукції французької компанії Bonduelle представлено у табл.
2.2.
Таблиця 2.2 - Асортимент
плодоовочевої продукції французької компанії Bonduelle
|
Група плодоовочевих товарів
|
Питома частка у структурі виробництва,%
|
Питома частка реалізації в Європі,%
|
|
Консервовані овочі
|
52
|
19,5
|
|
Заморожені овочі
|
30
|
11
|
|
Готові страви з овочів
|
18
|
10
|
Виробничі потужності компанії
Bonduelle розташовані в Західній Європі, Центральній і Східній Європі, а також
в Африці і Південній Америці [16].
Початок випуску заморожених овочів
Bonduelle припадає на 1968 рік, коли у місті Естре (Франція) було введено в дію
перший завод по їхньому виробництву.
Крім того, Bonduelle продовжує
розвивати свою діяльність у сфері суспільного харчування. В Європі, наприклад,
компанія є найбільшим постачальником овочів для закладів громадського
харчування. Відомо, що частка Bonduelle в цьому сегменті ринку складає 10,7%
[17].
Отже, сьогоднішній попит на
заморожені овочі та фрукти задовольняється тільки на 60%. Тобто, на цьому ринку
ще місця вистачить усім бажаючим морозити плодоовочеву продукцію. Тому вже
найближчим часом до вже відомих брендів приєднаються ще кілька виробників. Це
тому, що, аби розпочати випуск свіжоморожених овочів, фруктів, ягід, ―
вхідний
поріг складе до $100 тис., при достатньо високій рентабельності (40%) і великі
перспективи експорту в Європу та Росію.
.2 Аналіз організаційної структури
та фінансового стану підприємства
ТОВ «Морозко» працює на ринку з
2009р у сфері переробки (заморожування свіжих овочів та фруктів) та збуту
готової продукції.
Організаційна структура ТОВ
«Морозко» (рис.2.6) є лінійно-функціональною чи, згідно класифікації Р.Л.
Дафта, високою вертикальною функціональною структурою.
Така структура має наступні переваги:
Уніфікована та чітка
система взаємодії функцій та підрозділів підприємства;
Уніфікована система
керівництва - один керівник керує усією сукупністю бізнес-процесів, які мають
єдину мету;
Чітко виражена
відповідальність;
Найбільш швидка реакція виконавців
на прямі вказівки керівництва.
Рисунок 2.6 - Організаційна
структура підприємства
У той же час дана структура має і
недоліки:
Відсутність ланок, які
займаються питаннями стратегічного планування домінування оперативних проблем
над стратегічним плануванням та розвитком;
Тенденція до бюрократизації
при рішенні проблем, які потребують участі декількох підрозділів;
Відсутність гнучкості до
змін зовнішньої та внутрішньої ситуації;
Різні, але підпорядковані
єдиній оцінці критерії ефективності та якості роботи підрозділів і організації,
що не дає можливості диференціювати та визначити вклад кожного підрозділу
об’єктивно;
Велика кількість рівнів
управління;
Перенавантаження керівників
верхнього рівня;
Підвищення залежності
результатів роботи організації від кваліфікації, особистих та ділових якостей
головного управлінського персоналу.
Проаналізуємо фінансово-економічні
показники, які відображають ефективність організації виробництва продукції у
відповідності з асортиментом та результати діяльності підприємства у цілому -
ліквідність, платоспроможність, фінансову стійкість та фінансові результати.
Розрахунки, які було проведено
показують, що у цілому підприємство можна признати платоспроможнім, а баланс
підприємства ліквідним. Однак необхідно звернути увагу на динаміку окремих
коефіцієнтів.
Так загальний показник
платоспроможності на протязі всього періоду, що аналізується не перевищує
значення 0,53. Тобто усі активи, які належать ТОВ «Морозко», покривають 50% усіх
зобов’язань, при наявності позитивної тенденції. Коефіцієнти поточної
ліквідності, абсолютної ліквідності, критичної оцінки (миттєвої ліквідності)
знаходяться у межах значень, що рекомендуються. Негативними моментами, що
визивають необхідність нарощування ресурсної бази для розширення діяльності за
умов обмеженості власних коштів фінансування є:
Недостатність частки
зворотних активів у загальній сумі активів підприємства;
Негативне значення
коефіцієнту забезпечення власними джерелами фінансування, бо сума необоротних
активів більше суми власного капіталу підприємства.
Фінансова стійкість - це
раціональний стан фінансових ресурсів, їх розподіл та використання, які
забезпечують розвиток підприємства на основі зростання прибутку і капіталу при
збереженні платоспроможності та кредитоспроможності в умовах допустимого рівня
ризику. Розрахунок показників фінансової стійкості підприємства ТОВ «Морозко»
наведено у табл. 2.3
Таблиця 2.3 - Аналіз ліквідності та
платоспроможності підприємства ТОВ «Морозко» за період 2009-2011 роки
|
Показник
|
2009р
|
2010р.
|
Відхилення за період
|
2011р.
|
Відхилення за період
|
|
|
|
Абс.
|
%
|
|
Абс.
|
%
|
|
1
|
2
|
3
|
4=3-2
|
5=4/2х100
|
6
|
7=6-3
|
8=7/3х100
|
|
Загальний показник платоспроможності
|
0,44
|
0,42
|
-0,02
|
-4,04
|
0,53
|
0,11
|
26,47
|
|
Коефіцієнт абсолютної ліквідності
|
0,29
|
0,25
|
-0,03
|
-10,98
|
0,45
|
0,19
|
76,12
|
|
Коефіцієнт критичної оцінки
|
0,61
|
0,61
|
0,0
|
0,0
|
0,92
|
0,31
|
50,39
|
|
Коефіцієнт поточної ліквідності
|
2,68
|
2,8
|
0,13
|
4,7
|
1,87
|
-0,93
|
-33,27
|
|
Коефіцієнт маневреності капіталу, що
функціонує
|
1,24
|
1,22
|
-0,02
|
-1,64
|
1,09
|
-0,13
|
-10,31
|
|
Частка зворотних коштів в активах
|
0,26
|
0,25
|
-0,01
|
-3,44
|
0,28
|
0,04
|
14,44
|
|
Коефіцієнт забезпеченості власними коштами
|
-0,73
|
-0,79
|
-0,06
|
7,70
|
-0,36
|
0,43
|
-54,59
|
|
Коефіцієнт капіталізації
|
0,80
|
0,70
|
-0,10
|
-12,74
|
0,63
|
-0,07
|
-10,37
|
|
Коефіцієнт забезпеченості власними джерелами
фінансування
|
-0,73
|
-0,79
|
-0,06
|
7,70
|
-0,36
|
0,43
|
-54,59
|
|
Коефіцієнт фінансової незалежності
|
0,55
|
0,56
|
0,002
|
0,34
|
0,61
|
0,06
|
10,37
|
|
Коефіцієнт фінансування
|
1,24
|
1,25
|
0,01
|
0,77
|
1,59
|
0,34
|
26,87
|
|
Коефіцієнт фінансової стійкості
|
0,90
|
0,91
|
0,01
|
0,83
|
0,85
|
-0,06
|
-6,94
|
|
|
|
|
|
|
|
|
|
|
|
|
Проведений аналіз показує, що
фінансову стійкість підприємства можна признати достатньою.
Аналіз фінансових результатів
підприємства за період 2009 - 2011 роки наведено у табл. 2.4.
Таблиця 2.4 - Аналіз фінансових
результатів ТОВ «Морозко» за 2009-2011 роки
|
Показники
|
2009р.
|
2010р.
|
Відхилення за період
|
2011р.
|
Відхилення за період
|
|
|
|
Абс.
|
%
|
|
Абс.
|
%
|
|
1
|
2
|
3
|
4=3-2
|
5=4/2х100
|
6
|
7=6-3
|
8=7/3х100
|
|
Дохід, тис. грн
|
64135
|
72155
|
8020
|
12,50
|
75847
|
3692
|
5,12
|
|
Собівартість, тис. грн.
|
26191
|
30490
|
4299
|
16,41
|
34067
|
3577
|
11,73
|
|
Валовий прибуток, тис. грн.
|
37944
|
41665
|
3721
|
9,81
|
41780
|
115
|
0,28
|
|
Чистий прибуток, тис. грн.
|
13917
|
15090
|
1173
|
8,43
|
15558
|
468
|
3,10
|
|
|
|
|
|
|
|
|
|
|
На основі виконання аналізу можливо
зробити наступні висновки. У підприємства спостерігається поступове зростання
фінансових результатів діяльності на протязі всього періоду, що аналізується,
що є позитивним моментом, однак простежується явна тенденція зниження рівня
прибутку за рахунок зростання собівартості продукції. За 2011 рік зростання собівартості
порівняно з 2010 роком склало 11,7%, при зростанні доходу на 5,1%, тобто
підприємство понесло витрат більше ніж отримало доходу пропорційно цим
витратам. Це пов’язано в першу чергу з необхідністю розширяти діяльність ТОВ
«Морозко» та збільшувати рівень витрат на маркетинг та стимулювання збуту
продукції.
Загальним підсумком аналізу
фінансових результатів є розрахунок відносних показників рентабельності, який
свідчить про загальну ефективність діяльності підприємства ТОВ «Морозко» за
період, що аналізується. Аналіз показників рентабельності та їх динаміка
представлені в табл.2.5
Таблиця 2.5 - Аналіз рентабельності
ТОВ «Морозко» за період 2009-2011 р.р
|
Показник
|
2009р.
|
2010р.
|
Відхилення за період (+; -)
|
2011р.
|
Відхилення за період (+; -)
|
|
Рентабельність продажів
|
28,12
|
28,12
|
0,00
|
27,32
|
-0,80
|
|
Бухгалтерська рентабельність
|
27,41
|
25,98
|
-1,43
|
27,38
|
1,39
|
|
Чиста рентабельність
|
21,70
|
20,91
|
-0,79
|
20,51
|
-0,40
|
|
Рентабельність власного капіталу
|
22,61
|
18,81
|
-3,80
|
16,59
|
-2,22
|
|
Рентабельність активів
|
48,78
|
41,50
|
-7,28
|
35,86
|
-5,64
|
З табл. 2.5 видно, що показники
рентабельності підприємства мають стабільну динаміку; деякі зниження показників
рентабельності продажів (-0,8) та чистої рентабельності (-0,4) пов’язано з тим,
що підприємство понесло більше витрат ніж отримало виручки пропорційно цим
витратам. Збільшення показника бухгалтерської рентабельності (1,39) у 2011 році
пов’язано з зростанням інших доходів порівняно з іншими витратами. Зниження
показника рентабельності власного капіталу підприємства (-2,22) та рентабельності
активів (-5,64) пов’язано з тим, що чистий прибуток має менший темп зростання
на протязі всього періоду, що аналізується у порівняні з темпами росту статей
капіталу і активів підприємства.
Аналіз, що було виконано показав, що
підприємство ТОВ «Морозко» розвивається стабільно, нарощує доходність та
прибутковість своєї діяльності, має можливості для подальшого росту і
розширення масштабів збуту продукції.
.3 Аналіз конкурентів підприємства
ТОВ «Морозко»
Виробництво заморожених овочів і
фруктів - крок у перед у розвитку технології консервування. Метод заморожування
дозволив виробляти високоякісну продукцію відразу після збирання овочів,
фруктів і грибів, зберігаючи при цьому корисні для організму людини речовини.
Поживна цінність, кількість вітамінів і мікроелементів в заморожених овочах,
фруктах та грибах практично відповідають кількості цінних речовин у свіжій,
недавно зібраної продукції.
Вперше розфасовані овочі та фрукти
надійшли в продаж в 1930 році. Цей вид продукції швидко завоював популярність у
всьому світі.
Щоб отримати заморожений продукт
високої якості, необхідно використовувати якісну вихідну сировину. У процесі
виробництва з'ясувалося, що далеко не всі овочі, фрукти, ягоди та гриби
підходять для заморожування. На сьогоднішній день ведеться робота по відбору
підходящих для заморожування сортів плодоовочевої продукції. Так, з величезного
кількості сортів горошку, для заморожування були відібрані лише кілька сортів.
Виробництво заморожених овочів і
фруктів включає:
сортування та відбір продуктів вищої
якості;
попередню обробку продуктів - овочі,
фрукти, гриби очищають, подрібнюють, бланшируют і т.д.
плодоовочеву продукцію миють,
упаковують і заморожують.
Найчастіше весь цикл заморожування
продукції здійснюється протягом чотирьох годин після збору врожаю.
Заморожені з дотриманням
технологічних норм овочі та фрукти по живильній цінності і смаковим якостям не
поступаються свіжої плодоовочевої продукції, і допомагають заощадити час
приготування їжі.
Провідні українські
підприємства-морозильщики
"Ольвіта”, Київська область
"Ваттюс”, Львівська область
"Арті”, Харків
"Краса Херсонщини”, Херсонська
область
"Сім-Сім”, Тернопіль
"Поділля-Обст СУАП”, Вінниця
"Браво”, Київ
"Евроайс”, Дніпропетровськ
"Цетера”, Луцьк
"Калина”, Ковель
"Укрпродконтракт”, Львів
"Лісний дар”, Закарпатська
область
ТОВ "Ольвіта” засновано в 2003
році голландською фірмою Olviya Group B.V. У 2004 році підприємство почало
випускати заморожені овочі, фрукти, ягоди під торговою маркою "Ольвіта”. У
2005 році став у стрій реконструйований виробничий комплекс в селі Щасливе
Бориспільського району Київської області (за 7 км від столиці), який зайняв 1,4
га. Комплекс включає до себе склад на 1000 тонн свіжої продукції, холодильну
камеру зберігання і цех попереднього обробітку сировини, тунель заморожування
(пропускна здатність 4 тонни продукції за годину), цех обробітку, камеру
зберігання готової замороженої продукції місткістю 2000 тонн. Загальна площа
території "Ольвіти” - 3,2 га.
Прогресивна технологія
"шокового” заморожування дозволяє морозити сировину за 20-35 хвилин при
температурі мінус 35-40°С. Завдяки frost-технології, зберігається 75-80%
вітамінів, а також первинна зовнішня структура і смак фруктів та ягід.
На сьогодні в асортименті - близько
50 найменувань плодоовочевої продукції. Підприємство активно розбудовується.
Крім перерахованого, "Ольвіта” незабаром матиме морозильник на 10000 тонн
і спеціальний термінал для передреалізаційної підготовки готової продукції,
розрахований на 12000 тонн.
Компанія «Калина» - українська
компанія, заснована 15 травня 1997 р. у місті Ковелі, Волинської області.
Основним видом діяльності є заготівля та реалізація дикорослих та культурних
ягід і грибів та первинна їх обробка, оптова торгівля сільськогосподарською продукцією,
замороженими фруктами, замороженими овочами.
Комапнія «Калина» ТзОВ за роки свого
існування впевнено нарощує темпи виробництва, експортер замороженої продукції
до більше як 10 країн Європи.
Продукти компанії «Калина»ТзОВ
вирощені та заготовлені на території України (не є імпортовані та вирощені за
межами України.). Всі продукти - заморожені фрукти, заморожені ягоди, гриби,
овочі - БЕЗ ГМО. Асортимент замороженої продукції з 1997 - 2012 розширився з 7
позицій до 102.
Цікавими для споживача стали новинки
компанії:
Овочево - грибні суміші з грибами
лисичками, польськими грибами, маслюками , білими грибами.
Фруктово-ягідні суміші стали
незамінними для приготування компотів , десертів, та солодощів.
«Компотне асорті», Фруктова суміш
«Вітамінка», «Джерело здоровя», та інші.
Відомі в Україні продукти Компанії
«Калина» ТзОВ під Торговими марками ТМ«Вишиванка», ТМ «Соломійка», ТМ «Лісова
зірка» ,заповнюють полиці супермаркетів всіх регіонів України.
«Калина» ТзОВ має овочесховище, яке
може зберігати одночасно 2000 тон свіжих фруктів і овочів. Зберігання в
газовому середовищі.
За роки свого існування компанія
зарекомендувала себе як стабільний і надійний суб'єкт господарської діяльності,
як в межах українського національного ринку, так і закордоном. Ще в 2000 р.
була придбаний перший холодильна камера виробничого приміщення 500 тон
зберігання, пізніше було добудовано і оснащено холодильними машинами для
розширення можливостей об'єкта. І вже сьогодні холодильні потужності
підприємства є надзвичайно великими і складають: 2 тунелі шокової заморозки -
потужністю заморожування продукції до 60 тон на добу кожен. Потужності для
зберігання замороженої продукції складають 2000-3000 тон одночасного
зберігання.
Компанія «Калина» постачає сировину
з власних земель, з яких отримують, 1000 тон овочів, 800 тон суниці, 100 тон
малини і близько 1000 тон інших фруктів і ягід.
Товариство з обмеженою
відповідальністю "Цетера" - молодий український виробник заморожених
овочів та фруктів. Наявність у підприємства сучасної бази заморожування і
зберігання надає доступ українським та закордонним споживачам до свіжої та
швидкозамороженої плодоовочевої продукції протягом усього року.
Компанія "Цетера" (Луцьк)
використовує технологію найефективнішого зберігання овочів та фруктів - шокове
(глибоке) заморожування. Заморожування продукції здійснюється протягом 5-20хв
при температурі -35...-40°C в т.зв. "киплячому шарі" (ягоди чи
нарізані овочі та фрукти під дією сильного висхідного повітряного потоку
постійно перебувають в русі і у "висячому" стані). Шокове
заморожування дозволяє запобігти утворенню великих кристалів льоду в продукті,
завдяки чому розморожена ягідка майже ідентична свіжій. В заморожених овочах та
фруктах вміст вітамінів і поживних речовин значно більший, ніж у
законсервованих чи збережених будь-яким іншим методом, а смакові якості не
відрізняються від щойно зібраних свіжих плодів чи овочів.
Рисунок 2.7 - Питома частка ринку
провідних українських підприємств-морозильщиків
2.4 Аналіз структури та асортименту
продукції
Вивчення асортименту продукції ТОВ
«Морозко» почнемо з аналізу структури виробництва та збуту за період 2009-2011
роки, які представлені у табл. 2.6 та рис. 2.8 -2.10
Таблиця 2.6 - Аналіз асортименту
продукції ТОВ «Морозко» за 2009-2011 роки
|
Найменування продукції
|
2009р.
|
2010р.
|
2011р.
|
|
тис.грн.
|
Част-ка, %
|
тис.грн.
|
Част-ка, %
|
тис.грн.
|
Част-ка, %
|
|
Капуста кольо-рова заморо-жена(уп.0,4 кг)
|
19348
|
30,17
|
22341
|
30,96
|
22987
|
30,30
|
|
Овочева суміш за-морожена (уп.0,350 кг)
|
12745
|
19,87
|
14587
|
20,22
|
17641
|
23,26
|
|
Гриби заморожені (уп.0, 250 кг)
|
21988
|
34,28
|
25874
|
35,86
|
21645
|
28,54
|
|
Фруктова суміш заморожена (уп.0,5 кг)
|
10054
|
15,68
|
9353
|
12,96
|
13574
|
17,90
|
|
Всього
|
64135
|
100,0
|
72155
|
100,0
|
75847
|
100,0
|
|
Коефіцієнт структурної активності
|
0,0326
|
0,0294
|
0,0134
|
Аналіз структури асортименту
продукції ТОВ «Морозко» (табл. 2.6) показує, що у попередні роки найбільша
частка виробництва приходилися на позицію «гриби заморожені» (34,28 та 35,86%
відповідно). У 2011 році частка даної позиції у загальній сумі виробництва і
збуту продукції знизилась до 28,54%. На другому місці за питомою вагою -
позиція «капуста кольорова заморожена: 30-31% на протязі всього періоду, що
аналізується.
Рисунок 2.8 - Структура асортименту
продукції ТОВ «Морозко» у 2009р.
Рисунок 2.9 - Структура асортименту
продукції ТОВ «Морозко» у 2010р.
Рисунок 2.10 - Структура асортименту
продукції ТОВ «Морозко» у 2011р.
Питома вага позиції «овочева суміш
заморожена» у товарному портфелі підприємства має тенденцію до зростання: у
попередні роки питома вага даної позиції складала 19,87-20,22%, а у звітному
періоді збільшилася до 23,26%. Позиція «фруктова суміш заморожена» не має
однонаправленої тенденції та характеризується відносною нестійкістю у товарному
портфелі: у 2009 році питома вага даної позиції складав 15,68%, у 2010 році
знизилася до 12,96%, а у 2011 році зросла до 17,9%.
Структурні зрушення у асортименті
продукції значно вплинули на коефіцієнт структурної активності (КСА).
Коефіцієнт структурної активності є характеристикою інтенсивності структурних
перетворень
(2.1)
де УДi - змінення питомої ваги i-го
виду (номенклатурної групи) продукції у загальному об’ємі випуску (продажів) за
період, що досліджується;- число номенклатурних груп.
Чим активніші структурні
перетворення на підприємстві, тим вищий рівень цього коефіцієнта. Це свідчить
про те, що адміністрація підприємства активно реагує на зміни кон'юнктури
ринку, вчасно оновлюючи асортимент продукції.
За 2009-2010 роки коефіцієнт
структурної активності склав 0,0326 та 0,0294 відповідно, тобто змінення в
структурі асортименту були незначними, а у 2011 році значення цього коефіцієнту
склало ще знизилося (0,0134). Це свідчить про те, що підприємство не своєчасно
реагує на потреби ринку і не оптимізує виробництво продукції виходячи з
кон’юнктури ринку.
Проаналізуємо коефіцієнт асортименту
(КА), який розраховується шляхом ділення загального фактичного випуску
продукції у вартісному вигляді (ВП1)ді на загальний плановий випуск продукції
(ВП0)

(2.2)
Коефіцієнт асортименту
показує:
- Рівень виконання плану;
Якісно характеризує
змінення в асортименті продукції, що випускається.
Аналіз коефіцієнту асортименту
представлено у табл. 2.7-2.9
Таблиця 2.7 - Аналіз коефіцієнту
асортименту ТОВ «Морозко» за 2009р.
|
Найменування продукції
|
2009р.
|
Частка
|
Відхилення
|
Виконання плану
|
Зараховується у виконання плану
|
|
факт
|
план
|
факт
|
план
|
|
|
|
|
Капуста кольо-рова заморо-жена(уп.0,4 кг)
|
19348
|
18760
|
30,17
|
30,31
|
-0,14
|
103,13
|
18760
|
|
Овочева суміш за-морожена (уп.0,350 кг)
|
12745
|
13220
|
19,87
|
21,36
|
-1,49
|
93,02
|
12745
|
|
Гриби заморожені (уп.0, 250 кг)
|
21988
|
20565
|
34,28
|
33,22
|
1,06
|
103,19
|
20565
|
|
Фруктова суміш заморожена (уп.0,5 кг)
|
10054
|
9350
|
15,68
|
15,11
|
0,57
|
103,77
|
9350
|
|
Всього
|
64135
|
61895
|
100,0
|
|
|
|
61420
|
|
Коефіцієнт асортименту
|
61420 ÷61895 = 0,99
|
|
Коефіцієнт структурної активності
|
(0,14+1,49+1,06+0,57)/100 = 0,0326
|
Таблиця 2.8 - Аналіз коефіцієнту
асортименту ТОВ «Морозко» за 2010р.
|
Найменування продукції
|
2010р.
|
Частка
|
Відхилення
|
Виконання плану
|
Зараховується у виконання плану
|
|
факт
|
план
|
факт
|
план
|
|
|
|
|
Капуста кольо-рова заморо-жена(уп.0,4 кг)
|
22341
|
22190
|
30,96
|
31,19
|
-0,23
|
100,68
|
22190
|
|
Овочева суміш за-морожена (уп.0,350 кг)
|
14587
|
13860
|
20,22
|
19,48
|
0,74
|
105,24
|
13860
|
|
Гриби заморожені (уп.0, 250 кг)
|
25874
|
24980
|
35,86
|
35,13
|
0,73
|
103,58
|
24980
|
|
Фруктова суміш заморожена (уп.0,5 кг)
|
9353
|
10100
|
12,96
|
14,20
|
-1,24
|
92,6
|
9353
|
|
Всього
|
72155
|
71130
|
100,0
|
|
|
|
70387
|
|
Коефіцієнт асортименту
|
70387/71130 = 0,989
|
|
Коефіцієнт структурної активності
|
(0,23+0,74+0,73+1,24) /100 = 0,0294
|
Таблиця 2.9 - Аналіз коефіцієнту
асортименту ТОВ «Морозко» за 2011р.
|
Найменування продукції
|
2011р.
|
Частка
|
Відхилення
|
Виконання плану
|
Зараховується у виконання плану
|
|
факт
|
план
|
факт
|
план
|
|
|
|
|
Капуста кольорова заморожена (уп.0,4 кг)
|
22987
|
22000
|
30,30
|
29,83
|
0,47
|
104,48
|
22000
|
|
Овочева суміш за-морожена (уп.0,350 кг)
|
17641
|
17500
|
23,26
|
23,73
|
-0,47
|
100,80
|
17500
|
|
Гриби заморожені (уп.0, 250 кг)
|
21645
|
20900
|
28,54
|
28,34
|
0,20
|
103,56
|
20900
|
|
Фруктова суміш заморожена (уп.0,5 кг)
|
13574
|
13340
|
17,90
|
18,10
|
-0,2
|
101,75
|
13340
|
|
Всього
|
75847
|
73740
|
100,0
|
|
|
|
73740
|
|
Коефіцієнт асортименту
|
73740 / 73740 = 1,0
|
|
Коефіцієнт структурної активності
|
(0,47+0,47+0,2+0,2) /100 = 0,0134
|
Аналіз коефіцієнту асортименту
дозволяє зробити висновок, що підприємство на протязі періоду, що аналізується
стабільно перевиконує план виробництва, динаміка виконання плану виробництва
продукції по товарному портфелю ТОВ «Морозко» представлена на рис. 2.11
Рисунок 2.11 - Динаміка фактичних та
планових об’ємів збуту продукції ТОВ «Морозко»
У 2010 році план виробництва у
вартісному виразі був збільшений на 12,5 відсотків у порівнянні з 2009 роком. У
2011 році у підприємства була задача не зменшувати об’єми виробництва, тобто
зберегти свою частку на ринку. Відповідно план було збільшено на 3,66%,
перевиконаний на 5,1% від рівня 2010 року.
У результаті постійного досягнення
планових показників та перевиконання плану по окремих позиціях коефіцієнт
асортименту у 2011 році дорівнює 1.Це позитивним чином характеризує планування
виробництва і збуту продукції на підприємстві ТОВ «Морозко». Динаміка
асортименту підприємства представлена у табл. 2.10. та рис. 2.12
Таблиця 2.10 - Аналіз динаміки
асортименту ТОВ «Морозко» на протязі 2009-2011 років
|
Найменування продукції
|
2009р.
|
2010р.
|
Динаміка
|
2011р.
|
Динаміка
|
|
|
|
+;-
|
%
|
|
+;-
|
%
|
|
Капуста кольорова заморожена (уп.0,4 кг)
|
19348
|
22341
|
2993
|
15,46
|
22987
|
646
|
2,89
|
|
Овочева суміш за-морожена (уп.0,350 кг)
|
12745
|
14587
|
1842
|
14,45
|
17641
|
3054
|
20,93
|
|
Гриби заморожені (уп.0, 250 кг)
|
21988
|
25874
|
3886
|
17,67
|
21645
|
-4229
|
-16,34
|
|
Фруктова суміш заморожена (уп.0,5 кг)
|
10054
|
9353
|
-701
|
-6,97
|
13574
|
4221
|
45,13
|
|
Всього
|
64135
|
72155
|
8020
|
12,5
|
75847
|
3692
|
5,11
|
Аналіз показує, що в у 2010 році
відбулося збільшення збуту продукції на 12,5%, при цьому по трьох позиціях
(«капуста кольорова», «овочева суміш», «гриби заморожені») темпи зростання
склали 15,46%, 14,45% та 17,67% відповідно. По позиції «фруктова суміш» продажі
знизились, темп зниження 6,97%; по цій позиції план виробництва і збуту не було
виконано.
У 2011 році об’єм збуту у загальній
сумі товарного портфелю було збільшено на 5,11%. При цьому по асортиментної
позиції «гриби заморожені» об’єм збуту знизився на 16,34%, а по позиції
«фруктова суміш» простежується максимальний темп зростання - 45, 13%. Позиції
«капуста кольорова» та « овочева суміш» також показали темп росту - 2,89% та
20,93% відповідно. Динаміка змінення асортиментних позицій показана на рис.
2.12.
Рисунок 2.12 - Динаміка збуту
асортиментних позицій товарного портфелю ТОВ «Морозко» за період 2009-2011рр.
Динаміка збуту асортиментних позицій
товарного портфеля ТОВ «Морозко» за період 2009-2011 роки дозволяє зробити
висновки про те, що планування виробництва та збуту продукції відрізняється
незбалансованістю, в результаті чого можна спостерігати максимальний чи
мінімальний темп зростання окремих асортиментних позицій, що не відповідає
загальній динаміці продуктового портфелю.
Крім того, змінення об’ємів
виробництва та збуту продукції можуть бути пов’язані із заходами стимулюючого
характеру. В той же час стимулювання збуту повинно збільшувати прибутковість
підприємства, тому у табл. 2.11 проаналізовано асортимент товарного портфелю з
точки зору прибутковості та дохідності окремих позицій.
Представлені у табл.2.11 дані
показують, що на зміну прибутковості асортиментних позицій товарного портфелю
впливають не тільки витрати на собівартість, а і на просування (акції, знижки).
Таблиця 2.11 - Аналіз прибутковості
та дохідності товарного портфелю ТОВ «Морозко» за 2009-2011 роки
|
Вид продукції
|
Об’єм збуту, тис.грн.
|
Собівар-тість вироб-ва, тис.грн.
|
Витрати на просув. тис.грн.
|
Прибу-ток від продажів тис.грн.
|
Рента-бельність продажів, %
|
|
2009 рік
|
|
Капуста кольорова заморожена (уп.0,4 кг)
|
19348
|
7456
|
2487
|
9405
|
48,6
|
|
Овочева суміш за-морожена (уп.0,350 кг)
|
12745
|
4540
|
3991
|
4214
|
33,1
|
|
Гриби заморожені (уп.0, 250 кг)
|
21988
|
8759
|
3675
|
9554
|
43,5
|
|
Фруктова суміш заморожена (уп.0,5 кг)
|
10054
|
5436
|
2318
|
2300
|
|
2010 рік
|
|
Капуста кольорова заморожена (уп.0,4 кг)
|
22341
|
8653
|
2611
|
11077
|
49,6
|
|
Овочева суміш за-морожена (уп.0,350 кг)
|
14587
|
6437
|
4576
|
3574
|
24,5
|
|
Гриби заморожені (уп.0, 250 кг)
|
25874
|
10221
|
3074
|
12579
|
48,6
|
|
Фруктова суміш заморожена (уп.0,5 кг)
|
9353
|
5179
|
2597
|
1577
|
16,9
|
|
Капуста кольорова заморожена (уп.0,4 кг)
|
22987
|
9187
|
1743
|
12057
|
52,5
|
|
Овочева суміш за-морожена (уп.0,350 кг)
|
17641
|
7819
|
5691
|
4131
|
23,4
|
|
Гриби заморожені (уп.0, 250 кг)
|
21645
|
9775
|
1211
|
10659
|
49,2
|
|
Фруктова суміш заморожена (уп.0,5 кг)
|
13574
|
7286
|
4221
|
2067
|
15,2
|
Як видно з рис. 2.13 по позиції
«капуста кольорова» простежується зростання показників рентабельності: якщо у
2009р. рентабельність продажів по цієї позиції складає 48,6%, то у 2011 році
цей показник збільшився до 52,5%. При цьому витрати на виробництво даної
позиції зростають пропорційно об’ємам збуту, а витрати на просування
скорочуються.
Рисунок 2.13 - динаміка
рентабельності асортиментних позицій товарного портфелю ТОВ «Морозко» за період
2009-2011 роки
Аналогічна тенденція спостерігається
і по позиції «гриби заморожені»: у 2011 році при скороченні об’ємів виробництва
та збуту даної позиції було досягнуто зниження втрат як на собівартість так і
на просування.
По позиції «овочева суміш»
простежується постійне зниження рентабельності продажів: якщо у 2009 році
рентабельність продажів даної позиції склала 33,1% , то у 2010 році вона різко
знизилася практично на 10%, а в 2011 році продовжила знижуватися. Зниження
рентабельності продажів пов’язано з непропорційним темпом зростання витрат на
собівартість и витрат на просування.
По позиції «фруктова суміш» також
спостерігається зниження показника рентабельності продажів: у 2009 році
показник рентабельності продажів даної позиції склав 22,9%, в 2010 році даний
показник знизився на 6%, а в 2011 році - ще на 1,6%. Це пов’язано з тим, що
максимальний темп зростання збуту даної товарної позиції зумовило переважне
зростання витрат на собівартість і просування даної асортиментної позиції. Якщо
об’єми збуту по позиції збільшилися на 45,1%, то витрати на просування - більш
ніж на 62%. Тобто можна зробити висновок, що маркетингові зусилля по просуванню
даної позиції не можуть бути класифіковані як оптимальні та ефективні.
Таким чином існують дві основні
проблеми: недостатній баланс товарного портфелю та зростання витрат на
просування окремих позицій. Для узагальнення проведеного аналізу необхідно
оцінити еластичність попиту на асортименті позиції товарного портфелю ТОВ
«Морозко» за період 2009-2011 роки. Аналіз еластичності попиту за ціною за 2009
та 2010 роки представлено у таблиці 2.12.
Таблиця 2.12 - Аналіз еластичності
попиту на асортимент продукції за період 2009-2010 роки
|
Вид продукції
|
2009р.
|
2010р.
|
Змінення, %
|
Коеф. цінової еласт-ті
|
|
ціна грн.
|
тис. уп.
|
ціна грн.
|
тис. уп.
|
ціна грн.
|
тис. уп.
|
|
|
Капуста кольорова заморожена (уп.0,4 кг)
|
12,85
|
1505,7
|
13,11
|
1704,1
|
2,0
|
13,17
|
6,5
|
|
Овочева суміш за-морожена (уп.0,350 кг)
|
13,72
|
928,9
|
14,15
|
1030,9
|
3,13
|
10,98
|
3,5
|
|
Гриби заморожені (уп.0, 250 кг)
|
21,94
|
1002,2
|
22,43
|
1153,5
|
2,23
|
15,09
|
6,76
|
|
Фруктова суміш заморожена (уп.0,5 кг)
|
18,66
|
538,8
|
19,3
|
484,6
|
3,43
|
-10,06
|
-2,93
|
Різні товари відрізняються один від
одного по мірі реакції кількості (попиту), що набуває, на зміну ціни. Ця
залежність називається еластичністю і визначається за допомогою коефіцієнта
еластичності. Прямий коефіцієнт еластичності попиту за ціною є мірою його
чутливості на зміну ціни даного товару і розраховується по формулі:
(2.3)
де, Δ
q(n) - процентна зміна попиту;
Δр
- процентна зміна ціни.
При коефіцієнті еластичності вище 1
зміна ціни на 1 % наводить до зміни об'єму продажів більш ніж на 1 %, отже,
зниження ціни веде до прогресивного збільшення товарообігу, і навпаки, що треба
враховувати працівникам торгівлі при формуванні цінової політики. Значення
коефіцієнта еластичності менше одиниці (від 0 до 1) означає, що зміна ціни на 1
% наводить до зміни об'єму продажів менш ніж на 1 %, тому по товарах, що мають
таку еластичність, недоцільно знижувати ціни, це наводить до втрати товарообігу
і прибутку.
Одинична еластичність передбачає
відповідність зміни ціни зміні об'єму продажів і найчастіше зустрічається в
теорії.
Аналіз цінової еластичності (табл.
2.12) показує, що за період 2009-2010 роки три з чотирьох асортиментних позицій
були абсолютно еластичні по ціні. Позиція «фруктова суміш» показала від’ємне
значення еластичності: при збільшенні ціни на 3,43% попит на неї зменшився на
10,06%. Збільшення ціни було обґрунтовано збільшенням вартості сировини, а
оскільки фруктова суміш у очах споживачів не є товаром першої необхідності,
збільшення ціни суттєво знизило попит. Це спонукало зростання витрат на
стимулювання попиту, і, як слідство знизило рентабельність даної асортиментної
позиції.
У табл. 2.13 представлений аналіз
цінової еластичності асортиментних позицій товарного портфелю ТОВ «Морозко» за
2010-2011 роки, а на рис. 2.14 відображена динаміка коефіцієнту цінової
еластичності.
Таблиця 2.13 - Аналіз еластичності
попиту на асортимент продукції за період 2010-2011 роки
|
Вид продукції
|
2010р.
|
2011р.
|
Змінення, %
|
Коеф. цінової еласт-ті
|
|
ціна грн.
|
тис. уп.
|
ціна грн.
|
тис. уп.
|
ціна грн.
|
тис. уп.
|
|
|
Капуста кольорова заморожена (уп.0,4 кг)
|
13,11
|
1704,1
|
13, 28
|
1730,9
|
1,29
|
1,57
|
1,22
|
|
Овочева суміш за-морожена (уп.0,350 кг)
|
14,15
|
1030,9
|
15,56
|
1133,7
|
9,96
|
9,97
|
1,00
|
|
Гриби заморожені (уп.0, 250 кг)
|
22,43
|
1153,5
|
22,96
|
942,7
|
2,36
|
- 18,27
|
- 7,74
|
|
Фруктова суміш заморожена (уп.0,5 кг)
|
19,3
|
484,6
|
20,79
|
515,1
|
7,72
|
6,29
|
0,81
|
Аналіз цінової еластичності
асортиментних позицій товарного портфеля ТОВ «Морозко» за 2010-2011 роки
показує, що цінову еластичність мають тільки дві товарні позиції «капуста
кольорова» та «овочева суміш». По позиції «гриби заморожені» простежується
негативна цінова еластичність, оскільки дана товарна позиція також не є
продукцією постійного попиту, відповідно в умовах макроекономічної
нестабільності було прийнято рішення про скорочення об’ємів випуску і продажі
даної товарної позиції.
Рисунок 2.14 - Динаміка коефіцієнту
цінової еластичності асортиментних позицій товарного портфелю ТОВ «Морозко»
Позиція «фруктова суміш», по якій
продажі у вартісному об’ємі збільшилися більш ніж на 40%, показує мінімальну
цінову еластичність, тобто можна зробити висновок, що збільшення об’ємів збуту
по даній позиції досягнуто за рахунок збільшення ціни та постійного
стимулювання збуту.
Таким чином, проведений аналіз
виявив наступні проблеми:
Недостатній баланс
товарного портфелю;
Переважне зростання витрат
на виробництво та просування окремих позицій;
Цінова нееластичність
окремих асортиментних позицій.
Використання асортиментних матриць
дозволяє досягнути необхідного балансу товарного портфелю по кількості і якості
(рентабельності), а також оптимізувати просування тих асортиментних позицій,
які у теперішній час показують низьку або негативну цінову еластичність.
3. ФОРМУВАННЯ ТОВАРНОГО ПОРТФЕЛЯ
ПІДПРИЄМСТВА ТОВ «МОРОЗКО» НА ОСНОВІ АСОРТИМЕНТНИХ МАТРИЦЬ
.1 Асортиментна матриця як результат
структурування асортименту
Удосконалення процесу торговельного
обслуговування населення і підвищення економічної ефективності підприємств
роздрібної торгівлі багато в чому залежать від раціонального формування та
структурування асортименту товарів в магазинах. Раціональне формування
асортименту товарів сприяє комплексному задоволенню попиту населення, що
передбачає групування асортименту товарів за відповідними споживчими
комплексами. Таке групування дозволяє створити зручності для покупців, полегшує
процес ознайомлення із запропонованими товарами, скорочує витрати часу на
придбання необхідних виробів і сприяє імпульсивним покупкам, що суттєво впливає
на ефективність роботи підприємств роздрібної торгівлі, тому робота с
асортиментом потребує комплексного и поступового підходу.
Сам процес формування асортименту
являє собою підбір для продажу різних груп товарів за видами, різновидами та
різноманітними ознаками, який складається з трьох етапів, а саме:
етап - рішення про товарну специфіку
магазина, враховуючи особливості ринку, споживчої аудиторії та ресурсних
можливостей;
етап - вибір ефективної та
конкурентоспроможної стратегії, розробка концепції та позиціювання магазину для
цільової аудиторії;
етап - розробка та формування
асортиментної і цінової політики [1].
Функціонування підприємств
роздрібної торгівлі показує, що безсистемний процес управління асортиментом
сприяє виникненню проблем як для підприємств роздрібної торгівлі, так і для їх
керівництва, оскільки забезпечення необхідного рівня обслуговування покупців,
зростання основних економічних показників діяльності суттєво залежить від
правильного формування асортименту, його оптимальності та збалансованості.
Відповідно з поетапним виконанням
процесу формування асортименту товарів, слід зазначити, що основою для
формування асортименту є попит споживачів, де обліком попиту займається відділ
аналітики. Звичайно відповідальність за формування і управління асортиментом на
підприємствах роздрібної торгівлі покладається на начальника відділу і категорійних
менеджерів.
Безпосередньо асортимент магазину
складається з різноманітних категорій, а саме: унікальні, пріоритетні, базові,
сезонні та супутні товари [2]. Процес вводу або виведення товарних категорій з
асортименту здійснюється за аргументованим рішенням начальника торгового
відділу.
За думкою С.В. Сисоєвої, основним
документом, що регламентує асортимент є асортиментна матриця, де необхідно
виділяти асортиментний мінімум першого рівня, який є обов’язковим для всіх
продовольчих магазинів та асортиментний мінімум другого рівня, який також є
обов’язковим, але з урахуванням розділення всіх магазинів на групи за форматами
і особливостями місцезнаходження [3].
Взагалі асортиментна матриця
складається для конкретного магазину, з урахуванням достатньої широти і глибини
асортименту, асортиментного мінімуму обох рівнів та побажань директора
магазина. Вона затверджується начальником торгового відділу за участю
категорійних менеджерів на основі їх звітів про обсяги продажів.
Так, якщо за результатами АВС-аналізу
товар за прибутком відноситься до групи А або В, має гарантовану якість та
відсутні нарікання щодо надійності і якості роботи постачальника тоді він
залишається у асортиментній матриці.
Введення товару дот асортиментної
матриці здійснюється при підвищенні попиту у цільової аудиторії на нього, якщо
він є новинкою і має унікальні властивості та підтримується рекламною компанією
виробника, а також сприяє збільшення обсягів продажів.
Виведенню з асортиментної матриці
підлягають товари групи С, якщо за результатами АВС-аналізу на протязі 3-х
місяців вони мають невеликий внесок в прибуток, об’єктивне зниження якості та
нарікання щодо невиконання договірних зобов’язань в відношенні кількості,
якості, комплектності, строків постачання.
Бажано для складання асортиментної
матриці розробляти товарний класифікатор, що являє собою розподіл всіх товарів
на три рівні - класи (продовольчі та непродовольчі товари), товарні групи,
товарні категорії і допоможе аналізувати асортимент.
Таким чином можна зробити висновок,
що асортиментна матриця - є результатом вивчення і обліку попиту споживачів,
асортименту конкурентів, специфіки регіону, особливостей місцезнаходження і
вимог формату та являє собою перелік всіх асортиментних позицій включаючи
сезонні товари, що будується на основі класифікатора і є результатом
структурування асортименту, де до рівнів розподілу за класифікатором можуть
додаватися субкатегорії, бренди й інші одиниці обліку.
За допомогою асортиментної матриці
можна складати асортиментний мінімум, що забезпечить наявність у продажу саме
тих товарів які користуються попитом у споживачів та ефективність
функціонування будь-якого підприємства роздрібної торгівлі незалежно від форми
власності.
.2 Рекомендації по удосконаленню
управління товарним портфелем підприємства
Управління товарним портфелем для
підприємств э найбільш важливим моментом у процесі виробництва та випуску
продукції: з одного боку, товарний портфель впливає на організацію виробництва;
з іншого якість товарного портфелю впливає на динаміку дохідності та
прибутковості підприємства.
Товарний портфель підприємства ТОВ
«Морозко» складається з чотирьох позицій. При цьому не усі позиції однаково
рентабельні, а крім того висока чутливість кінцевих споживачів до змінення ціни
продукції. В результаті стимулювання збуту доходи підприємства зростають, а
прибутковість знижається.
Формування рекомендацій по
удосконаленню управління товарним асортиментом буде складатися з кількох
етапів. Передусім формується матриця по напрямкам збуту та досліджуються
споживацькі переваги у точках продажу продукції. Усі напрямки збуту товарної
продукції підприємства ТОВ «Морозко» можна класифікувати наступним чином:
Збут у гіпермаркети
середнього класу;
Збут у супермаркети та
універсами класу дискаунтерів (магазинів з широким асортиментом товарів за
оптовими цінами);
Збут у середньо- та
дрібнороздрібні точки продажів формату «магазин у дома».
Таким чином можна сформувати
асортиментну матрицю в залежності від напрямку збуту товарної продукції (табл.
3.1).
Основні параметри, які було включено
у дану матрицю:
Асортиментний перелік по
напрямку збуту;
Відпускна ціна від
виробника (ТОВ»Морозко») і роздрібна ціна у точки продажу;
Витрати на стимулювання
збуту асортименту у відсотках від загальної суми даних витрат;
Об’єм збуту за напрямком у
відсотках від загальної суми збуту.
Складена асортиментна матриця
показує,що найбільший об’єм продажів приходиться на гіпермаркети та дискаунтери
(частка збуту складає 81,3%), при цьому частка витрат на просування
(стимулювання збуту) по цім напрямкам складає 46,1%. Навпаки, збут по напрямку
«магазин у дома» показує мінімальну питому вагу18,7% у загальній сумі збуту, а
витрати на його просування складає 53,9% усіх витрат на просування товарів.
Таблиця 3.1 - Асортиментна матриця
по напрямкам збуту продукції ТОВ «Морозко»
|
Напрямок збуту
|
Асортимент
|
Оптова ціна
|
Роздр. ціна
|
Стиму-лювання збуту,%
|
Обєм збуту,%
|
|
Гіпермаркети середнього класу
|
Капуста кольорова заморожена(уп.0,4 кг)
|
13,28
|
17,42
|
21,4
|
47,5
|
|
Овочева суміш за-морожена (уп.0,350 кг)
|
15,56
|
20,23
|
|
|
|
Гриби заморожені (уп.0, 250 кг)
|
22,96
|
29,85
|
|
|
|
Фруктова суміш заморожена (уп.0,5 кг)
|
20,79
|
27,02
|
|
|
|
Дискаунтери
|
Капуста кольорова заморожена(уп.0,4 кг)
|
13,28
|
15,94
|
24,7
|
33,8
|
|
Овочева суміш за-морожена (уп.0,350 кг)
|
15,56
|
18,67
|
|
|
|
Гриби заморожені (уп.0, 250 кг)
|
22,96
|
27,55
|
|
|
|
Фруктова суміш заморожена (уп.0,5 кг)
|
20,79
|
24,95
|
|
|
|
Магазин у дома
|
Капуста кольорова заморожена(уп.0,4 кг)
|
13,28
|
17,93
|
53,9
|
18,7
|
|
Овочева суміш за-морожена (уп.0,350 кг)
|
15,56
|
21,00
|
|
|
|
Гриби заморожені (уп.0, 250 кг)
|
22,96
|
30,99
|
|
|
|
Фруктова суміш заморожена (уп.0,5 кг)
|
20,79
|
28,06
|
|
|
Очевидно, що зростання на просування
пов’язано, у першу чергу з ціновою політикою у точках продажу «магазин у дома».
Ціна продажу для споживачів максимальна, а товарна продукція, яку виробляє ТОВ
«Морозко», має достатньо високу цінову чутливість. Тобто можна зробити
висновок, що витрати на просування носять не стимулюючий характер, направлений
на розширення об’ємів збуту, а має ціллю підтримати існуючий рівень збуту.
Тому необхідно дослідити споживчі
потреби у різних напрямках збуту. Для цього було проведено опитування 200
покупців у точках продажів у відповідності до напрямків збуту(табл. 3.2)
Таблиця 3.2 - Анкета
експрес-опитування споживачів у точках продажів
|
Питання
|
Варіанти відповідей
|
|
1. Частота використання продукту
|
регулярно
|
рідко
|
тільки в особливих випадках
|
|
2. Чи має значення роздрібна ціна товару?
|
так
|
ні
|
інколи
|
|
3. Чи має значення товарна марка (бренд)?
|
так
|
ні
|
інколи
|
|
4. Чи має значення дизайн упакування та
фасування?
|
так
|
ні
|
інколи
|
|
5. Чи має значення країна-виробник продукту?
|
так
|
ні
|
інколи
|
Таблиця 3.3 Результати аналізу
споживчих потреб у гіпермаркетах
|
Перелік питань
|
Капуста кольорова
|
Овочева суміш
|
Гриби заморожені
|
Фруктова суміш
|
|
Частота використання продукту
|
Регулярно 79% Інколи 19% У особливих випадках
2%
|
Регулярно 68% Інколи 23% У особливих
випадках9%
|
Регулярно 71% Інколи 24% У особливих випадках
5%
|
Регулярно 67% Інколи 20% У особливих випадках
13%
|
|
Чи має значення роздрібна ціна товару?
|
Так 25% Ні 64% Інколи 11%
|
Так 27% Ні 61% Інколи 12%
|
Так 24% Ні 60% Інколи 16%
|
Так 28% Ні 59% Інколи 13%
|
|
Чи має значення товарна марка (бренд)?
|
Так 55% Ні 26% Інколи 19%
|
Так 59% Ні 23% Інколи 18%
|
Так 62% Ні 19% Інколи 19%
|
Так 67% Ні 18% Інколи 15%
|
|
Чи має значення дизайн упакування та
фасування?
|
Так 57% Ні 31% Інколи 12%
|
Так 59% Ні 32% Інколи 9%
|
Так 56% Ні 34% Інколи 10%
|
Так 59% Ні 30% Інколи 11%
|
|
Чи має значення країна-виробник продукту?
|
Так 30% Ні 32% Інколи 38%
|
Так 25% Ні 36% Інколи 39%
|
Так 29% Ні 54% Інколи 17%
|
Так 25% Ні 64% Інколи 11%
|
З таблиці 3.3 видно, що основна
частина споживачів у гіпермаркетах середнього класу (більш ніж 65%) регулярно
споживає усі види продукції ТОВ «Морозко». Крім того, споживачі гіпермаркетів
менш чутливі до ціни та доволі часто звертають увагу на торгову марку (бренд),
під якою було випущено продукцію. При цьому дизайн упакування має значення
більшою мірою, ніж країна - виробник. Рівень купівельної спроможності у
гіпермаркетах значно вищий, ніж у дискаунтерах та у дрібнороздрібних магазинах.
Це пояснюється тим, що купівлі у гіпермаркетах носять не ситуаційний, а більш
осмислений, планомірний підхід, тобто споживач купує товари не тільки виходячи
з теперішніх потреб, але із урахуванням майбутніх потреб.
У табл. 3.4 приведено опитування
покупців універсамів та супермаркетів класу «дискаунтер».
Диска́унтер
(від англ. Discounter) , прямо перекладається з англійської, як магазин, що
торгує за зниженими цінами [1]. Існує категорично хибна думка про те, що
дискаунтер - магазин с вузьким асортиментом та мінімальним набором послуг для
покупців. Це легко заперечується існуючими в англійській мові різновидами
дискаунтерів:
англ. full-line discounter -
універмаг або супермаркет знижених цін;
англ. quality discounter -
престижний магазин знижених цін, що торгує якісними речами, часто дуже відомих
брендів;
англ. soft-goods discounter - торгує
за зниженими цінами виробами легкої промисловості;
англ. hard-goods discounter - торгує
за зниженими цінами електронікою, металевими виробами, запчастинами для авто,
мотоциклів і т. ін.
Таблиця 3.4 - Результати аналізу
споживчих потреб в універсамах та супермаркетах класу «дискаунтер»
|
Перелік питань
|
Капуста кольорова
|
Овочева суміш
|
Гриби заморожені
|
Фруктова суміш
|
|
Частота використання продукту
|
Регулярно 40% Інколи 32% У особливих випадках
28%
|
Регулярно 45% Інколи 30% У особливих випадках
25%
|
Регулярно 39% Інколи 25% У особливих випадках
34%
|
Регулярно 38% Інколи 27% У особливих випадках
35%
|
|
Чи має значення роздрібна ціна товару?
|
Так 63% Ні 26% Інколи 11%
|
Так 67% Ні 29% Інколи 4%
|
Так 65% Ні 26% Інколи 9%
|
Так 62% Ні 27% Інколи 11%
|
|
Чи має значення товарна марка (бренд)?
|
Так 45% Ні 36% Інколи 19%
|
Так 49% Ні 33% Інколи 18%
|
Так 52% Ні 29% Інколи 19%
|
Так 57% Ні 28% Інколи 15%
|
|
Чи має значення дизайн упакування та
фасування?
|
Так 27% Ні 51% Інколи 22%
|
Так 29% Ні 52% Інколи 19%
|
Так 26% Ні 54% Інколи 22%
|
Так 29% Ні 30% Інколи 11%
|
|
Чи має значення країна-виробник продукту?
|
Так 17% Ні 42% Інколи 41%
|
Так 25% Ні 46% Інколи 39%
|
Так 15% Ні 44% Інколи 49%
|
Так 19% Ні 44% Інколи 37%
|
По суті, це ті самі різновиди
звичайних магазинів з тією лише відмінністю, що ціни на товари є нижчими ніж у
інших продавців на ринку. Досягається це в різних умовах в різних країнах
неоднаковими шляхами. Згаданий quality discounter може продавати брендові
якісні товари, але вже неактуальних для основних магазинів попередніх колекцій
чи лінійок товарів.
В Україні вже в 2000-х почали
з'являтися перші вітчизняні мережі дискаунт магазинів. На заході країни це,
наприклад, Барвінок, зала якого максимально нагадує Aldi. Найбільшою [2] продуктовою
мережею в Україні, що працює в форматі "дискаунтер", є
"АТБ-Маркет". Мережа налічує понад 380 магазинів у 117 містах України
[3].
Відмітна особливість таких точок
продажів - мінімальні ринкові ціни, обмежений асортимент товарної продукції,
орієнтація на споживачів у яких дохід нижче середнього.
Як видно з табл. 3.4, у дискаунтерах
регулярність використання продукції нижче (не більш 45% від усіх опитаних), при
цьому ціна має вирішальне значення при виборі товарної продукції. Але оскільки
кінцева роздрібна ціна товарної продукції підприємства у диска унтерах нижче,
ніж у супермаркетах та дрібнороздрібних магазинах, попит на дану товарну
продукцію можна характеризувати як стійкий. При цьому дизайн упакування та
країна-виробник товару найменше впливають на споживче рішення.
Розглянемо підсумок опитування
споживачів у дрібнороздрібних точках продажу формату «у дома» (табл. 3.5).
Магазин "у дома" - торгове
підприємство, що відноситься до так званих магазинів крокової доступності. Як
правило, це невеликий роздрібний магазин з обмеженим асортиментом продуктів і
товарів повсякденного попиту, розташований не далі чим в 10 хвилинах від
будинку, в який зручно забігти після роботи або у разі, якщо закінчився хліб
або зубна паста.
Американська модель магазину "у
дома" основним критерієм такого магазину вважає зручність. Магазин "у
дома" в Америці - це невеликий магазин з товарами першої необхідності і
фаст-фудом, що також надає деякі послуги (друк фотографій, наприклад).
Європейський же магазин "у дома" є невеликим супермаркетом. Для умов
України дещо ближче європейська модель, тому що вона простіше в реалізації, і,
що важливо, розвиток магазинів такого формату завжди підтримується місцевою
владою. Формат "магазин "у дома" виникає на стадії зрілого ринку,
коли доля цивілізованої ринкової торгівлі досягає порогу 30%.
Таблиця 3.5 - Результати аналізу
споживчих переваг у середньо та дрібнороздрібних точках продажів формату
«магазин у дома»
|
Перелік питань
|
Капуста кольорова
|
Овочева суміш
|
Фруктова суміш
|
|
Частота використання продукту
|
Регулярно 20% Інколи 62% У особливих
випадках18%
|
Регулярно 18% Інколи 70% У особливих випадках
12%
|
Регулярно 15% Інколи 75% У особливих випадках
10%
|
Регулярно 12% Інколи 80% У особливих випадках
8%
|
|
Чи має значення роздрібна ціна товару?
|
Так 90%
|
Так 92%
|
Так 91%
|
Так 92%
|
|
Чи має значення товарна марка (бренд)?
|
Ні 89%
|
Ні 91%
|
Ні 92%
|
Ні 90%
|
|
Чи має значення дизайн упакування та
фасування?
|
Ні 95%
|
Ні 96%
|
Ні 95%
|
Ні 94%
|
|
Чи має значення країна-виробник продукту?
|
Ні 91%
|
Ні 90%
|
Ні 91%
|
Ні 93%
|
Як видно з табл. 3.5 регулярність
споживання продукції ТОВ «Морозко» у таких точках мінімальна, попит
ситуаційний, а ні планомірний. При цьому ціна є основним моментом вибору, а
дизайн упакування, товарна марку та країна-виробник продукції не мають значення
для споживача.
Оскільки було встановлено, що на
підтримку збуту у дрібно роздрібної мережі ТОВ «Морозко» витрачається основна
частина коштів, які призначені для прасування, підприємству пропонується
відмовитися від збуту у даному напрямку, але збільшити об’єми збуту товарної
продукції у супермаркетах, універсамах та гіпермаркетах. Витрати на просування
у даних каналах збуту менші ніж у дрібно роздрібної мережі, тобто
рентабельність продажів як по усьому товарному портфелю, так і по кожній
окремій товарній продукції буде вище.
Наступний етап формування
асортиментної матриці - це перегляд найменувань продукції, що випускається, і в
першу чергу звертають увагу на себе дві позиції - «фруктова суміш» та «овочева
суміш», бо саме ці дві позиції показують найменшу рентабельність продажів в
результаті зростання витрат на стимулювання збуту.
Опитування споживачів гіпермаркету
показало, що основна причина зниження інтересу до даного виду продукції -
велика расфасовка; є і інші причини, які зображені на рис. 3.1
Рисунок 3.1 - Структура причин
зниження попиту на позиції «фруктова суміш», % від загальної кількості
опитуваних
Більшість (78%) споживачів указали
на те, що для фруктової суміші оптимальна вага упакування складає 300 г (у
теперішній час - 500 г), тому підприємству необхідно знизити вагу упакування.
Проведене опитування ще раз підтверджує, що для споживачів гіпермаркетів ціна
на товарну продукцію ТОВ «Морозко» не має принципового значення.
На рис. 3.2 представлена причина
зниження попиту на асортиментну позицію «овочева суміш».
Опитування показує, що 64,6%
споживачів вказали на необхідність додавання у овочеву суміш злакових культур,
тобто, підприємству необхідно переглянути технологію виробництва.
Частина споживчого попиту на
асортиментну позицію «овочева суміш» є стійкою і переваги покупців поширюються
на класичну овочеву суміш без домішок. Тому оптимальним буде випуск даної
позиції у співвідношенні 50на 50, тобто половину випуску складає класична
овочева суміш, а другу половину - овочева суміш з домішками.
Рисунок 3.2 - Структура причин
зниження попиту на позиції «овочева суміш», % від загальної кількості
опитуваних
Проведене дослідження дозволяє
сформувати оптимальну асортиментну матрицю товарного портфелю ТОВ «Морозко»
(табл. 3.6)
Сформована матриця показує, що після
перегляду товарного портфелю відбулася відмова від співробітництва з дрібною
роздрібною мережею. Продажі, які були орієнтовані на дрібну роздрібну мережу,
перерозподілені між гіпермаркетами середнього класу та універсамами та
супермаркетами класу «дискаунтер».
Таблиця 3.6 - Асортиментна матриця
товарного портфелю ТОВ «Морозко»
|
Позиції
|
Гіпермаркети
|
Дискаунтери
|
|
Ціна, грн.
|
Вага упак., кг.
|
Кіль-ть упак., тис.шт.
|
Ціна, грн.
|
Вага упак. кг.
|
Кіль-ть упак., тис.шт.
|
|
Капуста кольорова заморожена
|
14,3
|
0,4
|
1004(58%)
|
14,3
|
0,4
|
727(42%)
|
|
Овочева суміш заморожена класична
|
16,8
|
0,350
|
329
|
16,8
|
0,350
|
238 (20%)
|
|
Овочева суміш заморожена зі злаками
|
17,8
|
0,350
|
566
|
17,8
|
-
|
-
|
|
Гриби заморожені
|
24,8
|
0,250
|
547(58%)
|
24,8
|
0,250
|
396(42%)
|
|
Фруктова суміш заморожена
|
20,8
|
0,300
|
478(58%)
|
20,8
|
0,300
|
346 (42%)
|
Завдяки зміненню упакування
«фруктової суміші» з 500г. на 300г., можна очікувати збільшення збуту на 60%
(за даними опитування фахівців підприємства), при цьому ціна на дану товарну
продукцію залишилась на попередньому рівні, бо було виявлено, що цінова
чуттєвість споживачів супер та гіпермаркетів невисока. Розподіл збуту між цими
точками продажів складає 58% та 42% від загального продажу. Крім того, товарний
портфель доповнений новою позицією - «овочева суміш зі злаками». Необхідно
зауважити, що у асортиментній матриці, що пропонується ціни практично на усі
товарні позиції збільшені на 7,6% у відповідності з темпами росту інфляції.
.3 Аналіз ефективності товарного
портфелю підприємства
Аналіз ефективності змінення
асортименту підприємства необхідно починати з розрахунку майбутнього об’єму
продажу з урахуванням змінення товарного портфеля. У табл.3.7 наведений об’єм
продажів підприємства ТОВ «Морозко» за останні 11 кварталів. Розрахуємо на
основі цих даних прогноз об’єму продажу на останній квартал 2012 року.
Таблиця 3.7 - Об’єм продажів за 11
кварталів ТОВ «Морозко» (тис. грн.)по асортиментній позиції «капуста кольорова»
|
2010
|
2011
|
2012
|
|
Квартал
|
1
|
2
|
3
|
4
|
5
|
6
|
7
|
8
|
9
|
10
|
11
|
|
Об’єм продажів
|
6200
|
5500
|
4950
|
5691
|
6280
|
5720
|
5010
|
5977
|
7100
|
5921
|
5980
|
|
Всього за рік
|
22341
|
22987
|
|
На першому етапі необхідно виключити
вплив сезонної варіації. Скористуємося методом ковзаючої середньої. Розрахунки
зведемо у табл. 3.8
Таблиця 3.8 - Оцінка сезонної
варіації
|
Номер кварталу
|
Об'єм
продажів
|
Ковзаюча середня за 4 квартали
|
Центрована ковзаючи середня
|
Оцінка сезонної варіації
|
|
1
|
2
|
3
|
4
|
5
|
|
1
|
6200
|
|
|
|
|
2
|
5500
|
|
|
|
|
3
|
4950
|
5585
|
5595
|
-645
|
|
4
|
5691
|
5605
|
5633
|
58,25
|
|
5
|
6280
|
5660
|
5668
|
612,3
|
|
6
|
5720
|
5675
|
5711
|
9
|
|
7
|
5010
|
5747
|
5849
|
-839
|
|
8
|
5977
|
5952
|
5977
|
0,1
|
|
9
|
7100
|
6002
|
6123
|
976,7
|
|
10
|
5921
|
6245
|
|
|
|
11
|
5980
|
|
|
|
Для того, що отримати дані для 3
стовпця необхідно скласти 4 послідовних числа з 2 стовпця та цю суму поділити
на 4 (кількість кварталів на рік). Отриманий результат записати у 3 стовбець
напроти 3 доданку. Тобто, (6200 + 5500+ 4950 + 5691) / 4 = 5585;
Напівсуму двох сусідніх чисел з 3
стовпця запишемо у 4 стовпець навпроти верхнього з них; 5 стовпець - це різниця
2-го та 4-го стовпців.
Скоректовану сезону варіацію
розрахуємо за допомогою таблиці 3.9
Корегуючий фактор (табл. 3.9)
розраховується наступним чином: сума оцінок сезоних варіацій (57,3) ділиться на
число кварталів у році (4). Тому з кожного числа цієї строки необхідно відняти
57,3/4 = 14,325.
Виключимо сезону варіацію з
фактичних даних. У табл. 3.10 проведемо десезоналізацію даних.
Таблиця 3.9 - Скоректована сезонна
варіація
|
Номер
квартала у році
|
|
|
1
|
2
|
3
|
4
|
|
|
|
|
-645,3
|
58,3
|
|
|
612,3
|
9,0
|
-839,3
|
0,1
|
|
|
976,7
|
|
|
|
Сума
|
|
Середнє значення
|
529,7
|
3,0
|
-494,8
|
19,5
|
57,3
|
|
Скоректована
сезонна варіація
|
515,3
|
-11,3
|
-509,2
|
5,1
|
0,0
|
|
|
|
|
|
|
|
Таблиця 3.10 - Десезоналізація
об’єму продажів
|
Номер кварталу
|
Об’єм продажів
|
Сезонна варіація
|
Десезоналізований об’єм продажів
|
|
1
|
6200
|
515,3
|
5684,7
|
|
2
|
5500
|
-11,3
|
5511,3
|
|
3
|
4950
|
-509,2
|
5459,2
|
|
4
|
5691
|
5,1
|
5685,9
|
|
5
|
6280
|
515,3
|
5764,7
|
|
6
|
5720
|
-11,3
|
5731,3
|
|
7
|
5010
|
-509,2
|
5519,2
|
|
8
|
5977
|
5,1
|
5971,9
|
|
9
|
7100
|
515,3
|
6584,7
|
|
10
|
5921
|
-11,3
|
5932,4
|
|
11
|
5980
|
-509,2
|
6489,2
|
Таблиця 3.11- Допоміжні розрахунки для
визначення коефіцієнтів
|
Номер
|
х
|
у
|
х2
|
ху
|
|
1
|
1
|
5
823,8
|
1
|
5823,83
|
|
2
|
2
|
5
499,2
|
4
|
10998,40
|
|
3
|
3
|
5
414,3
|
9
|
16242,98
|
|
4
|
4
|
5
603,7
|
16
|
22414,63
|
|
5
|
5
|
5
903,8
|
25
|
29519,13
|
|
6
|
6
|
5
719,2
|
36
|
34315,20
|
|
7
|
7
|
5
474,3
|
49
|
38320,28
|
|
8
|
8
|
5
889,7
|
64
|
47117,27
|
|
9
|
9
|
5
938,8
|
81
|
53449,43
|
|
10
|
10
|
5
808,2
|
100
|
58082,00
|
|
11
|
11
|
5
589,3
|
121
|
61482,58
|
|
Сума
|
66
|
62664,37
|
506
|
377765,7
|
Рівняння тренду: 
Знайдемо коефіцієнти a
та b за даними першого
та останнього стовпчиків табл. 3.10.
За допомогою методу найменших
квадратів визначимо значення коефіцієнтів a
та b
(3.1)
(3.2)
Тоді об’єм продажів у 12 кварталі
складе:
Прогноз об’єму продажів у 12-му
кварталі складе - 5824,9 тис. грн. Тоді прогнозуємий об’єм продажу по
асортиментній позиції «капуста кольорова складе за 2012 рік складе: 7100 +
5921,1 + 5980 + 5824,9 = 24826 тис. грн.
Аналогічно розраховуємо прогнозні
дані по об’єму продажів по всьому асортиментному портфелю підприємства.
Аналіз ефективності змінення
асортименту підприємства показано у табл. 3.12
Таблиця 3.12 - Аналіз прибутковості
та дохідності товарного портфелю ТОВ «Морозко» після оптимізації
|
Вид продукції
|
Об’єм збуту, тис.грн.
|
Собівар-тість вироб-ва, тис.грн.
|
Витрати на просув. тис.грн.
|
Прибу-ток від продажів тис.грн.
|
Рента-бельність продажів, %
|
|
Капуста кольорова заморожена (уп.0,4 кг)
|
24826
|
9260
|
1244
|
14332
|
57,7
|
|
Овочева суміш за-морожена (уп.0,350 кг)
класична
|
9526
|
4222
|
1996
|
34,7
|
|
Овочева суміш за-морожена зі злаками
|
10079
|
3368
|
1996
|
4715
|
46,8
|
|
Гриби заморожені (уп.0, 250 кг)
|
24322
|
10362
|
1838
|
12123
|
49,8
|
|
Фруктова суміш заморожена (уп.0,5 кг)
|
18505
|
7869
|
1159
|
9477
|
51,2
|
|
Всього
|
87258
|
35081
|
8233
|
43956
|
|
Рисунок 3.3 Динаміка рентабельності
асортиментних позицій товарного портфелю ТОВ «Морозко» за 2011-2012 роки
Порівняємо динаміку рентабельності
товарного портфелю на кінець звітного року (2011 рік) та прогнозне на кінець
2012 року за винятком товарної позиції «овочева суміш, заморожена зі злаками»,
бо даної товарної позиції раніше у портфелі не було (рис. 3.3).
Очевидно, що є зростання
рентабельності збуту усіх асортиментних позицій, при цьому якщо попередні
високорентабельні позиції показали незначний приріст значень (наприклад, по
позиції «капуста кольорова» значення рентабельності збільшилось на 5,2 п.п., а
по позиції «гриби» всього на 0,6 п.п), то по низькорентабельним позиціях спостерігається
максимальний приріст значень. Так, по позиції «овочева суміш класична» приріст
рентабельності склав 11,3 п.п., а по позиції «фруктова суміш - 36п.п.; це
свідчить про ефективність складання асортиментних матриць та указує на
підвищення результативності управління товарним портфелем ТОВ «Морозко».
Таблиця 3.13 - Аналіз звіту про
прибутки та збитки (прогноз на 2012 рік), тис. грн.
|
Показник
|
Період
|
Змінення
|
|
2011р.
|
2012р.
|
(+;-)
|
у %
|
|
Доход
|
75847
|
87258
|
11411
|
15,0
|
|
Собівартість
|
34067
|
35081
|
1014
|
2,97
|
|
Валовий прибуток
|
41780
|
52177
|
10397
|
24,88
|
|
Комерційні витрати
|
12866
|
8233
|
-4633
|
-36,0
|
|
Управлінські витрати
|
8193
|
8193
|
0
|
0,0
|
|
Прибуток (збиток) від продажу
|
20721
|
35751
|
15030
|
72,53
|
|
Відсотки до отримання
|
659
|
659
|
0
|
0,0
|
|
Відсотки до плати
|
3711
|
3711
|
0
|
0,0
|
|
Доходи від участі у інших організаціях
|
738
|
738
|
0
|
0,0
|
|
Інші доходи
|
92328
|
92328
|
0
|
0,0
|
|
Інші витрати
|
89911
|
89911
|
0
|
0,0
|
|
Прибуток (збиток) до оподаткування
|
20824
|
35854
|
15030
|
72,2
|
|
Податок на прибуток
|
5266
|
7168
|
1902
|
36,1
|
|
Чистий прибуток
|
15558
|
28686
|
13128
|
84,4
|
В результаті формування
асортиментних матриць не тільки зростає рентабельність окремих товарних
позицій, а і змінюються основні фінансові показники (результати). У табл. 3.13
представлений аналіз прогнозного звіту про прибутки та збитки ТОВ «Морозко».
Статті доходів та витрат, на які е було зроблено безпосереднього впливу,
приймаються такими, як і у звітному році.
Рисунок 3.4 - Динаміка фінансових
результатів за період 2001-2012 роки ТОВ «Морозко», тис.грн. (прогноз)
Прогнозний звіт показує, що в
результаті зміни асортименту продукції усі показники прибутковості мають
тенденцію до зростання. Динаміка фінансових результатів в прогнозі представлена
на рис. 3.4.
В результаті перегляду товарного
портфеля і створення асортиментних матриць доход досліджуваного підприємства
зростає на 15%, при цьому сумарна собівартість продукції, що випускається,
зростає всього на 2,97%, це дозволяє підвищити валовий прибуток на 24,88%.
В результаті відмови від співпраці з
дрібною роздрібною мережею (через посередників) і, відповідно, зниження витрат
на стимулювання збуту на 36% за інших рівних умов, прибуток від продажів
зростає на 72,53%. Це у свою чергу свідчить про зростання операційної
ефективності підприємства, що досліджується.
Окрім цього зростання прибутку від
продажів істотно збільшує прибуток до оподаткування (темп зростання цієї статті
в прогнозі на 2012 рік складає 72,2%), при цьому об'єктивне збільшення податку
на прибуток не робить істотного впливу на темпи зростання чистого прибутку.
В результаті проведених змін в
асортименті продукції і оптимізації товарного портфеля підприємства ТОВ
"Морозко" темп зростання чистого прибутку склав 84,4%, що свідчить
про підвищення стратегічної ефективності діяльності підприємства.
4. ОХОРОНА ПРАЦІ І НАВКОЛИШНЬОГО
СЕРЕДОВИЩА
4.1 Загальні питання охорони праці
Підвищення технічної оснащеності
підприємств, застосування нових матеріалів, конструкцій і процесів, збільшення
швидкостей і потужностей машин робить вплив на характер і частоту нещасних
випадків і захворювань на виробництві. Праця людини в сучасному
автоматизованому і механізованому виробництві є процесом взаємодії людини і
машини, причому центральне місце належить людині - оператору. Поліпшення умов
праці, підвищення його безпеки впливають на результати виробничої діяльності:
продуктивність праці, якість і вартість продукції, що випускається, а також
приводить до зниження виробничого травматизму, професійних захворювань,
зберігає здоров'я працівників і одночасно приводить до зменшення витрат на
оплату пільг і компенсацій за роботу в несприятливих умовах праці.
В існуючому законодавстві [1 ]
велику увагу надається питанням захисту працюючих від дії небезпечних і
шкідливих чинників виробничого середовища. В законі України про охорону праці»
(2002г.) сказано, що державна політика базується на принципах пріоритету життя
і здоров'я працівників по відношенню до результатів виробничої діяльності
підприємства, повної відповідальності власника за створення безпечних і
нешкідливих умов праці.
Використовуються економічні методи
для управління охороною праці на підприємстві. Створюються національні,
галузеві, регіональні програми з питань охорони праці, враховуючі різні напрями
економічної і соціальної політики держави. Встановлюються єдині нормативи по
охороні праці для всіх підприємств, організацій незалежно від форм власності.
Створюються страхові фонди.
4.2 Управління охороною праці на
підприємстві
Працедавець зобов'язаний створити на
робочому місці, в кожному структурному підрозділі, умови праці, відповідні
нормативно-правовим актам.
З цією метою працедавець забезпечує
функціонування системи управління охороною праці, а саме:
створює відповідні служби і
призначає посадовців, які забезпечують рішення конкретних питань охорони праці,
затверджує інструкції про їх обов'язки, права і відповідальність за виконання
покладених на них функцій, а також контролює їх виконання;
розробляє за участю сторін
колективного договору і реалізує комплексні заходи для досягнення встановлених
нормативів і підвищення існуючого рівня охорони праці;
організовує атестацію робочих місць
на відповідність нормативним актам з охорони праці;
забезпечує виконання необхідних
профілактичних заходів у разі зміни умов праці;
упроваджує прогресивні технології,
досягнення науки і техніки, засоби механізації і автоматизації виробництва,
дотримує вимоги ергономіки, використовує позитивний досвід в області охорони
праці і тому подібне;
забезпечує належний зміст будівель і
споруд, виробничого устаткування і оснащення, моніторинг за їх технічним
станом;
забезпечує усунення причин, які
можуть привести до нещасних випадків, професійних захворювань, і забезпечує
здійснення профілактичних заходів, визначених комісіями за підсумками
розслідування цих причин;
організує проведення аудиту охорони праці,
лабораторних досліджень умов праці, дає оцінку технічного стану виробничого
устаткування і оснащення;
розробляє і затверджує положення,
інструкції, інші акти по охороні праці, які діють в межах підприємства (далі -
акти підприємства). Встановлює послідовність виконання робіт і поведінки
працівників на території підприємства, у виробничих приміщеннях, на будівельних
майданчиках, робочих місцях відповідно до державних міжгалузевих і галузевих
нормативних актів по охороні праці, забезпечує безкоштовно працівників
нормативно-правовими актами і актами підприємства по охороні праці;
здійснює контроль за дотриманням
працівником технологічних процесів, правил поводження з машинами, механізмами,
устаткуванням і іншими засобами виробництва, використовуванням засобів
колективного і індивідуального захисту, виконанням робіт щодо вимог по охороні
праці;
організовує пропаганду безпечних
прийомів праці і співпраці з працівниками в області охорони праці;
передбачає термінові заходи для
надання допомоги потерпілим, привертає при необхідності професійні
аварійно-рятівні формування у разі виникнення на підприємстві аварій і нещасних
випадків.
Працедавець несе безпосередню
відповідальність за порушення відзначених вимог[1 ].
.3 Перелік небезпечних і шкідливих
виробничих факторів
В даному розділі розглядається
робоче місце з
використанням персонального ЕОМ при виконанні дипломної роботи.
Характеристика приміщення, в якому
знаходиться комп'ютер: розміри приміщення:
-
площа: S = 6 × 10 = 60 м2;
-
об'їм: V = 6 × 10 × 3,5
= 210
м3.
Згідно [2
],
норма площі на одного працюючого не повинна бути менше 6 м2. В приміщенні, що
розглядається, вісім робочих місць, таким чином необхідна площа: Sнеобх. = 6 ×
8 = 48м2. Отже, приміщення відповідає вимогам [2
].
Приміщення розташовано на другому поверсі чотириповерхової будівлі.
Приміщення пожежонебезпечне,
категорії В, оскільки в ньому знаходяться тверді матеріали, що згорають [3
].
Відповідно до обліку категорії пожежонебезпечності і поверховості будівлі, в
якій розміщено дане приміщення, ступінь вогнестійкості будівлі - ІІ [4 ].
Перелік основних небезпечних і
шкідливих виробничих чинників, які зустрічаються на робочому місці, що
розглядається, надано в таблиці 4.1 [5 ]
Таблиця 4.1- Небезпечні і шкідливі
виробничі чинники
|
Найменування чинників
|
Джерела виникнення
|
Характер дії на організм людини
|
Нормований параметр
|
|
1
|
2
|
3
|
4
|
|
Шум
|
Принтери, сканери, системні блоки
|
Розлади ЦНС, зниження слуху
|
Рівень звуку Lр, дБА
|
|
Вібрація
|
Системні блоки ЕОМ
|
Розлади серцево-судинної системи, ЦНС
|
Рівень виброшвидкості Lv, дБ
|
|
М'яке рентгенівське випромінювання
|
Монітори ЕОМ
|
Стомлення, захворювання органів зору,
|
Еквівалентна доза, Р, мкР/ч
|
|
Електромагнітне випромінювання
|
Монітори ЕОМ
|
Пониження кров'яного тиску
|
Напруженість, Е, В/м
|
|
Ультрафіолетове інфрачервоне випромінювання
|
Монітори ЕОМ
|
Головний біль, сонливість, запаморочення.
|
Інтенсивність теплових випромінювань Е, Вт/м2
|
|
Електростатичне поле
|
Комп'ютерна техніка
|
Головний біль, погіршення зору
|
Напруженість, Е, кВ/м
|
|
Яскравість екрану
|
Монітор
|
Стомлення очей
|
Не більше 40 кд/м2
|
|
Підвищена іонізація повітря
|
Комп'ютер
|
Опромінювання
|
Кількість іонів в 1см3 n+
=1500 - 3000 n- = 3000 - 5000
|
|
Напруга в електромережі
|
Штучне освітлення
|
Поразка електрик-ним струмом
|
Uпр ≤ 36
|
|
Монотонність праці
|
Безперервна робота на ЕОМ
|
Стомлення ЦНС
|
-
|
4.4 Промислова санітарія
Метеорологічні умови вибираються
відповідно до вимог [6 ]. При роботах операторського типу, пов'язаних з великою
нервово-емоційною напругою, передбачені оптимальні значення параметрів
мікроклімату в приміщенні. Енерговитрати складають 139 Вт, оскільки роботи
виконуються сидячи. Категорія виконуваних робіт - Iа. Оптимальні норми
температури, відносної вологості, швидкості руху повітря в приміщенні в
холодний і теплий період року для категорії робіт Iа надані в таблиці 4.2.
Таблиця 4.2 - Оптимальні параметри
мікроклімату
|
Период
роки
|
Категорія виконуваних робіт по енерговитратах
|
Температура, 0С
|
Відносна вологість, %
|
Швидкість руху повітря, м/с
|
|
Теплий
|
I а
|
23 - 25
|
40 - 60
|
0,1
|
|
Холодний
|
I а
|
22 - 24
|
40 - 60
|
0,1
|
Для забезпечення параметрів
мікроклімату в межах норми, оптимального рівня іонізації [n+ = (1500 ÷
3000), n― = (3000 ÷ 5000)] в см3
повітря [2 ], концентрації пилу нижче встановленого значення ГДК = 4 мг/м3, в
даному приміщенні передбачені прилади зволоження і штучної іонізації повітря, а
також кондиціонування повітря [7 ]. Вид опалювання - центральний. Джерела
надходження води - міський водопровід, діюча каналізація -
господарсько-побутова [8 ]
.
Передбачено природне і штучне
освітлення в приміщенні, в якому розташовано робоче місце. За найменшим
розміром об'єкту розрізнення, характеристики фону і контрасту об'єкту
розрізнення з фоном встановлюємо розряд зорових робіт - IIIв
Природне освітлення - односторонньо
бічне. Нормативне значення коефіцієнта природної освітленості визначаємо по
наступній формулі:
% (
4.1 )
де еN
- коефіцієнт природної освітленості;н - коефіцієнт природної освітленості для
III розряду зорових робіт;N
- коефіцієнт світлового клімату (0,9);
номер
групи забезпеченості природним світлом
Необхідну сумарну площу світлових
отворів в приміщенні з одностороннім бічним освітленням, має розміри: L=10 м,
В= 6 м, H=3,5 м визначаємо по формулі:
м2; (4.2)
ок- світлова
характеристика вікна
ок = 13,5;
кз - коефіцієнт запасу, враховуючий
зниження освітленості в процесі експлуатації скла, кз = 1,4;п - площа підлоги
приміщення; Sп = L·В= 10
· 6 = 60м2;
кзд - коефіцієнт, що
враховує затемнення вікон протилежними будівлями, кзд
= 1;
- загальний
коефіцієнт світлопроникнення;
(4.3)
коефіцієнт, що
враховує вид матеріалу, що пропускає світло
0,8;
коефіцієнт, що
враховує вид палітурки;
0,8;
коефіцієнт, що
враховує вид несучих конструкційних матеріалів, при бічному освітленні;
1;
коефіцієнт, що
ураховує втрати світла в сонцезахисних пристроях;
0,65;
- коефіцієнт, що
враховує вплив відображеного світла при бічному освітленні, r1 =3,0;
0,8·0,8·1·0,65
=0,416
Сумарна площа світлових отворів S0 =
16,36
м2
Штучне освітлення - загальне
рівномірне. Як джерела світла використовуємо люмінесцентні лампи типу ЛТБ 80-2.
Нормативне значення освітленості для IIIв розряду зорових робіт Еmin
складає 300 лк. Загальне освітлення виконано у вигляді переривчатих ліній
світильників ЛП033 виконання 001 прямого світла (П) з дзеркальними екранними
сітками і відбивачами. Основні характеристики освітлення, що передбачено в
приміщенні надані в таблиці 4.3
[9
].
Таблиця 4.3-
Характеристика освітлення
|
Площа підлоги, м2
|
Розряд зорових робіт
|
Освітлення
|
|
|
природне
|
штучне
|
|
|
Вид освітлення (верхнє, бічне)
|
КЕО еN %
|
Мінімальна освітленість, Еmin, лк
|
|
60
|
IIIв
|
бічне
|
1,8
|
300
|
Шум є одним з найпоширеніших на
виробництві шкідливих чинників. У відповідності з [10] на робочому місці при
рішенні завдань потребуючої концентрації уваги рівні звуку і еквівалентні рівні
звуку не повинні перевищувати 50 дБА. Відповідно з [11]
рівень вібрації для категорії 3, тип „в”, в умовах „комфорту” не повинна
перевищувати 75 дБ. Для зменшення рівня звуку і вібрації застосовуються
демпфуючі матеріали (гумова прокладка під принтер). Шумопоглинальні засоби
застосовуються не спаленні або тяжко спаленні спеціальні перфоровані плити,
панелі, мінеральна вата та інші.
Комп'ютер і в першу чергу монітор є
джерелами:
електростатичного поля;
слабих електромагнітних
випромінювань в низькочастотному і високочастотному діапазонах (2 Гц …400 Гц);
рентгенівського випромінювання;
ультрафіолетового, інфрачервоного і
випромінювання видимого діапазону.
Згідно [12],
встановлюються гранично допустимі значення напруженості електричного і
магнітного полів частотою 50 Гц залежно від часу перебування персоналу в
приміщенні. Напруженість електричного поля не перевищує 5 кВ/м, напруженість
магнітного поля на робочому місці не перевищує 8 кА/м, а напруженість
електростатичного поля не перевищує 20 кВ/м [13],
що дозволяє не регламентувати час перебування в приміщенні.
Потужність експозиційної дози
рентгенівського випромінювання на відстані 0,05 м від екрану не перевищує 0,1
мбер/час [14].
Рівні
всіх
можливих випромінювань достатньо низькі і не перевищують діючі норми. На
робочому місці, що вивчається, розміщений найбезпечніший монітор, в якому
створений додатковий металевий внутрішній контур, замкнутий на вбудований
захисний екран.
При організації робочого місця за
комп'ютером дотримувалися наступні розміри:
відстань від підлоги до сидіння
крісла дорівнює 440 мм;
відстань від сидіння крісла до
нижнього краю робочої поверхні 330 мм;
відстань від очей до дисплея 550 мм;
простір для ніг 770 мм;
відстань від ніжки столу до краю
робочої поверхні столу 640 мм;
М - відстань між передньою поверхнею
тіла і краєм робочої поверхні столу 80 мм;
відстань від очей до документації
500 мм;
оптимальна зона моторного поля 360
мм;
висота робочої поверхні 800 мм;
кут огляду документів 30!.
Екран дисплея по висоті розташований
на столі так, що кут між нормаллю до центру екрану і горизонтальною лінією
погляду складає 20!. Кут спостереження екрану в горизонтальній площині не
перевищує 60° [14,15].
Передбачені
перерви, що регламентуються, для відпочинку тривалістю 15 хвилин після кожних
двох годин роботи.
.5 Електробезпека
При проектуванні систем
електропостачання, при монтажі силової електроустаткуванні і електричного
освітлення в будівлях і приміщеннях для ЕОМ необхідно дотримуватися вимог
нормативно-технічної документації (ПУЕ, ПТЕ, ПТБ і ін.).
Рід струму - змінний, напруга в
мережі 220 / 380В. ЕОМ
є однофазним споживачем електроенергії від трифазної чотирьох провідної мережі
з глухо заземленою нейтраллю змінного струму частотою 50 Гц. По ступені
небезпеки поразки електричним струмом приміщення ставиться до приміщень з
підвищеної небезпеки [16].
Працівник, що поступає на роботу,
обов'язково проходить ввідний і первинний інструктаж по техніці безпеки в цілях
профілактики нещасних випадків, а також знайомиться з інструктажем по
дотриманню заходів техніки безпеки при роботі з ПЕВМ.
.6 Пожежна безпека
Категорія приміщення по
вибухо-пожежонебезпеки - В [3 ],
вогнестійкість будівлі - II [4 ].
Зона класу приміщення П-IIа. Ступінь захисту оболонки для вказаної пожежонебезпечної
зони - IР44[17].
Можливими причинами пожеж в
приміщенні може бути несправність електропроводки і електроустаткування,
коротке замикання в мережі, зберігання горючих матеріалів, блискавка і т.д.
Згідно [18]
пожежна безпека забезпечується системами запобігання пожежі, пожежного захисту
і організаційно-технічними заходами.
В системі запобігання пожежі
передбачені наступні заходи: контроль і профілактика ізоляції, наявність
плавких запобіжників в устаткуванні, блискавкозахист будівлі. Для даного класу
пожежонебезпечної зони приміщення П-IIа, з урахуванням кількості грозових годин
у рік (20 годин), встановлено ІІ категорію блискавкозахисту [19].
Система пожежного захисту передбачає
забезпечення вогнегасниками -ВВК-8.
.7 Охорона навколишнього середовища
На робочому місці, що розглядається,
відсутні відходи, що забруднюють навколишнє середовище, оскільки устаткування
(ПЕВМ, принтер) не є джерелом забруднення навколишнього середовища. Проте при
виробленні ресурсу устаткування стає повторною сировиною і підлягає
утилізації[20].
ВИСНОВКИ
Ефективна маркетингова політика є
однією з головних передумов ринкового успіху підприємства. Практика свідчить,
що успішно працюючі підприємства зобов’язані цим, у першу чергу, продукції, яка
відповідає запитам споживачів більшою мірою, ніж продукція їх конкурентів,
забезпечує більший ступінь задоволення їх потреб у межах наявної купівельної
спроможності.
У ході дипломного дослідження було
встановлено, що товар є одним з елементів комплексу маркетингу. Маркетингова
товарна політика спрямована на визначення заходів, у рамках яких один або
кілька товарів використовуються як основні інструменти досягнення цілей фірми і
передбачає прийняття управлінських рішень щодо розробки нових товарів,їхньої
модифікації або зняття з виробництва.
Після розробки кожен товар на ринку
проходить певний життєвий цикл, який складається з чотирьох етапів:
впровадження на ринок, зростання, зрілості, спаду. Кожному етапові відповідає
своя стратегія, яка охоплює товарну, цінову, комунікаційну політику та політику
розподілу. Ефективність маркетингової стратегії визначає тривалість життєвого
циклу товару.
Формування оптимальної структури
асортименту має забезпечити вдало обрана товарна стратегія, вибір якої
пов'язаний з певним етапом життєвого циклу товару - стратегія інновації,
стратегія диференціації та стратегія диверсифікації.
Предмет дипломного дослідження:
товарна політика підприємства ТОВ «Морозко». ТОВ «Морозко» працює на ринку з
2009р у сфері переробки (заморожування свіжих овочів та фруктів) та збуту
готової продукції.
Проаналізував фінансово-економічні
показники, які відображають ефективність організації виробництва продукції у
відповідності з асортиментом та результати діяльності підприємства у цілому -
ліквідність, платоспроможність, фінансову стійкість та фінансові результати
було отримано наступні результати: у підприємства спостерігається поступове
зростання фінансових результатів діяльності на протязі 2009-2011 років, що є
позитивним моментом, однак простежується явна тенденція зниження рівня прибутку
за рахунок зростання собівартості продукції. За 2011 рік зростання собівартості
порівняно з 2010 роком склало 11,7%, при зростанні доходу на 5,1%, тобто
підприємство понесло витрат більше ніж отримало доходу пропорційно цим
витратам. Це пов’язано в першу чергу з необхідністю розширяти діяльність ТОВ
«Морозко» та збільшувати рівень витрат на маркетинг та стимулювання збуту
продукції.
Динаміка збуту асортиментних позицій
товарного портфеля ТОВ «Морозко» за період 2009-2011 роки дозволяє зробити
висновки про те, що планування виробництва та збуту продукції відрізняється незбалансованістю,
в результаті чого можна спостерігати максимальний чи мінімальний темп зростання
окремих асортиментних позицій, що не відповідає загальній динаміці продуктового
портфелю. Таким чином існують дві основні проблеми: недостатній баланс товарного
портфелю та зростання витрат на просування окремих позицій.
Управління товарним портфелем для
підприємств э найбільш важливим моментом у процесі виробництва та випуску
продукції: з одного боку, товарний портфель впливає на організацію виробництва;
з іншого якість товарного портфелю впливає на динаміку дохідності та
прибутковості підприємства.
У дипломі було встановлено, що
товарний портфель підприємства ТОВ «Морозко» складається з чотирьох позицій.
При цьому не усі позиції однаково рентабельні, а крім того висока чутливість
кінцевих споживачів до змінення ціни продукції. В результаті стимулювання збуту
доходи підприємства зростають, а прибутковість знижається.
Усі напрямки збуту товарної
продукції підприємства ТОВ «Морозко» можна класифікувати наступним чином: збут
у гіпермаркети середнього класу; збут у супермаркети та універсами класу
дискаунтерів (магазинів з широким асортиментом товарів за оптовими цінами);
збут у середньо- та дрібнороздрібні точки продажів формату «магазин у дома».
Оскільки було встановлено, що на
підтримку збуту у дрібно роздрібної мережі ТОВ «Морозко» витрачається основна
частина коштів, які призначені для прасування, підприємству пропонується
відмовитися від збуту у даному напрямку, але збільшити об’єми збуту товарної
продукції у супермаркетах, універсамах та гіпермаркетах.
Проведене у дипломі дослідження
дозволяє сформувати оптимальну асортиментну матрицю товарного портфелю ТОВ
«Морозко». Сформована матриця показує, що після перегляду товарного портфелю
відбулася відмова від співробітництва з дрібною роздрібною мережею. Продажі,
які були орієнтовані на дрібну роздрібну мережу, перерозподілені між
гіпермаркетами середнього класу та універсамами та супермаркетами класу
«дискаунтер». Завдяки зміненню упакування «фруктової суміші» з 500г. на 300г.,
можна очікувати збільшення збуту на 60% (за даними опитування фахівців
підприємства), при цьому ціна на дану товарну продукцію залишилась на
попередньому рівні, бо було виявлено, що цінова чуттєвість споживачів супер та
гіпермаркетів невисока. Розподіл збуту між цими точками продажів складає 58% та
42% від загального продажу. Крім того, товарний портфель доповнений новою
позицією - «овочева суміш зі злаками». Необхідно зауважити, що у асортиментній
матриці, що пропонується ціни практично на усі товарні позиції збільшені на
7,6% у відповідності з темпами росту інфляції.
В результаті проведених змін в
асортименті продукції і оптимізації товарного портфеля підприємства ТОВ
"Морозко" темп зростання чистого прибутку склав 84,4%, що свідчить
про підвищення стратегічної ефективності діяльності підприємства.
СПИСОК ДЖЕРЕЛ
ІНФОРМАЦІЇ
Маркетинг:
Учебник./Под ред. А.И.Романова. - М.: Банки и биржи ЮНИТИ, 1996. - 560 с.
2 Фатхудинов
Р.А. Стратегический маркетинг: Учебник для вузов. - Питер, 2003. - 347 с.
Гаркавенко
С.С. Маркетинг: Учебник. - Киев: Либра, 2002. - 712 с.
Маркетинг:
Учебник для высших учебных заведений/Под ред. О.М.Азарян. - К.: МО и Н Украины,
НВФ “Студцентр”, 2003. - 400 с.
Кардаш
В.Я. Маркетинговая товарная политика: Учебное пособие. - К.: КНЭУ, 1997. - 155
с.
Котлер
Ф. Маркетинг менеджмент. - СПб.: Питер Ком, 1998. - 896 с.
Мозговой
О.М. Товарная политика и планирование товара в международном маркетинге. - К.:
КГЭУ, 1995.
Гурков
И.Б. Инновационное развитие и конкурентоспособность. - М.: ТЭИС, 2003.
Дей
Д. Стратегический меркетинг: Пер. с англ. - М.: ЭКСМО - Пресс, 2002.
Кревенс
Д.В. Стратегический маркетинг: Пер. с англ. - М.: Вильямс, 2003.
Ламбен
Ж.-Ж. Стратегический маркетинг. - СПб.: Наука, 1996.
Лифиц
И.М. Теория и практика оценки конкурентоспособности товара и услуг. - М.: Юрайт
- М, 2001.
Моисеева
Н.К. Международный маркетинг: Учебник. - М.: Центр экономики и маркетинга,
1998.
Смит
П., Бэрри К., Пулфорд А. Коммуникации стратегического маркетинга: Пер. с англ.
- М.:ЮНИТИ, 2001.
Фатхудинов
Р.А. Конкурентоспособность организации в условиях кризиса: экономика,
маркетинг, менеджмент. - М.: Маркетинг, 2002.
Эткинсон
Дж., Уилсон И. Стратегический маркетинг: ситуации, приметы. - М.: ЮНИТИ, 2001.
Юданов
А.Ю. Конкуренция: теория и практика: Учеб. пос., 3-е изд., перераб. и доп. -
М.: Гном - Пресс, 2000.
Голубков
Е.П. Маркетинг: выбор лучшего решения. - М.: Экономика, 1993.
Родин
В.Г. Основы маркетинга. - М.: 1992.
Соловьев
Б.А. Основы теории и практики маркетинга. - М.: МИНХ им. Плеханова Г.В., 1991.
Хруцкий
В.Е. Современный маркетинг. - М.: Финансы и статистика, 1991.
Теория
и практика маркетинга /Под ред. В.Н.Стаханова. - М.: СП “Крокус”, 1997.
Эванс
Дж.Р., Берман Б. Маркетинг: Сокр. Пер. с англ. / Автор предисл. и научн. ред.
А.А.Горячев. - М.: Экономика,
1993. - 335 с.
Маркетинг:
Учебник для высших учебных заведений /Под ред. О.М.Азарян. - К.: ИМСО МО
Украины, НВФ “Студцентр”, 2003. - 400 с.
Акулич
И.Л., Демченко Е.В. Основы маркетинга: Учеб. пособие. - М.: Высш. шк., 1998.
Багиев
Г.Л. и др. Маркетинг: Учеб. для вузов. - М.: ОАО “Изд-во”Экономика”, 1999.
Герасимчук
В.Г. Маркетинг: теория и практика: Учеб. пособие. - К.: Высш. шк., 1994.
Войчак
А.В. Маркетинговый менеджмент: Учебник. - К.: КНЭУ, 1998.
Евдокимов
Ф.И., Гавва В.М. Азбука маркетинга: Учебн. пособие, 3-е изд. - Донецк: Сталкер,
1998.
30
Гурков И.Б., Титова Н. Тенденции изменения конкурентоспособности отечественной
продукции / Маркетинг. - М.: 1997:
Завьялов
П.С. Маркетинг в схемах, рисунках, таблицах: Учеб. пособие. - М.: ИНФРА - М,
2000. - 496 с.
2
Кретов И.И. Маркетинг предприятия: Практ. пособие. - М.: АО “Тинстатинформ”,
1994.
33 Менеджмент,
маркетинг /Под ред. Р.С.Сегедова. - Минск: Выш. шк., 1995. - 382 с.
34 Ибрагимов
Л. А. Инфраструктура товарного рынка. - М.: ПРИОР, 2001. - 256 с.
35 Ильенкова
С. Д. Инновационный менеджмент. - М.: Банки и биржи, 1997.
Ілляшенко
С.М. Маркетингова товарна політика: Підручник. - Суми: „Університетська книга”,
2005. - 234с.
Кардаш
В. Я. Товарна інноваційна політика: Навч. посіб. - К.: КНЕУ, 2006.
38 Кобиляцький
Л.С. Управління конкурентоспроможністю: Навчальний посібник. - К.: Зовнішня
торгівля, 2003. - 304 с.
39 Маркетинг
в отраслях и сферах деятельности: Учебник / Под ред. проф. В.А. Алексунина. -
М.: Маркетинг, 2001. - 516 с.
40 Маркетингова
товарна політика: метод. рекомендації / М-во освіти і науки України, Чернів.
нац. ун-т ім. Юрія Федьковича ; [уклад. І. Г. Черданцева]. - Чернівці : Рута,
2008. - 67 с.
41 Мороз
Л.А., Чухрай Н.І. Маркетинг: Підручник / За редакцією Л.А. Мороз. - 2-е вид. -
Львів: Інтелект-Захід, 2002. - 244 с.
42 Нагапетьянц
Н.А. Прикладной маркетинг: Учебн. пособие для вузов. - 2-е изд., перераб. и
доп. - М.:Юнити-Дана, 2002. - 287 с.
43 Полторак
В.А. Маркетингові дослідження: Навчальний посібник. - К.: Центр навчальної
літератури, 2003. - 387 с.
44 Снегирева
В. Розничный магазин. Управление ассортиментом по товарным категориям. - Спб.:
Питер, 2005. - 416 с.
45 Снегирева
В.В., Снегирева Н.И., Лындина Е.Н. Управление развитием торгового ассортимента
// Маркетинг успеха. - 2003. - №10
46 Тєлєтов
О.С. Маркетинг у промисловості: Підручник. - Київ: Центр навчальної літератури,
2004. - 248 с.
47 Черчилль
Г.А. Маркетинговые исследования. - СПб.: Питер, 2000. -
752 с.
Шканова
О. М. Маркетингова товарна політика: Навч. посіб. -
К.: МАУП, 2003. - 160 с.
49 Шканова
О.М. Маркетинг послуг: Навч. посіб. - К.: Кондор, 2003.-
204 с.
Энджел
Д., Блэкуэлл Р., Миниард П. Поведение потребителей. - СПб.: Питер, 2000.