Изучение теории конических сечений
Введение
Актуальность темы исследования. Конические сечения были
известны уже математикам Древней Греции (например, Менехму, 4 в. до н.э.); с
помощью этих кривых решались некоторые задачи на построение (удвоение куба и
др.), оказавшиеся недоступными при использовании простейших чертёжных
инструментов - циркуля и линейки. В первых дошедших до нас исследованиях
греческие геометры получали конические сечения, проводя секущую плоскость
перпендикулярно к одной из образующих, при этом, в зависимости от угла раствора
при вершине конуса (т.е. наибольшего угла между образующими одной полости),
линия пересечения оказывалась эллипсом, если этот угол - острый, параболой,
если - прямой, и гиперболой, если - тупой. Наиболее полным сочинением,
посвященным этим кривым, были «Конические сечения» Аполлония Пергского (около
200 до н.э.). Дальнейшие успехи теории конических сечений связаны с созданием в
17 в. новых геометрических методов: проективного (французские математики Ж.
Дезарг, Б. Паскаль) и в особенности координатного (французские математики Р.
Декарт, П. Ферма).
Интерес к коническим сечениям всегда поддерживался тем, что
эти кривые часто встречаются в различных явлениях природы и в человеческой
деятельности. В науке конические сечения приобрели особенное значение после
того, как немецкий астроном И. Кеплер открыл из наблюдений, а английский учёный
И. Ньютон теоретически обосновал законы движения планет, один из которых
утверждает, что планеты и кометы Солнечной системы движутся по коническим
сечениям, в одном из фокусов которого находится Солнце. Следующие примеры
относятся к отдельным типам конических сечений: параболу описывает снаряд или
камень, брошенный наклонно к горизонту (правильная форма кривой несколько
искажается сопротивлением воздуха); в некоторых механизмах пользуются зубчатыми
колёсами эллиптической формы («эллиптическая зубчатка»); гипербола служит
графиком обратной пропорциональности, часто наблюдающейся в природе (например,
закон Бойля - Мариотта).
Цель работы:
Изучение теории конических сечений.
Тема исследования:
Конические сечения.
Цель исследования:
Теоретически изучить особенности конических сечений.
Объект исследования:
Конические сечения.
Предмет исследования:
Историческое развитие конических сечений.
1.
Образование конических сечений и их типы
Конические сечения - это линии, которые образуются в сечении
прямого кругового конуса с различными плоскостями.
Заметим, то конической поверхностью называется поверхность,
образованная движением прямой, проходящей все время через неподвижную точку
(вершину конуса) и пересекающей все время неподвижную кривую - направляющую (в
нашем случае - окружность).
Классифицируя эти линии по характеру расположения секущих
плоскостей относительно образующих конуса, получают кривые трех типов:
I. Кривые, образованные сечением конуса плоскостями, не
параллельными ни одной из образующих. Такими кривыми будут различные окружности
и эллипсы. Эти кривые называются кривыми эллиптического типа.
II. Кривые, образованные сечением конуса
плоскостями, каждая из которых параллельна какой-нибудь одной из образующих
конуса (рис. 1 б). Такими кривыми будут только параболы.
III. Кривые, образованные сечением конуса
плоскостями, каждая из которых параллельна каким-нибудь двум образующим (рис. 1
в). такими кривыми будут гиперболы.
Никакого IV типа кривых уже быть не может, так как не может
быть плоскости, параллельной сразу трем образующим конуса, поскольку никакие
три образующие конуса сами уже не лежат в одной плоскости.
Заметим, что конус можно пересечь плоскостями и так, чтобы в
сечении получились две прямые. Для этого секущие плоскости надо проводить через
вершину конуса.
2.
Эллипс
Для изучения свойств конических сечений важны две теоремы:
Теорема 1. Пусть дан прямой круговой конус, который рассечен
плоскостями α1, α2, α3, перпендикулярными к его
оси. Тогда все отрезки образующих конуса между какой-либо парой окружностей
(полученных в сечении с данными плоскостями) равны друг другу, т.е. А1В1=А2В2=
и т.д. и В1С1=В2С2= и т.д. Теорема
2. Если дана шаровая поверхность и некоторая точка S вне ее, то отрезки
касательных, проведенных из точки S к шаровой поверхности, будут равны друг другу,
т.е. SA1=SA2=SA3 и т.д.
2.1
Основное свойство эллипса
Рассечем прямой круговой конус плоскостью a, пересекающей все его
образующие В сечении мы получим эллипс. Проведем через ось конуса плоскость,
перпендикулярную к плоскости a.
Впишем в конус два шара так, чтобы, располагаясь по разные
стороны от плоскости a и касаясь конической поверхности, каждый из них
касался плоскости a в некоторой точке.
Пусть один шар касается плоскости a в точке F1 и касается конуса по
окружности С1, а другой - в точке F2 и касается конуса по
окружности С2.
Возьмем произвольную точку Р на эллипсе.
Это значит, что все выводы, сделанные относительно нее, будут
справедливыми для любой точки эллипса. Проведем образующую ОР конуса и отметим
точки R1 и R2, в которых она касается построенных шаров.
Соединим точку Р с точками F1 и F2. Тогда РF1=РR1 и РF2=РR2, так как РF1, РR1 - касательные,
проведенные из точки Р к одному шару, а РF2, РR2 - касательные,
проведенные из точки Р к другому шару (теорема 2). Сложив почленно оба
равенства, найдем
РF1+РF2= РR1+РR2= R1R2 (1)
Это соотношение показывает, что сумма расстояний (РF1 и РF2) произвольной точки Р
эллипса до двух точек F1 и F2 есть величина постоянная для данного эллипса
(т.е. она не зависит от положения точки Р на эллипсе).
Точки F1 и F2 называются фокусами эллипса. Точки, в которых
прямая F1 F2 пересекает эллипс, называются вершинами эллипса. Отрезок между
вершинами называется большой осью эллипса.
Отрезок образующей R1R2 по длине равен большой оси эллипса. Тогда
основное свойство эллипса формулируется следующим образом: сумма расстояний
произвольной точки Р эллипса до его фокусов F1 и F2 есть величина постоянная
для данного эллипса, равная длине его большой оси.
Заметим, что если фокусы эллипса совпадают, то эллипс
представляет собой окружность, т.е. окружность - частный случай эллипса.
.2
Уравнение эллипса
Чтобы составить уравнение эллипса, мы должны рассматривать
эллипс как геометрическое место точек, обладающих некоторым свойством,
характеризующим это геометрическое место. Примем основное свойство эллипса за
его определение: Эллипс - это геометрическое место точек плоскости, для которых
сумма расстояний до двух фиксированных точек F1 и F2 этой плоскости,
называемых фокусами, есть величина постоянная, равная длине его большой оси.
Пусть длина отрезка F1 F2=2с, а длина большой оси равна 2а. Для вывода
канонического уравнения эллипса выберем начало О декартовой системы координат в
середине отрезка F1 F2, а оси Ох и Оу направим так, как указано на рисунке 5. (Если
фокусы совпадают, то О совпадает с F1 и F2, а за ось Ох можно взять любую ось, проходящую
через О). Тогда в выбранной системе координат точки F1(с, 0) и F2(-с, 0). Очевидно,
2а>2с, т.е. а>с. Пусть М (х, у) - точка плоскости, принадлежащая эллипсу.
Пусть МF1=r1, МF2=r2. Согласно определению эллипса равенство
r1+r2=2а (2) является необходимым и достаточным
условием расположения точки М (х, у) на данном эллипсе. Используя формулу расстояния
между двумя точками, получим
r1=
, r2=
. Вернемся к равенству (2):

+
=2а (2*)

=2а-
Перенесем один корень в правую часть равенства и возведем в
квадрат:
.
Сокращая, получаем:
.
Приводим подобные, сокращаем на 4 и уединяем радикал:
.
Возводим в квадрат
.
Раскрываем скобки и сокращаем на
:
,
откуда получаем:
(а2-с2) х2+а2у2=а2(а2-с2).
(3)
Заметим, что а2-с2>0. Действительно,
r1+r2 есть сумма двух сторон
треугольника F1MF2, а F1F2 есть его третья сторона. Следовательно, r1+r2> F1F2, или 2а>2с, т.е.
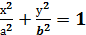
а>с. Обозначим а2-с2=b2. Уравнение (3) будет
иметь вид: b2х2+а2у2=а2b2. Выполним
преобразование, приводящее уравнение эллипса к каноническому (дословно:
принятому за образец) виду, а именно поделим обе части уравнения на а2b2:

(4) - каноническое
уравнение эллипса.
Так как уравнение (4) представляет собой алгебраическое следствие
уравнения (2*), то координаты х и у любой точки М эллипса будут удовлетворять и
уравнению (4). Поскольку при алгебраических преобразованиях, связанных с
избавлением от радикалов, могли появиться «лишние корни», необходимо убедиться
в том, что любая точка М, координаты которой удовлетворяют уравнению (4),
располагается на данном эллипсе. Для этого достаточно доказать, что величины r1 и r2 для каждой точки удовлетворяют соотношению (2). Итак, пусть
координаты х и у точки М удовлетворяют уравнению (4). Подставляя значение у2
из (4) в выражение r1
, после несложных преобразований найдем, что r1=
. Так как 
, то r1=
. Совершенно аналогично найдем, что r2=
. Таким образом, для рассматриваемой точки М r1=
, r2=
, т.е. r1+r2=2а, поэтому точка М располагается на эллипсе. Величины а и b называются соответственно большой и малой полуосями
эллипса.
2.3
Исследование формы эллипса по его уравнению
Установим форму эллипса, пользуясь его каноническим
уравнением.
. Уравнение (4) содержит х и у только в четных степенях,
поэтому если точка (х, у) принадлежит эллипсу, то ему также принадлежат точки (х,
- у), (-х, у), (-х, - у). Отсюда следует, что эллипс симметричен относительно
осей Ох и Оу, а также относительно точки О (0,0), которую называют центром
эллипса.
. Найдем точки пересечения эллипса с осями координат. Положив
у=0, находим две точки А1(а, 0) и А2(-а, 0), в которых
ось Ох пересекает эллипс. Положив в уравнении (4) х=0, находим точки
пересечения эллипса с осью Оу: B1(0, b) и. B2(0, - b) Точки
A1, A2, B1, B2 называются вершинами
эллипса.
3. Из уравнения (4) следует, что каждое слагаемое в левой части не
превосходит единицы, т.е. имеют место неравенства 
и 

или 
и 
. Следовательно, все точки эллипса лежат внутри прямоугольника,
образованного прямыми 
, 
.
. В уравнении (4) сумма неотрицательных слагаемых 
и 
равна единице. Следовательно, при возрастании одного слагаемого
другое будет уменьшаться, т.е. если |х| возрастает, то
|у| уменьшается и наоборот.
Из сказанного следует, что эллипс имеет форму, изображенную на
рис. 6 (овальная замкнутая кривая).
Заметим, что если a = b, то
уравнение (4) примет вид x2 + y2 = a2. Это - уравнение окружности. Эллипс можно получить из окружности
с радиусом a, если сжать ее в 
раз вдоль оси Oy. При таком
сжатии точка (x; y) перейдет в точку (x; y1), где 
. Подставляя 
в уравнение окружности, получим уравнение эллипса: 
.
Введем еще одну величину, характеризующую форму эллипса.
Эксцентриситетом эллипса называется отношение фокусного расстояния
2c к длине 2a его большой оси.
Эксцентриситет обычно обозначают ε: ε=
Так как c < a, то
. Заметив, что c2 = a2 - b2, находим:
, отсюда
.
Из последнего равенства легко получить геометрическое истолкование
эксцентриситета эллипса. При очень малом
числа a и b почти равны, то есть эллипс близок к окружности. Если же
близко к единице, то число b весьма мало по сравнению с числом a и эллипс сильно вытянут вдоль большой оси. Таким образом,
эксцентриситет эллипса характеризует меру вытянутости эллипса.
3.
Гипербола
.1
Основное свойство гиперболы
Исследуя гиперболу с помощью построений, подобных
построениям, проведенным для исследования эллипса, мы обнаружим, что гипербола
обладает свойствами, аналогичными свойствам эллипса.
Рассечем прямой круговой конус плоскостью α, пересекающей обе его плоскости, т.е. параллельной двум его
образующим. В сечении получится гипербола. Проведем через ось ST конуса плоскость АSB, перпендикулярную к
плоскости α.
Впишем в конус два шара - один в одну его полость, другой в
другую, так чтобы каждый из них касался конической поверхности и секущей
плоскости. Пусть первый шар касается плоскости α
в точке F1 и касается конической
поверхности по окружности U´V´. Пусть второй шар касается плоскости α
в точке F2 и касается конической
поверхности по окружности UV.
Выберем на гиперболе произвольную точку М. Проведем через нее
образующую конуса МS и отметим точки d и D, в которых она коснется первого и второго шаров. Соединим
точку М с точками F1, F2, которые назовем фокусами гиперболы. Тогда МF1=Md, так как оба отрезка
являются касательными к первому шару, проведенными из точки М. Аналогично МF2=MD. Вычитая почленно из
первого равенства второе, найдем
МF1-МF2=Md-MD=dD,
Если точка М будет находиться на той ветви гиперболы, около
которой расположен фокус F1, то МF2-MF1=PQ. Тогда окончательно получаем |МF1-MF2|=PQ.
Модуль разности расстояний произвольной точки М гиперболы от
ее фокусов F1 и F2 есть величина постоянная, равная длине действительной оси
гиперболы.
3.2
Уравнение гиперболы
Примем основное свойство гиперболы за ее определение:
Гипербола - это геометрическое место точек плоскости, для которых модуль
разности расстояний до двух фиксированных точек F1 и F2 этой плоскости,
называемых фокусами, есть величина постоянная, равная длине ее действительной
оси.
Пусть длина отрезка F1 F2=2с, а длина действительной оси равна 2а. Для
вывода канонического уравнения гиперболы выберем начало О декартовой системы
координат в середине отрезка F1 F2, а оси Ох и Оу направим так, как указано на
рисунке 5. Тогда в выбранной системе координат точки F1(с, 0) и F2(-с, 0). Очевидно,
2а<2с, т.е. а<с. Пусть М (х, у) - точка плоскости, принадлежащая
гиперболе. Пусть МF1=r1, МF2=r2. Согласно определению гиперболы равенство
|r1-r2|=2а (5) является
необходимым и достаточным условием расположения точки М (х, у) на данной
гиперболе. Используя формулу расстояния между двумя точками, получим
r1=
, r2=
. Вернемся к равенству (5):
|
-
|=2а (5*)

=
±2а
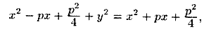
Возведем в квадрат обе части равенства
(х+с)2+у2=4а2±4а
+(х-с)2+у2
Сокращая, получаем:
хс=4а2±4а
-2 хс
±4а
=4а2-4 хс
а2х2-2а2хс+а2с2+а2у2=а4-2а2хс+х2с2
х2(с2-а2) - а2у2=
а2 (с2-а2) (6)
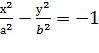
Заметим, что с2-а2>0. Обозначим с2-а2=b2. Уравнение (6) будет иметь вид: b2х2-а2у2=а2b2. Выполним преобразование, приводящее уравнение гиперболы к
каноническому виду, а именно поделим обе части уравнения на а2b2:
(7) - каноническое уравнение гиперболы, величины а и b - соответственно действительная и мнимая полуоси
гиперболы.
Мы должны убедиться в том, что уравнение (7), полученное путем
алгебраических преобразований уравнения (5*), не приобрело новых корней. Для
этого достаточно доказать, что для каждой точки М, координаты х и у которой
удовлетворяют уравнению (7), величины r1 и r2
удовлетворяют соотношению (5). Проводя рассуждения, аналогичные тем, которые
были сделаны при выводе формулы эллипса, найдем для r1 и r2 следующие выражения:
r1=
r2=
Таким образом, для рассматриваемой точки М имеем |r1-r2|=2а, и поэтому она располагается на гиперболе.
3.3
Исследование уравнения гиперболы
Теперь попытаемся на основании рассмотрения уравнения (7)
составить себе представление о расположении гиперболы.
1. Прежде всего уравнение (7) показывает, что гипербола симметрична относительно
обеих осей. Это объясняется тем, что в уравнение кривой входят только чётные
степени координат. 2. Отметим теперь ту область плоскости, где будет лежать
кривая. Уравнение гиперболы, разрешённое относительно у, имеет вид:
у=±
(8)
Оно показывает, что у существует всегда, когда х2 ≥
а2. Это значит, что при х ≥ а и при х ≤- а ордината у
будет действительной, а при - а<x<a ордината у будет мнимой. Следовательно, в полосе - а<x<a кривая
располагаться не может. Далее, формула (8) показывает, что при х = ±а мы получим
у=0, т.е. в точках Р (-a, 0) и Q (a, 0) кривая
пересекает ось Ох.
Далее, при х возрастающем (и большем а) ордината у тоже будет всё
время расти (в частности, отсюда видно, что кривая не может быть волнистой,
т.е. такой, чтобы с ростом абсциссы х ордината у то увеличивалась, то
уменьшалась).
З. Центром гиперболы называется точка, относительно которой каждая
точка гиперболы имеет на ней симметричную себе точку. Точка О (0,0),
начало координат, как и для эллипса, является центром гиперболы, заданной
каноническим уравнением. Это значит, что каждая точка гиперболы имеет
симметрическую точку на гиперболе относительно точки О. Это вытекает из
симметрии гиперболы относительно осей Ох и Оу. Всякая хорда гиперболы, проходящая
через её центр, называется диаметром гиперболы.
. Точки пересечения гиперболы с прямой, на которой лежат её
фокусы, называются вершинами гиперболы, а отрезок между ними называется
действительной осью гиперболы. В данном случае действительной осью является ось
Ох. Заметим, что действительной осью гиперболы называется часто как отрезок 2а,
так и сама прямая (ось Ох), на которой он лежит.
Найдём точки пересечения гиперболы с осью Оу. Уравнение оси Оу
имеет вид х=0. Подставляя х = 0 в уравнение (7), получим, что точек пересечения
с осью Оу у гиперболы нет. Это и понятно, так как в полосе шириной 2а,
охватывающей ось Оу, точек гиперболы нет.
Прямая, перпендикулярная к действительной оси гиперболы и
проходящая через её центр, называется мнимой осью гиперболы. В данном случае
она совпадает с осью Оу. Итак, в знаменателях членов с х2 и у2
в уравнении гиперболы (7) стоят квадраты действительной и мнимой полуосей
гиперболы.
. Гипербола пересекается с прямой y = kx при |k|<
в двух точках. Если |k|³
то общих точек у прямой и гиперболы нет.
Доказательство
Для определения координат точек пересечения гиперболы и
прямой y = kx нужно решить систему уравнений
Исключая y, получаем
или
При b2-k2a2£0 то есть
при |k|³
полученное уравнение, а потому и система решений не имеют.
Прямые с уравнениями y=
и y= - 
называются асимптотами гиперболы.
При b2-k2a2>0 то
есть при |k|<
система имеет два решения:
и
.
Следовательно, каждая прямая, проходящая через начало координат, с
угловым коэффициентом |k|<
пересекает гиперболу в двух точках. При k = 0 получаем точки
пересечения (a; 0) и (- a; 0) - вершины гиперболы.
. Оптическое свойство гиперболы: оптические лучи, исходящие из
одного фокуса гиперболы, отразившись от нее, кажутся исходящими из второго
фокуса.
Эксцентриситетом гиперболы называется отношение фокусного
расстояния 2c к длине 2a ее действительной оси ɛ=
Так как c >a, то ε>1, значит фокусы гиперболы, как и в случае эллипса,
находится внутри кривой,
т.е. со стороны её вогнутости.
3.4 Сопряженная гипербола
Наряду с гиперболой (7) рассматривают так называемую сопряженную по
отношению к ней гиперболу. Сопряженная гипербола определяется каноническим
уравнением 
.
На рис. 10 изображены гипербола (7) и сопряженная ей гипербола.
Сопряженная гипербола имеет те же асимптоты, что и данная, но F1(0, c),
F2(0, - c).
4.
Парабола
.1
Основное свойство параболы
Установим основные свойства параболы. Рассечем прямой
круговой конус с вершиной S плоскостью a, параллельной одной из его образующих. В сечении
получим параболу. Проведем через ось ST конуса плоскость АSB, перпендикулярную к
плоскости a (рис. 11). Образующая SА, лежащая в ней, будет параллельна плоскости a. Впишем в конус шаровую
поверхность, касающуюся конуса по окружности UV и касающуюся плоскости a в точке F. Проведем через точку F прямую, параллельную
образующей SA. Обозначим точку ее пересечения с образующей SB через P. Точка F называется фокусом
параболы, точка Р - ее вершиной, а прямая РF, проходящая через
вершину и фокус (и параллельная образующей SA), называется осью
параболы. Второй вершины - точки пересечения оси РF с образующей SA у параболы не будет: эта
точка «уходит в бесконечность». Назовем директрисой (в переводе значит
«направляющая») линию q1q2 пересечения плоскости a с плоскостью, в которой
лежит окружность UV. Возьмем на параболе произвольную точку М и соединим ее с
вершиной конуса S. Прямая МS коснется шара в точке D, лежащей на окружности UV. Соединим точку М с
фокусом F
и опустим из точки М перпендикуляр МК на директрису. Тогда оказывается, что
расстояния произвольной точки М параболы до фокуса (МF) и до директрисы (МК)
равны друг другу (основное свойство параболы), т.е. МF=МК.
Доказательство: МF=MD (как касательные к шару из одной точки).
Обозначим угол между любой из образующих конуса и осью ST через φ. Спроектируем отрезки МD и МК на ось ST. Отрезок MD образует проекцию на ось
ST, равную МDcosφ, так как MD лежит на образующей конуса; отрезок МК образует
проекцию на ось ST, равную МКсоsφ, так как отрезок МК
параллелен образующей SA. (Действительно, директриса q1q1 перпендикулярна
плоскости АSB. Следовательно, прямая РF пересекает директрису в точке L под прямым углом. Но
прямые МК и РF
лежат в одной плоскости a, причем МК тоже перпендикулярна директрисе).
Проекции обоих отрезков МК и МD на ось ST равны друг другу, так как один их конец - точка
М - общий, а два других D и К лежат в плоскости, перпендикулярной оси ST (рис.). Тогда МDcosφ= МКсоsφ или МD= МК. Следовательно, МF=MK.
Свойство 1. (Фокальное свойство параболы).
Расстояние от любой точки параболы до середины главной хорды
равно её расстоянию до директрисы.
Доказательство.
Точка F - точка пересечения прямой QR и главной хорды. Эта
точка лежит на оси симметрии Оу. Действительно, треугольники RNQ и ROF равны,
как прямоугольные
треугольники с раными катетами (NQ=OF, OR=RN). Поэтому какую
бы точку N мы не взяли, построенная по ней прямая QR пересечёт главную хорду в
её середине F. Теперь ясно, что треугольник FMQ - равнобедренный.
Действительно, отрезок MR является одновременно и медианой и высотой этого
треугольника. Отсюда следует, что MF=MQ.
Свойство 2. (Оптическое свойство параболы).
Всякая касательная к параболе составляет равные углы с
фокальным радиусом, проведённым в точку касания, и лучом, прходящим из точки
касания и сонаправленным с осью (или, лучи, выходящие из единственного фокуса,
отражаясь от параболы, пойдут параллельно оси).
Доказательство. Для точки N, лежащей на самой параболе
справедливо равенство |FN|=|NH|, а для точки N', лежащей во внутренней области
параболы, |FN'|<|N'H'|. Если теперь провести биссектрису l угла FМК, то для
любой отличной от М точки M' прямой l найдём:
|FM'|=|M'K'|>|M'K'|, то есть точка M' лежит во внешней
области параболы. Итак, вся прямая l, кроме точки М, лежит во внешней области,
то есть внутренняя область параболы лежит по одну сторону от l, а это означает,
что l - касательная к параболе. Это даёт доказательство оптического свойства
параболы: угол 1 равен углу 2, так как l - биссектриса угла FМК.
4.2
Уравнение параболы
На основе основного свойства параболы сформулируем ее
определение: параболой называется множество всех точек плоскости, каждая из
которых одинаково удалена от данной точки, называемой фокусом, и данной прямой,
называемой директрисой. Расстояние от фокуса F до директрисы называется параметром
параболы и обозначается через p (p > 0).
Для вывода уравнения параболы выберем систему координат Оху так,
чтобы ось Ох проходила через фокус F перпендикулярно директрисе в направлении
от директрисы к F, а начало координат О расположим посередине между фокусом и
директрисой (рис. 12). В выбранной системе фокус F(
, 0), а уравнение директрисы имеет вид х=-
, или х+
=0 Пусть м (х,
у) - произвольная точка параболы. Соединим точку Μ с F. Проведем отрезок ΜΝ
перпендикулярно директрисе.
Согласно определению параболы MF = ΜΝ. По формуле расстояния между двумя точками
находим:
Следовательно,
Возведя обе части уравнения в квадрат, получим
т.е.
(8) Уравнение (8) называется каноническим
уравнением параболы.
4.3
Исследование форм параболы по ее уравнению
. В уравнении (8) переменная у входит в четной степени,
значит, парабола симметрична относительно оси Ох; ось Ох является осью
симметрии параболы.
. Так как ρ > 0, то из (8) следует, что х>0.
Следовательно, парабола расположена справа от оси Оу.
. Пусть х=0, тогда у = 0. Следовательно, парабола проходит
через начало координат.
. При неограниченном возрастании x модуль у также
неограниченно возрастает. Парабола у2=2 рх имеет вид (форму),
изображенный на рисунке 13. Точка О (0; 0) называется вершиной параболы,
отрезок FM = r называется фокальным радиусом точки М. Уравнения у2=-2
рх, х2=-2 ру, х2=2 ру (p>0) также определяют параболы.
.5. Директориальное свойство конических сечений.
Здесь мы докажем, что каждое отличное от окружности
(невырожденное) коническое сечение можно определить как множество точек M,
отношение расстояния MF которых от фиксированной точки F к расстоянию MP от
фиксированной прямой d, не проходящей
через точку F, равно постоянной величине ε: 
где F - фокусом конического сечения, прямая d - директриса, а отношение ε - эксцентриситет. (Если точка F
принадлежит прямой d, то условие 
определяет
множество точек, представляющее собой пару прямых, т.е. вырожденное коническое
сечение; при ε = 1 эта
пара прямых сливается в одну прямую. Для доказательства рассмотрим конус,
образованный вращением прямой l вокруг пересекающей ее в точке O прямой p,
составляющей с l угол α < 90º; пусть плоскость π не проходит через вершину конуса и образует с его осью p
угол β < 90º (если β = 90º, то плоскость π пересекает конус по окружности).
Впишем в конус шар K, касающийся плоскости π в точке F и касающийся конуса по
окружности S. Линию пересечения плоскости π с плоскостью σ окружности S обозначим через d.
Теперь соединим произвольную точку M, лежащую на линии Λ
пересечения плоскости π и конуса, с вершиной O конуса и с точкой
F и опустим из M перпендикуляр MP на прямую d; обозначим еще через E точку пересечения образующей MO конуса с
окружностью S.
При этом MF = ME, как отрезки двух касательных шара K, проведенных
из одной точки M.
Но эти проекции совпадают, так как отрезки ME и MP имеют общее
начало M, а концы их лежат в плоскости σ, перпендикулярной к оси p.
Поэтому ME cos α = MP cos β, или, поскольку ME = MF, MF cos α = MP cos β, откуда и
следует, что 

Нетрудно также показать, что если точка M плоскости π не принадлежит конусу, то 
. Таким образом, каждое сечение прямого кругового конуса может
быть описано как множество точек плоскости, для которых 
. С другой стороны, меняя значения углов α и β, мы можем придать эксцентриситету 
любое значение ε > 0; далее, из соображений подобия нетрудно понять, что
расстояние FQ от фокуса до директрисы прямо пропорционально радиусу r шара K
(или расстоянию d плоскости π от вершины O конуса). Можно показать, что 
, таким образом, выбирая подходящим образом расстояние d, можем
придать расстоянию FQ любое значение. Поэтому каждое множество точек M, для
которых отношение расстояний от M до фиксированной точки F и до фиксированной
прямой d имеет постоянную величину, можно описать
как кривую, получаемую в сечении прямого кругового конуса плоскостью. Тем самым
доказано, что (невырожденные) конические сечения можно также определить тем
свойством, о котором говорится в настоящем пункте.
Это свойство конических сечений называют их директориальным
свойством. Ясно, что если β > α, то ε < 1;
если β = α, то ε = 1; наконец, если β < α, то ε > 1. С другой стороны, нетрудно
видеть, что если β > α, то плоскость π пересекает конус по замкнутой
ограниченной линии; если β = α, то плоскость π пересекает конус по неограниченной линии;
если β < α, то плоскость π пересекает обе полы конуса и,
следовательно, линия пересечения этой плоскости и конуса состоит из двух
(неограниченных) частей или ветвей (рис. 17).
Коническое сечение, для которого ε < 1, называется эллипсом; коническое
сечение с эксцентриситетом ε = 1 называется параболой; коническое сечение, для которого
ε > 1,
называется гиперболой. К числу эллипсов относят также окружность, которую
нельзя задать директориальным свойством; так как для окружности отношение 
обращается в 0 (т. к. в этом случае β = 90º), то условно считают, что окружность
представляет собой коническое сечение с эксцентриситетом 0.
6. Эллипс, гипербола и парабола как конические
сечения
конический сечение эллипс гипербола
Древнегреческий математик Менехм, открывший эллипс, гиперболу
и параболу, определял их как сечения кругового конуса плоскостью,
перпендикулярной к одной из образующих. Он назвал полученные кривые сечениями
остроугольного, прямоугольного и тупоугольного конусов, в зависимости от
осевого угла конуса. Первое, как мы увидим ниже, представляет собой эллипс,
второе - параболу, третье - одну ветвь гиперболы. Названия «эллипс»,
«гипербола» и «парабола» были введены Аполлонием. До нас дошло почти полностью
(7 из 8 книг) сочинение Аполлония «О конических сечениях». В этом сочинении
Аполлоний рассматривает обе полы конуса и пересекает конус плоскостями, не
обязательно перпендикулярными к одной из образующей.
Теорема. Сечением любого прямого круглого конуса
плоскостью (не проходящей через его вершину) определяется кривая, которая может
быть лишь гиперболой (рис. 4), параболой (рис. 5) или эллипсом (рис. 6). При
этом, если плоскость пересекает только одну плоскость конуса и по замкнутой
кривой, то эта кривая есть эллипс; если плоскость пересекает только одну
плоскость по незамкнутой кривой, то эта кривая - парабола; если секущая
плоскость пересекает обе плоскости конуса, то в сечении образуется гипербола.
Изящное доказательство этой теоремы было предложено в 1822
году Данделеном, использовавшим сферы, которые принято теперь называть сферами
Данделена. Рассмотрим это доказательство.
Впишем в конус две сферы, касающиеся плоскости сечения П с
разных сторон. Обозначим через F1 и F2 точки касания этой плоскости со сферами.
Возьмём на линии сечения конуса плоскостью П произвольную точку М. Отметим на
образующей конуса, проходящей через М, точки Р1 и Р2, лежащие на окружности к1
и к2, по которым сферы касаются конуса.
Ясно, что МF1=МР1 как отрезки двух касательных к первой
сфере, выходящих из М; аналогично, МF2=МР2. Следовательно,
МF1+МF2=МР1+МР2=Р1Р2. Длина отрезка Р1Р2 - одна и та же для всех точек М нашего
сечения: это - образующая усечённого конуса, ограниченного параллельными
плоскостями 1 и 11, в которых лежат окружности к1 и к2. Следовательно, линия
сечения конуса плоскостью П - эллипс с фокусами F1 и F2. Справедливость этой
теоремы также можно установить исходя из того общего положения, что пересечение
поверхности второго порядка плоскостью, есть линия второго порядка.
Литература
1. Атанасян
Л.С., Базылев В.Т. Геометрия. В 2-х ч. Ч. 1. Учебное пособие для студентов
физ.-мат. пед. ин - тов.-М.: Просвещение, 1986.
2. Базылев
В.Т. и др. Геометрия. Учеб. пособие для студентов 1 курса физ. - мат. фак - тов
пед. ин. - тов.-М.: Просвещение, 1974.
. Погорелов
А.В. Геометрия. Учеб. для 7-11 кл. сред. шк. - 4-е изд.-М.: Просвещение, 1993.
4. История
математики с древних времен до начала XIX столетия. Юшкевич А.П. - М.: Наука, 1970.
5. Болтянский
В.Г. Оптические свойства эллипса, гиперболы и параболы. // Квант. - 1975. -
№12. - с. 19 - 23.
. Ефремов
Н.В. Краткий курс аналитической геометрии. - М: Наука, 6-ое издание, 1967. -
267 с.