|
|
(2)
|
откуда следует, что декартов лист является рациональной
кривой.
Заметим еще, что полярное уравнение декартова листа имеет вид
(3)
Координаты х и у входят в уравнение декартова
листа симметрично, откуда следует, что кривая симметрична относительно
биссектрисы у=х. Обычное исследование на особые точки приводит к
заключению, что начало координат является узловой точкой декартова листа.
Уравнения касательных к алгебраической кривой в ее особой точке, совпадающей с
началом координат, можно получить, как известно, приравнивая нулю группу членов
низшей степени из уравнения этой кривой. В нашем случае имеем З аху = 0, откуда
получим х = 0 и у = 0 - искомые уравнения касательных в узловой точке. Эти
касательные совпадают с координатными осями и, следовательно, в начале координат
кривая пересекает сама себя под прямым углом. Легко видеть, что в первом
координатном угле кривая делает петлю, которая пересекается с прямой у = х
в точке
Точки этой петли, в которых касательные параллельны координатным
осям, имеют координаты
и
(cм. рис. 1)
Для окончательного заключения о форме кривой следует еще
найти асимптоту
Заменяя в уравнении кривой у на
приравняем нулю в
полученном уравнении коэффициенты двух членов с высшими степенями х.
Получим
и b = - а. Таким образом, декартов лист имеет асимптоту
у = - х - а; следовательно, во 2-м и 4-м координатных
углах ветви декартова листа уходят в бесконечность.
Рис. 1
Часто рассматривают повёрнутую на 135 градусов кривую. Её
уравнения выглядят так. В прямоугольной системе:
, где
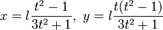
Параметрическое:
Вывод уравнений повёрнутой кривой:
Систему координат XOY преобразуют в систему координат UOV,
которая получается поворотом осей OX и OY по часовой стрелке на угол
и переориентацией оси OX
в противоположном направлении:
Выражение старых координат XY через новые UV выглядит так:
, или
После подстановки выражений старых координат через новые
уравнение декартова листа преобразуется к следующему виду:
.
Вводим параметр
, последнее уравнение
перепишется так:
Или
.
Заменяем переменные u и v на привычные x и y и получаем
уравнение декартового листа в новой системе координат:
Подставив в уравнение предыдущее
получаем уравнение
декартова листа в полярной системе координат:
Решая данное выражение относительно ρ, получаем:
.
2. Свойства. Согласно теореме Маклорена, если в трех
точках алгебраической кривой 3-го порядка, лежащих на одной прямой, провести
касательные к этой кривой, то точки их пересечения с кривой будут лежать также
на прямой линии. Применительно к декартову листу эта теорема доказывается просто.
Выведем с этой целью предварительно условие пребывания трех точек декартова
листа, соответствующих значениям t1, t2 и t3 параметра, на одной
прямой. Если уравнение прямой имеет вид y=kx+b, то значения параметра,
соответствующие точкам пересечения этой прямой с кривой, должны удовлетворять
системе
Система эта приводит к уравнению
корни которого и будут искомыми значениями t1, t2 и t3 параметра, откуда
следует, что
(4)
Это равенство и является условием пребывания трех точек M1(t1), M2(t2), М3 (t3) декартова листа на
одной прямой.
Располагая этим условием, покажем справедливость теоремы
Маклорена для декартово листа. Действительно, касательную в точке M1 (t1) можно рассматривать как
прямую, которая пересекает декартов лист в двух совпадающих между собой точках,
для которых t2=t1, и в третьей точке, для
которой соответствующее значение параметра обозначим через T1. Условие (4) примет вид t12 T1= -1. Для касательных в
точках М2 и M3 получим аналогичные соотношения t22 T2 = -1 и t32 T3 = -1. Перемножая эти три равенства,
будем иметь
(t1t2t3)2T1T2T3 = -1. откуда на основании (4)
заключаем, что и T1T2T3 = -1, т.е. точки N1(T1), N2(T2) и N3(T3) лежат на одной прямой.
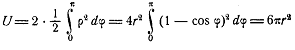
Определяя площадь, ограниченную петлей декартова листа,
получим:
. Способ построения. Заметим предварительно,
что если ось симметрии декартова листа принять за ось абсцисс, то уравнение его
примет вид
(5)
Пусть теперь имеется окружность с радиусом r и центром в точке
и прямая х= - h. Возьмем произвольную
точку Q этой окружности и проведем прямую QA и прямую QN, перпендикулярную к оси
абсцисс (рис. 2). Из точки пересечения R прямой QA с прямой х= - h
проводим прямую RO до пересечения ее в точке Q1 с прямой QN.
Таким образом, точке Q на окружности будет поставлена в соответствие
точка Q1. Геометрическое место точек Q1 представляет собой
декартов лист.
Рис. 2.
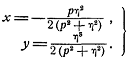
Для доказательства заметим, что координаты точки Q
можно записать в виде
угол, составляемый радиусом круга, проведенным в точку Q,
с положительным направлением оси абсцисс. В соответствии с этим уравнение
прямой QA может быть записано в виде
Полагая в этом уравнении х= - h, находим ординату
точки R. Отсюда следует, что уравнение прямой RQ1 запишется в виде
(6)
В то же время уравнение прямой Q1N имеет вид
(7)
Исключая из уравнений (6) и (7) параметр w, находим уравнение
геометрического места точек Q1 в виде
Сопоставляя его с уравнением (5), заключаем, что найденное
геометрическое место точек является декартовым листом.
Преобразование точек окружности в точки декартова листа,
осуществляемое при таком его построении, называется преобразованием
Маклорена.
4. Историческая справка. Впервые в истории
математики кривая, названная впоследствии декартовым листом, определяется в
письме Декарта к Ферма в 1638 г. как кривая, для которой сумма объемов кубов,
построенных на абсциссе и ординате каждой точки, равняется объему
параллелепипеда, построенного на абсциссе, ординате и некоторой константе.
Форма кривой устанавливается впервые Робервалем, который находит узловую точку
кривой, однако в его представлении кривая состоит лишь из петли. Повторяя эту
петлю в четырех квадрантах, он получает фигуру, напоминающую ему цветок с
четырьмя лепестками. Поэтическое название кривой «лепесток жасмина», однако, не
привилось. Полная форма кривой с наличием асимптоты была определена позднее
(1692) Гюйгенсом и И. Бернулли. Название «декартов лист» прочно установилось
только с начала 18 века.
Циссоида
Диоклеса
1. Особенности формы. Среди многих способов
образования циссоиды-кривой, открытой древними в поисках
решения знаменитой задачи об удвоении куба, мы остановимся сначала на
простейшем. Возьмем окружность (называемую производящей) с диаметром
ОА=2а и касательную АВ к ней. Через точку О проведем луч ОВ и на нем
отложим отрезок ОМ=ВС. Построенная таким образом точка М принадлежит
циссоиде. Повернув луч 0В на некоторый угол и проделав указанное
построение, мы найдем вторую точку циссоиды, и т.д. (Рис. 3).
Если точку О принять за полюс, то
но
откуда получаем полярное
уравнение циссоиды
(1)
Пользуясь формулами перехода от полярных координат к
декартовым, найдем уравнение циссоиды в прямоугольной системе:
(2)
Параметрические уравнения циссоиды можно получить, полагая
x=ty, тогда, на основании уравнения (2), придем к системе
Рис. 3
Уравнение (2) показывает, что циссоида является
алгебраической кривой 3-го порядка, а из уравнений (3) следует, что она
является рациональной кривой.
Циссоида симметрична относительно оси абсцисс, имеет
бесконечные ветви; касательная к производящей окружности, т.е. прямая х =
2а, служит для нее асимптотой; начало координат является точкой возврата 1-го
рода.
2. Свойства. Кинематически циссоида может быть
получена как траектория середины М катета ВС треугольника АВС,
передвигающегося в плоскости чертежа так, что его вершина В скользит по
оси ординат, а другой катет АС всегда проходит через неподвижную точку Е
на оси абсцисс. (Рис. 4)
Действительно, обозначив середину отрезка ОЕ через D, замечаем, что поскольку ВС=ЕО,
ê ВСЕ=ê ВЕО, откуда /_ ВЕО = /_
СВЕ, и, следовательно, ê NBE - равнобедренный, а так
как ЕD=ЕО/2=ВС/2=ВМ, то отрезок DM параллелен отрезку BE. Пусть, далее, точка К
есть точка пересечения с продолжением отрезка DM прямой, проходящей через
точку В параллельно оси абсцисс. Опишем окружность с центром в начале
координат и радиусом, равным OD, и проведем к ней касательную во второй точке
пересечения с прямой ЕО. Она пройдет, очевидно, через точку К.
Обозначив точку пересечения прямой DMK с окружностью через F, заметим, что
треугольники DOF и МВК равны между собой. Из равенства их следует, что DF=MK, а значит, и DM=FK. Последнее равенство и
показывает, что геометрическое место точек М будет циссоидой.
Другие способы образования циссоиды основаны на ее
соотношениях с параболой. Покажем в первую очередь, что циссоида является
подэрой параболы относительно ее вершины.
- уравнение данной параболы. Уравнение
касательной в произвольной точке М (x, h) этой параболы можно
записать в виде
уравнение перпендикуляра, опущенного из начала
координат на эту касательную, будет
координаты точки N
пересечения его с касательной определятся по формулам
Рис. 4.
(4)
Исключая из этих равенств параметр h, мы получим уравнение
выражающее циссоиду.
Заметим далее, что координаты точки, симметричной началу
координат относительно касательной к параболе у2 = 2 рх,
получатся, если правые части формул (4) удвоить, и, следовательно, определятся
формулами
Исключая из этих равенств параметр h, мы снова получим
циссоиду с уравнением
Отсюда следует, что циссоида является
геометрическим местом точек, симметричных вершине параболы относительно ее
касательных.
Следует заметить, что геометрическое место точек,
симметричных началу координат относительно касательной к параболе, можно
рассматривать как траекторию вершины другой параболы, одинаковой с данной,
которая катится по данной параболе. Таким образом, возникает новый способ
кинематического образования циссоиды как траектории вершины параболы,
которая без скольжения катится по другой такой же параболе.
Строфоида
Строфоида (от греч. stróphos - кручёная лента и éidos
- вид)
Пусть имеется неподвижная прямая АВ и точка С вне её на
расстоянии CO = а; вокруг С вращается прямая, пересекающая АВ в
переменной точке N. Если от точки N отложить по обе стороны прямой АВ отрезки
NM = NM' = NO, то геометрическое место точек М и М' для всех положений
вращающегося луча CN и есть строфоида. Уравнение в прямоугольных координатах:
; в полярных координатах:
r = - a cos 2j/cosj. Впервые строфоиду исследовал Э. Торричелли (1645),
название было введено в середине 19 в. Рис. 6
Верзьера Аньези
Рис. 7
Верзьера (верзиера) Аньези (иногда ло́кон Анье́зи) - плоская кривая,
геометрическое место точек M, для которых выполняется соотношение
, где OA - диаметр
окружности, BC - полухорда этой окружности, перпендикулярная OA. Своё название
верзьера Аньези получила в честь итальянского математика Марии Гаэтаны Аньези,
исследовавшей эту кривую.
Уравнения
O = (0,0), A = (0, a)
В прямоугольной системе координат:
Вывод
Координаты точки M, лежащей на верзьере - это x = BM, y = OB.
OA = a и по определению строим пропорцию
Отсюда
С другой стороны BC может быть найден из уравнения
окружности:
Нам известен y = OB, значит выражаем 
:
Приравниваем оба выражения для BC:
Возводим в квадрат, переносим и выносим 
за скобки:
Выражаем y (y=0 не подходит по определению):

, где
- угол между OA и OC.
Свойства:
1. Верзьера - кривая третьего порядка.
. Диаметр OA единственная ось симметрии кривой.
. Кривая имеет один максимум - A (0; a) и две точки перегиба -
.В окрестности вершины A верзьера приближается к окружности
диаметра OA. В точке A происходит касание, и кривая совпадает с окружностью.
Это показывает величина радиуса кривизны в точке A:
.
. Площадь под графиком S = πa2. Она вычисляется интегрированием уравнения
по всему
.
. Объём тела вращения верзьеры вокруг своей асимптоты (оси OX)
.
Аньéзи Мария Гаэтана (Agnesi Maria Gaetana),
род. 16.05.1718, Милан - ум. 09.01.1799, там же. Итальянский математик,
профессор университета в Болонье (с 1750). Сочинение Аньези «Основания анализа
для употребления итальянского юношества» («Instituzioni
analitiche ad uso della gioventú italiana», v. 1-2, Mil., 1748) содержит изложение
аналитической геометрии, в частности там рассмотрена кривая третьего порядка,
названная «локоном Аньези» (или верзиера), уравнение которой y=a3 /
(x2 +a2).
Для того чтобы построить эту линию, надо нарисовать
окружность радиусом a с центром в точке (0, a). Затем из начала координат
проводят прямые и отмечают две точки. Точка А (x1, y1) - точка пересечения
прямой и окружности, точка B (x2,2a) точка пересечения прямой и верхней
горизонтальной касательной к окружности. Затем строится точка кривой (x2, y1).
Английский математик Джон Колсон взял на себя труд переводить
«Начала анализа» с итальянского. Однако для него, европейца XVIII века, было
нелегко воспринять, что автор книги - женщина, и что для нее, для автора,
кривая может ассоциироваться с прической. В результате в англоязычной
литературе кривая получила название - witch of Agnesi. - что-то из области
полетов на лысую гору…
3. Замечательные линии четвертого и высших
порядков
Линией (кривой) четвертого порядка называют линию,
определяемую алгебраическим уравнением четвертой степени относительно
декартовых прямоугольных координат. Аналогично определяются линии (кривые)
пятого, шестого и других порядков.
Множество линий (кривых) четвертого порядка содержат уже не
десятки, а тысячи линий частного вида. Еще более разнообразными являются
множества линий пятого и шестого порядка. Здесь рассматриваются отдельные виды
линий четвертого и высших порядков, имеющие интересные свойства и практические
применения.
Лемниската
Бернулли
Обратимся к кривой, описываемой точкой М на плоскости так,
что остается неизменным произведение р расстояний этой точки до двух
определенных точек F1 и F2 той же плоскости. Такая кривая называется лемнискатой (лемниската
по-гречески значит «ленточная»). Если длина отрезка F1F2 есть с, то расстояния от
середины О отрезка F1F2 до F1 и F2 равны с/2 и произведение этих расстояний равно - с2/4.
Потребуем сначала, чтобы величина р неизменного произведения равнялась как раз
с2/4; тогда
линия порядок трансцендентный спираль
Рис. 8
точка О будет лежать на лемнискате, а сама лемниската будет
иметь вид «лежащей восьмерки» (рис. 8). Если продолжить отрезок F1F2 в обе стороны до
пересечения с лемнискатой, то получим две точки А1 и А2.
Выразим расстояние между А1А2= х через известное
расстояние с:
.
Вывод
Фокусы лемнискаты - F1 (− c; 0) и F2 (c; 0). Возьмём
произвольную точку M (x; y). Произведение расстояний от фокусов до точки M есть
, и по определению оно равно c2:
Возводим в квадрат обе части равенства:
Раскрываем скобки в левой части:
Раскрываем скобки и свёртываем новый квадрат суммы:
Выносим общий множитель и переносим:
Далее можно сделать замену a2 = 2c2, хотя это не обязательно:
В данном случае a - радиус окружности, описывающей
лемнискату. Проведя несложные преобразования, можно получить явное уравнение:
Вывод:
Возводим в квадрат и раскрываем скобки:
Приводим к виду
Это квадратное уравнение относительно y'. Решив его, получим
Взяв корень и отбросив вариант с отрицательным вторым
слагаемым, получим:
где положительный вариант определяет верхнюю половину
лемнискаты, отрицательный - нижнюю.
Если величину неизменного произведения р взять не равной с2/4,
то лемниската изменит свой вид. И при р меньше с2/4, лемниската
состоит из двух овалов, каждый из которых содержит точки F1 и F2, соответственно (рис.
9).
Рис. 9
Т.о. задавая различные условия для р и с2/4 будем
получать лемнискаты различного вида (рис. 10).
Рис. 10
Возьмем теперь на плоскости любое количеств точек. F1, F2,…, Fn и заставим точку М
двигаться так, чтобы для нее оставалось неизменным произведение расстояний до
каждой из взятых точек. Получим Кривую, форма которой будет зависеть от того,
как расположены точки F1, F2,…, Fn друг относительно друга
и какова величина неизменного произведения. Кривая эта называется лемнискатой с
n фокусами.
Выше мы рассматривали лемнискаты с двумя фокусами. Беря
разное число фокусов, располагая их по-разному и назначая ту или иную величину
для произведения расстояний, можно получать лемнискаты самых причудливых
очертаний. Будем вести острие карандаша из некоторой точки А, не отрывая от
бумаги, так, чтобы оно в конце вернулось в исходную точку А. Тогда оно опишет
некоторую кривую; мы потребуем только, чтобы эта кривая нигде не пересекала
Рис. 11
самое себя. Очевидно, что таким путем могут получиться
кривые, имеющие, например, очертания человеческой головы или птицы (рис. 11).
Оказывается, что, имея такую произвольную кривую, можно так подобрать число п и
расположение фокусов
F1, F2,…, Fn
и назначить такую величину для неизменного произведения
расстояний
МF1 МF2… МFn = p
что соответствующая лемниската на глаз не будет отличаться от
этой кривой. Иными словами, возможные отклонения точки М, описывающей
лемнискату, от нарисованной кривой - не будут превосходить ширину карандашного
штриха (карандаш можно заранее отточить как угодно хорошо так, что штрих будет
очень узким). Этот замечательный факт, говорящий о необычайном разнообразии н
богатстве форм лемнискат с многими фокусами, доказывается совершенно строго, нo очень сложно, при помощи
высшей математики.
Улитка Паскаля
Геометрическое место точек М и M', расположенных на прямых
пучка (центр которого О лежит на окружности радиуса R) на расстоянии а по обе
стороны от точки Р пересечения прямых с окружностью; т. о., PM = PM' = а.
уравнение в прямоугольных координатах: (x2 + y2 - 2Rx)2
- а2(х2 + y2) = 0, в полярных
координатах: r = 2R cos j + а. При а = 2R петля
стягивается в точку, в этом случае улитка Паскаля превращается в кардиоиду.
Название по имени французского учёного Б. Паскаля (1588-1651), впервые
изучавшего её.
Циклоидальные кривые
Представим, что некоторая кривая катится без скольжения по
другой кривой; какая либо точка, неизменно связанная с первой кривой, будет
описывать при этом новую кривую. Так можно представить себе эллипс, катящийся
по другому эллипсу, и исследовать линию, по которой будет перемещаться его
центр, или определить траекторию фокуса параболы, катящейся по прямой, и т.д.
Среди кривых, образуемых указанным способом, выделяются
кривые, являющиеся траекториями точки, неизменно связанной скругом, который
катится без скольжения по другому кругу. Получаемые при этом линии называются циклоидальными.
При образовании циклоидальных кривых вычерчивающая точка
отстоит от центра производящего (подвижного) круга на определенном расстоянии.
В частном случае она находится на окружности производящего круга. При этом
условии получаемые кривые подразделяются на эпициклоиды и гипоциклоиды в
зависимости от того, располагается ли производящий круг с наружной или с
внутренней стороны неподвижного круга.
К алгебраическим кривым относятся такие известные кривые, как
кардиоида, астроида, рассмотрим эти кривые.
Кардиоида
1. Уравнение. Кардиоиду можно определить как
траекторию точки, лежащей на окружности круга радиуса r, который катится по
окружности неподвижного круга с таким же радиусом. Она будет представлять
собой, таким образом, эпициклоиду с модулем m, равным 1.
Это обстоятельство позволяет сразу же записать
параметрические уравнения кардиоиды, заменяя в ранее приведенных
параметрических уравнениях эпициклоид модуль m единицей. Будем иметь:
(1)
Чтобы получить полярное уравнение кардиоиды, удобно принять
за полюс точку А (рис. 13), а полярную ось направить по оси абсцисс. Так как
четырехугольник AOO1M будет равнобедренной трапецией, то полярный
угол j
точки М окажется равным углу поворота производящего круга, т.е. параметру t.
Учитывая это обстоятельство, заменим во втором уравнении системы (1) у через r sin t. Сокращая
полученное таким образом равенство на sin t, получим полярное уравнение
кардиоиды
Рис. 13
По виду этого уравнения
можно заключить, что кардиоида является одной из улиток
Паскаля. Она может быть определена, следовательно, как конхоида круга.
(3)
Из этого уравнения следует, что кардиоида является
алгебраической кривой 4-го порядка.
2. Свойства. Прежде всего, поскольку кардиоида
является эпициклоидой с m=1, на нее можно перенести все свойства рассмотренных нами в
предыдущем параграфе эпициклоид.
Вот эти свойства и характеристики.
. Касательная в произвольной точке кардиоиды проходит через
точку окружности производящего круга, диаметрально противоположную точке
касания кругов, а нормаль - через точку их касания.
. Угол m, составляемый касательной к кардиоиде с
радиусом-вектором точки касания, равен половине угла, образуемого этим
радиусом-вектором с полярной осью. Действительно
Из этого соотношения непосредственно вытекает, что угол,
составляемый касательной к кардиоиде с осью абсцисс, равняется
(как внешний угол
треугольника AMN Рис. 14). Располагая формулой
можно доказать, что
касательные к кардиоиде, проведенные в концах хорды, проходящей через полюс,
взаимно перпендикулярны.
Действительно, так как
Рис. 14
Заметим еще, что геометрическое место точек пересечения этих
касательных есть окружность
Действительно, уравнение первой касательной на
основании уравнений (1) кардиоиды, будет иметь вид
а второй касательной
Исключая из этих
уравнений параметр, получим уравнение указанной окружности.
. Радиус кривизны в произвольной точке кардиоиды определится
по формуле
(4)
Можно показать также, что радиус кривизны равняется 2/3 полярной
нормали N в заданной точке.
Действительно,
откуда на основании (4)
получаем
Соотношение это может
быть использовано для построения центра кривизны кардиоиды.
. Эволюта кардиоиды, согласно общему свойству эволют
эпициклоид, будет также кардиоидой, подобной данной, с коэффициентом подобия,
равным 1/3, и повернутой относительно данной на угол 180°.
. Длина дуги кардиоиды от точки А до произвольной точки М
определится по формуле
(5)
Если длину дуги отсчитывать от точки А1,
диаметрально противоположной точке А, то формула для определения длины дуги
может быть записана в виде
(6)
. Натуральное уравнение кардиоиды получится, если из равенств
(4) и (6) исключить параметр. Оно будет иметь вид
(7)
. Площадь, ограниченная кардиоидой, определится по формуле
и, как видно, равна ушестеренной площади производящего круга.
Длина всей кардиоиды определится по формуле
и, как видно, равна восьми диаметрам производящего круга.
Объем тела, полученного от вращения кардиоиды вокруг ее оси, равен
Поверхность тела, полученного от вращения кардиоиды вокруг ее
оси, равняется
Мы видели, что кардиоида органически связана с окружностью.
Она является конхоидой круга и эпициклоидой. Она имеет с окружностью и иной
характер родства - кардиоида является подэрой окружности относительно точки,
принадлежащей этой окружности.
Рис. 15
Действительно, пусть ОМ есть перпендикуляр, опущенный на
касательную к окружности с радиусом, равным 2r, проведенную в точке N.
Так как ОМ = OB + ВМ, или r == 2r cos j + 2r, то геометрическим
местом точек М будет кардиоида с уравнением r = 2r (1 + cos j)
Заметим в заключение, что кардиоида относится также к
семейству синусоидальных спиралей, и отдельные свойства ее повторяют общие
свойства этих кривых. Из этих свойств следует, в частности, что инверсия
кардиоиды, относительно точки возврата дает параболу.
Астроида
1. Свойства. Астроида является частным случаем
гипоциклоид, а именно, гипоциклоидой с модулем m, равным 1/4. Она
представляет собой, следовательно, траекторию точки, лежащей на окружности
круга радиуса r,
который катится по внутренней стороне другого, неподвижного круга, радиус R
которого в четыре раза больше.
Параметрические уравнения астроиды можно получить, полагая в
уравнениях гипоциклоиды, m=1/4. Вот эти уравнения:
Рис. 16
где t, как и ранее, угол поворота производящего круга (рис.
16)
Исключая из уравнений (1) параметр t, получим:
(2)
Из уравнения (2) следует, что астроида является алгебраической
кривой 6-го порядка.
Параметрические уравнения (1) астроиды можно привести к виду
(3)
Исключая из этих уравнений параметр t, получим часто
употребляемый вид уравнения астроиды
(4)
Полагая в ранее выведенных общих соотношениях для
циклоидальных кривых модуль
m = -1/4, получим соответствующие соотношения для астроиды:
) радиус кривизны в произвольной точке астроиды определяется
по формуле
(5)
) длина дуги астроиды от точки А до произвольной точки M(t)
определится по формуле
(6)
длина одной ветви равна
а длина всей кривой 6R;
) для получения натурального уравнения астроиды заметим
предварительно, что если началом отсчета длины дуги полагать не точку А, для
которой t = 0, а точку, для которой t = p, то длина дуги определится
формулой
(6)
исключая параметр t из уравнений (5) и (6), получим
натуральное уравнение астроиды
) эволюта астроиды есть также астроида, подобная данной, с
коэффициентом подобия, равным 2, повернутая относительно данной на угол p/4 (рис. 16)
) площадь, ограниченная всей астроидой, равна
объем тела, полученного
от вращения астроиды, равняется 32/105p R3
поверхность тела, образованного вращением астроиды, равна
Обратимся теперь к рассмотрению некоторых частных свойств
астроиды.
Астроида является огибающей отрезка постоянной длины, концы.
которого скользят по двум взаимно перпендикулярным прямым.
Принимаем эти прямые за оси координат и, обозначая угол
наклона скользящего отрезка ND=R через a (рис. 4), будем иметь
уравнение прямой ND в виде
(7)
Дифференцируя это уравнение по параметру a, получим:

Практически перемещение отрезка ND можно осуществить с
помощью так называемых кардановых кругов. Один из этих кругов с радиусом R
неподвижен, а другой, с радиусом r, в два раза меньшим, катится по внутренней стороне
неподвижного круга. Любые две диаметрально противоположные точки N и D
катящегося круга будут перемещаться по двум взаимно перпендикулярным диаметрам
Ох и Оу неподвижного круга. Ясно, что огибающей диаметра катящегося круга и
будет астроида.
|
Рис. 17
|
Рис. 18
|
Рассмотренный способ образования астроиды можно истолковать
также следующим образом. Прямоугольник ODCN, две стороны которого лежат на двух
взаимно перпендикулярных прямых, деформируется так, что диагональ его сохраняет
длину, равную R, огибающая диагонали и будет астроидой. Так как при этом
перпендикуляр, опущенный из вершины С на диагональ DN, служит нормалью к
огибающей, то астроида представляет собой геометрическое место оснований
перпендикуляров, опущенных из вершины С прямоугольника на его диагональ.
При
эти уравнения выражают рассмотренную ранее
прямую астроиду.
. Некоторые трансцендентные линии
Трансцендентными называют линии, уравнения которых в прямоугольных декартовых
координатах не являются алгебраическими. Простейшими примерами трансцендентных
линий могут служить графика функций
, y=
, y=
и других тригонометрических функций. Рассмотрим некоторые другие
трансцендентные линии.
Спираль
Архимеда
Вообразим бесконечно длинную секундную стрелку, по которой,
начиная от центра циферблата, неутомимо бежит маленький жучок с постоянной скоростью
v см/с. Через минуту жучок
будет на расстоянии 60v см от центра, через две - 120v и т.д. Вообще, через t секунд после начала
пробега расстояние жучка от центра будет равно vt см. За это время стрелка
повернется на угол, содержащий 6 t° (ведь за одну секунду она успевает повернуться на угол
360°:60 = 6°). Поэтому положение жучка на плоскости циферблата через любое
число t секунд после начала движения находится так. Нужно отложить от
начального положения стрелки в направлении ее вращения угол а, содержащий 6t°, и отмерить от центра
вдоль нового положения стрелки расстояние r = vt см. Тут мы и
настигнем жучка (рис. 21).
Рис. 21.
Очевидно, что соотношение между углом поворота a стрелки (в градусах) и
пройденным расстоянием r (в сантиметрах) будет такое:
r = (va)/6
Иными словами, r прямо пропорционально a, причем коэффициент
пропорциональности k = v/6.
Приладим к нашему бегуну маленькую, но неистощимую баночку с
черной краской и допустим, что краска, вытекая через крошечное отверстие,
оставляет на бумаге след от уносимого вместе со стрелкой жучка. Тогда на бумаге
будет постепенно вырисовываться кривая, впервые изученная Архимедом (287 - 212
до н.э.). В его честь она называется спиралью Архимеда. Нужно только сказать, что
у Архимеда не было речи ни о секундной стрелке (тогда и часов с пружиной не
было: их изобрели только в XVII в.), ни о жучке. Мы ввели их здесь для
наглядности.
Рис. 22 Рис.
23.
Спираль Архимеда состоит из бесконечно многих витков. Она
начинается в центре циферблата, и все более и более удаляется от него по мере
того, как растет число оборотов. На рис. 22 изображены первый виток и часть
второго.
Вы, наверное, слышали, что с помощью циркуля и линейки
невозможно разделить на три равные части наудачу взятый угол (в частных
случаях, когда угол содержит, например, 180°, 135° или 90°, эта задача легко
решается). А вот если пользоваться аккуратно начерченной архимедовой спиралью,
то любой угол можно разделить на какое угодно число равных частей.
Разделим, например, угол АОВ на три равные части (рис. 23.).
Если считать, что стрелка повернулась как раз на этот угол, то жучок, будет
находиться в точке N на стороне угла. Но когда угол поворота был втрое меньше, то и
жучок был втрое ближе к центру О. Чтобы найти это его положение, разделим
сначала отрезок ON на три равные части. Это можно сделать с помощью циркуля и
линейки. Получим отрезок ON1, длина которого втрое меньше, чем ON. Чтобы вернуть жучка на
спираль, нужно сделать засечку этой кривой радиусом ON1 (снова
циркуль!). Получим точку М. Угол АОМ и будет втрое меньше угла AON.
Циклоида
Приложим к нижнему краю классной доски линейку и будем катить
по ней обруч или круг (картонный или деревянный), прижимая его к линейке и к
доске. Если прикрепить к обручу или кругу кусок мела (в точке соприкосновения
его с линейкой), то мел будет вычерчивать кривую (рис. 24), называемую
циклоидой (что по-гречески значит «кругообразная»). Одному обороту обруча
соответствует одна «арка» циклоиды MM'M''N', если обруч будет катиться дальше, то будут получаться еще и еще
арки той же циклоиды.
Рис. 24.
Чтобы построить на бумаге приближенно одну арку циклоиды,
описанную при качении обруча диаметром, равным, например, трем сантиметрам,
отложим на прямой отрезок, равный 3х3,14 = 9,42 см.
Получим отрезок, длина которого равна длине обода обруча,
т.е. длине окружности диаметром в три сантиметра. Разделим далее этот отрезок
на некоторое число равных частей, например на 6, и для каждой точки деления
изобразим наш обруч в том его положении, когда он опирается именно на данную
точку (рис. 24), занумеровав эти положения цифрами:
О, 1, 2, 3, 4, 5, 6.
Чтобы перейти из одного положения в соседнее, обруч должен
повернуться на одну шестую полного оборота ^так как расстояние между соседними
точками деления равно шестой части окружности). Поэтому если в положении 0 мел
будет находиться в точке М0, то в положении 1 он будет лежать в
точке M1 - на одной шестой окружности от точки касания, в положении
2 - в точке М2 - на две шестых от точки касания и т.д. Чтобы
получить точки M1, M2, М3 и т.д., нужно лишь производить засечки
соответствующей окружности, начиная от точки касания, радиусом, равным
Рис. 25.
,5 см, причем в положении 1 нужна одна засечка, в положении 2
- две засечки, выполненные одна за другой, в положении 3 - три засечки и т.д.
Теперь для вычерчивания циклоиды остается соединить точки
М0, M1, М2, М3, M4, M5, M6
плавной кривой (на глаз).
Кривая
кратчайшего спуска
Среди многих замечательных свойств циклоиды отметим одно,
из-за которого она заслужила громко звучащее мудреное название:
«брахистохрона». Это название составлено из двух греческих слов, означающих
«кратчайший» и «время».
Рассмотрим такой вопрос: какую форму следует придать хорошо
отшлифованному металлическому желобу, соединяющему две заданные точки А и В
(рис. 26.), чтобы полированный металлический шарик скатывался по этому желобу
из точки А в точку В в кратчайшее время? На первый взгляд кажется, что нужно
остановиться на прямолинейном желобе, так как только вдоль него шарик пройдет
кратчайший путь от А до В. Однако речь идет не о кратчайшем пути, а о
кратчайшем времени; время же зависит не только от длины пути, но и от скорости,
с которой бежит шарик. Если желоб прогнуть вниз, то его часть, начиная от точки
А, будет круче опускаться вниз, чем в случае прямолинейного желоба, и шарик,
падая по нему, приобретет скорость большую, чем на участке такой же длины
прямолинейного желоба. Но если сделать начальную часть очень крутой и
сравнительно длинной, то тогда часть, примыкающая к точке В, будет очень
пологой и также сравнительно длинной; первую часть шарик пройдет быстро, вторую
очень медленно и шарик может запоздать с приходом в точку В. Итак, желобу,
по-видимому, нужно придавать вогнутую форму, но делать выгиб не слишком
значительным
Рис. 26.
Рис. 27.
Итальянский физик и астроном Галилей (1564-1642) думал, что
желоб кратчайшего времени нужно выгибать по дуге окружности. Но швейцарские
математики братья Бернулли около трехсот лет тому назад доказали точным
расчетом, что это не так и что желоб нужно выгибать по дуге циклоиды
(опрокинутой вниз, рис. 27.). С тех пор циклоида и заслужила прозвище
брахистохроны, а доказательства Бернулли послужили, началом новой отрасли
математики - вариационного исчисления. Последнее занимается отысканием вида
кривых, для которых та или иная интересующая нас величина достигает своего
наименьшего (а в некоторых вопросах - наибольшего) значения.
Логарифмическая
спираль
Кривую эту можно было бы назвать по имени Декарта, так как
впервые о ней говорится в одном из его писем (1638 г.). Однако подробное
изучение ее свойств было проведено только полвека спустя Якобом Бернулли. На
современных ему математиков эти свойства произвели сильное впечатление. На
каменной плите, водруженной на могиле этого знаменитого математика, изображены
витки логарифмической спирали.
Архимедову спираль описывает точка, движущаяся вдоль луча
(«бесконечной стрелки») так, что расстояние от начала луча возрастает
пропорционально углу его поворота: r = ka. Логарифмическая спираль получится, если
потребовать, чтобы не само расстояние, а его логарифм возрастал прямо пропорционально
углу поворота. Обычно уравнение логарифмической спирали записывают, пользуясь в
качестве основания системы логарифмов неперовым числом е (п. 25). Такой
логарифм числа r называют натуральным логарифмом и обозначают In r. Итак, уравнение
логарифмической спирали записывается в виде ln r = ka
Конечно, угол поворота а можно измерять по-прежнему в
градусах. Но математики предпочитают измерять его в радианах, т.е. принимать за
меру угла отношение длины дуги окружности между сторонами центрального угла к радиусу
этой окружности. Тогда ловорот стрелки на прямой угол будет измеряться числом л
1,57, поворот на величину развернутого угла - числом л 3,14, а полный поворот,
измеряемый в градусах числом 360, в радианах будет измеряться числом 2 л 6,28.
Рис. 28.
Из многих свойств логарифмической спирали, отметим одно:
любой луч, выходящий из начала, пересекает любой виток спирали под одним и тем
же углом. Величина этого угла зависит только от числа k в уравнении спирали. При
этом под углом между лучом и спиралью понимается угол между этим лучом и
касательной к спирали, проведенной в точке пересечения (Рис. 28).
Заключение
В ходе рассматревания кривых третьего и четвертого
порядков
мы познакомились с некоторыми поистине замечательными
кривыми, населяющими удивительный мир аналитической геометрии, которые
встречаются в нашей жизни гораздо чаще, чем кажется. Рассмотрели практическое
применение их в жизни человека, значение их замечательных свойств в различных
механизмах, используемых человеком в жизни. В данной работе собрали материал с
уклоном на практическое построение кривых.
Итак, было достигнуто поставленной цели и решены
обозначенные, соответственно, к цели задания.
Литература
линия порядок трансцендентный спираль
1.
Маркушевич А.И. Замечательные кривые. - М.:.Краснопролетарская, 1951. -23 с.;
1978., - 48 стр. с илл.
.
История математики с древнейших времен до начала XIX столетия/ Под ред. А.П.
Юшкевича. - М.: Наука, 1970, т. 1. - 352 с.; 1970, т. 2. - 300 с.; 1972, т. 3 -
496 с.
.
Никифоровский В.А., Фрейман Л.С. Рождение новой математики. - М.: Наука, 1976.
- 198 с.
.
Савелов А.А. Плоские кривые. - М.: Физматгиз, 1960 - 294 с.
.
Ильин В.А., Позняк Э.Г. Аналитическая геометрия. - М.: Наука, 1971. - 232 с.
.
Тышкевич Р.И., Феденко А.С. Линейная алгебра и аналитическая геометрия. - 2-е
изд. - Минск: Выш. Шк., 1976.544 с.