Математическая модель самолета как объекта управления (самолет ТУ-154)
МИНИСТЕРСТВО
ОБРАЗОВАНИЯ И НАУКИ
Национальный
аэрокосмический университет им. Н.Е. Жуковского
«Харьковский
авиационный институт»
Кафедра
систем управления летательными аппаратами
ПОЯСНИТЕЛЬНАЯ
ЗАПИСКА
по
дисциплине «Машинные модели объектов автоматического управления»
Математическая
модель самолета как объекта управления (самолет ТУ-154)
ХАИ.301.050201.332.19
Выполнил
студент гр. 332 Е.С. Романюк
Проверил
доцент каф.301, к.т.н._________
________________________
С.Б. Кочук
Цель задания: 1. Приобретение навыков разработки
системы допущений, требований и ограничений в процессе формирования моделей
самолета. 2. Разработка физической и математической моделей самолета.
Краткое содержание работы
. Общая характеристика самолета ТУ-154.
. Геометрические характеристика самолета.
. Аэродинамические характеристики
самолета.
. Влияние полетной массы на летные
характеристики самолета.
. Взлет самолета ТУ-154.
. Порядок выполнения взлета самолета.
. Набор высоты и снижение самолета
ТУ-154.
. Математическая модель.
9. Выводы.
.
ОБЩАЯ ХАРАКТЕРИСТИКА САМОЛЕТА ТУ-154
Скоростной пассажирский реактивный самолет
ТУ-154 предназначен для эксплуатации на авиалиниях малой и средней
протяженности от 500 до 3500 км с коммерческой загрузкой до 18 т на крейсерской
скорости 850. . . 900 км/ч. Самолет ТУ-154 представляет собой свободнонесущие
моноплан цельнометаллической конструкции с низко расположенным стреловидным
крылом, тремя турбовентиляторными двигателями, однокилевым Т-образным
стреловидным оперением и трехопорным шасси.
Силовая установка самолета состоит из трех
двигателей Д-30КУ-154.
Боковые двигатели оборудованы реверсивным
устройством силы тяги.
Большая энерговооруженность, эффективная
механизация крыла, реверсирование силы тяги и надежные тормоза колес обеспечивают
хорошие взлетно-посадочные характеристики самолета. Над средним двигателем
размещена вспомогательная силовая установка (ВСУ), обеспечивающая запуск
двигателей, кондиционирование воздуха кабин на земле, питание электросети
самолета постоянным и переменным током, а также опробование на земле всех
бортовых систем и управления самолетом.
Эксплуатация самолета в сложных метеоусловиях
обеспечивается установкой автоматической бортовой системы управления, которая,
помимо поддержания заданных характеристик устойчивости и управляемости на всех
режимах полета от взлета до посадки, автоматизации управления самолетом на всех
этапах полета по сигналам систем навигационно-пилотажного комплекса,
осуществляет автоматическое и директорное управление самолетом при заходе на
посадку и автоматический уход самолета на второй круг.
Система рулевого управления самолетом полностью
механизирована и имеет по всем трем каналам управления необратимые
гидравлические рулевые приводы и демпферные устройства, улучшающие характеристики
устойчивости и управляемости. Надежность системы управления обеспечивается
тройным резервированием. Все рулевые поверхности приводятся в действие
трехкамерными рулевыми приводами, каждая камера которых получает питание от
отдельной гидросистемы.
Основная система электроснабжения получает
питание от трех генераторов переменного тока мощностью 40 кВ·А каждый, а также
от ВСУ, имеющей источники постоянного и переменного тока.
Комплекс пилотажно-навигационного оборудования
состоит из бортовой системы управления, аппаратуры ближней навигации и посадки,
доплеровского измерителя путевой скорости и угла сноса, точной курсовой
системы, навигационного вычислителя с картографическим планшетом, индуцирующим
текущее место нахождения самолета, и другой аппаратуры. Этот комплекс
обеспечивает автоматический полет, навигацию и автоматический заход на посадку
по I и II категориям ИКАО.
Безопасность полета на самолете Ту-154М
обеспечивается:
· повышенной прочностью и живучестью
конструкции герметической кабины фюзеляжа;
· резервированием всех основных систем
самолета (двух- и трехкратным);
· возможностью продолжения взлета при
отказе одного двигателя и продолжением полета даже при отказе двух двигателей;
· наличием противообледенительных
систем крыла, оперения, воздухозаборников, двигателей и стекол фонаря кабины
пилотов;
· обеспечением в случае необходимости
экстренного снижения с 11 до 4 км за время не более 3 мин;
· возможностью быстрого покидания
самолета пассажирами и экипажем в случае вынужденной посадки на сушу и воду.
Конструктивные и аэродинамические особенности
самолета допускают его эксплуатацию (взлет-посадка) в условиях, которые
ограничены минимальной температурой для арктических условий (t = -50◦C
при H = 0) и требованиями ИКАО.
Высокая энерговооруженность самолета на взлетном
режиме в стандартных условиях при максимальной взлетной массе 100 т (0,31)
обеспечивает хорошие взлетные характеристики также при высоких температурах и
низких давлениях. При максимальной взлетной массе 100 т в стандартных условиях
фактическая длина разбега составляет 1500 м. Длина пробега при массе 80 т и
стандартных условиях равна 1000 м.
. ГЕОМЕТРИЧЕСКИЕ ХАРАКТЕРИСТИКИ САМОЛЕТА
Общие характеристики
Длина самолета, м . . . . . . . . . . . . . . .
. . . . . . . . . . . . . . . . . . . . . . . . . . 48,0
Высота самолета, м . . . . . . . . . . . . . . .
. . . . . . . . . . . . . . . . . . . . . . . . . 11,4
Размах крыла, м . . . . . . . . . . . . . . . .
. . . . . . . . . . . . . . . . . . . . . . . . . . 37,55
Длина фюзеляжа, м . . . . . . . . . . . . . . .
. . . . . . . . . . . . . . . . . . . . . . . . 41,85
Максимальный диаметр, м . . . . . . . . . . . .
. . . . . . . . . . . . . . . . . . . . . . . 3,8
Площадь миделя фюзеляжа, м2 . . . . . . . . . .
. . . . . . . . . . . . . . . . . . . . 14,4
Удлинение фюзеляжа λ
=
l/d . . . . . . . . . . . . . . . . . . . . . . . . . . . . . . . . . 11,0
Угол опрокидывания, град . . . . . . . . . . . .
. . . . . . . . . . . . . . . . . . . . . . 16,5
Ширина колеи шасси, м . . . . . . . . . . . . .
. . . . . . . . . . . . . . . . . . . . . . . . 11,5
Продольная база шасси, м . . . . . . . . . . . .
. . . . . . . . . . . . . . . . . . . . . . 18,92
Крыло
Площадь крыла с наплывом, м2 . . . . . . . . . .
. . . . . . . . . . . . . . . . 201 (180)
Средняя аэродинамическая хорда (b САХ), м . . .
. . . . . . . . . . . . . . . . 5,28
Поперечное ψ крыла,
град . . . . . . . . . . . . . . . . . . . . . . . . . . . . . . . . . −1◦10
Угол установки крыла в корне ϕ, град . . .
. . . . . . . . . . . . . . . . . . . . . . . +3
Угол установки крыла на конце ϕ, град . . .
. . . . . . . . . . . . . . . . . . . . . . −1
Стреловидность крыла χ,
град . . . . . . . . . . . . . . . . . . . . . . . . . . . . . . . . . 35
Удлинение крыла λ =
l2/S . . . . . . . . . . . . . . . . . . . . . . . . . . . . . . . . . . . 7,83
Сужение крыла η =
bкор/bкон . . . . . . . . . . . . . . . . . . . . . . . . . . . . . . . . 3,48
Угол отклонения закрылков, град . . . . . . . .
. . . . . . . . . . . . . . . 15; 28; 36;
Угол отклонения интерцепторов δи,
град . . . . . . . . . . . . . . . . . . 50; 35; 45
Угол отклонения предкрылков δпр,
град . . . . . . . . . . . . . . . . . . . . . . . . 22
Угол отклонения элеронов δэ,
град . . . . . . . . . . . . . . . . . . . . . . . . . . . ±20
Относительная толщина в корне крыла C, % . . . .
. . . . . . . . . . . . . . . . . 12
Относительная толщина на конце крыла C, % . . .
. . . . . . . . . . . . . . . . . 10
Горизонтальное оперение
Площадь горизонтального оперения, м2 . . . . . .
. . . . . . . . . . . . . . . . . . 42
Площадь руля высоты, м2 . . . . . . . . . . . .
. . . . . . . . . . . . . . . . . . . . . . . . 9,8
Угол отклонения стабилизатора от оси фюзеляжа ϕст,
град . От 3 до 8,5
Угол отклонения стабилизатора по УПС, град . . .
. . . . . . . . . От 0 до 5,5
Отклонение руля высоты δрв,
град . . . . . . . . . . . . . . . . . . . . . . . . −25, +20
Вертикальное оперение
Площадь вертикального оперения, м2 . . . . . . .
. . . . . . . . . . . . . . . . . 31,72
Площадь руля направления, м2 . . . . . . . . . .
. . . . . . . . . . . . . . . . . . . . 7,53
Угол стреловидности %, град . . . . . . . . . .
. . . . . . . . . . . . . . . . . . . . . . . 45
Высота вертикального оперения, м . . . . . . . .
. . . . . . . . . . . . . . . . . . . 5,65
Угол отклонения руля направления δрн,
град . . . . . . . . . . . . . . . . . . . ±25
3. АЭРОДИНАМИЧЕСКИЕ
ХАРАКТЕРИСТИКИ САМОЛЕТА
При выполнении полета самолета в результате
неравномерного распределения давления и сил трения по поверхности крыла в
пограничном слое возникает полная аэродинамическая сила Ra, которая приложена в
центре давления крыла и направлена в сторону пониженного давления
Аэродинамические силы профиля крыла самолета
Ту-154
Так как при изменении углов атаки крыла давление
на профиле перераспределяется, а величина, направление и точка приложения
полной аэродинамической силы изменяются, то для удобства изучения силу Ra
раскладывают на две составляющие, которые имеют постоянное направление.
Подъемная сила Ya всегда направлена
перпендикулярно к набегающему потоку (вектору скорости полета), в сторону
пониженного давления. Эта сила возникает вследствие разности давлений под
крылом и над ним, причем, чем больше разность давлений, тем подъемная сила
больше.
Лобовое сопротивление Xa направлено параллельно
набегающему потоку (параллельно вектору скорости полета), но в обратную сторону
Сила лобового сопротивления возникает вследствие
разности давлений впереди крыла и за ним, а также вследствие трения воздуха в
пограничном слое крыла.
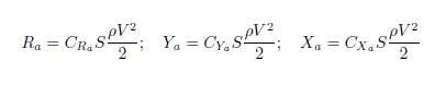
Величины полной аэродинамической силы, подъемной
силы и силы лобового сопротивления определяются соответственно по формулам:
где CRa - коэффициент полной
аэродинамической силы;- площадь крыла, м2;
ρ - плотность воздуха,
кг/м3;- скорость полета (набегающего потока), м/с;Ya -
коэффициент подъемной силы;Xa - коэффициент лобового сопротивления.
Основные аэродинамические характеристики
самолета Ту-154 при различных конфигурациях на высоте и у земли
Схема сил, действующих на самолет в
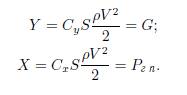
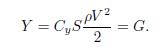
горизонтальном полете, изображена на рисунке
Если все силы приложены в одной точке (в центре
масс самолета), то для осуществления горизонтального полета подъемная сила
должна уравновешивать силу тяжести, а сила тяги силовой установки - силу
лобового сопротивления самолета:
Если сила тяги не будет равняться лобовому
сопротивлению, то самолет будет двигаться с переменной скоростью по величине, а
при неравенстве подъемной силы и силы тяжести полет будет криволинейным, т. е.
с переменной скоростью по направлению и величине.
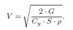
Скорость, потребная для горизонтального полета Vг
п, обеспечивает создание подъемной силы, равной массе самолета. Величину
потребной скорости можно определить из условия горизонтального полета
Решив это уравнение относительно Vг
п, получим выражение скорости, потребной для горизонтального полета:
Тяга, потребная для горизонтального полета P,
определяется из условия X = P. Разделив почленно первое уравнение на второе,
получим
Из этого выражения следует, что тяга, потребная
для горизонтального полета:
Как видно из последней формулы, величина
скорости и сила тяги, потребные для горизонтального полета, зависят от массы
самолета, угла атаки и высоты полета.
4. ВЛИЯНИЕ ПОЛЕТНОЙ
МАССЫ НА ЛЕТНЫЕ ХАРАКТЕРИСТИКИ САМОЛЕТА
При выполнении полета на современном
пассажирском самолете полетная масса значительно уменьшается вследствие выработки
топлива. На самолете ТУ-154 по этой причине полетная масса может уменьшиться
более чем на 30% максимальной взлетной массы 100 т. Такое изменение полетной
массы вызывает значительное изменение летных характеристик самолета.
Для выполнения горизонтального полета с меньшей
полетной массой необходима меньшая подъемная сила, а значит, при том же угле
атаки и высоте полета необходимы меньшая скорость и сила тяги:
Для оценки изменения летных характеристик
самолета при уменьшении полетной массы удобно построить кривые потребных тяг
для различных полетных масс самолета
Влияние изменения массы на летные характеристики
самолета ТУ-154 (m = 100 т; 90 т; 80 т на H = 0)
Располагаемая тяга остается величиной
постоянной. Чтобы выполнять полет при том же угле атаки, но при меньшей массе,
нужна меньшая скорость, а для получения меньшей скорости нужна меньшая тяга.
Поэтому вся кривая потребных тяг сместится вниз и влево. При изменении полетной
массы со 100 до 80 т, как указано на рис. 3.3, наблюдаются следующие изменения
характерных скоростей горизонтального полета самолета: скорость сваливания
самолета уменьшается с 315 до 285 км/ч.
наивыгоднейшая скорость самолета уменьшается с
435 до 392 км/ч;
максимальная скорость самолета увеличивается с
850 до 875 км/ч;
теоретический диапазон скоростей увеличивается;
повышается избыток тяги, а значит, угол набора и
вертикальная скорость.
5. ВЗЛЕТ САМОЛЕТА
ТУ-154
При подготовке самолета ТУ-154 к взлету:
· анализируются метеорологические
условия полета на заданном маршруте и на аэродромах взлета и посадки;
· определяются по номограммам
максимально допустимая взлетная и посадочная массы самолета;
· разрабатывается план полета по
заданному маршруту в соответствии с требованиями РЛЭ;
· определяются для выбранной взлетной
массы скорость принятия решения V1; скорость начала подъема передней стойки
шасси Vп ст; безопасная скорость со взлетной конфигурацией самолета V2;
скорость в момент начала уборки средств механизации на взлете V3; скорость при
убранных средствах механизации на взлете V4;
· рассчитываются коммерческая загрузка
и потребное количество топлива;
· определяется центровка самолета;
· производится предполетный осмотр
самолета.
Основные взлетно-посадочные характеристики
самолета ТУ-154
Максимальная рулежная масса, т . . . . . . . . .
. . . . . . . . . . . . . . . . . . . 100,5
Максимальная взлетная масса, т . . . . . . . . .
. . . . . . . . . . . . . . . . . . . . . 100
Максимальная посадочная масса, т . . . . . . . .
. . . . . . . . . . . . . . . . . . . . . 80
Максимальная масса самолета без топлива, т . . .
. . . . . . . . . . . . . . . . . 74
Максимальная коммерческая загрузка, т . . . . .
. . . . . . . . . . . . . . . . . . . 18
Максимальная масса топлива, т . . . . . . . . .
. . . . . . . . . . . . . . . . . . . . 39,75
Допустимые центровки, % САХ:
на взлете . . . . . . . . . . . . . . . . . . .
. . . . . . . . . . . . . . . . . . . . . . . . . . . 21. . . 32
на посадке . . . . . . . . . . . . . . . . . . .
. . . . . . . . . . . . . . . . . . . . . . . . . . 18. . . 32
Максимальная скорость полета, км/ч, с
закрылками, выпущенными на угол:
◦ . . . . . . . . . . . . . . . . . . . . . . . .
. . . . . . . . . . . . . . . . . . . . . . . . . . . . . . . 360
◦ . . . . . . . . . . . . . . . . . . . . . . . .
. . . . . . . . . . . . . . . . . . . . . . . . . . . . . . . 330
◦ . . . . . . . . . . . . . . . . . . . . . . . .
. . . . . . . . . . . . . . . . . . . . . . . . . . . . . . . 300
Максимальная скорость полета при уборке и
выпуске шасси,
км/ч . . . . . . . . . . . . . . . . . . . . . .
. . . . . . . . . . . . . . . . . . . . . . . . . . . . . . . . 400
Максимальная скорость полета при отклоненных
внутренних
интерцепторах, км/ч . . . . . . . . . . . . . .
. . . . . . . . . . . . . . . . . . . . . . . . . . 300
Максимальная скорость полета при перестановке
стабилизатора,
км/ч . . . . . . . . . . . . . . . . . . . . . .
. . . . . . . . . . . . . . . . . . . . . . . . . . . . . . . . 425
Максимальная скорость полета при выпущенных
предкрылках,
км/ч . . . . . . . . . . . . . . . . . . . . . .
. . . . . . . . . . . . . . . . . . . . . . . . . . . . . . . . 425
Максимальная скорость полета при выпущенных
фарах, км/ч. . . . . . 340
Максимальная путевая скорость, км/ч:
подъема передней стойки шасси . . . . . . . . .
. . . . . . . . . . . . . . . . . . . . . 315
отрыва основных стоек шасси . . . . . . . . . .
. . . . . . . . . . . . . . . . . . . . . . 325
касания основными стойками шасси ВПП . . . . . .
. . . . . . . . . . . . . . . . 280
касания передней стойкой шасси ВПП . . . . . . .
. . . . . . . . . . . . . . . . . . 270
6. ПОРЯДОК ВЫПОЛНЕНИЯ
ВЗЛЕТА САМОЛЕТА
В процессе взлета самолета могут возникнуть
ситуации, при которых взлет должен быть прекращен. Обычно различают следующие
три режима взлета:
нормальный взлет - это взлет при нормальной
работе всех двигателей, систем и агрегатов самолета, выполняемый в соответствии
с требованиями РЛЭ;
продолженный взлет - это взлет, протекающий как
нормальный до момента отказа двигателя в процессе взлета, после чего взлет
продолжается и завершается с отказавшим двигателем;
прерванный взлет - это взлет, протекающий как
нормальный до момента отказа двигателя, после чего наступает прекращение взлета
с последующим торможением самолета до полной его остановки на летной полосе.
Скорость отрыва и длина разбега самолета
При разбеге на самолет действуют подъемная сила
Y , сила лобового сопротивления X, сила тяжести G, сила тяги P, сила реакции
ВПП N, равная силе давления колес (G − Y ) и противоположно ей
направленная, а также сила трения Fтр. Сила трения определяется величиной силы
реакции ВПП N = G − Y и коэффициентом трения f (Fтр = f · N).
Коэффициент трения качения зависит от состояния
поверхности ВПП и для сухого бетона равен 0,02. . . 0,03.
Разбег является прямолинейным ускоренным
движением. Для создания ускорения необходимо, чтобы сила тяги P силовой
установки была значительно больше суммы силы лобового сопротивления X и силы
трения Fтр, т. е. P > X + Fтр.
Схема сил, действующих на самолет Ту-154
а - при разбеге; б - в момент отрыва.
Длина разбега определяется по формуле
Среднее ускорение самолета jср при
разбеге зависит от избытка тяги ΔP = P −(X+Fтр)
и массы самолета m = G/g. При большем избытке тяги и меньшей массе самолета
ускорение самолета большее:
Ошибки при выполнении взлета самолета
К наиболее характерным ошибкам при выполнении
взлета относятся неправильная установка самолета Ту-154 перед взлетом и отрыв
его с большим или малым углом атаки. Неправильная установка самолета перед
взлетом (под углом к оси ВПП) приводит к тому, что не выдерживается необходимое
направление взлета. В этом случае командир ВС вынужден в процессе разбега
исправлять допущенную ошибку, доворачивая самолет к необходимому направлению
взлета. Для предотвращения этой ошибки следует перед взлетом установить самолет
точно по оси ВПП, а в процессе разбега своевременно парировать малейшее
стремление к отклонению самолета от направления взлета, управляя рулем
направления и колесами передней опоры. При значительном отклонении от направления
разбега и неуверенности в том, что удастся вернуть самолет на ось ВПП, взлет
следует прекратить.
Необходимо учитывать, что при взлете со
скользкой ВПП, даже при небольшом боковом ветре, направление, особенно в начале
разбега, выдерживать трудно, так как руль направления малоэффективен по причине
малой скорости, а колеса передней опоры и тормоза - по причине малого
коэффициента трения. Отрыв самолета с большим углом атаки возможен при взлете с
коротких ВПП, при возникновении неожиданных препятствий на ВПП, при взлете с
заснеженных ВПП, когда командир ВС в процессе разбега вынужден начать подъем
передней опоры самолета на скорости, меньшей VR. Увеличение угла атаки при
отрыве вызывает уменьшение скорости отрыва, что в определенных условиях не безопасно.
Отрыв самолета с малым углом атаки ведет к
увеличению длины разбега и скорости отрыва. Взлет на повышенной скорости сам по
себе не является опасным, но разбег сопровождается чрезмерными нагрузками на
узлы шасси и особенно на переднюю стойку шасси.
К летному происшествию может привести попытка
взлета с убранными закрылками, когда самолет имеет обычную скорость отрыва Vотр
=280. . . 290 км/ч, а его скорость сваливания при убранных закрылках составляет
315 км/ч при массе 100 т.
Уборка закрылков на скоростях, меньших, чем
указаны в РЛЭ, особенно при высокой температуре и низком давлении воздуха,
приводит к просадке самолета, следствием которой может быть столкновение
самолета с землей.
При центровке на взлете 21% САХ отрыв самолета
от ВПП происходит при полностью отклоненном руле высоты вверх на 25◦.
Поэтому при нарушении передней центровки отрыв самолета возможен только на
больших скоростях.
После отрыва самолета пилотирование выполняется
по приборам. Если пилот будет неправильно выдерживать параметры набора, то
самолет перейдет на снижение, что вызовет столкновение с землей.
7. НАБОР ВЫСОТЫ И
СНИЖЕНИЕ САМОЛЕТА ТУ-154
Скорость, угол и вертикальная скорость набора
высоты
Схема сил, действующих на самолет при наборе
высоты, показана на рисунке. Силу тяжести удобно разложить на две составляющие:
G1 =Gcos θн - проекция силы
тяжести на перпендикуляр к траектории полета (θн
- угол набора высоты) и G2 = Gsin θн
- проекция силы тяжести на траекторию полета.
Схема сил, действующих на самолет Ту-154 при
наборе высоты
Для выполнений набора высоты с постоянным углом
набора необходимо, чтобы Y = Gcos θн,
а для набора высоты с постоянной скоростью должно быть выполнено условие P = X
+ Gsin θн.
Скорость Vн, потребная для набора высоты,
определяется по формуле:
Формулу для определения потребной тяги при
наборе высоты можно представить так:
самолет взлет снижение
аэродинамический
Скорость, угол и вертикальная скорость
планирования и снижения
Угол между линией горизонта и вектором скорости
снижения называется углом снижения θсн.
Если самолет выполняет снижение с силой тяги, близкой к нулю, то такое снижение
называется планированием, а угол снижения - углом планирования θпл.
Схема сил, действующих на самолет при снижении,
показана на рисунке.
Сила тяжести самолета раскладывается на две
составляющие: G1 = Gcos θсн -
проекция силы тяжести на перпендикуляр к траектории снижения и G2 =
Gsin θсн
- проекция силы тяжести на траекторию снижения. Самолет выполняет снижение с
постоянной скоростью при условии
Из условия снижения с постоянным углом Y = Gcos θсн
определяется скорость снижения
Схема сил, действующих на самолет ТУ-154 при
снижении
8. МАТЕМАТИЧЕСКАЯ
МОДЕЛЬ
Движение самолета складывается из вращательного
вокруг центра масс и поступательного движения центра масс в пространстве. Любое
вращение самолета относительно центра масс можно представить как вращение
вокруг трех взаимно перпендикулярных осей OX, OY и OZ, проходящих через центр
масс (рис). Эти оси условно жестко связаны с самолетом и определяют ориентацию
его в пространстве. Такая система координат называется связанной.
. Продольная ось OX расположена в плоскости
симметрии самолета и направлена вперед, параллельно средней аэродинамической
хорде или оси фюзеляжа. Момент, стремящийся повернуть самолет относительно оси
OX (накренить самолет), называется моментом крена и обозначается Mx.
. Вертикальная ось OY также расположена в
плоскости симметрии самолета и направлена вверх. Она перпендикулярна оси OX.
Момент, стремящийся повернуть самолет вокруг оси OY , называется моментом
рыскания и обозначается My.
. Поперечная ось OZ направлена перпендикулярно к
плоскости симметрии самолета, в сторону правого полукрыла. Момент, стремящийся
повернуть самолет вокруг оси OZ (изменить угол тангажа самолета), называется
продольным моментом или моментом тангажа и обозначается Mz.
Момент Mz, увеличивающий угол тангажа ϑ,
получил название кабрнрующего, а уменьшающий - пикирующего. Положительными
моментами являются: Mz - кабрирующий; Mx - кренящий самолет вправо; My -
разворачивающий самолет влево. Положительное направление осей OX, OY и OZ и
моментов Mx, My и Mz на рисунке показано стрелками.
Характер движения самолета в пространстве
определяется величиной и местом приложения внешних сил и их направлением. Если
сумма действующих сил не равна нулю, то самолет приобретает ускорение в сторону
неуравновешенной силы. При наличии неуравновешенного момента (сумма моментов
сил не равна нулю) самолет имеет угловое ускорение относительно центра масс.
Следовательно, для осуществления равномерного и прямолинейного движения
необходимо, чтобы сумма сил и моментов, действующих на самолет, равнялась нулю.
В этом случае самолет находится в состоянии динамического равновесия или просто
равновесия (горизонтальный полет, снижение, набор высоты).
Связанная система координат
сумма проекций сил на ось OX:
= P − X = 0;
сумма проекций сил на ось OY :
= Y1 − Y2 − G = 0;
сумма моментов сил относительно оси OZ:
= Y2 · x2 − Y1 · x1 − Py · y = 0.
Уравнения в связанной системе координат
Уравнение сил
в проекциях на оси СвСК имеет вид:
где Vx,
Vy, Vz
- проекции вектора скорости движения ЛА в инерциальном пространстве;
проекции
вектора угловой скорости вращения СвСК OXYZ
относительно НСК OoXgYgZg
на собственные оси.
В качестве вектора скорости ЛА могут быть
рассмотрены как вектор воздушной скорости
,
так и земной
скоростей, во
втором случае проекции на оси СвСК в последней формуле обозначаются
соответственно как Vkx,
Vky, Vkz
.
Векторное произведение двух векторов в
декартовых координатах, если ax , bx, ay
, by , az ,bz -
проекции векторов
и
на
оси Ox, Oy, Oz соответственно,

определяется так:
Уравнение движения ЛА запишем в проекциях на оси
СвСК OXYZ. При этом неинерциальная система координат (OXYZ) может выполнять
поступательные и вращательные движения относительно инерциальной (OoXgYgZg).

Для определения ускорения центра
масс ЛА в неподвижной (земной) системе координат воспользуемся формулой
дифференцирования вектора:


где ускорение подвижной системы
координат (связанной) относительно неподвижной (земной) системы;

проекции вектора на оси связанной
системы координат; вектор абсолютной угловой скорости, с которым связана
система координат, вращается в инерциальном пространстве орты по осям
координат.
Осуществим операцию векторного умножения
векторов
и
в
связанной системе координат:
где проекции вектора скорости движения в
инерциальном пространстве; проекции вектора угловой скорости вращения СвСК
относительно нормальной земной системы координат на собственные оси.
С учетом уравнений система преобразуется к виду
. m(ω
x+ωyVz-ωzVy)=
-mgsinV +P -Xacosαcosβ+Yasina-Zacosαsinβ
+ Fbx
. m(ωy+ωzVx-ωxVz)=
-mgcosVcosγ +Xasinαcosβ+Yacosα+Zasinαsinβ
+ Fby
. m(ωz+ωxVy-ωyVx)=
mgcosVsinγ - Xasinβ+Zacosβ
+ Fbz






Компактнее и удобнее записывать
уравнения в матричной форме
+ m = + + + .
Уравнения кинематики поступательного
движения
Уравнения в связанной системе
координат
Уравнения кинематики связывают
пространственное положение ц.м. ЛА со скоростью его движения, если вектор
воздушной скорости ЛА определен в СвСК, то производные от координат в
нормальной системе запишутся как
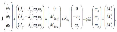
Уравнения динамики вращательного
движения
Уравнение динамики вращательного
движения (2.4) или уравнения моментов в проекциях на оси СвСК
где Ix, Iy, Iz моменты инерции
относительно строительных осей; и Mx , My , Mz , проекции соответственно
вектора абсолютной угловой скорости и аэродинамического момента на главные центральные
оси инерции OX, OY, OZ. Уравнения моментов в СвСК значительно
упрощаются, т.к. главные
оси инерции ЛА совпадают с осями этой СК, что в условиях незначительного
изменения массы ЛА и неизменного ее распределения внутри ЛА приводит к
постоянству моментов инерции, кроме того все центробежные моменты инерции равны
нулю
.
Учитывая соотношения осевых моментов
инерции для современных самолетов уравнение приводится к виду:
где члены - обуславливают
перекрестное влияние продольного и бокового движений и являются источниками
аэроинерционного вращения.
Систему уравнений движения называют
динамическими уравнениями Эйлера. Каждое из них является дифференциальным
уравнением второго порядка относительно линейных или угловых перемещений.
Главный вектор моментов определяем
по силам и точкам их приложения относительно ц.м. ЛА.
Моменты от силы веса в виду их
приложения в ц.м. ЛА равны нулю.

Моменты, создаваемые тягой
двигателя, из-за равных тяг левых и правых двигателей могут быть записаны в
следующем в виде:
кроме того могут быть учтены
гироскопические моменты каждого двигателя, особенно для транспортных ЛА
где - суммарный момент количества
движения вращающихся частей двигателя (для авиации традиционно ).

Аэродинамические моменты
определяются по аэродинамическим коэффициентам при продувках в модели ЛА в
аэродинамической трубе
здесь - безразмерные коэффициенты
аэродинамических моментов соответственно крена, рыскания и тангажа, l - размах
крыла, ba -средняя аэродинамическая хорда крыла.
Моменты от газодинамических рулей
учитываются исходя из известных усилий на них и расстояний от ц.м..
Моменты внешних сил учитывают в
зависимости от целей исследования, мы их будем записывать в общем виде как
проекции на оси СвСК.
Уравнение динамики вращательного
движения или моментов примет вид
где - матрица моментов инерции ЛА; -
диагональная матрица характеристических линейных размеров ЛА.
9. ВЫВОД
В ходе выполнения домашнего задания была изучена
конструкция и компоновка летательного аппарата ТУ-154, составлена его
математическая модель в связанной системе координат.
ТУ-154 - это трёхдвигательный реактивный
пассажирский самолёт для авиалиний средней протяжённости, разработанный в
1960-х в СССР в КБ Туполева для замены ТУ-104.
Благодаря хорошим показателям качества Самолёт
ТУ-154 стал самым массовым реактивным пассажирским самолётом в СССР. 150
самолётов было экспортировано. К концу XX века лайнер морально устарел, и
пользователи ТУ-154 начали заменять его на более современные аналоги: Boeing
737 поздних модификаций и Airbus A320, но несмотря на это, ТУ-154,
произведенные в конце 1980-х и в 1990-е годы и могут летать ещё по меньшей мере
до 2015 года.
Я была заинтересована в выполнении этой работы,
т.к. она позволила мне расширить знания не только в области ЛА, подобных
ТУ-154, но и других ЛА, выполненных по другим схемам (бесхвостка, «утка»,
«летающее крыло» и др.).
СПИСОК ИСПОЛЬЗОВАННОЙ ЛИТЕРАТУРЫ
1. Кочук С. Б.
Лекционный курс по дисциплине «Машинные модели
объектов автоматического управления»
. Кулик
А. С. Лекционный курс по дисциплине «Теория автоматического управления»
. Пятин
А. И.
«Динамика полета и пилотирование самолета ТУ-154»
. Бехтир
В. П., Ржевский В. М., Ципенко В. Г. «Практическая аэродинамика самолета ТУ-154М»
5. Зинченко
В. И. Методические указания «Конструкция и эксплуатация самолета ТУ-154Б»