Портфель Тобина

  • Вид работы:
    Курсовая работа (т)
  • Предмет:
    Финансы, деньги, кредит
  • Язык:
    Русский
    ,
    Формат файла:
    MS Word
    507,79 Кб
  • Опубликовано:
    2013-12-01
Вы можете узнать стоимость помощи в написании студенческой работы.
Помощь в написании работы, которую точно примут!

Портфель Тобина

MINISTRY OF EDUCATION AND SCIENCE OF THE REPUBLIC OF KAZAKHSTAN

INTERNATIONAL UNIVERSITY OF INFORMATION TECHNOLOGIES

Information Technologies Department

Портфель Тобина

Done by: Durbanova Anna








Almaty 2013

Содержание

Введение

1. Портфель Тобина. Теоретическая часть

.1      Вложение денежных средств

.2      Значение Портфеля и его виды

.3 Инвестиционный процесс

1.4 Тобин: теория и вклад в экономику

2. Практическая часть

2.1 Детальное описание построения оптимального портфеля

Заключение

Список литературы

Введение

Каждый человек в определенный момент времени решит вложить деньги для получения дохода. Люди могут вкладывать деньги в депозиты, в золото, недвижимость или в ценные бумаги. Они в свою очередь подразделяются на разные типы, в зависимости от риска, желаемого дохода, которые могут себе позволить инвесторы.

В данной курсовой работе будут затрагиваться вопросы об инвестиционных портфелях, их видов, а также большое внимание будет уделяться портфелю Тобину. Формула, алгоритм расчетов и важность составления именно такого портфеля будут описаны в двух главах.

Первая глава состоит из теоретической части, в которой будут даны определения различным портфелям, по каким параметрам инвестор выбирает определенный тип портфеля и из каких этапов состоит инвестиционный процесс.

Вторая глава является практической, где будет представлен детальный обзор формирования оптимального пакета акций двух российских компаний и безрискового актива.

1. Портфель Тобина. Теоретическая часть

.1 Вложение денежных средств

В определенный момент времени, каждый человек задумывается о вложение денег для получения определенной прибыли. Для этого существует различные варианты:

1. Вложение денег в банк под проценты

В настоящий момент, этот вид инвестиций является самым популярным методов вложения денег, так как он более понятен и привлекателен для населения. Инвесторы размещают деньги в банке и за это получают проценты. Дивиденды можно брать через каждый месяц или только раз в год, в зависимости, какой депозит выбрал клиент. Также депозиты привлекают инвесторов своей простотой, так как процесс оформления требует небольшой пакет документов, только паспорт или удостоверение личности, и денежные средства в любой валюте, в долларах, тенге, евро, рублях.

Также, многие люди предпочитают класть деньги в депозит на долгосрочный период времени, оформленного на ребенка, чтобы к возрасту 18 лет можно было спокойно оплатить за учебу. Клиенты не боятся оставлять деньги на много лет, так как существует Казахстанский фонд гарантирования депозитов. Он был создан 15 ноября 1999 года и цель его: выплатить возмещение в случае банкротства банка на сумму в размере 5 млн тенге на каждого вкладчика. Данная система гарантирования депозитов в Казахстане обязательна, и в нее входят все банки второго уровня, которые имеют лицензию на прием депозитов, открытие и введение банковских счетов.

Основываясь на таких факторах, вкладчики часто упускают из виду главный недостаток депозита: низкий процент доходности. Существует корреляция между надежностью банка и размеров его процентной ставки. Чем банк надежнее, тем ниже процентная ставка, которая чаще всего не покрывает инфляцию. Например, Каспийский банк предлагает депозит на 10,8% в год, хотя остальные банки второго уровня не повышают проценты выше 8-9 %, что делает именно этот банк самым рискованным банков в данный момент. Также, если учесть тот факт, что процентная ставка фиксируется на момент подписания депозитного договора, а экономическая ситуация во всем мире достаточно нестабильно, просто невозможно предсказать дальнейший уровень инфляции.

Кроме того, клиенты предпочитающие вкладывать деньги на более длительный срок, сталкиваются еще с одной проблемой. Банки предлагают депозиты с высокой процентной ставкой на длительный срок, но с условием снятия процентов только раз в год и только в момент продления срока депозита. Такое условие является еще одним минусом такого вида инвестиций.

2. Вложение денег в золото и другие драгоценные металлы

Следующий тип инвестиций - это вложение денег в золото, серебро, платину или в драгоценные металлы Такой тип инвестиций считается довольно надежным, так как ценность их не зависит от времени, но тоже есть свои недостатки.

Инвестирование в драгоценности и в слитки хорошо подходит для долгосрочного инвестирования, но не в краткосрочное, кроме того инвестирование включает в себя дополнительные расходы и является низко ликвидным. Например, ювелирные украшения

Вот почему, инвесторы сделали вывод, что инвестирование в драгоценные металлы является надежным способом хранение на длительное время, более 5 лет. Если же надеяться на краткосрочный период, то существует риск потерять свой капитал.

. Вложение денег в недвижимость

Раньше вложение денег в недвижимость было довольно хорошим методом инвестирования, но с наступлением мирового финансового кризиса, это стало экономически невыгодно. Считалось, что «Недвижимость - это низко-рискованный защитный актив, который позволяет уберечься от кризиса и обладает высокой доходностью». На самом деле это не так, низко-рискованный актив должен быть с низкой фиксированной доходностью, низкой вероятностью дефолта и высокой ликвидности. Недвижимость не соответствует ни одному из этих критерий. В реальности, она - высоко-рискованный актив, так как цена может, как и падать, так и резко расти. Также, недвижимость в условиях кризиса стала быстро неликвидной, продать ее становится большой проблемой.

Существуют два подхода в получении прибыли от вложения в недвижимость. Во-первых, инвестор может получать доход от сдачи квартиры в аренду, или проживать в своей квартире, экономя на том, чтобы не арендовать. Этот способ окупит покупку квартиру не скоро и не покроет инфляцию и даже меньше процентов по банковским депозитам. В целом, выгоднее будет положить определенную сумму в банк, чем покупать квартиру. Второй способ, это рост цены на недвижимость. Инвесторы надеются, что, купив квартиру по низкой цене, можно в будущем продать ее в два или в три раза дороже, как это было в 2000 году.

Одним из выгодных способов вложения средств - это инвестирование в коммерческую недвижимость, однако он подходит только на долгосрочный период и риск того, что новый торговый или бизнес центр станет популярным, очень высок.

Однако, люди до сих пор берут ипотеки, не задумываясь про другие способы инвестирования.

4. Торговля на валютном и фондовом рынках

Валютный и фондовый рынки являются потенциально высокодоходными финансовыми рынками, на первом торгуются валюты, на втором - ценные бумаги. Валютный рынок Форекс (ForeignExchange) получил свое развитие сравнительно недавно вместе с развитием сети интернет, однако, развиваясь быстрыми темпами, он ставил позади все известные рынки мира. Из-за наличия и доступности информации о фондовых рынках в интернете про различные способы заработка на Форексе и возникновение автоматизированных торговых систем привлекают все больше и больше инвесторов. Они могут играть на рынке в любое время, с любой точки планеты, что для многих стало не просто работой, а любимым занятием. Однако рынок Форекс стал наиболее рискованным и высокодоходным рынком. Риск заключается в азартности инвестора, так как азартные люди не могут контролировать риски и огородит тем самым себя от больших убытков. Также инвестор не пожжет торговать на рынке без брокера, что также несет за собой высокий риск, из-за неправильного выбора брокера.

5. Вложение денег в ценные бумаги

По сравнению с валютным рынком, фондовый рынок является более менее надежным. В долгосрочном периоде можно наблюдать тенденцию роста, если правильно и грамотно создать портфель ценных бумаг. Считается, что создание своего портфеля - наука для избранных, на самом деле, чтобы сделать правильный выбор, надо обладать здравым умом и небольшим багажом знаний. Однако, многие брокеры предлагают готовые портфельные инвестиции в акции, облигации, фьючерсы и опционы на акции. Хотя, можно создать пакет самостоятельно, ориентируясь на три важных критерия: ликвидность, стоимость, финансовое состояние эмитента. Ликвидность показывает, легло ли будет продать ценную бумагу на рынке; стоимость- соответствует ли курсовая цена реальной цене, какую динамику показывала бумага на рынке в последнее время; финансовое состояние эмитента - финансовая отчетность и перспектива роста.

1.2 Портфель и его виды

Портфель - это совокупность инвестиционных вложений юридических и физических лиц. Инвестиционные портфели представляют собой совокупность ценных бумаг разного вида, срока действия и степени ликвидности, которая принадлежит одному инвестору и управляется, как одно целое. Эти портфели можно разделить на агрессивные (то есть портфели формируются из активов с высокой доходностью, но в тоже время с довольно высоким риском) и на пассивные. Они же, в свою очередь, характеризуются низким оборотом, минимальным уровнем расходов и низким уровнем рисков. Менее рискованные портфели называются диверсифицированными, в которых удельный вес каждого из активов не является доминирующим. Кроме выше сказанных типов портфелей, существуют множество других типов портфелей.

1.      Портфель роста, ориентированного на акции, курсовая стоимость которых быстро растет на рынке. Цель данного портфеля заключается в увеличение капитала инвестора, получение дивидендов. Чаще всего инвестор вкладывает деньги в молодые, развивающие компании, что приводит к увеличению риска, но в будущем может принести высокий доход.

.        Портфель дохода, ориентированного на получение высоких текущих доходов в форме дивидендных и процентных выплат. В пакет такого портфеля входят акции, приносящие высокий доход, но с умеренным ростом курсовой стоимости, а также могут войти облигации, от которых можно получить выплаты купонного дохода. Единственная особенность от остальных портфелей - это ориентация на получение максимального текущего дохода при минимальном уровне риска. Чтобы добиться такого результата, инвесторы вкладывают деньги в корпоративные ценные бумаги самых надежных акционерных компаний, относящихся к промышленно-энергетическому комплексу.

.        Портфель рискового капитала. Такой портфель включает в себя ценные бумаги компаний, внедряющие новых технологии, требуют больших единовременных затрат на их реализацию, но с предложением высокого дохода в ближайшее время.

4.      Сбалансированный портфель. Он включает бумаги с различными сроками обращения, потенциальной доходностью и уровнем рискованности вложений. Чаще всего этот портфель представляет собой сочетание ценных бумаг с быстро меняющимися курсовыми стоимостями финансовых инструментов. Инвестор определяет соотношение между ними самостоятельно исходя из собственного отношения к риску.

5.      Портфель краткосрочных бумаг. Пакет формируется из высоколиквидных ценных бумаг, который могут быстро реализоваться

6.      Портфель долгосрочных ценных бумаг с фиксированным доходом. Этот портфель ориентируется на долгосрочный период времени, свыше 5 лет.

7.      Специализированный портфель. Этот тип портфеля включает в себя такие специальные инструменты срочного рынка, как опционы, фьючерсы.

8.      Региональные и отраслевые портфели. Они включают в себя ценные бумаги, выпускаемое отдельными субъектами и местными органами власти, также частными компания, либо ценные бумаги корпораций конкретной отрасли экономики

9.      Портфель иностранных ценных бумаг

Также портфели подразделяются с учетом дохода и риска.

1.      Портфель агрессивного инвестора. Его задача - получение значительного дохода при высоком уровне риска. Данный портфель в целом высокодоходный, но очень рискованный.

.        Портфель умеренного инвестора. Позволяет при заданном риске получить приемлемый доход. Такой портфель предусматривает длительное вложение капитала и его рост. В портфеле преобладают эмиссионные ценные бумаги крупных и средних, но надёжных эмитентов с продолжительной рыночной историей.

.        Портфель консервативного инвестора. Предусматривает минимальные риски при использовании надёжных ценных бумаг, но с медленным ростом курсовой стоимости. Гарантии получения дохода не поддаются сомнению, но сроки его получения различны. В портфеле преобладают государственные ценные бумаги, акции и облигации крупных и надёжных эмитентов.

.        Портфель неэффективного инвестора. Такой портфель не имеет чётко определённых целей и обладает низким уровнем риска и дохода. В портфеле преобладают произвольно подобранные ценные бумаги.

1.3 Инвестиционный процесс

Инвестиционный процесс представляет собой принятие инвестором решения относительно ценных бумаг, в которые осуществляются инвестиции, объемов и сроков инвестирования. Следующая процедура, включающая пять этапов, составляет основу инвестиционного процесса:

1.      Выбор инвестиционной политики.

.        Анализ рынка ценных бумаг.

.        Формирование портфеля ценных бумаг.

.        Пересмотр портфеля ценных бумаг.

.        Оценка эффективности портфеля ценных бумаг.

Первый этап в инвестиционном процессе - выбор инвестиционной политики. Она включает в себя определение целей инвестора и объема инвестируемых средств. Цели должны формироваться с учетом риска и доходности. Сначала, нужно определить текущие свободные ресурсы, которые в дальнейшем станут инвестиционным капиталом, также нужно собрать информацию о них, оценить экономическую конъюнктуру ( уровень экономической активности- движением цен, процентных ставок, валютного курса, заработной платы, дивидендов, а также динамикой производства и потребления.) и прогнозы на будущее. На этом этапе инвестор определяет свой инвестиционный горизонт, то есть отрезок времени, на который распространяется его стратегия. Величина временного горизонта определяется целями инвестора и его способностью прогнозировать будущее положение дел. Разработка инвестиционной стратегии основывается на анализе доходности от вложения средств, времени и рисков. После принятия стратегии, легче определить тактику вложения, инвестор уже может знать, сколько средств он вложит и в какие ценные бумаги. Первый этап завершается выбором видов финансовых активов и начинается анализ рынка ценных бумаг.

Второй этап необходим в составлении оптимального портфеля, так как на рынке свыше десятка тысяч различных облигаций и акций, о которых средний инвестор даже не знает. Существуют следующие подходы к анализу ценных бумаг: экономический анализ, отраслевой и фундаментальный анализ. Традиционный анализ начинается с экономического анализа, который направлен на оценку общего состояния экономики, ее воздействие на доходы от ценных бумаг. Например, при стабильной экономики, курс акций растет, а при нарушении стабильности экономики, курсы акций соответственно падают. Далее инвестор начинает анализировать отрасль экономики, в которой функционирует конкретная компания, и ее перспективы в этой области. После областного анализа, проводится технический анализ, который содержит простейшие и альтернативные методы. Простейшие методы изучают конъюнктуру курсов на рынке акций для прогноза тенденций курсов акций определенной компании. Обычно для такого вида анализа используют графики, который показывают все картину движения рынка. На графики инвестиционные аналитики стараются найти устойчивые, повторяющиеся тенденции и конфигурации, чтобы в дальнейшем по ним предсказывать поведение цен. Если простейший метод полагается на графики, то альтернативный метод построен на разных статистических данных, особенно на анализы данных во времени. Сначала проводится анализ курсов за прошедший промежуток времени для того, чтобы найти повторяющиеся тенденции и циклы в динамики курсов. Затем нужно проанализировать курсы за последний период времени, чтобы выявить текущие тенденции, аналогичные ранее. С помощью такого метода, аналитик надеется дать достаточной точный прогноз ценам на акции. Обычно технический анализ проводится до начала фундаментального. Если в процессе анализе данный выпуск акций заинтересовал инвестора, то продолжается дальнейшее его исследование. Если же нет, но внимание переходит на другие акции.

Последний этап в анализе данных - это фундаментальный анализ, то есть более детальное изучение финансового положения конкретной компании. Информация добывается из финансовых отчетов за текущий и прошлые годы. Оценка сравнивает компании с помощью коэффициентов эффективности, которые характеризуются различными характеристиками эффективности деятельности предприятия (коэффициент ликвидности, коэффициент финансового рычага, прибыли на акцию и др.). Однако основной целью фундаментального анализа: прогноз величины будущих прибылей компаний, дивидендов и роста балансовой стоимости акций, которая является отношением текущей рыночной стоимости собственного капитала к числу всех выпущенных акций.

Третий этап инвестиционного процесса - формирование портфеля ценных бумаг. Оно включает в себя определение конкретных активов для вложения средств, а также распределение капитала между активами. На этом этапе инвестор сталкивается со следующими проблемами: селективность, выбор времени и диверсификация. Селективность ( микро-прогнозирование) относится к анализу ценных бумаг и связана с прогнозированием динамики цен отдельных бумаг. Макро-прогнозирование, или, другими словами, выбор времени операции, анализирует и прогнозирует изменение цен на акции по сравнению с ценами для фондовых инструментов с фиксированным доходом. Диверсификация, основная идея которой заключается в формирования такого оптимального портфеля, при котором риск будет максимально минимизирован.

Четвертый этап - пересмотр портфеля связан с изменением целей инвестирования и такой портфель уже не становится оптимальным. Другая причина пересмотра портфеля - изменение курса ценных бумаг со временем.


1.4 Тобин: теория и вклад в экономику

инвестирование портфель депозит тобин

Джеймс Тобин американский экономист, лауреат Нобелевской премии по экономики автор 16 книг и 400 статей. Он стал известен в обществе, благодаря своему предложению на введение налога на операции с иностранными валютами, даже если бы он равнялся 0,1-0,25%. Такой налог мог бы резко ограничить трансграничные валютные спекуляции, сделать большую часть из них невыгодными, и тем самым уменьшить их вред. По его мнению, этот налог приносил бы прибыль государству в размере 150 млрд долларов, но не все разделили его мнение, так как налог может отгородить страны от внешнего мира, обрекая себя на дальнейшее отставание.

Джеймс Тобин заявил о себе, как о серьезном экономисте своей работой «Изучение полной занятости и инфляции» подготовленной для Совета по социальным научным исследованиям опубликованной в 1953 г. Он написал ряд статей по макроэкономике, статистическому анализу спроса и теории рационирования, связи финансовых рынков с потреблением, расходами, ценами, занятостью и производством продукции. В научной работе «Национальная экономическая политика» ( 1966) Дж.Тобин разработал теорию выбора и «портфельные инвестиции». В соответствии с этой теорией инвесторы, выбирая между уровнем дохода и риском его потерь, применяют этот критерий ко всему спектру финансовых и реальных активов. Они сочетают высокую степень риска с гарантированной обеспеченностью вложений и лишь редко стремятся к получению наивысшей прибыли, не принимая во внимание все другие факторы. Тобин пришел к выводу, что инвесторы стремятся сочетать инвестиции с повышенной степенью риска и менее рискованные, с тем, чтобы добиться сбалансированности в инвестиционных портфелях.

Модель "портфельных инвестиций", разработанная Дж. Тобиным, объединяет множество ценных бумаг и представляет гораздо более богатый арсенал средств для проведения экономической политики. Денежно-кредитная и бюджетная политика государства, воздействуя на выбор структуры активов, тем самым оказывает влияние и на реальные переменные экономической системы - инвестиции, сбережения, потребление. Взяв за основу модель равновесия активов и проведя одновременно тщательный анализ запасов ценных бумаг, он выдвинул новую концепцию "фактора q" - коэффициента, с помощью которого выражается отношение рыночной стоимости физических активов к затратам на их замещение.

Дж. Тобин показал, что если Q = (pi, …, pn) - некоторый портфель (pi - доля i-го актива в портфеле), а f - безрисковый актив, то все портфели вида:


лежат на прямой, проходящей через точки (0, rf) и ( p, rp), где rf и rp - безрисковая и рисковая доходности соответственно. Среди всех таких прямых нужно выбрать самую крутую (более крутая дает большую доходность при заданном риске), т.е. ту, которая проходит через точку (0, rp) и точку касания T к эффективной границе


Достижимое и эффективное множества при возможности безрискового кредитования.

Однако, начало современной портфельной теории было заложено Г.Марковицом, по чьей теории, задача оптимизации портфеля заключается в минимизации риска при заданной средней доходности. Тобин же показал, что рыночный портфель, где имеется совокупность всех имеющихся в данный момент у инвестора ценных бумаг, является эффективным. Кроме того, любая комбинация рыночного портфеля с безрисковым активом дает тоже эффективный портфель с меньшим риском и с меньшим ожидаемым доходом. Такой подход является макроэкономическим, поскольку в нем главным объектом изучения является распределение совокупного капитала в экономике на 2 формы: наличную и безналичную( в форме ценных бумаг). Следующее различие между теорией Марковица и Тобина заключается в том, что Марковиц делал акцент на математической анализе последствий исходных данных и разработке алгоритмов решений оптимизационных задач. Тобин же взял за основу анализ факторов, вынуждающих инвесторов формировать портфель ценных бумаг, а не держать в какой-нибудь одной форме.

Ассар Линдбек, член Шведской королевской академии наук, отметил, что работы Т. важны, «поскольку влияние, оказываемое на экономику со стороны экономической, денежной и фискальной политики, передается в значительной степени через механизм рынков денег и ценных бумаг». Линдбек отметил, что Джеймс Тобин создал «прочную и пригодную для эмпирического применения основу для исследований в области функционирования рынков денег и ценных бумаг» и показал, «как изменения, происходящие на этих рынках, влияют на размеры потребления, инвестиций, производства, занятости и на экономический рост».

2. Практическая часть

.1 Алгоритм составления оптимального портфеля Тобина

Модель Тобина предполагает наличие в портфели ценных бумаг безрисковых активов, доходность которых не зависит от состояния рынка и обычно имеет постоянное значение.

m0- эффективность безрискового актива

x0 -доля капитала безрискового актива

хi - доли капитала бумаг с рисками

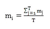
mi - эффективность бумаг с рисками

- риски

Кроме того, в модели Дж. Тобина допустимыми являются любые портфели, это значит, что допустимы не только покупки акций, но и продажи. Поэтому доли акций (xi) могут принимать и отрицательные значения. Единственное ограничение на портфеля - сумма всех долей должна равняться 1, включая и долю безрискового актива (x0).


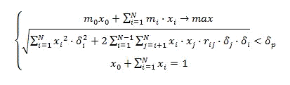
Доходность портфеля по Тобину будет выглядеть как сумма доходностей отдельных акций (mi) с выбранными весовыми коэффициентами, а также доходность безрискового актива(m0). Каждый инвестор пытается максимизировать получаемую доходность, что представлено формулой:


Помимо доходности инвестору необходимо так же учесть и риск, связанный с той или иной акцией. Риск выражается в виде стандартного квадратичного отклонения δi каждой акции. Значение δр - это уровень приемлемого риска для инвестора. Помимо учета стандартного квадратичного отклонения отдельных акций необходимо учесть корреляцию между доходностями акций - rij . В итоге риск всего портфеля представлен формулой


Экономико-математическая модель задачи формирования оптимального портфеля по Тобину, максимальной доходности, при которой риск портфеля не превышает заданного значения δр , и при учете всех ограничений на портфель, примет следующий вид:


Экономико-математическая модель задачи формирования портфеля минимального риска имеет вид, где: mp- требуемая норма доходности, будет выглядеть так:


Рассмотрим формирование портфеля акций для российских эмитентов на основе модели Тобина. 2 российские компании Сбербанк (SBER), Аэрофлот (AFLT) и краткосрочные государственные облигации (безрисковый актив). Построить оптимальный портфель по Тобину с использованием Exсel и компонентой Solver(Поиск решений). Безрисковые активы - активы, доходность которых определена, а риск по ним равен 0.

. Для начала рассчитаем дневную доходность по каждой ценной бумаги за один год с 20.05.2009 по 20.05.2010.

Формула расчета дневной доходности (mj ~dj) представлена:


Где: Рj - цена акции на конец текущего дня.

Рj-1 - цена акции за предыдущий день.

Close - цена акции

Составленная таблица имеет следующий вид:


Для безрисковых активов доходность уже установлена.

Что бы рассчитать доходность для каждой акции необходимо найти среднюю доходность за выбранный период( Т=396), в данном случае 1 год. ( mi ~Ei )


Посчитав среднедневная доходность акций за весь период:= 0,28%=0,23%.

Среднедневная доходность краткосрочных государственных облигаций = 0,004%.

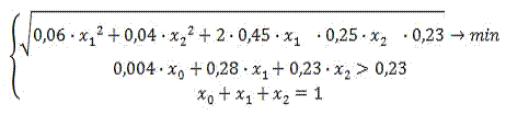
Зададим необходимую дневную доходность для портфеля mp = 0,23

Помимо доходности, необходимо рассчитать риск:


Для Сбербанка(SBER) δ1 =2,50% , Аэрофлота (AFLT) δ2 = 1,88% . Для краткосрочных государственных облигаций риск равен δ0 =0.

Составим уравнение для нахождения оптимального портфеля. Корреляция (rij) между акциями Сбербанка и Аэрофлота составляет 0,458.


Теперь, получив все исходные данные, можно использовать «Поиск решения».


С помощью «Поиска решения» мы должны получить, доли, при которых риск будет минимальным, с необходимой доходностью. Также надо наложить ограничение, чтобы сумма долей равнялась 1 и дневная доходность составляла 0,23%.

Перед запуском «Поиска решений» нужно написать формулы в ячейках «Сумма долей», «Доходность портфеля» и риск портфеля.

В ячейке целевой функции общего риска портфеля(F7) прописывается следующая формула:

==КОРЕНЬ(2,5*2,5*D2*D2+1,88*1,88*D3*D3+2*0,45*D2*D3*C2*C3)

Функция, определяющая необходимую доходность, прописана в ячейке D7.

=D2*B2+D3*B3+D4*B4

В ячейке (D6) прописывается ограничение для портфеля:

=СУММ(D2:D4)

После этого, запускаем Поиск решений и определяем доли в инвестиционном портфеле:


В итоге получаем результат:


Оптимальный портфель будет состоять из 34,64% акций Сбербанка, 57,70% Аэрофлота и 7,66% безрисковых государственных ценных бумаг. Риск всего портфеля будет составлять 1,66%.

Заключение

В данной работе были проанализированы различные методы инвестирования такие как, вложение денег в банк под депозиты, покупка недвижимости, бриллиантов и слитков, торговля на фондовых и валютных рынках, а также инвестирование в ценные бумаги. Каждый метод был проанализирован и выявлены плюсы и минусы.

Выбрав инвестирование в ценные бумаги, как самые оптимальный метод, были даны пояснения о портфеле, его типах и что каждый портфель в себя включает. В итоге, портфели представляют собой совокупность ценных бумаг разного вида, срока действия и степени ликвидности. Каждый инвестор составляет собственный оптимальный портфель в зависимости от целей: ориентация на рост акций, получение высоких текущих доходов, краткосрочные или долгосрочные портфели иностранные, специализированные или региональные. Кроме того, сам инвестор может быть агрессивным, умеренным, консервативным, в зависимости от поставленных им целей.

Чтобы добиться поставленных целей, нужно составить оптимальный портфель ценных бумаг, для этого каждому инвестору нужно знать, как проходит инвестиционный процесс. Он состоит из 5 шагов:

1.      Выбор инвестиционной политики.

.        Формирование портфеля ценных бумаг.

.        Пересмотр портфеля ценных бумаг.

.        Оценка эффективности портфеля ценных бумаг

Следуя шаг за шагом, анализируя рынок ценных бумаг, в конечном счете, инвестор выберет правильную компанию, чьи акции удовлетворят всем требованиям клиента.

В практической части, представлена задача на формирование портфеля ценных бумаг на российском фондовом рынке. С помощью «Поиска решения» в Excel, можно определить, при каких долях акций компаний, инвестор может получить минимальный риск и при этом максимизировать доходность. Отличительный признак модели Тобина от модели Марковица, это использование безрисковые активы вместе с рисковыми акциями, которые помогают минимизировать риск.

Список литературы

1.      “Liquidity Preference as Behavior Towards Risk”, J, Tobin, Review of Economic Studies (1958)

2.      “ О вариационном подходе к моделям портфельного инвестирования», Хацкевич В.Л, журнал «Современная экономика: проблемы и решения»

.        «Экономические и финансовые риски» Шапкин А.С

4.      Анализ формирования портфеля ценных бумаг для российского фондового рынка : <http://www.beintrend.ru/2010-05-28-07-00-13>

5.      «Моделирование цены финансового актива: трактовка выгод инвестора, его риска и платы за риск. Портфельные модели»: <http://www.company-n1.ru/comps-283-2.html>

6.      «Portfolio of financial assets management on the basis of stochastic model of the market» Karatchun I.A. <http://vestnik.uapa.ru/en/authors/957/> : <http://vestnik.uapa.ru/en/issue/2010/01/10/>

7.      “Формирование инвестиционного пакета» <http://www.globfin.ru/articles/finance/invest.htm>

.        «Портфель Тобина минимального риска» из книги «Финансовая математика» Колесникова В.И <http://www.globfin.ru/articles/finance/invest.htm>

.        «Портфель Тобина» <http://dspace.utlib.ee/>

.        «Портфель ценных бумаг» Электронная библиотека <http://www.bibliotekar.ru/economika-predpriyatiya-3/79.htm>

Похожие работы на - Портфель Тобина

 

Не нашли материал для своей работы?
Поможем написать уникальную работу
Без плагиата!
Без нейросетей!