Аналіз цінних паперів у процесі портфельного інвестування

  • Вид работы:
    Дипломная (ВКР)
  • Предмет:
    Финансы, деньги, кредит
  • Язык:
    Украинский
    ,
    Формат файла:
    MS Word
    421,63 Кб
  • Опубликовано:
    2013-06-16
Вы можете узнать стоимость помощи в написании студенческой работы.
Помощь в написании работы, которую точно примут!

Аналіз цінних паперів у процесі портфельного інвестування


Аналіз цінних паперів у процесі портфельного інвестування

1. Теоретико-методичні засади аналізу цінних паперів у процесі портфельного інвестування

1.1 Сутність та необхідність аналізу цінних паперів для портфельного інвестування

Інвестиція (від лат. invest, вкладення коштів) - це господарська операція, яка передбачає придбання основних фондів, нематеріальних активів, корпоративних прав та цінних паперів в обмін на кошти або майно. За характером участі в інвестуванні інвестиції поділяються на капітальні, фінансові та реінвестиції [72]:

-   прямі інвестиції - господарські операції, які передбачають внесення коштів або майна до статутного фонду юридичної особи в обмін на корпоративні права, емітовані такою юридичною особою;

-   портфельні інвестиції - господарські операції, які передбачають придбання цінних пaпepiв, деривативів та інших фінансових активів за кошти на фондовому ринку (за винятком операцій із купівлі активів як безпосередньо платником податку, так i пов’язаними з ним особами, в обсягах, які перевищують 50% загальної суми акцій, емітованих іншою юридичною особою, які належать до прямих інвестицій).

Портфельні інвестиції не можна вважати противагою прямим, вони є їx доповнюючим елементом. Однак між ними є принципова різниця.

Прямі інвестиції мають безпосередній вплив на обсяги капітальних вкладень в економіку. Мета прямих інвестицій - встановлення контролю за діяльністю підприємства i одержання прибутку від його господарської діяльності.

Портфельні інвестиції передбачають одержання стабільного поточного доходу у вигляді відсотків або дивідендів i додаткового доходу у вигляді різниці мiж ціною придбання i реалізації активу (курсової різниці).

Сучасна портфельна теорія (Modern Portfolio Theory) - це теорія фінансових інвестицій, у межах якої за допомогою статистичних методів здійснюють якомога вигідніший розподіл ризику портфеля цінних паперів і оцінювання доходу, складовими елементами її є оцінювання активів (seсuriti valuation); прийняття інвестиційних рішень (asset allocation decision); оптимізація портфеля (portfolio optimization); оцінювання результатів (performance measurement) [77].

Сучасна теорія портфельних інвестицій дійшла таких основних висновків [67]:

ефективну множинність містять ті портфелі, які одночасно забезпечують і максимально очікувану дохідність за фіксованого рівня ризику, і мінімальний ризик при заданому рівні очікуваної дохідності;

передбачається, що інвестор вибирає оптимальний портфель із портфелів, що утворюють ефективну множинність;

оптимальний портфель інвестора ідентифікується з точкою зіткнення кривих байдужості інвестора з ефективною множинністю;

диверсифікація звичайно зменшує ризик, оскільки стандартне відхилення портфеля у загальному випадку буде меншим, ніж середньозважені стандартні відхилення цінних паперів, що формують портфель;

співвідношення дохідності цінного паперу і дохідності на індекс ринку відоме як ринкова модель;

дохідність на індекс ринку не відображає дохідності цінного паперу сповна. Непояснені елементи включаються у випадкову погрішність ринкової моделі;

відповідно до ринкової моделі загальний ризик цінного паперу утворюється з ринкового і власного ризику;

диверсифікація усереднює ринковий ризик;

диверсифікація може значно знизити власний ризик.

Можна сформулювати основні постулати, на яких ґрунтується сучасна теорія портфельних інвестицій [61]:

. Ринок складається з кінцевого числа активів, дохідності яких для заданого періоду вважаються випадковими величинами.

. Інвестор в змозі, наприклад, виходячи із статистичних даних, отримати оцінку очікуваних (середніх) значень дохідностей та їхніх попарних коваріацій - ступенів можливості диверсифікації ризику.

. Інвестор може формувати різні допустимі (для певної моделі) портфелі. Дохідності портфелів е також випадковими величинами.

. Порівняння портфелів, що вибираються, ґрунтується тільки на двох критеріях - середня дохідність та ризик.

. Інвестор не схильний до ризику в тому сенсі, що з двох портфелів з однаковою дохідністю він обов'язково віддасть перевагу портфелю з меншим ризиком.

Центральною проблемою в теорії портфельних інвестицій є вибір оптимального портфеля, тобто визначення набору активів з найвищим рівнем дохідності за найменшого чи заданого рівня інвестиційного ризику. Такий підхід багатомірний як за числом залучених до аналізу активів, так і за врахованими характеристиками.

Теорія портфельних інвестицій пройшла три етапи розвитку [55]:

а) Перший етап (первинний) - розробка математичних основ для портфельної теорії;

б) другий - створення теорії ринкового портфеля у працях Марковіца, Тобіна, Шарпа;

в) третій - формування на основі теорії ринкового портфеля теорії оптимального портфеля в роботах Модільяні, Міллера, Блека, Скоулза. Праці цих учених одразу отримали широке визнання, а запропоновані ними схеми розрахунків були застосовані на практиці.

Третій етап у розвитку класичної теорії портфельних інвестицій (70ті роки) характеризує стрімке розширення і поглиблення математичних засобів фінансового аналізу, тонких і складних засобів сучасної теорії випадкових процесів і оптимального управління.

Традиційний підхід в інвестуванні, що переважав до появи сучасної теорії портфельних інвестицій, мав два суттєві недоліки. По-перше, в ньому основна увага приділялася аналізу поведінки окремих активів (акцій, облігацій). По-друге, основною характеристикою активу в ньому була виключно дохідність, тоді як інший фактор - ризик - не отримував чіткої оцінки при інвестиційних рішеннях. Нинішній рівень розробки теорії портфельних інвестицій долає ці недоліки. Таким сформованим підходом, фактично, завершився тривалий період (ще з кінця 20х років ХХ ст.), який названий у фінансовій теорії первинним етапом розвитку теорії інвестицій.

Сучасна теорія портфельних інвестицій бере свій початок з невеликої статті Гаррі Марковіца «Вибір портфеля» (1952) [81]. У ній він запропонував математичну модель формування оптимального портфеля цінних паперів, а також ним були приведені методи побудови таких портфелів за певних умов. Розглянувши загальну практику диверсифікації портфелю, він показав, як інвестор може знизити ризик портфелю шляхом вибору некорельованих акцій.

У інвестора існує n можливостей використання засобів, кожна з яких принесе відповідно x1,x2,……,xn гривень доходу в розрахунку на 1 гривню вкладень. Найбільш істотною проблемою для ухвалення рішення є те, що величини xI у загальному випадку випадкові, тобто яким саме буде доход, заздалегідь невідомо.

Головним припущенням, що прийняв Гарри Марковиц, аналізуючи цю задачу, було те, що для інвестора при оцінці альтернативних рішень, важливими є тільки два параметри кожного з них: перший з них - очікувана прибутковість інвестицій:

mI = E*xI                                 (1.1)

де: Е - математичне чекання,

а другий - стандартне відхилення прибутковості, як показник, що характеризує ризик прийнятого рішення:

si = Ö D *xI                                                          (1.2)

де D - дисперсія.

Іншим, не менш важливим припущенням, є наступне: інвестор не обов'язково повинний вибрати якесь одне рішення, він може вибрати будь-яку комбінацію можливих інвестицій, розподіляючи своє багатство по різних напрямках вкладень (диверсіфікуючи інвестиції). Сформовану в такий спосіб комбінацію інвестицій - називають інвестиційним портфелем.

Основною заслугою Г. Марковіца є запропонована у статті теоретико-імовірнісна формалізація поняття дохідності та ризику. В його моделі для вирахування співвідношення між ризиком інвестицій та їхньою очікуваною дохідністю використовується розподіл ймовірностей. Очікувана дохідність портфеля цінних паперів визначається як середнє значення розподілу ймовірностей, а ризик - як стандартне відхилення можливих значень дохідності від очікуваного.

Марковіц запропонував математичний апарат для пошуку ефективного портфеля, здатного забезпечувати найменший рівень ризику для зазначеного рівня дохідності, або максимізувати очікувану дохідність за прийнятного рівня ризику. Проте модель Марковіца не уможливлює вибір оптимального портфеля, а пропонує набір ефективних портфелів [81].

Для практичного використання моделі Марковіца необхідно для кожного фінансового активу (акції) визначити очікувану дохідність, її стандартне відхилення і коваріацію між фінансовими активами. Згідно з тлумаченням Марковіца (рис. 1.1), якщо розглянути деякий портфель Z, то він буде неефективним, оскільки портфель F може забезпечити той же рівень очікуваної дохідності за меншого ризику, а портфель U за того ж рівня ризику - більш високу дохідність. Так само можна дійти висновку про неефективність портфеля C. Ефективні портфелі розташовані упродовж лінії HE, яка ілюструє допустиму множину ефективних портфелів. За умови існування багатьох альтернатив інвестування (множини активів) існує і множина ефективних портфелів.

Рис. 1.1. Допустима множина портфелів [79]

Вихідна позиція Марковіца ґрунтована на твердженні, що фінансові (портфельні) інвестиції інвестор оцінює за такими параметрами, як очікувана дохідність (приріст доходу на одиницю вкладень) і стандартне відхилення дохідності як міра ризику. Заслуговують на увагу висновки щодо ефекту диверсифікації, котру розглядають як умову зниження ризику інвестування без втрати дохідності шляхом розподілу інвестицій між різними фінансовими інструментами. Чим вищий рівень диверсифікації за меншої кореляції окремих активів, тим ширшими є можливості зменшення ризику.

У загальному вигляді модель Марковіца «дохідність - ризик» - це стандартна модель квадратичного програмування. Модель Марковіца базується на тому, що показники прибутковості різних цінних паперів взаємопов'язані: із зростанням доходності одних паперів спостерігається одночасне зростання і по іншим паперам, треті залишаються без змін, а в четвертих, навпаки доходність знижується. Такий вид залежності є стохастичним, і називається кореляцією.

Модель Марковіца має наступні основні припущення [58]:

­  за доходність цінних паперів приймається математичне очікування доходності;

­    за ризик цінних паперів приймається середнє квадратичне відхилення доходності;

­    вважається, що дані минулих періодів, які використані при розрахунках доходності і ризику, повністю відображають майбутні значення доходності;

­    ступінь і характер взаємозв'язку між цінними паперами виражається коефіцієнтом лінійної кореляції.

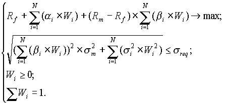
За моделлю Марковіца доходність портфеля цінних паперів - це середньозважена доходність паперів, його складових, яка визначається формулою:

 (1.3)

де      N - кількість цінних паперів, які розглядаються;i - процентна частка даного паперу в портфелі;i - доходність даного паперу.

Ризик портфеля цінних паперів визначається функцією:

 (1.4)

де      Wi - процентна частка даних паперів у портфелі;

sa sb - ризик даних паперів (середньоквадратичне відхилення)

rab - коефіцієнт лінійної кореляції

З використанням моделі Марковіца для розрахунку характеристик портфеля пряма задача набуває вигляд:

                                              (1.5)

Обернена задача розраховується аналогічно:

                                           (1.6)

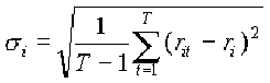
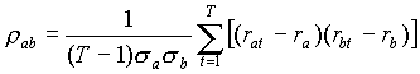
При застосуванні моделі Марковіца на практиці для оптимізації фондового портфеля використовуються наступні формули:

) доходність цінних паперів:

                               (1.7)

де      T - кількість минулих спостережень доходності даних цінних паперів;

) ризик цінного паперу:

 (1.8)

) коефіцієнт кореляції між двома цінними паперами:

                       (1.9)

де      rat, rbt - доходність цінних паперів а та b в період t

Зрозуміло, що для N цінних паперів необхідно розрахувати N (N1)/2 коефіцієнтів кореляції.

Доходність цінних паперів складається з курсової різниці, дивідендних платежів, купонних платежів, дисконту тощо.

Модель Марковіца раціонально використовувати при стабільному стані фондового ринку, коли бажано сформувати портфель з цінних паперів різного характеру, що належать різним галузям. Основний недолік моделі - очікувана доходність цінних паперів приймається рівній середній доходності за даними минулих періодів.

Вплив портфельної теорії Г. Марковіца значно посилився після появи в кінці 50х - на початку 60х років праць Дж. Тобіна з аналогічних тем [55]. Тут слід відмітити деякі відмінності між підходами Г. Марковіца і Дж. Тобіна. Підхід Г. Марковіца лежить у руслі мікроекономічного аналізу, оскільки він акцентує увагу на поведінці окремого інвестора, який формує оптимальний, з його точки зору, портфель на основі власної оцінки дохідності й ризику вибраних активів. До того ж початково модель Г. Марковіца стосувалася в основному портфеля акцій, тобто ризикових активів.

Дж. Тобін також запропонував включити в аналіз безризикові активи, наприклад, державні облігації. Його підхід є, по суті, макроекономічним, оскільки основним об'єктом його вивчення є розподіл сукупного капіталу в економіці на дві його форми: готівкову (грошову) і неготівкову (у вигляді цінних паперів).

При комбінації ризикованих і безризикових інвестицій, якщо існує ставка прибутковості, перед інвестором постає задача розподілу інвестицій між деяким ризикованим активом (портфелем активів) з очікуваним доходом  і стандартним відхиленням , і безризиковим вкладенням засобів по ставці , причому .

Нехай xp - частка багатства, вкладена в ризикований напрямок, x0 - частка, инвестуєма по безризиковій ставці. Позначимо прибутковість загального портфеля через :

. (1.10)

Ризик (стандартне відхилення прибутковості) загального портфеля  буде дорівнює (з огляду на, що стандартне відхилення константи дорівнює нулю):

 (1.11)

Акцент у працях Г. Марковіца робився не на економічному аналізі вихідних постулатів теорії, а на математичному аналізі їхніх наслідків та розробці алгоритмів розв'язку оптимізаційних задач. У підході Дж. Тобіна основною темою стає аналіз факторів, що змушують інвесторів формувати портфелі активів, а не тримати капітал в якійсь одній, наприклад готівковій, формі. Крім того, Дж. Тобін проаналізував адекватність кількісних характеристик активів і портфелів, що складають вихідні дані в теорії Г. Марковіца. Можливо, тому Дж. Тобін одержав Нобелівську премію на дев'ять років раніше, ніж Г. Марковіц(1990).

З 1964 р. появляються нові праці, що відкрили наступний етап в інвестиційній теорії, який пов'язаний з так званою моделлю оцінки капітальних активів, або САРМ (з англ.: capital asset pricing model). Учнем Г. Марковіца У. Шарпом була розроблена модель ринку капіталів [77]. Формулюючи її, він розумів, що абсолютно надійних акцій або облігацій не буває. Всі вони тією чи іншою мірою пов'язані з ризиком для корпорації: вона може отримати великий дохід або залишитися без нічого. Розвиваючи підхід Г. Марковіца, У. Шарп поділив теорію портфеля цінних паперів на дві частини. Перша - систематичний (або ринковий) ризик для активу акцій, друга - несистематичний. Для звичайної акції систематичний ризик завжди пов'язаний зі змінами вартості цінних паперів, які обертаються на ринку. Іншими словами, дохідність однієї акції постійно коливається біля середньої дохідності всього активу цінних паперів. Цього ніяк не уникнути, бо діє сліпий механізм ринку.

Несистематичний ризик пов'язаний з впливом усіх інших факторів, специфічних для корпорації, яка випускає в обіг цінні папери. Визначивши спеціальні коефіцієнти реакції цін акцій чи облігацій на зміни ринкової кон'юнктури (знамениті «альфа» і «бета» [77]), У. Шарп розробив формулу розрахунку порівняльного ступеня ризику цінних паперів на основі «лінії ефективності ринку позикового капіталу»:

. Для визначення потрібної норми прибутку акції використовується модель оцінки капітальних активів (САРМ):

 (1.12)

де - К - потрібна норма прибутку акції, %- ринкова безризикова норма прибутку, %

(KmRf) - ринкова премія за ризик;

Кm - потрібна норма прибутку середньої акції або «ринку», %

b - бета-коефіцієнт ризику акції, в частках одиниці

b*(Km - Rf) - премія за ризик акції, %

b - бета-коефіцієнт ризику акції розраховується за формулою:

 (1.13)

де величини σ та σm  характеристики ризику індивідуальної акції та «середньої» акції ринку цінних паперів.

При цьому реальною моделлю функціонування цінних паперів є твердження, що підвищеному ризику повинна відповідати і підвищена норма очікуємої прибутковості цінного паперу.

Так інтерпретація b - бета-коефіцієнт ризику акції є наступною:

β = 1 - означає, що індивідуальна акція має середню ступінь ризику, яка склалася на ринку цінних паперів в цілому;

β < 1 - означає, що індивідуальна акція має ступінь ризику, нижче тієї, яка склалася на ринку цінних паперів в цілому;

β > 1 - означає, що індивідуальна акція має середню ступінь ризику вище тієї, яка склалася на ринку цінних паперів в цілому;

Ринкова безризикова норма прибутку Rf в разі врахування інфляційних процесів (трендова характеристика ринку ЦП у часі) представляється в вигляді:

 (1.14)

де RRf - реальна або безінфляційна норма прибутку;

ІР - інфляційна премія, яка змінюється згідно з прогнозованим рівнем інфляції;

Модель САРМ (формула 1.12), використовуючі опорні терміни безризикової ставки доходності по державним цінним паперам, бета-коефіцієнт відносної чутливості систематичного ризику, дозволяє розраховувати очікуєму доходність індивідуальних цінних паперів. При цьому бета-коефіцієнт виступає в ролі індикатора перерахування відносного підвищеного чи зниженого ризику у додаткову доходність (збитковість) індивідуальних цінних паперів відносно доходності «середніх» акцій ринку, виділяючі категорії:

безризикові державні папери (β = 0);

- «середня акція» ринку цінних паперів (β = 1);

індивідуальна акція (β = VAR);

Показник (KmRf) в формулі моделі САРМ має наглядну інтерпретацію, яка представляється у підвищеному доході ринкових ризикових цінних паперів Кm відносно доходності безризикових (державних) цінних паперів ринку Rf.

Важливим моментом систематичного ризику є те, що збільшення кількості акцій чи облігацій не спроможне ліквідувати його. Однак зростаюча купівля цінних паперів може призвести до усунення несистематичного ризику. Звідси виходить, що вкладник не може уникнути ризику, пов'язаного з коливанням кон'юнктури фондового ринку. Завдання, що стоїть при формуванні портфеля паперів, полягає у зменшенні ризику шляхом придбання різних цінних паперів. І робиться це таким чином, щоб фактори, специфічні для окремих корпорацій, врівноважували один одного. Завдяки цьому дохідність портфеля наближається до середньої для всього ринку.

Висновки У. Шарпа стали відомими як моделі оцінки довгострокових активів, котрі базуються на передбаченні, що на конкурентному ринку очікувана премія за ризик змінюється прямо пропорційно коефіцієнтові «бета». Іншими словами, цей економіст розвинув положення Г. Марковіца в плані вибору оптимальних інвестиційних портфелів і його науковий внесок в портфельну теорію стисло сформульований в наступних принципах:

. Інвестори віддають перевагу високо очікуваній дохідності інвестицій і низькому стандартному відхиленню. Портфелі звичайних акцій, які забезпечують найвищу очікувану дохідність за даного стандартного відхилення, називаються ефективними портфелями.

. Якщо ви хочете знати граничний вплив акції на ризик портфеля, то ви повинні враховувати не ризик акції самої по собі, а її внесок у ризик портфеля. Цей внесок залежить від чутливості акції до змін вартості портфеля. Чутливість акції до змін вартості ринкового портфеля позначається показником «бета». Значить, «бета» вимірює також внесок акції в ризик ринкового портфеля.

. Якщо інвестори можуть брати позики або надавати кредити за безризиковою відсотковою ставкою, тоді їм слід завжди мати комбінацію безризикових інвестицій і портфель звичайних акцій. Склад такого портфеля акцій залежить тільки від того, як інвестор оцінює перспективи кожної акції, а не від його відношення до ризику. Якщо інвестори не мають якоїсь додаткової інформації, то їм слід тримати такий же портфель акцій, як і в інших, - інакше кажучи їм слід тримати ринковий портфель цінних паперів.

Зараз модель Г. Марковіца використовується в основному на першому етапі формування портфелю активів при розподілі інвестованого капіталу по різних типах активів: акціях, облігаціях, нерухомості, тощо. Однофакторна модель У. Шарпа використовується на другому етапі, коли капітал, інвестований у певний сегмент ринку активів, розподіляється між окремими конкретними активами, що складають вибраний сегмент (тобто по конкретних акціях, облігаціях, тощо).

Модель Шарпа, як і модель Марковіца, застосовують лише для умов стабільного і прогнозованого фондового ринку. У країнах з фондовими ринками у фазі становлення, до яких належить Україна, практичне використання цих моделей ускладнено.

Модель Шарпа застосовується в основному при розгляді великої кількості цінних паперів, що описують велику частину фондового ринку. Основний недолік моделі - необхідність прогнозувати доходність фондового ринку та безризикову ставку доходності. Не враховується ризик коливань безризикової доходності. Крім того, при значній зміні співвідношення між безризиковою доходністю та доходністю фондового ринку модель дає похибки.

За моделлю Шарпа доходність портфеля цінних паперів - це середньозважена доходність цінних паперів, що його складають, з урахуванням bризику цінних паперів. Доходність портфеля визначається за формулою [77]:

                               (1.15)

Де Rf - безризикова дохідністъ;m - очікувана доходність ринку в цілому.

Ризик портфеля цінних паперів може бути знайдений за допомогою оцінки середнього квадратичного відхилення функції (1.15), і визначається за формулою:

     (1.16)

де      sm - середньоквадратичне відхилення доходності ринку в цілому, тобто ризикованість ринку в цілому;

bi, sei - bризик і залишковий ризик іго цінного папера.

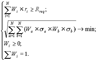
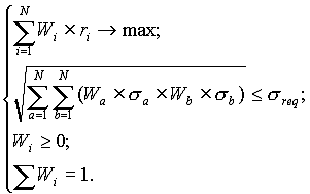
При використанні моделі Шарпа для розрахунку характеристик портфеля пряма задача набуває вигляду:

                 (1.17)

Зворотна задача виглядає аналогічним чином:

                    (1.18)

Основний недолік моделі - необхідність прогнозувати доходність фондового ринку та безризикову ставку доходності. Модель не враховує ризик коливань безризикової доходності. Крім того, при значній зміні співвідношення між безризиковою доходністю та доходністю фондового ринку модель дає похибки.

Таким чином, модель Шарпа може застосовуватися при розгляді великої кількості цінних паперів, що описують велику частку відносно стабільного фондового ринку.

Більш узагальненою порівняно з САРМ є арбітражна теорія оцінювання капітальних активів (АТО) М. Скоулза і Ф. Блека. Однофакторна модель АТО дуже подібна до САРМ, проте важливо, що АТО враховує вплив на дохідність фінансових активів не лише ринкового ризику, а й інших чинників (це багатофакторна модель) [27].

Для оцінювання інвестиційних рішень портфельному аналітикові треба з’ясувати, наскільки доцільними будуть ці рішення, чи достатньою мірою обрана стратегія відповідає інвестиційним цілям. Оцінювання управління портфелем уможливлює правильний вибір зпоміж альтернативних можливостей розміщення коштів у фінансових інструментах.

Головним критерієм ефективності управління портфелем цінних паперів є його дохідність - R за певний проміжок часу. Дохідність за певний період R принципово складається з капіталізованої дохідності, пов’язаної зі змінами курсової ціни, і дивідендної (відсоткової) дохідності.

Дохідність портфеля можна визначити як приріст вартості на одиницю вкладень і розрахувати на підставі формули:

, (1.19)

де Vn - вихідна ринкова вартість портфеля цінних паперів (на початок

періоду);- ринкова вартість портфеля цінних паперів на кінець періоду.

Одначе наведена формула не враховує розміру вкладень у певний актив із відповідною дохідністю. Тому додатково аналізують показник середньозваженої дохідності портфеля цінних паперів:

, (1.20)

де R - середньозважена дохідність портфеля;- дохідність іго фінансового інструменту;- вкладення в ій фінансовий інструмент;- загальна вартість портфеля.

Як показник ефективності управління портфелем цінних паперів використовують також його середню дохідність за певний історичний період. Середня дохідність портфеля R визначається як

, (1.21)

де Rt - дохідність у tму минулому періоді,

Т - кількість розглядуваних минулих періодів.

Проте показник середньої дохідності не враховує ризику.

Висока дохідність портфеля може зумовлюватися високим ризиком інвестиційних рішень або впливом випадкових чинників, і не свідчити про ефективність управління. Для адекватного оцінювання ефективності управління потрібне додаткове коригування на ризикованість вкладень. Відтак оцінку ефективності управління портфелем цінних паперів можна давати на підставі порівняльного аналізу з урахуванням ризикованості реалізованих інвестиційних рішень та оцінки достатньої тривалої стабільності рівня дохідності інвестицій.

Дж.Л. Трейнор (J.L. Traynor) уперше запропонував критерій (коефіцієнт), який врахував одночасно дохідність і ризик. За еталон для оцінювання ефективності конкретного портфеля цінних паперів використано показник надлишкової дохідності ринкового портфеля, розрахований на підставі реального фондового індексу і віднесений до рівня ринкового ризику β. Критерій Трейнора обчислюють за певний період часу, він являє собою відношення надлишкової дохідності (премії за ризик) портфеля до показника (міри) системного ризику β.

Для i-го портфеля цінних паперів він становить (Ті):

, (1.22)

де Rі - середньорічна дохідність іго портфеля за певний період;о - середньорічна безризикова ставка доходу за цей же період;

βі - історичний βкоефіцієнт іго портфеля за цей період [10].

Для ринкового портфеля критерій Трейнора (Тm) становить:

, (1.23)

де Rm - середньорічна ринкова дохідність за певний період;о - середньорічна безризикова ставка доходу;

βm - коефіцієнт міри системного ризику ринкового портфеля (βm ринку = 1,0).

З інвестиційною теорією і теорією фінансового менеджменту пов'язаний ще один цикл досліджень з так званої теорії корпоративного ринку, яка розглядає проблему «адекватності» ринкових цін фінансових активів. Питання полягає в тому, наскільки «істинна вартість» фінансових активів позначається на ринкових цінах. Інвестор, який виявив, що ринок систематично недооцінює або переоцінює певний актив, міг би отримувати дохід довго і практично без ризику. Гіпотеза ефективності стверджує, що це неможливо. Ринкові ціни загалом відображають практично всю доступну інвесторам інформацію, їх коливання повинні бути абсолютно випадковими і жодний інвестор не в змозі передбачити майбутні ціни ринку.

Гіпотеза ефективного ринку і пов'язана з нею модель «випадкового блукання» ринкових цін активів стимулювали використання динамічних теоретико-імовірнісних моделей, що базуються на теорії випадкових процесів. У руслі цих ідей у 1973 р. Скоулз і Блек запропонували модель опціонів, яка названа моделлю Блека-Скоулза [30].

Перш ніж з'ясувати суть цієї моделі, треба коротко зупинитися на економічній ролі похідних цінних паперів, зокрема на їх різновиді - опціоні. На відміну від акцій і облігацій, що випускаються з метою залучення грошових засобів, фірми купують і продають опціони, щоб захиститися від несприятливих змін на фінансовому ринку. Оскільки вартість опціонів похідна від вартості інших цінних паперів, то їх називають вторинними. Наявність ринку вторинних цінних паперів дає змогу його учасникам, які очікують у майбутньому певних надходжень або, навпаки, затрат, гарантувати собі певний рівень прибутку чи застрахуватися від втрат, вищих за певний рівень. Останні двадцять років такий ринок стрімко розвивається у всьому світі.

Опціо́н (лат. optio - вибір, бажання, розсуд) - договір, по якому потенційний покупець або потенційний продавець активу (товару, цінного папера) одержує право, але не зобов'язання, зробити покупку або продаж по заздалегідь застереженій ціні в певний договором момент у майбутньому або протягом певного відрізка часу. При цьому продавець опціону несе зобов'язання зробити відповідний продаж або покупку активу відповідно до умов проданого опціону.

Американський опціон може бути погашений у будь-який день строку до закінчення терміну опціону. Тобто для такого опціону задається строк, під час якого покупець може виконати даний опціон.

Європейський опціон може бути погашений тільки в одну зазначену дату (дата закінчення строку, дата виконання, дата погашення).

Премія опціону - це сума грошей, що сплачується покупцем опціону продавцеві при висновку опціонного контракту. По економічній суті премія є платою за право укласти угоду в майбутньому.

В основі всіх математичних моделей за розрахунками ціни опціону, лежить ідея ефективного ринку. Передбачається, що «справедлива» премія опціону відповідає його вартості, при якій ні покупець опціону, ні його продавець, у середньому не одержують прибутки.

Модель ціноутворення опціонів Блэка-Шоулза (англ. BlackScholes Option Pricing Model, OPM) - це модель, що визначає теоретичну ціну на європейські опціони, що припускає, що якщо базовий актив торгується на ринку, то ціна опціону на нього неявним образом уже встановлюється самим ринком. Дана модель одержала широке поширення на практиці й, крім усього іншого, може також використовуватися для оцінки всіх похідних паперів, включаючи варранты, конвертовані цінні папери, і навіть для оцінки власного капіталу фінансово залежних фірм.

Відповідно до Моделі БлэкаШоулза, ключовим елементом визначення вартості опціону є очікувана волатильность базового активу. Залежно від коливання активу, ціна на нього зростає або знижується, що впливає на вартість опціону. Таким чином, якщо відомо вартість опціону, то можна визначити рівень волатильности очікуваної ринком

1.2 Фундаментальний та технічний аналіз, як інструментарії портфельного інвестування

Фундаментальний аналіз (англ. Fundamental analysis) - підхід до аналізу фінансових ринків на основі вивчення фінансовоекономічної інформації, яка, імовірно, робить вплив на динаміку активу або фінансового інструменту [31].

Особливістю фундаментального аналізу є те, що його украй складно формалізувати. Звичайно, прийоми і методи цього аналізу досить об'єктивні, проте об'єм інформації і різна інтерпретація цієї інформації учасниками ринку переводять фундаментальний аналіз в розряд мистецтва.

В основі американської школи фундаментального аналізу лежить класична праця Бенджаміна Грехема (англ. Benjamin Graham) і Девіда Додда (англ. David Dodd) «Аналіз цінних паперів» (англ. «Security Analysis»), опублікована ними в 1934 році. Сам Грехем користувався фундаментальним аналізом на практиці і був успішним інвестором. Один з найвідоміших послідовників Грехема, що використовують фундаментальний аналіз, - Уорен Баффет (англ. Warren Buffett) [31].

Фундаментальний аналіз на фондовому ринку - це ряд методів прогнозування ринкової (біржовою) вартості компанії, заснованих на аналізі фінансових і виробничих показників її діяльності.

Фундаментальний аналіз використовується інвесторами для оцінки вартості компанії (або її акцій), яка відображає стан справ в компанії, рентабельність її діяльності. При цьому аналізу піддаються фінансові показники компанії: виручка, EBITDA (Earnings Before Interests Tax, Deprecation and Amortization), чистий прибуток, чиста вартість компанії, зобов'язання, грошовий потік, величина виплачуваних дивідендів і виробничі показники компанії.

«Внутрішня вартість» в більшості випадків не збігається з ціною акцій компанії, яка визначається співвідношенням попиту і пропозиції на фондовому ринку. Інвесторів, які використовують в своїй діяльності фундаментальний аналіз, цікавлять в першу чергу ситуації, коли «внутрішня вартість» акцій компанії перевищує ціну акцій на біржі. Такі акції вважаються недооціненими і є потенційними об'єктами інвестицій. Купуючи недооцінені акції, інвестори розраховують, що в умовах ефективності ринку ціна акцій на фондовому ринку буде наближатися до «внутрішньої вартості», тобто в разі недооцінених акцій - зростатиме.

Фундаментальний аналіз зазвичай буває трьох рівнів [19]:

-    на рівні економіки, фундаментальний аналіз включає вивчення національних економічних індикаторів для оцінки поточного і майбутнього стану економіки в цілому;

-        на рівні індустрії, фундаментальний аналіз може містити вивчення сил попиту і пропозиції для даного типа продукту або послуги;

         на рівні окремої компанії (фінансового інструменту, цінного паперу), фундаментальний аналіз включає аналіз фінансових і бухгалтерських звітів, управління, стратегії бізнесу і конкуренції

Центральна частина фундаментального аналізу - вивчення виробничої і фінансової ситуації на підприємствіемітенті. Аналіз звітності і розрахунок фінансових коефіцієнтів дозволяють визначити фінансовий стан підприємства. Виділяють наступні групи показників [24]:

-   показники платоспроможності (ліквідності) - вони дають уявлення про здатність підприємства здійснювати поточні розрахунки і оплачувати короткострокові зобов'язання. До них відносять коефіцієнт абсолютної ліквідності, проміжний коефіцієнт покриття, загальний коефіцієнт покриття;

-        показники фінансової стійкості - вони показують рівень залучення позикового капіталу і здатності підприємства обслуговувати цей борг. До них відносять коефіцієнт власності (незалежності), питому вагу позикових коштів, питому вагу дебіторської заборгованості у вартості майна, питому вагу власних і довгострокових позикових коштів;

         показники ділової активності - вони відображають те, наскільки ефективно використовуються кошти підприємства. До них відносять коефіцієнти оборотності запасів, оборотності власних коштів, загальний коефіцієнт оборотності;

         показники рентабельності - вони дозволяють судити про прибутковість підприємства. До них відносять коефіцієнти рентабельності майна, рентабельності власних коштів, рентабельності виробничих фондів, рентабельності довгострокових і короткострокових фінансових вкладень, рентабельності власних і довгострокових позикових засобів, коефіцієнт продажів.

Аналіз фінансової звітності вимагає від інвестора доброго знання облікової практики, оскільки в істотній мірі його завдання полягає в тому, щоб визначити, наскільки дані бухгалтерських балансів відповідають реальному стану речей на підприємстві, не завищена або не занижений його прибуток, яка вірогідність погашення кратко і довгострокової заборгованості. Фінансові і виробничі показники аналізують за ряд років, щоб отримати картину розвитку ситуації на підприємстві.

Предметом вивчення є дивідендна політика підприємства, яка дозволяє зробити висновки відносно його інвестиційних планів. Кадрова політика на підприємстві також може послужити джерелом інформації для оцінки перспектив його розвитку. Якщо керівництво приділяє увага роботі з молодими фахівцями, це можна розглядати як позитивний чинник.

Окрім аналізу положення справ на самому підприємстві інвестор, що займається фундаментальним аналізом, вивчає чинники макроекономічного характеру, а також ринок, на якому діє підприємство, що цікавить його. Це відкриває інвесторові розуміння довгострокової і середньострокової кон'юнктури. Таке знання особливо важливе для інвестора, що орієнтується на тривалі тренди.

Аналіз економічної ситуації в країні та її перспектив вимагає знань в області макроекономіки. Інвестор аналізує такі показники [26]:

1. об'єм валового внутрішнього або валового національного продукту;

2.      рівень інфляції, безробіття, процентної ставки, об'єму експорту і імпорту;

.        валютний курс;

.        розмір державних витрат і запозичень на фінансовому ринку тощо, оскільки дані змінні визначають загальний економічний клімат в країні.

Макроекономічні чинники характеризуються тим, що вони, переважно, в тенденції однаково впливають на курсову вартість паперів. Наприклад, заходи Центрального банку щодо зміни процентної ставки змінять як загальний рівень інвестиційної активності в країні, так і ставку дисконтування при визначенні вартості паперів.

Технічний аналіз (англ. Technical analysis) - це прогнозування зміни ціни цінних паперів в майбутньому на основі аналізу зміни їх ціни у минулому. У його основі лежить аналіз часових рядів ціни - «чартів» (від англ. chart). Окрім цінових рядів, в технічному аналізі використовується інформація про об'єми торгів та інші статистичні дані [50]. Найчастіше методи технічного аналізу використовуються для аналізу цін, що змінюються вільно, наприклад, на біржах.

У технічному аналізі розроблено безліч різноманітних інструментів та методів, але всі вони засновані на одному загальному припущенні - шляхом аналізу часових рядів за допомогою виділення трендів (на основі паттернів і технічних індикаторів) можливо спрогнозувати поведінку ціни в майбутньому.

Технічний аналіз і його традиційний опонент фундаментальний аналіз - основні школи аналізу цінних паперів.

Існують відмінності в методах технічного аналізу на валютному та на біржовому фондовому ринку. На біржах ціни і об'єми операцій публікують спеціальні комісії, торгівля ведеться в рамках часу торгівельних сесій. Проте, загальні принципи технічного аналізу на всіх ринках однакові.

Технічний аналіз базується на наступних основних постулатах, що слідують з теорії Доу, розробленої Чарльзом Доу у 1900 році [52]:

1. Ринок враховує все

Інакше кажучи, ціна є наслідком та вичерпним відображенням всіх рушійних сил ринку. Будьякий чинник, що впливає на ціну (економічний, політичний або психологічний) вже врахований ринком та включений до ціни. Тобто все, що впливає на ціну, обов’язково у цій ціні і враховується. За допомогою цінових графіків ринок сам повідомляє про свої наміри, і завдання уважного аналітика полягає у правильному та своєчасному прочитанні цих намірів. При цьому знання фундаментальних причин поведінки ринку навряд чи необхідно для правильного прогнозування. Все, що потрібно для прогнозування, - вивчати графік ціни. А макроекономічні показники, які є предметом фундаментального аналізу, вже давно враховані ринком і є тільки поясненням фактів, що вже відбулися.

Якщо технічний аналіз в основному займається вивченням динаміки ринку, то предметом дослідження фундаментального аналізу є економічні сили попиту та пропозиції, котрі викликають коливання цін, тобто змушують їх іти вгору, вниз або залишатись на одному рівні.

По суті справи і технічний, і фундаментальний аналіз при підході до прогнозування динаміки ринку намагаються вирішити одну і ту ж проблему, а саме: визначити, у якому ж напрямку будуть рухатися ціни. Але до цієї проблеми вони підходять з різних боків. Якщо фундаментальний аналітик пробує розібратись в причинах руху ринку, то технічного аналітика цікавить тільки факт цього руху. Все, що йому потрібно знати - це те, що рух ринку має місце, а цим саме він викликаний - не дуже важливо. Фундаментальний ж аналітик буде пробувати з’ясувати, чому саме це відбулося.

Ринкова ціна випереджає всі відомі фундаментальні дані. Іншими словами, ринкова ціна слугує випереджаючим індикатором фундаментальних даних або міркувань здорового глузду. В той час як ринок вже врахував всі відомі економічні фактори, ціни починають реагувати на якісь зовсім нові, невідомі ще чинники. Більшість значних періодів росту чи падіння цін у історії починались при обставинах, коли практично ніщо, з точки зору фундаментальних показників, не передвіщало жодних змін. Коли ж ці зміни ставали зрозумілими фундаментальним аналітикам, нова тенденція вже розвивалася у повну силу.

2. Рух ринку підкоряється тенденціям

Поняття тенденції або тренду - одне з основних у технічному аналізі. Життя ринку складається з періодів зростання та падіння цін, що чергуються, таким чином, що усередині кожного періоду відбувається розвиток пануючої тенденції, котра існує до тих пір, поки не почнеться розвиток ринку у зворотному напрямку. Завдання полягає у тому, щоб виявити ці тенденції на початкових стадіях їх розвитку і торгувати у відповідності з їх напрямком.

3. Історія повторюється

Той факт, що визначені конфігурації на графіках цін мають властивість повторюватись стало і багаторазово, на різних ринках і в різних масштабах часу, є наслідком об’єктивних законів фізики, економіки і психології. Ті правила, що діяли у минулому, діють й зараз, а також будуть діяти у майбутньому. На цьому і ґрунтуються всі методики прогнозування майбутнього.

Весь технічний аналіз умовно можна поділити на два напрями, в залежності від методів, що застосовуються [65]:

-   класичний технічний аналіз, оснований на вивченні та аналізі саме цінових графіків;

-        комп’ютерний технічний аналіз, оснований на використанні методів математичної статистики (математичний аналіз) і спеціальних алгоритмів обробки даних (значень ціни).

Різні типи індикаторів в торговому терміналі [65]:

. Первинна информация:

Ціна, по якій здійснюються операції;

Об'єм торгів і ліквідність цінних паперів або валюти;

Попит і пропозиція на ринку, ці значення дає стакан торгівельного терміналу.

. Інформація, що запізнюється (або інерційна):

«Японські свічі (Candles)», показують волатильність, або «розмах цін»;

Ковзні середні (Moving Average - MA) - лінія, що запізнюється, показує напрям довгострокового тренду;

Метод сходження і розбіжності - пошук точок перетинання «швидкою» і «повільною» середніх ліній;

Алігатор (фондовий ринок) - пошук точок розбіжності на основі трьох середніх, що запізнюються.

. Швидкість і прискорення ринку (перша і друга похідні від ціни):

Моментум (Momentum) - аналіз швидкості і напряму зміни ціни (перша похідна, «зміна в часі»);

Стохастичний індикатор (Stochastic Oscillator) - аналіз прискорення зміни ціни (друга похідна або «швидкість росту швидкості»);

Індекс відносної сили RSI - порівняння швидкості росту і швидкості падіння ціни у вибраному проміжку часу.

-   Інші індикатори: Лінія тренда; Лінії (полоси) Болінджера (Bollinger Bands, BB); Лінії та рівні підтримки (support) і опору (resistance); Відкрита цікавість; Зважений об'єм; Спрямованість ціни і об'єму; Індекс накопичення/ розподілу; Сходження/розбіжність ковзних середніх (MACD - Moving Average Convergence/Divergence); Аналіз опціонних рівнів; Індикатор Ішимоку; Метод хвилевої симетрії; Індикатори настрою ринку.

За характером поведінки в технічному аналізі розрізняють такі види трендів:

тренд зростаючого ринку або тренд бика (bullish) (за аналогєю з биком, що рогами «піднімає» ціну), який відображає тенденцію до підвищення цін;

спадний тренд або тренд ведмедя (bearish) (за аналогією з ведмедем, який лапами «пригнічує» ціну), що відображає тенденцію до зниження цін;

тренд «головаплечі» (head and shoulders, H&S), що відображає можливий розворот ринку, тобто перехід від тенденції зростання поточних цін до їх зниження, або навпаки;

бічний тренд, для якого неможливо встановити характер тенденції розвитку ринку.

Точки розвороту ринку «биків» визначаються за максимальним рівнем цін у короткому періоді, у той час як точки зламу ринку «ведмедів» - за мінімальним рівнем цін. У рамках довгострокової тенденції система точок зламу доповнюється піковими (максимальними і мінімальними) рівнями цін.

Фаза консолідації, з якої розпочинається будь-яка основна або проміжна тенденція до зниження або зростання цін на ринку, виявляється в малих бічних трендах. Ціна активів весь час рухається зигзагом, що пов’язаному з тимчасовими її коригуваннями (або відкатами).

В процесі графічного вивчення поточної динаміки показників, що спостерігаються, методами технічного аналізу ставляться наступні завдання:

визначити характер тенденцій показника, що вивчається;

визначити «точки розвороту» трендів - максимальні або мінімальні значення аналізованого показника, після яких тенденція змінюється на протилежну.

визначити рівень підтримки (лінія з’єднання всіх мінімальних значень показника по відповідним точкам розвороту) та рівень опору ціни (аналогічна лінія, побудована по максимальним значенням). У графічному аналізі прийнято вважати: якщо ринкова ціна акції перетинає лінію опору, це слугує сигналом для її купівлі, оскільки очікується подальше зростання курсової вартості цінного папера. В свою чергу, якщо ринкова ціна папера падає нижче рівня підтримки, це - сигнал до продажу акцій, оскільки вважається, що вона падатиме й далі;

визначити частоту і характер розривів ціни. В теорії технічного аналізу виділяють різні види розривів (прискорюючий, уповільнюючий, випереджуючий, острівний, кінцевий тощо), кожен з яких дозволяє визначити напрями й ступінь інтенсивності зміни тенденції показника.

Графічні методи технічного аналізу різноманітні. Як правило, для відображення біржової інформації використовують [78]:

лінійні графіки;

стовпчикові діаграми (гістограми);

графіки у вигляді «барів»;

«японські свічки»;

графіки типу «хрестики-нулики».

Лінійні графіки використовуються для відображення зміни в часі різних видів цін активів (попиту, пропозиції, закриття тощо). На практиці використовується два способи побудови вертикальної шкали лінійного графіку:

використання арифметичної вертикальної шкали, яке є доцільним якщо діапазон зміни ціни є невеликим;

використання логарифмічної вертикальної шкали, яка дозволяє нівелювати великі розриви в значеннях ціни.

Кожна діаграма може містити інформацію про ціну відкриття, закриття, мінімальну ціну продажів (Low), найвищу ціну продажу за період (High). Вважається, що в ціні відкриття відбита думка любителів про ціни на фондовому ринку, а в ціні закриття - думка професійних гравців ринку. Розмах між нижнім і верхнім рівнями цін характеризує боротьбу між «ведмедями» і «биками».

Середні ковзні - найбільш ефективний інструмент технічного аналізу (англ. Technical analysis) - прогнозування зміни ціни в майбутньому на основі аналізу зміни ціни у минулому. У його основі лежить аналіз часових рядів ціни - «чартів» (від англ. chart). Окрім цінових рядів, в технічному аналізі використовується інформація про об'єми торгів та інші статистичні дані.

Поняття тенденції або тренду - одне з основних у технічному аналізі. Життя ринку складається з періодів зростання та падіння цін, що чергуються, таким чином, що усередині кожного періоду відбувається розвиток пануючої тенденції, котра існує до тих пір, поки не почнеться розвиток ринку у зворотному напрямку. Завдання полягає у тому, щоб виявити ці тенденції на початкових стадіях їх розвитку і торгувати у відповідності з їх напрямком.

Ковзне середнє (moving average - МА) - є одним з найважливіших індикаторів при аналізі ринку. Існує декілька видів ковзних середніх, які використовуються на практиці [78]:

-    просте ковзне середнє (SMA);

-        експоненційне ковзне середнє (EMA);

         зважене ковзне середнє (WMA);

. Просте ковзне середнє - simple moving average (SMA)

Просте ковзне середнє (англ. Simple Moving Average - SMA) - є одними з найбільш простих і популярних індикаторів в технічному аналізі. SMA є звичайним середнім арифметичним від цін за певний період. SMA відноситься до класу індикаторів, які слідують за трендом, воно допомагає визначити початок нової тенденції і її завершення, за його кутом нахилу можна визначити силу (швидкість руху), воно ж в якості основи (або згладжуючого фактора) застосовується у великій кількості інших технічних індикаторів. Іноді ковзне середнє називають лінією тренда.

2. Аналіз цінних паперів у процесі портфельного інвестування в Україні

2.1 Технічний аналіз цінних паперів, які входять в інвестиційний портфель ЗНКІФ «Синергія»

Проведений в дипломному дослідженні аналіз ринків цінних паперів України та Росії в часовому діапазоні 1997-2012 рр. показує (рис. 2.1):

- фінансова криза «дефолту» Росії у 1997-1998 рр. привела до відносного зниження основних біржевих індексів Росії (РТС) та України (ПФТС) на (90%), тобто фактично біржові фондові ринки були зупинені;

Рис. 2.1. Загальна динаміка рядів базових (відносно рівня жовтня 1997 р.) відносних біржових індексів ПФТС та РТС ринків цінних паперів України і Росії у 1997-2012 рр. [83]

- суттєва активізація ринків цінних паперів України та Росії (після поступового відновлення у 1999-2004 рр.) почалась у 2005 році, після чого до початку світової фінансової кризи 2 половини 2008 року в Україні відносний рівень індексу ПФТС зріс на 1100%, а в Росії відносний рівень індексу РТС зріс на 350%;

-        під час «піку» світової фінансової кризи кінця 2008 року індекс ПФТС в Україні впав на (1000%), а індекс РТС впав на (350%) - практично обидва знизились до рівня 2005 року;

         з середини 2009 року як в Україні, так і в Росії розпочалось післякризове відродження ринків цінних паперів: індекс ПФТС виріс на +950% станом на середину 2011 року, а індекс РТС виріс на +280%;

         з середини 2011 року знов біржові індекси почали відмічати кризові явища на ринках цінних паперів України та Росії: індекс ПФТС різко впав на (850%) станом на жовтень 2012 року, а індекс РТС знизився значно менше на (- 50%).

Рис. 2.2. Загальна динаміка рядів базових (відносно рівня жовтня 2009 р.) відносних біржових індексів ПФТС та UX ринку цінних паперів України у 2009-2012 рр. [83]

Таким чином, на українському ринку цінних паперів станом на жовтень 2012 року загальною тенденцією є повторне кризове падіння рівня вартості акцій підприємств з силою на рівні кризи 2008 року (рис. 2.1 - 2.2).

Досліджуєме в дипломному проекті Публічне акціонерне товариство «Закритий недиверсифікований корпоративний інвестиційний фонд «Синергія4» (ЗКІНФ «Синергія4») був створений за рік до початку фінансової кризи 2008-2009 рр. (Протокол установчих зборів №1 від 20 березня 2007 року) [93].

Стратегічно створення ЗНКІФ «Синергія4» було обгрунотоване успішним досвідом функціонування ЗКІНФ «Синергія», «Синергія2» та «Синергія 3» у 2004-2007 рр. на фоні вказаного при аналізі графіків рис. 2.1 загального росту ринкового курсу цінних паперів на фондовому ринку України у 2004-2007 рр. [83].

Створенню передував первинний випуск акцій Фонду з метою формування початкового статутного капіталу ВАТ «Закритий недиверсифікований корпоративний інвестиційний фонд «Синергія4» (Протокол №1 від 26 січня 2007 року). Мета випуску акцій Фонду - формування початкового статутного капіталу Фонду, спосіб розміщення акцій Фонду - закрите (приватне) розміщення.

Загальна сума первинного випуску акцій - 550 000,00 грн. (п’ятсот п’ятдесят тисяч грн. 00 коп.), номінальна вартість акцій - 10 000,00 грн. (десять тисяч грн. 00 коп.), кількість акцій - 55 шт. (п’ятдесят п’ять шт.), форма існування акцій - документарна, форма випуску акцій - прості іменні (Свідоцтво про реєстрацію випуску акцій Фонду - Реєстраційний номер 151/1/07 від 17 квітня 2007 року).

Згідно з інвестиційною декларацією ЗНКІФ «Синергія - 4» мета діяльності Фонду полягає в максимальному зростанні капіталу шляхом середньострокових інвестицій в акції українських компаній, що мають потенціал росту вищий за середній по ринку.

Активи Фонду можуть складатися із:

цінних паперів українських емітентів;

грошових коштів, в тому числі в іноземній валюті;

інших активів, дозволених чинним законодавством України.

Щодо складу та структури активів Фонду встановлюються наступні обмеження та заборони:

вартість цінних паперів, що належать Фонду на праві власності, повинна складати не менше 70 (сімдесяти) відсотків середньорічної вартості активів Фонду;

вартість акцій, що належать Фонду на праві власності, повинна складати не менше 50 (п’ятдесяти) відсотків середньорічної вартості активів Фонду;

-    вартість цінних паперів, що належать Фонду на праві власності та не мають визнаних котирувань на фондовій біржі або у торговельно-інформаційній системі, не може становити більш як 50 (п’ятдесят) відсотків середньорічної вартості активів Фонду;

- забороняється придбавати або додатково інвестувати в цінні папери одного емітента більше ніж 10 (десять) відсотків загальної вартості активів Фонду;

інші обмеження та заборони, встановлені чинним законодавством для недиверсифікованих корпоративних інвестиційних фондів.

При прийнятті рішення про придбання акцій Фонду Інвестор має враховувати наступні можливі фактори ризику:

економічні ризики, у тому числі загальний несприятливий розвиток економіки, інфляція, загальна низька ліквідність фондового ринку України;

негативні зміни в законодавстві, у тому числі зміни податкового законодавства (відміна податкових пільг тощо);

введення режимів зовнішніх форс-мажорів, обмеження видачі готівкових коштів та обмеження щодо безготівкових розрахунків, які запроваджені банками, дії державних та місцевих органів влади, дії будь-яких посадових осіб державних органів або установ, виникнення будь-яких інших подій та/або юридичних фактів, що суттєво впливають на прибутковість операцій на фондовому ринку України;

особливі ризики Фонду як інституціонального інвестора, у тому числі ризики, пов’язані з недостатнім захистом прав міноритарних акціонерів, ризики, пов‘язані з обмеженим доступом до інформації про компанії, цінні папери яких входять до активів Фонду, ризик можливого банкрутства, націоналізації або реприватизація компанії, цінні папери якої входять до активів Фонду;

техногенні ризики та природні катастрофи.

Запланований рівень прибутковості (еталон ефективності) Фонду за рік встановлюється на рівні середньозваженої облікової ставки, встановленої Національним банком України.

Після реєстрації ЗНКІФ «Синергія - 4» був проголошений додатковий (основний) випуск акцій Фонду, що здійснений з метою спільного інвестування:

1. Проспект емісії та випуск акцій Фонду, що здійснювався з метою спільного інвестування затверджено рішенням загальних зборів акціонерів Відкритого акціонерного товариства «Закритий недиверсифікований корпоративний інвестиційний фонд «Синергія4» (Протокол №1 від 05 травня 2007 року).

. Спосіб розміщення основного випуску акцій Фонду - відкрите (публічне) розміщення.

. Загальна номінальна вартість акцій Фонду, які планується розмістити - 206 090 000,00 грн. (двісті шість мільйонів дев’яносто тисяч грн. 00 коп.)

. Кількість акцій Фонду - 20 609 шт. (двадцять тисяч шістсот дев’ять шт.)

. Номінальна вартість однієї акції Фонду - 10 000,00 грн. (десять тисяч грн. 00 коп.)

. Форма існування акцій Фонду - бездокументарна.

. Форма випуску акцій Фонду - прості іменні.

. Запланований курс продажу акцій Фонду:

до прийняття Державною комісією з цінних паперів та фондового ринку (надалі - «Комісія») рішення про визнання Фонду таким, що відповідає вимогам щодо мінімального обсягу активів ІСІ (мінімальний обсяг активів - 1 250 мінімальних заробітних плат, з 01.04.2007 р. - 550 000 грн.) - за номінальною вартістю;

після прийняття Комісією рішення про визнання Фонду таким, що відповідає вимогам щодо мінімального обсягу активів ІСІ - за ціною, що розраховується виходячи з вартості чистих активів Фонду у розрахунку на одну акцію Фонду, яка знаходиться в обігу, але не нижче номінальної вартості;

На сьогодні закритий недиверсифікований корпоративний інвестиційний фонд «СИНЕРГІЯ4» має наступні характеристики:

. Початок діяльнгості - 30.05.2007;

2.      Номінальна вартість інвестиційного сертифікату акції ЗКІНФ при емісії інвесторам (закрита підписка) - 10 000 грн.;

.        Строк діяльності фонду - 22.06.2012, пролонгований рішення акціонерних зборів у липні 2012 року до 22.06.2014 із частковим зменшенням кількості емітованих акцій фонду (частковий викуп акцій у інвесторів фондом по закінченню законодавчого 5річного терміну функціонування);

.        Максимальна кількість інвестиційних сертифікатів, випущених в обіг фондом - 20 664;

.        Мінімальний обсяг інвестиції - 1 акція;

.        Комісія при купівлі / продажу акції фонду - 0,5% / 0,5%;

.        Зберігач фонду - ПАТ «Укрсоцбанк»;

.        Компанія по управлінню активами фонду - КУА ПАТ «Кінто»:

- винагорода КУА - Щомісячно у розмірі 1/12 від 2,5% (тобто 2,5% за рік) від вартості чистих активів; перерахунок за результатами фінансового року;

премія КУА - Сплачується після закінчення строку діяльності, якщо отриманий Фондом за весь період діяльності прибуток перевищить еталон ефективності. Премія складає 15% від різниці між фактично отриманим за весь період діяльності прибутком та сумою прибутку, який Фонд мав отримати, виходячи з еталону;

інші витрати - не більше 5% від середньорічної вартості чистих активів фонду.

На рис. 2.3 - 2.5 наведені основні результати діяльності ЗНКІФ «Синергія 4» в період з 30.05.2007 по 31.12.2011 [83], які показують, що динаміка ринкової вартості портфелю акцій фонду повторює динаміку ПФТС ринку цінних паперів України, в результаті чого станом на 31.12.2011 року інвестори фонду втратили практично (60%) капіталу, інвестованого в інвестсертифікати акцій ЗНКІФ «Синерція - 4», кошти від емісії яких були витрачені на придбання у 2007-2008 рр. акцій підприємств України та інших активів банків.

Рис. 2.3. Порівняльна динаміка базових (відносно рівня 30.05.2007) індексів поточної ринкової вартості чистих активів фонду на 1 інвестсертифікат ЗКІНФ «Синергія - 4» та відносного індексу біржової системи ПФТС України за період 30.05.2007 - 31.12.2011 [83]

Рис. 2.4. Питома вага поточної ринкової вартості активів (цінних паперів підприємств України) в інвестиційному портфелі ЗКІНФ «Синергія - 4» станом на 31.12.2011 [83]

Інвестиційна стратегія фонду ЗКІНФ «Синергія - 4» формулюється наступним чином [83].

Мета діяльності Фонду полягає в максимальному зростанні капіталу шляхом середньострокових інвестицій в акції українських компаній, що мають потенціал росту вищий за середній по ринку. Відповідно до інвестиційної політики, Фонд може бути класифікований як «фонд росту».

Відкрите акціонерне товариство КІНТО, як компанія з управління активами (надалі - Компанія), виходячи з мети фонду, буде дотримуватись стратегії активного інвестиційного менеджменту, що передбачає прийняття рішень щодо купівлі або продажу цінних паперів на основі економічного, фінансового, ринкового аналізу та інвестиційних оцінок.

Компанія з управління активами планує залучені в Фонд кошти розмістити наступним чином:

не менше 70% - в акції;

не більше 30% - у депозити або інструменти з фіксованим доходом (облігації та векселі).

При формуванні інвестиційного портфеля Компанія буде орієнтуватися, використовуючи досвід фондів-попередників - ІФ «Синергія», «Синергія2» та «Синергія3», на найбільших українських емітентів: як «блакитні фішки», так і компанії другого ешелону провідних секторів економіки України. При цьому, крім вкладень в традиційні: металургію, енергетику, машинобудування, нафтогазову та хімічну промисловість, інвестування буде здійснюватися в акції «нових» для українського фондового ринку галузей: фінансового та споживчого секторів, харчової та будівельної промисловості.

Головним чинником при виборі тієї чи іншої акції буде потенціал зростання її ціни. Проте вибір буде здійснюватися перш за все серед найбільш капіталізованих (більше 50 млн. грн.) та ліквідних (спред між найкращими котируваннями попиту та пропозиції на організованому ринку не повинен перевищувати 30-50%) цінних паперів - тих, що входять в індексний кошик KINDEX.

У цінні папери одного емітента не буде вкладатися (після визнання Національною комісією з цінних паперів та фондового ринку Фонду таким, що відбувся) більше ніж 10% від загальної вартості активів, що дозволить досягти більш високої диверсифікації інвестиційного портфеля Фонду через зниження його власних ризиків.

При керуванні інвестиційним портфелем Фонду планується використовувати пасивну стратегію: активи купуватимуться переважно на період інвестиційного горизонту діяльності Фонду - 3-5 років. Проте, принципу «купити та тримати» компанія ортодоксально дотримуватися не буде: Фонд не буде нехтувати і активними операціями, оперативно реагуючи на мінливу ринкову кон’юнктуру та використовуючи всі наявні ринкові арбітражні можливості, обумовлені тим фактом, що український фондовий ринок далекий від поняття «мінімально ефективного». З цією метою здійснюватиметься моніторинг стану портфеля та регулярне проведення активних операцій, внаслідок яких кошти від цінних паперів, що зупинилися в ціновому зростанні, будуть перевкладатися у більш перспективні об’єкти. Через динамічність процесу інвестування може переглядатися і структура портфеля, проте це повинно бути обумовлено тільки змінами інвестиційної ефективності різних класів активів та їх окремих складових.

Поточні доходи Фонду (дивіденди та проценти) акціонерам виплачуватися не будуть, а будуть реінвестуватися у повному обсязі. Компанія з управління активами звертає увагу інвесторів на те, що вони у повній мірі несуть ризики зменшення вартості акцій Фонду. Фонд планує здійснити розрахунки по власних акціях після закінчення строку його діяльності. При цьому, мета діяльності Фонду може бути досягнута лише за умови зростання фондового ринку України.

Строк діяльності Фонду може бути змінений лише за рішенням загальних зборів акціонерів.

Таблиця 2.1. Основні характеристики ЗКІНФ «Синергія - 4» [83]

Мета та основні напрямки інвестування

Максимальне зростання капіталу шляхом середньострокових інвестицій в акції українських компаній, що мають потенціал росту вищий за середній по ринку

Номер та дата свідоцтва про внесення до ЄДРІСІ

№636-1 від 20 липня 2010 року

Код за ЄДРІСІ

132636

Основні активи

Акції українських компаній (див. Інвестиційну декларацію)

Зареєстрований статутний капітал

206 640 000,00 грн.

Початок діяльності (державна реєстрація фонду як юридичної особи)

22 березня 2007 року

Завершення терміну діяльності

22 червня 2014 року


Таблиця 2.2. Характеристика акцій фонду ЗКІНФ «Синергія 4» [83]

Тип випуску

прості


Форма випуску

іменні


Форма існування

бездокументарна


Номінальна вартість


10 000,00 грн.


20 664 шт.

Свідоцтво про реєстрацію випуску акцій


№2072 від 04 квітня 2011 року



Викуп акцій здійснюється Фондом після закінчення строку його діяльності за розрахунковою ціною, що визначається, виходячи з вартості чистих активів Фонду. Дивіденди по акціях Фонду не нараховуються та не сплачуються. Еталоном ефективності діяльності фонду є середньозважена облікова ставка, що встановлена Національним банком України («запланований прибуток»). Акції Фонду входять в лістинг ПФТС (код - IFSNR4) та котируються на біржових торгах.

В дипломній роботі проведений технічний аналіз курсів акцій підприємства, яке займають найбільшу питому вагу в інвестиційному портфелі ЗНКІФ «Синергія 4» та проходили торги у 2004-2012 рр.:

-    акції ПАТ «Мотор Січ» (м. Запоріжжя), лідера авіабудування України.

Технічний аналіз проводився з використанням методів середніх ковзних на короткострокових, середньострокових та довгострокових періодах.

Коли 50-денна Ковзна середня перетинає 200-денну Ковзну середню в будь-якому напрямку, це пророкує істотну зміну в поводженні покупців і продавців. Коли 50-денна Ковзна середня, підвищується вище 200-денний Ковзної середньої - це називають «Золотим Хрестом», в той же час як «ведмеже» перетинання називається «Смертельним Хрестом».

Ці три Ковзні середні являють собою природні границі для цінових корекцій. По-перше, вони визначають рівні, де зняття прибутку й прийняття втрат повинне ослабшати після сильного цінового руху. По-друге, їхнє загальне визнання спонукає ринкових гравців робити самореалізацію цієї стратегії щоразу, коли ціна наближається до цих рівнів.

Ковзні середні є індикаторами, які слідують за трендом і вимірюють висхідний або спадний імпульс. Вони втрачають свою ефективність на ринках, які мають слабкий або відсутній рух цін в часі.

Характеристика Ковзних середніх змінюється, як тільки вони згладжуються й перевертаються між собою. Поворот Ковзної середньої до горизонтального положення вказує на втрату імпульсу для даного тимчасового формату. Це збільшує шанси того, що ціна перетне Ковзну середню відносно легко. Коли Ковзні середні різних інтервалів осереднення вибудовуються в паралельні лінії близько друг від друга, ціна часто коливається взад і вперед поперек цих ліній, створюючи багато «ринкового шуму».

. Ковзні середні подають постійні сигнали, тому що вони формуються прямо на «вершині» або «впадині» ціни. Їхня відносна кореляція з розвитком ціни змінюється з кожними додатковими результатами торгів. Вони також демонструють активний взаємозв’язок у вигляді сходження - розбіжності з усіма іншими видами підтримки й опору.

. Доцільно використовувати експонентні Ковзні середні, або ЕМА, для більше довгих часових форматів, але треба переходити до простих Ковзних середніх, або SMA, для більше коротких часових форматів. ЕМА надають більша вагу недавній зміні ціни, у той час як SMA розглядає кожну цінову дію однаково.

З початком падіння вартості акцій «МоторСіч» з рівня 1800 грн./акцію станом на травень 2008 року на ринку розпочався продаж пакетів акцій по 5000-12000 штук, а ЗНКІФ «Синергія4», «Синергія5» почали активно скуповувати продаваємі пакети акцій, доводячи їх питому вагу в портфелі інвестицій до 10%. На момент кризи кінця 2008 року ринкова ціна акцій ПАТ «МоторСіч» знизилась до рівня 200 грн./акцію, але вже в липні 2009 року вартість акцій ПАТ «МоторСіч» почала стрімко наростати до перекризової вартості, при цьому обсяги біржових угод не перевищили щоденно 1000-2000 акцій.

При номінальній ціні акції ПАТ «Мотор - Січ» 135 грн. /акцію її ринкова ціна з рівня 1200 грн./ акцію у жовтні 2009 року за 3 роки зросла до середнього значення 2200 грн./ акцію з «піковими» зростаннями до рівня 3800 грн./акцію та «піковими» падіннями до рівня 1800 грн./ акцію. При цьому, при зростанні ринкової ціни на акцію більше рівня в 2500 грн./1 акцію кількість біржових угод різко знизилась і тільки падіння ринкової ціни акції нижче 2000 грн./1 акцію знов відродило біржовий попит на покупку цих акцій. За останні 3 місяці (серпень 2012 - жовтень 2012 р.) ринкова ціна на акцію ПАТ «МоторСіч» систематично почала знижуватись до рівня 1750 грн./1 акцію, але при цьому різкого зростання попиту на покупку акцій на ринку ЦП України не відчутно.

2.2 Фундаментальний аналіз емітентів, що входять до портфеля інвестицій ЗНКІФ «СИНЕРГІЯ4», управляємого КУА «КІНТО»

Проведений в дипломному дослідженні фундаментальний аналіз причин зниження вартості активів в портфелі інвестицій ЗНКІФ «Синергія4» показав, що негативні наслідки діяльності фонду як в цілому падінням ринкової вартості акцій підприємств України, так і певними деталями економічного розвитку та дивідендної політики окремих емітентів, цінні папери яких займають суттєву питому вагу в портфелі фонду.

Так, згідно звітам керуючих КУА «Кінто» за 2011 та 1 півріччя 2012 року [83], у 4 кварталі 2011 р. акційний індекс ПФТС продовжив свою низхідну ходу та знизився на 4,96% (з 562,32 до 534,43 пунктів). У свою чергу абсолютні втрати ІФ «Синергія4» протягом періоду склали 9,26 млн. грн. (зниження вартості чистих активів фонду з 96,74 до 87,48 млн. грн.), що у відносних величинах еквівалентно зменшенню ВЧА на 9,57%. Щодо вартості активів фонду у розрахунку на акцію, то її скорочення відбулося в аналогічних пропорціях і сумарно склало 448,05 грн. (з 4 681,74 до 4 233,69 гривень). Середньорічна доходність ІФ «Синергія4» з початку діяльності фонду (30 травня 2007 р.) теж дещо знизилася: з 16,0% до 17,1%.

Падіння активів фонду майже цілком відбулося за рахунок негативної переоцінки вартості портфеля (8,65 млн. гривень). Отримані відсотки за депозитами склали 41,3 млн. грн., а витрати на фінансування поточної діяльності фонду відмінусували від активів 647,0 тис. гривень.

Щодо зміни вартості портфеля, то із 43 наявних позицій 8 емітентів продемонстрували зростання (+3,23 млн. грн.), зниження вартості спостерігалося за 20 компаніями (11,88 млн. грн.), а цінні папери 15 підприємств не змінили своєї паперової оцінки. Серед найуспішніших фігурували компанії, що відносяться до машинобудівного та енергетичного секторів: «МоторСіч» (+1,82 млн. грн.), «Дніпроенерго» (+0,55 млн. грн.), «Дніпрообленерго» (+0,40 млн. грн.) та «Крюківський вагонобудівний завод» (+0,30 млн. гривень). Основні збитки значаться за акціями «Харківського машинобудівного заводу «Світло шахтаря» (2,77 млн. грн.), «Шахтоуправління «Покровське» (1,81 млн. грн.) та «Галактоном» (1,74 млн. грн.), що і спричинили квартальний розрив в доходності між ІФ «Синергія4» та ринковим бенчмарком.

Стрімке 70-відсоткове падіння вартості машинобудівного заводу «Світло шахтаря» було викликано появою продавців даних малоліквідних паперів на ринку, що відразу й відобразилося на ціні акцій, що знизилася з 0,85 до 0,26 гривень / 1 акцію.

Зниження оцінної вартості паперів «Шахтоуправління «Покровське» та «Галактону» носить дещо інший характер.

Після кризи 2008-2009 років акції «Галактону» майже не торгувалися на біржі через дуже низький freefloat (кількість паперів у вільному обороті). Саме тому, відповідно до діючого законодавства, ІФ «Синергія4» востаннє мав підстави переоцінити дану позицію в активах ще аж на початку 2009 р. З того часу, папери компанії обліковувалася в портфелі за незмінною, так званою балансовою ціною, що за порівняльними оцінками не відповідала ринковій, якщо б угоди із акціями підприємства укладалися на вторинному ринку. Відсутність торгової активності з акціями «Галактону» й стала однією з причин прийняття рішення щодо реалізації даної позиції. Після тривалих переговорів із закордонними власниками підприємства, в тому числі із залученням посередників, було повністю продано пакет цінних паперів компанії (216 324 штуки) за 0,90 млн. грн., що виявилося на 1,38 млн. грн. нижче від оцінної вартості даних акцій в портфелі фонду станом на 1 жовтня 2011 р. (початок кварталу).

Звернемо увагу, що негативну динаміку фонду багато в чому визначила переоцінка лише однієї акційної позиції, яка й спричинила половину квартальних втрат ІФ «Синергія4». Мова йде про акції «Шахтоуправління «Покровське», обіг яких рішенням Державної Комісії з цінних паперів та фондового ринку був призупинений у травні 2011 р., але рішенням суду поновлений 17 жовтня 2011 р. Для інвесторів це означало, що протягом майже 5 місяців ціна акцій компанії була «заморожена», а відразу після відновлення торгів мала «наздогнати» ринок. Так і сталося. Протягом даного відрізку часу індекс Української біржі демонстрував негативну динаміку та загалом втратив близько 50%, тоді як зниження вартості менш ліквідних паперів «Шахтоуправління «Покровське» відбулося миттєво та склало ~55%. ІФ «Синергія4», керуючись нормами законодавства, був вимушений переоцінити дану позицію в активах, що одномоментно призвело до відповідних паперових втрат портфеля фонду.

Продажі з портфеля у 4 кварталі 2011 року суттєво переважали над поповненнями (6,24 млн. грн. та 0,10 млн. грн., відповідно). Фіксувався результат по позиціям, що, з нашої точки зору, дозволяли отримати найвищу відносну ціну від їх продажу та в покращенні економічних показників яких був сумнів на період інвестиційного горизонту діяльності ІФ «Синергія4» (до червня 2012 року).

Таким чином, було повністю реалізовано наступні пакети цінних паперів підприємств: 4 851 акцій «Дніпроенерго» вартістю 3,69 млн. грн., 169 400 акцій «Київенерго» за 1,41 млн. грн., 274 089 акцій «Галактону» за 1,14 млн. грн., та 3 645 цінних паперів «Дніпропетровського трубного заводу» за 0,12 млн. гривень.

Щодо придбань, то протягом жовтня-грудня 2011 р. до активів фонду придбавалися цінні папери лише одного емітента. Ними стали 60 акцій «МоторСічі», на купівлю яких було направлено 0,10 млн. гривень.

Після прийняття рішення про продовження діяльності фонду ще на 2 роки (до 22 червня 2014 року) у 2 кварталі 2012 року вартість чистих активів у розрахунку на акцію ІФ «Синергія4» зменшилася з 4 347,59 до 2 836,34 грн., що при перерахунку у відсоткові показники складає 34,8%. Еталон для порівняння фонду - індекс ПФТС - протягом трьох місяців знизився на 31,9%. Чисті активи фонду скоротились на ті ж 34,8% з 89,8 млн. грн. до 58,6 млн. гривень.

Протягом 2 кварталу 2012 року продовжувалося загострення кризових явищ у світовій економіці та в окремих регіонах, що суттєво вплинуло на фондові ринки світу та України. І в економіці України протягом 2012 року спостерігається значне уповільнення темпів зростання і падіння по деяких секторах. Таким чином, економічна ситуація в провідних країнах і спричинює коливання на світових фондових ринках, формуючи відповідний тренд.

За підсумками 2 кварталу 2012 року світові фондові ринки рухалися вниз. Найменше падіння продемонстрував американський S&P500, який втратив лише 4%, за ним слідували німецький DAX (9%), індекс країн, що розвиваються, MSCI EM (10%), російський RTS (14%). А ось падіння на українському ринку акцій було значно глибше: індекси UX та ПФТС знизилися аж на 32%.

Аналізуючи причини такого падіння, можна констатувати, що його левова частка спричинена загальним падінням на фондовому ринку України. Але тут діяли і внутрішні чинники, пов'язані із закінченням строку діяльності фонду. Згідно з рішенням позачергових зборів акціонерів від 21 червня 2012 року, подовжено строк діяльності фонду на 2 роки та прийнято рішення про достроковий викуп акцій фонду у тих акціонерів, які побажають залишити фонд. У зв'язку з цим було необхідно привести вартість активів фонду до ринкового значення, що відповідало б уявній ліквідаційній вартості в умовах сьогоднішнього падаючого та вкрай неліквідного фондового ринку. Мова йде, перш за все, про ті акції з портфелю ІФ «Синергія4», які на даний час не торгуються на біржі і щодо яких немає поточної ринкової ціни, встановленої через механізм ринкового попиту та пропозиції. Вартість таких позицій обліковується за балансовою ціною придбання, що в умовах сьогоднішніх реалій завищує паперову вартість чистих активів. Ще одна проблемна категорія - це акції підприємств, ціна яких хоч і визначається біржовою ціною, але за результатами нерегулярних торгів невеликими пакетами акцій. Тобто, хоч формально для них є ринкова ціна, але продати великий пакет за нею не можна. Отже, завищена вартість окремих акцій у портфелі створювала конфлікт інтересів тих інвесторів, які планували залишитись у фонді, і тих, хто бажав вийти з фонду, на користь останніх. Щоб мінімізувати наявні дисбаланси та привести вартість активів фонду до ринкового значення станом на фіксовану дату - 21 червня, по трьох вагомих позиціях портфеля («Кривбасвибухпром», «КомфортСервіс» та «КБ «Надра») проводилась переоцінка активів з використанням механізмів РЕПОугод. Пакети акцій названих компаній повністю виводилися з активів ІФ «Синергія4», а потім придбавались по цінах, що відповідають реальній оцінці цих акцій. По інших 34 позиціях портфеля оцінка на 21 червня зафіксована згідно з чинними законодавчими актами України.

Детальніше розглянемо складові зміни вартості чистих активів. Відсотки за депозитами додали +153,76 тис. грн., отримані дивіденди на акцій «Закарпаттяобленерго», «Запоріжжяобленерго» та «Харківобленерго» внесли ще +46,3 тис. грн., а поточні витрати на фінансування діяльності фонду відняли 601,67 тис. гривень. Та, традиційно, вартісна переоцінка акцій портфелю, що сумарно відмінусувала 30,83 млн. грн., найбільше вплинула на формування поточної доходності та зміни у ВЧА фонду. Так, у звітному періоді з 37 позицій портфеля у 31 акції були зафіксовані паперові збитки у розмірі 31,4 млн. грн., одна позиція («Дніпрообленерго») вийшла в «плюс» (+607,8 тис. грн.), а п'ять - не змінилися у ціні. Половина всіх збитків згенерована трьома акціями: «Кривбасвибухпром» (7,3 млн. грн.), «КомфортСервіс» (5,6 млн. грн.) та «МоторСіч» (2,6 млн. грн.). Щодо перших двох акцій, то оскільки ці позиції є неліквідними і не торгуються, вони разом з акціями «КБ «Надра» (374 тис. грн. у зміні ВЧА) були понижені в оцінці через механізм РЕПОугод, про що йшла мова вище. «МоторСіч» є однією з найліквідніших акцій на сьогоднішньому ринку. Ціна цієї акції рухалась протягом кварталу разом з ринком і знизилась на 27,4%, перегравши індекс UX (32,3%) на 5 процентних пунктів. Водночас, це - найбільша позиція портфеля, що й зумовлює її значний вплив на зміну ВЧА. Зупинимось ще на декількох акціях, вклад кожної з яких спричинив зменшення паперової оцінки портфеля суттєвіше за інші. Це: «НАСК «Оранта» (1,9 млн. грн.), «Вінницяобленерго» (1,6 млн. грн.), «Нікопольський завод феросплавів» (1,1 млн. грн.), «Стаханівський вагонобудівний завод» (1,0 млн. грн.) та «Авдіївський коксохімічний завод» (1,0 млн. гривень).

Стосовно останнього емітента необхідно зазначити, що весь пакет акцій, який перебував в активах ІФ «Синергія4», пред'явлено до викупу самому емітенту за ціною 5,13 грн., яка значно перевищує біржовий курс на 21 червня 2012 року - 2,70 гривень. Це дозволить більш ніж на 1,0 млн. грн. збільшити вартісну оцінку активів фонду вже в 3 кварталі, коли відповідна транзакція буде здійснена.

Крім того, на збільшення активів протягом наступних місяців вплинуть такі заплановані надходження як дивіденди на акції. Ми вже неодноразово писали, що чинна методика оцінки активів не враховує розподілені підприємствами дивіденди тепер вже за результатами 2011 року до моменту їх фактичного надходження до активів фонду. Загалом, прийнято рішення про нарахування дивідендів по 11 емітентах, що входять до портфеля ІФ «Синергія4», на загальну суму 1,7 млн. гривень.

Протягом кварталу проводились операції на поповнення портфеля акціями 6 емітентів на суму 792 тис. грн. та було продано акції двох емітентів на суму 15 тис. гривень.

Середньорічна річна доходність ІФ «Синергія4» з початку його діяльності (30 травня 2007 року) станом на початок 3 кварталу 2012 року склала 21,9%.

В табл. 2.3 - 2.4 наведені результати фундаментального аналізу діяльності двох характерних емітентів, пакети цінних паперів яких займають суттєву питому вагу в портфелі інвестицій ЗНКІФ «Синергія4» (38 емітентів):

-    високоприбуткове та перспективне підприємство ПАТ «МоторСіч» (м. Запоріжжя) [94];

-        хронічно збиткове підприємство ВАТ Івано-Франківський завод «Промприлад», в статутному фонді якого 29,55% акцій належать ЗНКІФ «Синергія4» [95].

Як показує аналіз результатів:

-    підприємство - емітент ПАТ «МоторСіч» є високоприбутковим підприємством - лідером авіабудування України, але з точки зору інвесторів - воно непривабливе для портфельних інвесторів, оскільки його дивідендна політика згубна для традиційних дивідендних інвесторів;

-        при чистому прибутку після оподаткування 381 грн./акцію у 2009 році, акціонерні збори затвердили розподіл чистого прибутку на виплату дивідендів в розмірі 3 грн./акцію, тобто менше 1% від отриманого прибутку до розподілу;

         при чистому прибутку після оподаткування 678,7 грн./акцію у 2011 році, акціонерні збори затвердили розподіл чистого прибутку на виплату дивідендів в розмірі 25 грн./акцію, тобто 3,7% від отриманого прибутку до розподілу;

         при розподілі дивідендів у 2011 році було прийняте рішення застосувати депозитний аналог, тобто розмір дивідендів був прийнятий у розмірі 18,52% від номінальної вартості акції (135 грн.), що відповідає середньому значенню процентів депозитів в банках України у 2011 році;

         оскільки ЗНКІФ «Синергія4» придбав акції ПАТ «МоторСіч» у 2007 році по ринковій ціні в 1000 грн./акцію, то рівень дивідендів у 2011 році склав 2,5% річних, тобто формування доходів за рахунок дивідендів є альтернативно невигідним у порівнянні з вкладенням коштів на банківський депозит;

- таким чином, акціонерні збори ПАТ «МоторСіч», нехтуючи правами міноритарних акціонерів, при виплаті дивідендів порушують основні правила нефіксованого прибутку по акціях, котрий повинен розподілятись за принципом 25-40% від фактично отриманого чистого прибутку до розподілу.

Аналіз результатів показує, що тренд зростання «внутрішньої» вартості акції ПАТ «МоторСіч» (по рівню чистих активів та чистого прибутку на 1 акцію) у 2011-2012 рр. не відповідає тренду падіння ринкової вартості акції, тобто це є сигналом ринкової «недооцінки» акцій ПАТ «МоторСіч» та прогнозування наявності потенціалу ринкового росту курсу акцій практично в 2 рази (тобто треба «покупати» акції). Але наведений вище аналіз недосконалості дивідендної політики менеджменту ПАТ «МоторСіч», яка не підтримує оптимістичних настроїв інвесторів виплатами дивідендів на рівнях, які відповідають дійсній прибутковості підприємства, може при відсутності додаткових емісій акцій ПАТ вести до ефекту продажу акцій і ініціюванню панічного зниження їх ринкового курсу.

Як показує аналіз результатів:

-    Підприємство ВАТ Івано-Франківський завод «Промприлад», при незначній прибутковості у 2007 році, з 2008 знаходиться в зоні хронічної збитковості та поступової втрати чистих активів балансу;

-        ЗНКІФ «Синергія4» у 2007 році при ринковій ціні акції 150 грн./акцію (номінал - 100 грн./акцію) придбав блокуючий пакет акцій в 29,55%, але у 2008 році підприємство на фоні світової фінансової кризи втратило ринки споживачів продукції і ринкова ціна акції впала до 80 грн./акцію (нижче номіналу);

         не котируючи у 2009-2010 рр. акції на біржовому ринку, підприємство виставило у 2011-2012 рр. акції на біржові торги на рівні 1300-1320 грн./акцію, що не відповідає «внутрішній» вартості акції за рівнем чистих активів підприємства, розподілених на 1 акцію, тому біржові угоди за 2011-2012 рр. - відсутні, оскільки акція для ринку «переоцінена».

Таким чином, пакет акцій ВАТ «Промприлад» в портфелі інвестицій ЗНКІФ «Синергія4» є неліквідний та збитковий.

3. Напрямки удосконалення методики аналізу цінних паперів в умовах неефективного ринку

.1 Зарубіжний досвід проведення технічного та фундаментального аналізу в умовах неефективного ринку та його адаптація до вітчизняних умов

Однією з найбільш важливих характеристик розвитку ринку цінних паперів є його «ефективність». Більшість досліджень ефективності фінансових ринків присвячено саме інформаційній ефективності і пов’язані з гіпотезою ефективності ринків (efficient market hypothesis) Ю. Фами [79] та її уточненими модифікаціями. Ринок вважається ефективним відносно певної інформації, якщо на основі цієї інформації не можна прийняти рішення про купівлю або продаж цінних паперів, що дозволяє отримати прибуток, який відрізняється від нормального, тобто надприбуток. Коли з’являється будь-яка нова інформація, здатна змінити ціну, всі учасники ринку реагують на неї однаково і миттєво. Іншими словами, на абсолютно ефективному ринку зміни цін не можуть бути випадковими.

Згідно гіпотези існує три ступені ефективності ринку: слабкий (ринок оперує інформацією про попередні ціни на цінні папери), середній (у поточних ринкових цінах відображена вся загальнодоступна інформація - історична та публічна інформація), сильний (поточні ринкові ціни відображають не лише загальнодоступну, а й приватну інформацію) [40]. На думку У. Шарпа [77], А. Дамодарана [39], на практиці ринки розвинених країн, як правило, характеризуються слабкою ефективністю.

Зарубіжний досвід теоретичного формулювання та практичного використання при оцінці вартості цінних паперів заснований на наступних положеннях й закономірностях, що розкриваються на основі гіпотези ефективного ринку, моделі САРМ, теорії грошових потоків, теорії асиметричності інформації й ін. [26]:

. Тому що ринок рівноважний і інвестори діють раціонально, то у підсумку інвестори можуть вкладати й позичати гроші по однієї й тої ж безризиковій ставці. Аномальне поводження інвесторів компенсується діями арбітражерів на ринку цінних паперів, а також конкуренцією між бюджетом, кредитним ринком і ринком цінних паперів.

. Поточні курси не завжди відповідають внутрішній вартості цінного папера, але прагнуть до її фундаментального значення, рівному поточній чистій вартості майбутніх грошових потоків, по фактору ризику.

. Визначення ринкової вартості поточних вкладень у цінні папери на основі грошових потоків дозволяє врахувати всі фактори, що впливають на оцінку вартості цінного папера, тому що за даний об'єкт оцінки інвестор не заплатить суму, більшу, ніж поточну вартість майбутніх доходів від цього цінного папера, а її власник не продасть за ціною нижче поточної вартості прогнозованих майбутніх доходів. У результаті своєї взаємодії сторони прийдуть до угоди про ринкову ціну, яка дорівнює поточній вартості майбутніх доходів.

. Дисконтування грошових потоків здійснюється по ставці, яка дорівнює очікуваній нормі прибутковості цінних паперів (альтернативним витратами інвестування).

. Існує залежність між оцінкою вартості цінних паперів і величиною коефіцієнта β, що характеризує мінливість доходів по даному цінному паперу в порівнянні з доходами середньоринкового портфеля цінних паперів. Очікування прибутковості й ризику оцінюються інвесторами однаково. Ринковий недиверсифікований ризик інвестицій у цінний папір перебуває в прямо пропорційній залежності від коефіцієнта β.

. Поточні курси цінних паперів містять всю наявну інформацію про їхніх емітентів. Тип інформації, відбитої в цінах фінансових активів, виступає критерієм визначення форми інформаційної эфективності ринку. При (слабкій) формі ефективності послідовні зміни курсу цінного папера не залежать один від іншого, оскільки ціни міняються відповідно до теорії випадкових блукань, що робить марним прогноз майбутнього руху за допомогою аналізу історії ринку (технічний аналіз цін). При середній (напівсильній) інформаційній ефективності ринку ціни відображають всю опубліковану інформацію й висновки фундаментального аналізу можуть не дати нових ідей, а при високій (сильній) - ціни відображають всю наявну інформацію, яку можна одержати (включаючи інсайдерську).

. Чим більше пропонується цінних паперів на ринку, тим менше буде їхня ринкова вартість. А також чим більше кількість цінних паперів, яких необхідно продати, тим нижче може бути призначена на них ціна.

. Очікувана прибутковість цінного папера наприкінці періоду, що включений у розрахунок ринкової вартості, відповідає фактично досягнутій прибутковості цього цінного папера.

. При дробленні, консолідації й конвертації цінних паперів необхідно враховувати підсумовування вартостей.

. Якщо кількість операцій із цінними паперами за певний період часу (день, тиждень і ін.) досить велика, а зміни цін - це сукупність незалежних змінних, то частота таких змін має форму нормального розподілу.

З теоретичної точки зору аналіз ринку акцій базується на двох методологіях - фундаментальній і технічній. Кожна з них має свої переваги і недоліки, серед спеціалістів та вчених не припиняються дискусії щодо ефективності їх використання. Але якщо стосовно міжнародного фондового ринку ці дискусії мають базу для обговорення, то щодо українського фондового ринку дискусії такого характеру мають значною мірою умовний характер.

Технічний аналіз базується на аналізі динаміки вартості цінних паперів. Існує близько 12 найбільш популярних методів такого аналізу та безліч комбінованих варіантів, які тією чи іншою мірою використовують результати торгівлі цінними паперами.

Сутність технічного аналізу полягає у дослідженні графіків руху цін на цінні папери та прогнозуванні можливої динаміки цін на майбутнє. У більшості випадків технічний аналіз орієнтований на дослідження руху цін на акції як найбільш динамічні цінні папери. Ця методологія останнім часом стала настільки популярною серед аналітиків міжнародного фондового ринку, що з’явилися твердження про необхідність відмовитися від традиційного фундаментального аналізу.

В основі технічного аналізу лежить наукова база розподілу подій з точки зору теорії імовірності, і ця ймовірність може бути описана графічно і математично. З погляду фондового ринку це означає, що зростання або падіння цін на акції можна спрогнозувати з урахуванням імовірності настання цієї події. А це означає, що ціна на будь-яку акцію має імовірність зростання пропорційної імовірності падіння ціни. Таким чином можна обґрунтувати динаміку цін на акції, розрахувати ймовірність настання того чи іншого випадку, а також вирахувати похибку такого роду розрахунків. Але в умовах українського ринку акцій ця методологія натикається на бар’єр відсутності бази для розрахунків. Отже, модель нормального розподілу ймовірностей працює з великою достовірністю лише за умови наявності великої кількості вибірки даних руху цін на акції, іншими словами, генеральної вибірки спостережень. На жаль, реальна ситуація на ринку акцій України не дає можливості забезпечити наявність такої вибірки. Акції навіть найбільш популярних українських емітентів не мають стабільних попиту і пропозиції, як результат - зміна цін на них має не динамічний, а дискретний характер, що не є об’єктом технічного аналізу [19].

Фундаментальний аналіз за своєю суттю є більш консервативним і на відміну від технічного більше уваги приділяє не змінам цін на акції, а достовірності оцінки їх вартості. З точки зору фундаментального аналізу, діяльність емітента тією чи іншою мірою впливає на вартість акцій на ринку. Зменшення дефіциту державного бюджету, покращання кредитування прямого позичальника, зростання валового внутрішнього продукту, збільшення випуску продукції, розширення сфери збуту, впровадження нових технологій - все це, за методикою фундаментального аналізу, веде до зростання вартості акцій. Наукове пояснення концепції фундаментального аналізу базується на постулаті, що покращання ситуації в економіці країни і на рівні окремої компанії веде до зростання прибутку емітента.

Крім очевидних категорій вартості цінного паперу, начебто «номінальної» або «ліквідаційної» вартості акції, є 2 поняття, навколо яких постійно виникає маса спорів в експертному співтоваристві: «ринкова» і «справедлива» (fair value) вартість цінних паперів.

«Ринкова» вартість акції - це вартість, що складається під дією попиту та пропозиції на вторинному ринку цінних паперів. Теоретики затверджують, що основою ринкової ціни акції є [19]:

-   об’єктивні чи суб’єктивні уявлення учасників ринку про вартість фіктивного капіталу, що відображає ринкову вартість всієї сукупності активів емітента;

- оцінки щодо цінності прав, якими даний цінний папір як титул пайової власності наділяє інвестора;

величезну вагу мають спекулятивні фактори.

«Справедлива» вартість акції - це вартість, сформована під впливом внутрішніх характеристик емітента: фактичного стану бізнесу й очікувань перспектив його розвитку. Визначення такої величини - предмет оцінної діяльності. Реально «ринкова» ціна акцій рідко збігаються з «справедливою» (розрахунковою вартістю) й тоді говорять про те, що папери «недооцінені» або «переоцінені» ринком.

«Справедлива» вартість акції величина вкрай спірна. Ряд фахівців взагалі думає, що тільки ринкові ціни і є істинно справедливими, а будьякі оцінки «внутрішньої» вартості акцій неадекватні, оскільки не містять у собі психологічні фактори, політичні й економічні ризики [20], [21]. Інші, навпроти, думають, що «ринкова» ціна акції повинна згодом прийти до своєї реальної («справедливої») вартості, тому недооцінені ринком паперу треба купувати, а переоцінені - продавати [27].

Для оцінки «справедливої» вартості акцій в Україні, згідно з зарубіжними термінами та прийнятими Національною комісією з цінних паперів та фондового ринку України звітними показниками використовують наступні економічні оцінки вартості акції [43]:

1. Номінальна та ринкова дивідендна прибутковість - Stock Yield (D/P), %.

Дивідендна прибутковість показує поточну прибутковість акцій, оціненої за ринковою вартістю.

/P = DIV/Pакц*100%, (3.1)/Pном = DIV/Pном*100%,

де:- дивіденд з чистого прибутку після оподаткування, виплачений на 1 акцію (грн./1 акцію);акц - поточна ринкова вартість акції (грн./1 акцію);ном - номінальна вартість акції при емісії (грн./1 акцію);

Чим вище дивідендна прибутковість D/P, тим, теоретично, вище привабливість акцій.

.        Дохід на акцію (EPS), грн./1 акцію

Акціонерів як власників компанії повинне цікавити, на який прибуток (після виплат відсотків і податків - Net Profit NP) вони могли б претендувати з розрахунку кількості акцій, якими вони володіють. Цей показник описується величиною доходу на акцію, або EPS (equity per stock).

= NP/ N акц. (3.2)

де:акц - число звичайних акцій в обігу.Р - чистий прибуток емітента після оподаткування.- це реальна цифра в грн., яку можна прямо зрівняти з розміром дивіденду на акцію DIV. Різницю становить величина нерозподіленого прибутку на акцію, яку акціонерні збори приймають своїм рішенням (до обнуління величини дивідендів і направленням всього чистого прибутку в форди і резерви капіталу емітента).

.        Вартість чистих активів на акцію (NAV), грн./1 акцію.

Ціль цього вартісного коефіцієнта - визначення базової чистої вартості компанії на одну акцію, якби активи компанії СА були продані за готівку зараз і могли бути розподілені між акціонерами.

= СА/Nакц (3.3)

Найчастіше показник NAV на одну акцію використовується як визначення максимального порога «справедливої» вартості акції.

Згідно з зарубіжними технологіями фундаментального аналізу основним інструментом є фінансові мультиплікатори (фінансові коефіцієнти) - індикатори, на основі яких відбувається оцінка компаній (емітентів) [73]. Фінансові інструментарієм фундаментального аналізу й спрямовані головним чином на те, щоб визначити «справедливу» внутрішню вартість (target) компанії шляхом порівняння з аналогами (компаніями з тої ж галузі або сектора). Подібний вид аналізу (його називають порівняльним) у наш час одержує все більшу популярність, причому ним активно користуються не тільки професійні, але й рядові інвестори.

Серед найбільш важливих фінансових показників, або показників першого рівня виділяються - ринкова капіталізація, загальна вартість активів, вартість компанії, виторг, чистий прибуток, грошовий потік [74]:

. Капіталізація (Market Capitalization - МС) чи інше позначення Price (Р) - ринкова капіталізація компанії - це фінансовий показник, що відображає ринкову вартість компанії. Розраховується як кількість розміщених (outstanding) акцій (звичайних і привілейованих), помножене на їхню ринкову ціну.

 (3.4)

де: N - кількість емітованих акцій емітентом;N - поточна ринкова (біржова) вартість акції.

Слід відмітити, що показник ринкової капіталізації компанії Р, розраховує мий по формулі (3.1) є доволі умовним показником, оскільки ліквідність на біржовому ринку повного пакету акцій підприємства за поточною ринковою ціною акцій в біржовому обороті (до 15%) є дуже проблемною, а правила біржових котирувань показують на зниження ринкової ціни при акції при зростанні обсягу продаваємих пакетів акцій [74].

2. Загальна вартість активів (Total assets - TA) - фінансовий показник, що відображає сумарну вартість всіх активів, що належать компанії.

. Вартість компанії (Enterprise Value - EV) - фінансовий показник, що розраховується як ринкова вартість компанії P плюс борг компанії за мінусом коштів підприємства й грошових еквівалентів. Такий змішаний показник, який включає суму ринкових показників та балансових фінансових показників, в Україні не застосовується, оскільки є специфічним і фіксує сумарні обсяги залученого пайових та боргових інвестицій в забезпечення діяльності підприємства, які існують в різних формах активів, окрім грошової.

У найбільш загальному виді показник EV розраховується як сума ринкової капіталізації компанії й ринкової вартості боргу, очищеної від грошових коштів. Показник цікавий тим, що в ньому враховується вартість тільки інвестованих активів (що перебувають в обороті) і виключаються вільні грошові кошти.

. Виторг (Revenue, sales - S) - фінансовий показник, що відображає обсяг коштів, що надійшли, від реалізації товарів і послуг за певний період часу. Є аналогом чистої виручки (без ПДВ і інших податків, які не входять в собівартість в українській методології [72]);

. Чистий прибуток (Net profit, earnings - NP) - фінансовий показник, що відображає виторг компанії мінус собівартість і мінус податок на прибуток (за українською методологією - чистий прибуток після оподаткування);

Фінансовими показниками другого рівня є похідні від показників першого рівня. У числі найбільше часто використовуваних слід зазначити - показники прибутковості: прибуток компанії до сплати податків, відсотків і амортизаційних відрахувань, операційний й прибуток до сплати податку на прибуток [72]:

. Прибуток до сплати податків, відсотків по кредитах і амортизаційних відрахуваннях (Earnings Before Interest & Taxes, Amortization and Depreciation - ЕВІТDA) - фінансовий показник, який поряд з показником прибутку й вартості найбільше часто використовується при розрахунку фінансових мультиплікаторов, що дозволяють оцінити прибутковість компанії.(Earnings before Interest, Taxes, Depreciation and Amortization) - прибуток до відрахування видатків по відсотках, сплати податків і амортизаційних відрахувань. EBITDA служить для визначення конкурентоспроможності й ефективності діяльності компанії поза залежністю від рівня і якості її кредиторської заборгованості, податкового режиму й способу розрахунку амортизаційних відрахувань.

. Прибуток до сплати податків і відсотків по кредиту (Earnings Before Interest & Taxes - EBIT) - фінансовий показник, що відображає прибуток компанії до сплати податків і відсотків по кредитах.

 (3.5)

де: DA - нарахована амортизація, яка не враховується при нарахуванні податку на прибуток, але фактично залишається в складі активів підприємства і використовується для оновлення основних засобів.

. Прибуток до сплати податку на прибуток EBT (Earnings Before Taxes) - фінансовий показник що відображає валовий (балансовий за українською термінологією) прибуток підприємства.

 (3.6)

де: %KR - сплачені підприємством відсотки за кредитні ресурси (в українській методології - розділ видатків на фінансову діяльність).

На підставі цих, а також інших фінансових показників відбувається розрахунок фінансових мультиплікаторів, які дозволяють здійснити оцінку вартості компанії на основі порівняння з аналогами.

Серед найбільш використовуємих у практиці фундаментального аналізу є наступні мультиплікатори [74]:

. P/E - (Price per share/Earning per share) - коефіцієнт «вартість бізнесу/ чистий прибуток» розраховується як відношення повної вартості компанії (капіталізації) до чистого прибутку за звітний період. Цей мультиплікатор умовно відображає, скільки років знадобиться компанії при поточному розмірі річного чистого прибутку, щоб окупити себе.

 (3.7)

або P/E = Price / Earnings ratio

де: Price - ринкова капіталізація компанії;ratio - чистий прибуток компанії.

Коефіцієнт P/E є одним з найбільш популярних показників, що застосовуються для порівняльної оцінки інвестиційної привабливості акціонерних компаній.

Чим менше цей коефіцієнт стосовно середнього, тим більше недооціненої вважається компанія в порівнянні з аналогами. Високе значення коефіцієнта може говорити як про прекрасні перспективи компанії (у плані капіталізації), так і про небажане падіння чистого прибутку компанії.

До недоліків коефіцієнта P/E можна віднести такі: якщо підприємство відобразило в бухгалтерії збитки, то при підрахунку справедливої ціни виходить негативне значення; показник прибутку легко піддається маніпуляціям через що підприємства можуть підганяти його під потрібне їм значення.

Коефіцієнт P/E є одним з основних коефіцієнтів при оцінці інвестицій, але не дає загальної картини діяльності підприємства, тому його необхідно використовувати разом з іншими коефіцієнтами.

При цьому обратний мультиплікатор Е/Р є максимальним річним рівнем прибутковості акцій, придбаних по ринковим цінам, якщо весь читий прибуток Е буде розподілений на виплату дивідендів.

. EPS (Earning per share) - рівень чистого прибутку на одну акцію, що розраховується як відношення обсягу річного чистого прибутку компанії (за винятком дивідендів по привілейованих акціях) до середнього числа акцій, що обертаються.

 (3.8)

. P/S (Price per share/Sales per share) - коефіцієнт відносини ринкової капіталізації до річного розміру виручки (обсягу продажів). Він є універсальним по своїй суті. У українських умовах, коли більшість компаній не здійснює дивідендних виплат по звичайних акціях, саме коефіцієнт відношення капіталізації до обсягу продажів у більшій мірі є застосовуємим, ніж мультиплікатор P/E.

 (3.9)

де: Price (P) - ринкова капіталізація компанії;(S) - валовий виторг.

Широке поширення даного коефіцієнта обумовлено наступними факторами:

-    Простота розрахунку. Виторг - це саме той фінансовий показник, по якому легше всього знайти інформацію.

-        Оцінювання стану компанії по виторзі більш прозоро;

         Мультиплікатор може бути визначений практично завжди (виключення становлять компанії на початковій стадії розвитку);

Але в даного мультиплікатор є й недолік. Показник не враховує різниці в ефективності операцій порівнюваних компаній. Підприємства з однаковими продажами можуть мати зовсім різну прибутковість, отже, вони будуть коштувати по-різному.

. EV/EBITDA (Enterprise Value/ Earnings Before Interest & Taxes, Amortization and Depreciation) - коефіцієнт відношення вартості компанії (залучених пайових та боргових коштів) до прибутку до сплати податків, відсотків по кредитах і амортизаційних відрахуваннях. Мультиплікатор найбільше об'єктивно відображає вартість об'єкта оцінки (компанію). При використанні мультиплікатора EV/EBITDA доцільно враховувати: величину податкової ставки, амортизації, вартість позикового капіталу, очікуваний ріст EBITDA.

 (3.10)

або Коефіцієнт «вартість компанії / прибуток до податків, відсотків і амортизації» (EV/ EBITDA) розраховується по формулі [74]:

EV/ EBITDA = Enterprise value / EBITDA

деvalue - вартості компанії з урахуванням всіх джерел її фінансування;- прибуток до відрахування видатків по відсотках, сплати податків і амортизаційних відрахувань.

. EV/S (Enterprise Value/Sales) - коефіцієнт «вартість бізнесу/виторг» відношення повної вартості компанії до її валового виторгу.

Коефіцієнти EV/S і P/S входять у групу мультиплікаторів компанії, що характеризує, на основі виторгу. Дані показники в найменшому ступені серед інших фінансових коефіцієнтів піддаються впливу розходжень у бухгалтерському й податковому обліку. З іншої сторони загальним недоліком коефіцієнтів на основі виторгу є те, що вони зовсім не враховують розходжень у рентабельності компаній. У тому випадку, якщо рентабельність оцінюваної компанії істотно відрізняється від середньої по вибірці, застосування мультиплікаторів на основі виторгу, швидше за все, дасть зміщену оцінку справедливої вартості.

Коефіцієнт «вартість бізнесу/виторг» (EV/S) розраховується по формулі:

/S = Enterprise Value / Sales (3.11)

де: Enterprise Value - вартість бізнесу;- валовий виторг.

. ROA (Return on Assets) - коефіцієнт рентабельності активів. Розраховується як відношення чистого прибутку до загальної вартості активів компанії. Цей коефіцієнт дозволяє оцінити яка економічна ефективність (рентабельність) активів, що перебувають у розпорядженні компанії.

 (3.12)

або за іншими зарубіжними позначеннями

= Income / Assets

де: Income - чистий прибуток;- середня за рік величина всіх активів підприємства.

. P/BV - коефіцієнт «вартість бізнесу/балансова вартість активів» (price per share/ book value, P/BV) - розраховується як відношення повної вартості компанії (капіталізації) до балансової вартості власних активів.

Даний мультиплікатор визначає, наскільки переоцінені або недооцінені акції компанії щодо балансової вартості, тобто скільки інвестор готовий заплатити за балансову вартість власних активів.

Балансова вартість власних активів (власний капітал) дорівнює різниці між величиною сумарних активів компанії і її зобов'язань. Низьке значення мультиплікатора (менше 1) указує на те, що акції компанії торгуються нижче їхньої балансової вартості й отже недооцінені. Порівняння акцій різних емітентів за допомогою даного коефіцієнта доцільно тільки в рамках однієї галузі.

Коефіцієнт «вартість бізнесу/балансова вартість» (P/BV) розраховується по формулі:

/BV = Price / Book value (3.13)

де: Price - ринкова капіталізація компанії;value - балансова вартість компанії.

Згідно аналітичному звіту компанії Art Capital Ukraine [97] з використанням моделі фінансових мультиплікаторів акції ПАТ «Мотор Січ» станом на 01.01.2012 «недооцінені ринком» і їх доцільно покупати, оскільки їх «справедлива» цільова ціна на 2012 рік складає 632 $, або 5056 грн./1 акцію, тобто ринкова ціна акції має потенціал росту на 116% відносно фактичного ринкового рівня станом на 31.01.2012 року.

Згідно аналітичному звіту компанії UFC Capital Ukraine [99] з використанням моделі фінансових мультиплікаторів акції ПАТ «Мотор Січ» станом на 08.08.2011 «недооцінені ринком» і їх доцільно покупати, оскільки їх «справедлива» цільова ціна на 2012 рік складає 645 $, або 5160 грн./1 акцію, тобто ринкова ціна акції має потенціал росту на 66% відносно фактичного ринкового рівня станом на 08.08.2012 року.

Компанія Sortis підтверджує рекомендацію на покупку акцій ПАТ «Мотор Січ» з цільовою ціною 3975,57 гривень за акцію, що формує потенціал росту 61,8% від ціни на 15.02.2012 року [101].

Компанія з управління активами ПрАТ «Кінто» на протязі 2012 року періодично представляє розрахунки мультиплікаторів по ПАТ «Мотор Січ», наполягає на суттєвій «недооцінці» акцій ринком та продовжує рекомендації по покупці цих акцій [83]. Але при цьому показники фінансових мультиплікаторів, розраховані ПрАТ «Кінто» 26.10.2012 та компанією UFCCapital 09.11.2012 суттєво різняться, хоч основані на одній і тій фінансовій звітності емітента. Це показує, що в розрахунках фінансових мультиплікаторів в Україні є методологічний суб’єктивізм та заангажованість аналітиків, які застосовують тренди мультиплікаторів західних фірм у відношенні до специфіки функціонування підприємств «тіньової» економіки України.

При цьому компанія «Кінто» сповіщає інвесторів, що пораховані, з урахуванням фінансових показників за 3 кв. 2012 р., трейлінгові коефіцієнти на сьогодні становлять EV/S = 0,48; EV/EBITDA = 1,1; P/E= 1,9, P/В= 0,5, які є надзвичайно низькими та вказують на потенціал зростання, що підтверджується і фундаментальною оцінкою компанії ПАТ «Мотор Січ». Враховуючи успішну діяльність компанії та перспективи її розвитку «залишаємо рекомендацію купувати акції «Мотор Січ» (26.10.2012)» [83].

«Українська біржа» за різні часові інтервали (інформація для технічного аналізу курсу акцій) [96]:

поточна біржова інформації «Української біржі» по торгівлі акціями ПАТ «Мотор Січ» за добу 05.11.2012 - 06.11.2012;

історична біржова інформації «Української біржі» по індексу курсу торгів акціями ПАТ «Мотор Січ» за останні 4 місяці (серпень - листопад) 2012 р. відносно базового рівня 6.08.2012 р.;

історична біржова інформації «Української біржі» по індексу курсу торгів акціями ПАТ «Мотор Січ» за останні 3 роки (серпень 2009 - листопад 2012 р.) відносно базового рівня 6.08.2009 р.

Таким чином, методи мультиплікаторного порівняльного прогнозу «справедливої» вартості підприємства порівняльним методом, які рекомендовані для зарубіжної практики на Україні діють з великою похибкою, що привело досліджуємий ІСІ ЗНКІФ «Синергія4», який аналітики КУА ПрАТ «Кінто» запевняють у наявності перспективи росту ринкової вартості акцій ПАТ «Мотор Січ» (що практично не хвилює менеджмент підприємства, який має 74% пакет акцій і не збирається його ані продавати, ані проводити додаткову емісію акцій) у практично до величезних втрат інвесторів.

Список джерел

цінний папір інвестиційний портфель

1. Закон України «Про інститути спільного інвестування» (нова редакція 2012 року) від 5 липня 2012 року №5080VI - [Електронний документ]. - режим доступу: http://zakon1.rada.gov.ua/laws/show/5080-17

. Закон України «Про державне регулювання ринку цінних паперів в Україні» від 30 жовтня 1996 року №448/96ВР // Із змінами і доповненнями, внесеними Законами України станом від №5178VI від 06.07.2012 - [Електронний документ]. - режим доступу: http://zakon2.rada.gov.ua/ laws/show/448/96%D0% B2% D1% 80

. Закон України «Про фінансові послуги та державне регулювання ринків фінансових послуг» від 12 липня 2001 року №2664III // Із змінами, внесеними згідно із Законами станом №3668VI від 08.07.2011 - - [Електронний документ]. - режим доступу: http://zakon1.rada.gov.ua/laws/show/2664-14

. ЗАКОН УКРАЇНИ «Про цінні папери та фондовий ринок» від 23 лютого 2006 року №3480IV // Із змінами, внесеними згідно із Законами станом №5042VI від 04.07.2012 - [Електронний документ]. - режим доступу: http://zakon1.rada.gov.ua/laws/show/3480-15

. Закон України «Про депозитарну систему України» від 6 липня 2012 року №5178VI - [Електронний документ]. - режим доступу: http://zakon2.rada.gov.ua/laws/show/5178-17

. Закон України «Про Національну депозитарну систему та особливості електронного обігу цінних паперів в Україні» від 10 грудня 1997 року №710/97ВР // Із змінами і доповненнями, внесеними Законами України від №3610VI від 07.07.2011 - [Електронний документ]. - режим доступу: http://zakon2.rada.gov.ua/laws/show/710/97%D0% B2% D1% 80

. Закон України «Про внесення змін до деяких законодавчих актів України щодо удосконалення законодавства про цінні папери» від 4 липня 2012 року №5042VI - [Електронний документ]. - режим доступу: - http://zakon2.rada.gov.ua/laws/show/5042-17/page2

. Закон України «Про акціонерні товариства» від 17 вересня 2008 року №514VI // Із змінами, внесеними згідно із Законами станом від №4969VI) від 19.06.2012 - [Електронний документ]. - режим доступу: - http://zakon2.rada.gov.ua/laws/show/514-17

9. Про схвалення Методичних рекомендацій щодо визначення вартості чистих активів акціонерних товариств // Держана комісія з цінних паперів та фондового ринку України, Рішення від 17 листопада 2004 року №485

. Про затвердження проекту рішення Комісії «Про затвердження Порядку емісії та реєстрації випуску похідних цінних паперів» // Держана комісія з цінних паперів та фондового ринку України, Рішення від12 червня 2007 року №1319

. Про затвердження Положення про порядок розміщення, обігу та викупу цінних паперів інституту спільного інвестування // Рішення Державної комісії з цінних паперів та фондового ринку від 9 січня 2003 року №3 (Із змінами і доповненнями, внесеними рішеннями Державної комісії з цінних паперів та фондового ринку станом від 30 травня 2005 року №250)

. Про затвердження Положення про порядок реєстрації випуску інвестиційних сертифікатів пайового інвестиційного фонду при їх розміщенні шляхом прилюдної пропозиції // Рішення Державної комісії з цінних паперів та фондового ринку від 8 січня 2002 року №10 (Із змінами і доповненнями, внесеними рішеннями Державної комісії з цінних паперів та фондового ринку від 30 серпня 2005 року №455)

. Про затвердження Положення про порядок реєстрації випуску інвестиційних сертифікатів пайового (венчурного, недиверсифікованого) інвестиційного фонду при їх приватному розміщенні // Рішення Державної комісія з цінних паперів та фондового ринку від 8 січня 2002 року №9 (Із змінами і доповненнями, внесеними рішеннями Державної комісії з цінних паперів та фондового ринку від 30 серпня 2005 року №454)

. Про затвердження Типових інвестиційних декларацій // Держана комісія з цінних паперів та фондового ринку України, Протокол засідання Комісії від 3 липня 1997 р. №13

15. Положення про функціонування фондових бірж, затверджене рішенням ДКЦПФР від 19.12.2006 р. №1542.

. Положення про порядок визначення вартості чистих активів інститутів спільного інвестування (пайових та корпоративних інвестиційних фондів), затверджені Рішенням ДКЦПФР від 02.07.2002 р. №201.

. Програма розвитку фондового ринку на 2011-2015 роки, схвалена рішенням ДКЦПФР від 21.09.2010 р., №1478 // Одеське територіальне управління ДКЦПФР. [Електронний ресурс]. - Доступний з http://www.od.ssmsc.gov.ua/%28S % 28lrtiodrs5ch02m55imz0 mt 55% 29% 29/ShowArticle.aspx? ID=335.

. Акелис, Стивен Б. Технический анализ от А до Я: Полный набор инструментов торговли… от абсолютного индекса ширины до японских свечей / Стивен Б. Акелис; [пер. с англ. М. Волковой, А. Лебедева]. - М.: Евро: СмартБук, 2010. - 365 с.

. Антонов С.М., Шишков С.Є. Визначення ринкової вартості цінних паперів: основні проблеми та шояхи їх вирішення / С.М. Антонов, С.Є. Шишков // Економіка і прогнозування. 2010. - №1. - С. 67-98

. Батищев В.О. Фондовая биржа и инструменты фондового рынка. - М.: Международные отношения, 2002. - 272 с.

. Биржевая деятельность. Учебник / Под ред. проф. А.Г. Грязновой, проф. Р.В. Корнеевой, проф. В.А. Галанова., 3е изд., - М.: Финансы и статистика, 2003. - 457 с.

. Білоус І.В. Посткризові перспективи ринку корпоративних облігацій України /І.В. Білоус // Фінанси України. - 2010. - №9. - С. 100-106.

. Бланк И.А. Финансовый менеджмент. - К.: Никацентр, Эльга, 2004. - 699 с.

. Бланк И.А. Инвестиционный менеджмент: Учебный курс. - К.: Никацентр, Эльга, 2001. - 448 с.

. Бородулин В. Рынки ценных бумаг США. - М.: Московская центральная фондовая биржа, 2004. - 520 с.

. Боярко І. М., Гриценко Л.Л. Інвестиційний аналіз: Навч. посіб. - К.: Центр учбової літератури, 2011. - 400 с.

. Боди З., Кейн А., Маркус А. Принципы инвестиций, 4е издание.: Пер. с англ. - М.: Издательский дом «Вильямс», 2002. - 984 с.

. Борщ Л.М. Інвестування: теорія і практика: навч. посіб. - 2ге вид., перероб. і доп. / Л.М. Борщ, С.В. Герасимова. - К.: Знання, 2007. - 685 с.

. Буренин А.Н. Рынок ценных бумаг и производных финансовых инструментов: Учеб. пособие. - М.: Научнотехническое общество им. академика С.И. Вавилова, 2002. - 348 с.

. Буренин А.Н. Фьючерсные, форвардные и опционные рынки. - М.: Тривола, 2002. - 240 с.

. Ван Хорн, Джеймс К.С. Основы финансового менеджмента / Джеймс С. Ван Хорн, Джон М. Вахович, мл.; [пер. с англ. О.Л. Пелявского; под ред. А.А. Старостиной]. - М.: Вильямс, 2010. - 1225 с.

. Васильев Г.А., Каменева Н.Г. Организация фондового рынка в Западной Европе / ВЗФЭИ. - М.: Экономическое образование, 2003. - 324 с.

. Васильев Г.А., Каменева Н.Г. Фондовый рынок и товарные биржи., 3е изд. переработанное. - М.: Высшая школа, 2001.317 с.

. Ватаманюк З.Г. Перспективи розвитку ринку цінних паперів в Україні / З.Г. Ватаманюк, О.В. Баула // Фінанси України. - 2010. - №5. - С. 75-85.

35. ВАТ «ЗНКIФ «Синергія4» - звітні дані на Інтернет - сайті Державної комісії з цінних папері та фондового ринку України // http://www.smida.gov.ua

36. Вергун В.А. Інститути спільного інвестування в умовах глобалізації світових фінансових ринків. Серія «Міжнародний бізнес»/ В.А. Вергун, О.І. Ступницький, В.М. Коверда, Т.В. Волковинська. - К.: Видавничополіграфічний центр «Київський університет», 2009. - 512 с.

. Голубович А.Д., Миримская О.М. Биржевая торговля и инвестирование в США., 5е изд. - М.: МЕНАТЕПИНФОРМ, 2004. - 678 с.

. Гудков Ф.В. Инвестиции и ценные бумаги. - М.: ИНФРАМ, 2001. - 263 с.

. Дамодаран А. Инвестиционная оценка: Инструменты и методы оценки любых активов/ А. Дамодаран; пер. с англ. - 7е изд. - М.: Альпина Паблишер, 2011. - 1324 с.

. Довбенко М., Довбенко О. Сучасна теорія портфельних інвестицій // «Економіка України». Науковий журнал, №4 (521), квітень 2005. - С. 81-92 - Адреса сторінки: http://dovbenko.kiev.ua/ua/published/articles/1107/

. Долинский Л.Б. Актуальные вопросы экспертной оценки долговых ценных бумаг в Украине / Л.Б. Долинский // БизнесИнформ. - 2010. - №3 (1). - С. 14-17.

. Долінський Л.Б. Теоретичне підґрунтя інвестиційної оцінки цінних паперів в Україні / Л.Б. Долінський // Фінанси України. - 2008. - №5. - С. 87-95.

. Долінський Л.Б. Фінансові обчислення та аналіз цінних паперів: Навчальний посібник. - К., Майстерклас, 2005. - 192 с.

. Драчев С.Н. Фондовые рынки США. Основные понятия, механизмы, терминология. - М.: ЦерихПЭЛ, 2001. - 184 с.

. Інструменти та установи фінансового ринку: енцикл. довідник / [за ред. В.В. Фещенка; кер. проекту В.В. Фещенко]. - К.: Укр. агенство фінансового розвитку, 2007. - 504 с.

. Звіт Державної комісії з цінних паперів та фондового ринку за 2010 рік. [Електронний ресурс]. - Режим доступу до ресурсу: http://www.ssmsc.gov.ua

. Звіт Державної комісії з цінних паперів та фондового ринку за перше півріччя 2011 року [Електронний ресурс]. - Режим доступу до ресурсу: http://www.ssmsc.gov.ua/user_files/content/58/1314361768.pdf.

. Звіт Національної комісії з цінних паперів та фондового ринку за 2011 рік [Електронний ресурс]. - Режим доступу до ресурсу: http://www.nsmsc.gov.ua/user_files/content/58/1314361768.pdf.

. Звіт Національної комісії з цінних паперів та фондового ринку за перше півріччя 2012 року [Електронний ресурс]. - Режим доступу до ресурсу: http://www.nsmsc.gov.ua/user_files/content/58/1314361768.pdf.

50. Кан, Майкл Н. Технический анализ: Просто и ясно / Майкл Н. Кан; [пер. с англ. Е. Колотвиной; под. ред. А.А. Куликова]. - 2е изд. - СПб.: Питер, 2008. - 315 с.

51. Коваленко Л.О. Фінансовий менеджмент: навч. посібн. / Л.О. Коваленко, Л.М. Ремньова. - К.: Видво «Знання», 2005. - 485 с.

52. Колби, Роберт. Энциклопедия технических индикаторов рынка / Роберт Колби; [пер. с англ. А.И. Левинзон; науч. ред. А.М. Дзюра]. - 3е изд. - М.: Альпина Паблишерз, 2009. - 837 с.

53. Колб Роберт У. Финансовые деривативы // Учебник. - М.: Изд. «Филинъ», 2001.411 с.

. Кондрашихин А.Б. Фондовый рынок (рынок ценных бумаг): [учебное пособие] / А.Б. Кондрашихин, В.Г. Рожманов, Т.В. Пепа, В.А. Федорова. - К.: Центр учебной литературы, 2008. - 376 с.

. Костюкевич Р.М. Інвестиційний менеджмент. Навчальний посібник. - Рівне: НУВГП, 2011. - 270 с.

. Кравчук А.Н. Обращение и регистрация ценных бумаг в странах Западной Европы, США и Японии. - М.: ИНФРАМ, 2003. - 573 с.

. Лысенков Ю.М., Фетюхина Н.В., Зельцер Е.Р. Международный фондовый рынок., 3е изд. - К.: Киевский институт банкиров банка «Украина», 2004. - 451 с.

Похожие работы на - Аналіз цінних паперів у процесі портфельного інвестування

 

Не нашли материал для своей работы?
Поможем написать уникальную работу
Без плагиата!
Без нейросетей!