|
Dш1
|
Dш2
|
Dш3
|
Dш4
|
Dш5
|
Dш6
|
Dш7
|
Dш8
|
|
28,8
|
28,9
|
29,0
|
29,1
|
29,2
|
29,3
|
29,4
|
29,5
|
|
Dш9
|
Dш10
|
Dш11
|
Dш12
|
Dш13
|
Dш14
|
Dш15
|
Dш16
|
|
29,6
|
29,7
|
29,8
|
29,9
|
30,0
|
30,1
|
30,2
|
30,3
|
|
Dш17
|
Dш18
|
Dш19
|
Dш20
|
Dш21
|
Dш22
|
Dш23
|
Dш24
|
|
30,4
|
30,5
|
30,6
|
30,7
|
30,8
|
30,9
|
31,0
|
31,1
|
|
Dш25
|
Dш26
|
Dш27
|
Dш28
|
Dш29
|
Dш30
|
Dш31
|
Dш32
|
|
31,2
|
31,3
|
31,4
|
31,5
|
31,6
|
31,7
|
31,8
|
31,9
|
|
Dш33
|
Dш34
|
Dш35
|
Dш36
|
Dш37
|
Dш38
|
Dш39
|
Dш40
|
|
32,0
|
32,1
|
32,2
|
32,3
|
32,4
|
32,5
|
32,6
|
32,7
|
|
Dш41
|
Dш42
|
Dш43
|
Dш44
|
Dш45
|
Dш46
|
Dш47
|
Dш48
|
|
32,8
|
32,9
|
33,0
|
33,1
|
33,2
|
33,3
|
33,4
|
33,5
|
|
Dш49
|
Dш50
|
Dш51
|
|
|
33,6
|
33,7
|
33,8
|
|
|
|
|
|
|
|
|
|
|
|
|
|
|
|
|
|
|
|
|
Таблица 3 - Диаметры чистовых шлицевых зубьев.
|
Dз1
|
Dз2
|
Dз3
|
Dз4
|
|
33,88
|
33,93
|
33,97
|
34,0
|
Шаг калибрующих зубьев (стр. 207, [1]):
tк = 0,7· tp ,
tк = 0,7*8»6мм,
следовательно:
h=2.5 мм,
С=2мм,
R=4мм,
r=1.25мм.
Число калибрующих зубьев (стр. 207, [1]):
Zк = 7
Длина калибрующей части (стр. 207, [1]):
lк = tк· Zк,
к =6·7 =42мм.
Диаметр калибрующих зубьев (стр. 207, [1]):
Dк = Dmax
,
где:max=34,025
- максимальный диаметр наружного отверстия,
d=0,02 - допуск на усадку, тогда:
Dк=34,025
0,02.
Длина
задней направляющей (стр. 208, [1]):
lз = L = 34 мм.
Общая
длина протяжки (стр. 208, [1]):
Lпр. =
,
Lпр. =314 + 56 + 440+ 42 + 34 = 886мм.
Допустимая
длина протяжки (стр. 208, [1]):
Lпр.max =40 ·D0 ,
где:
D0=34мм -
номинальный наружный диаметр протяжки, тогда:
Lпр.max =34·40=1360мм.
Необходимая
длина рабочего хода (стр. 208, [1]):
lp.х =
+
+ L,
lp.х = 56 + 440 + 42 + 34=572мм.
Определение
в10 (стр. 210, [1]):
в1
= 450 - arcsin
,
где:
вш=7мм
- ширина шлица,
dв=28мм - внутренний диаметр
шлицевого отверстия, тогда:
в1
=450 - arcsin
= 30.520.
Вспомогательная
величина N (стр. 210, [1]):
N =
,
N =
=13,97.
Величина
М (стр. 210, [1]):
М= N·sinв1+
М=
13,97·sin30.520+
*cos30.520=
7,2+2,54= 10,11мм.
Угол
в (стр. 210, [1]):
в
=
+2· в1 ,
где:
nш=6 - количество шлицев, тогда:
в
=
+2·30.520 = 121,040.
Ширина
площадки (стр. 210, [1]):
Р
=
-вш - 2 Дh - 2f
-0,5 ,
где:
Дh=0,8мм
- высота площадки, тогда:
Р =
-7
-2·0,8 - 2·0,4 - 0,5 = 4,76мм
з.н = Dо-(0,5…0,8),
з.н = 34 - 0,7 =33,3мм.
Размер
фаски 1,5х450 (согласно ГОСТ 24818-81)
Принимаем
передний угол протяжки для обрабатываемого материала с (НВ<190 [2], стр.
171):
g=16…200,
g=200.
Принимаем
задний угол a для зубьев ([2], стр. 170):
- черновых: 30
чистовых: 20
калибрующих: 10
Основные размеры стружечных канавок обеих форм определяются следующими
соотношениями, установленными экспериментально: глубина стружкоразделительных
канавок hk = (0,4…1 )мм, а их ширина Sk = (0,6…1,2) мм.
Профиль стружкоразделительных канавок может быть прямоугольным и угловым с
углом щ = 45…60°. Радиус закругления дна канавки rk = (0,2…0,5) мм.
Принимаем:k =0,6мм,k =0,8мм,k =0,4мм,
щ=60 0.
Рисунок 4 - Стружкоразделительные канавки
Расстояние от края главных режущих кромок до первой канавки должно быть
не менее 2...2,5 мм, так как при меньших значениях будет ослабленный участок
режущей кромки и этот участок быстро изнашивается. В=4,5мм.
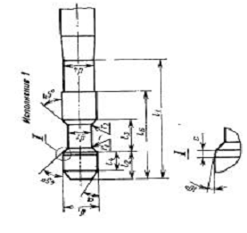
Рисунок 5 - Геометрические параметры хвостовика протяжки, ГОСТ 4044-70
Принимаем:
d1=25мм,
d2=19мм,
d4=25-0,5-1,0 мм,
l1=140мм,
l2=25мм,
l3=25мм,
l4=16мм,
l5=120мм,
r1=0,3мм,
r2=1мм,
c=1мм,
a=30°.
.4 Конструкция рассчитанной протяжки
Таким образом, в результате проектирования, заданная протяжка будет
состоять из:
хвостовика,
передней направляющей,
фасочных зубьев,
шлицевых зубьев,
калибрующих зубьев,
задней направляющей.
Согласно расчетам общая длина протяжки составит 886мм. Необходимая длина
рабочего хода, для обеспечения протягивания составляет 572мм. Хвостовик
изготовляется согласно исполнению 1 по ГОСТ 4044-70. Профили зубьев,
стружкоразделительных канавок, передней и задней направляющих определены в ходе
расчета. Все диаметры зубьев также указаны выше. Протяжка устанавливается в
специальный патрон, на протяжном станке. Так как протяжка имеет только один
хвостовик, то вспомогательный патрон не нужен.
2. Проектирование развертки
Развертывание представляет собой процесс обработки отверстий с целью
получения повышенной чистоты и точности. Развертка - это многозубый инструмент,
который подобно сверлу и зенкеру в процессе обработки совершает вращение вокруг
своей оси (главное движение) и поступательно перемещается вдоль оси, совершая
движение подачи.
Развертывание позволяет получить отверстие 2-3-го класса точности и
7-8-го класса чистоты обработанной поверхности.
Все развертки делятся на две категории - развертки ручные и развертки
машинные:
ручные развертки предназначены для обработки отверстий вручную.
На квадрат ручной развертки надевается вороток, с помощью которого производятся
вращательные движения,
машинные развертки предназначены для обработки отверстий на
станке. Как ручные развертки, так и машинные развертки представлены с широким
диапазонов диаметров.
По форме обрабатываемого отверстия развертки можно разделить на:
цилиндрические, применяемые для обработки круглых цилиндрических
отверстий,
конические, используемые для обработки конических отверстий .
По способу закрепления развертки могут быть:
хвостовые,
насадные.
По исполнению:
цельные,
сборные.
Развертки относительно малого диаметра изготовляются с
цилиндрическим или коническим хвостовиком, который служит для ее закрепления на
станке, либо в воротке с квадратным отверстием при работе вручную.
Развертка состоит из рабочей части, шейки и хвостовика (рис.1).
Назначение шейки и хвостовика у разверток такое же как у сверл и зенкеров.
Рабочая часть включает режущую и калибрующую части и направляющий конус,
который служит для предохранения от повреждений и облегчения попадания
развертки в отверстие.
Режущая (заборная) часть развертки представляет собой конус, на
поверхности которого образованы зубья.
Передний угол разверток обычно принимается равным нулю, поскольку
развертка работает в зоне малых толщин срезаемого слоя, характер протекания
процесса резания зависит главным образом не от переднего угла, а от радиуса
закругления режущей кромки. На черновых развертках и при обработке вязких
материалов передний угол равен 5-10°. Задние углы у разверток колеблются в
пределах 4-8°.
Рисунок 6- Элементы цилиндрической развертки
Калибрующая часть состоит из цилиндрического участка и участка с обратной
конусностью. Передние и задние поверхности зубьев развертки, как на режущей
части, так и на калибрующей части, выполняются плоскими.
.1 Исходные данные
Диаметр отверстия: 20Н7,
Материал заготовки: Сталь10Г,
Тип развертки: цилиндрическая, хвостовая, машинная.
.2 Материал развертки
Для обработки заготовки из материала Сталь10Г, рабочую часть разверток
изготовляют из быстрорежущей стали марки Р6М5, Р9, Р18, легированной стали
марки 9ХС, или твердого сплава марок ВК6, ВК6М, ВК8, ВК10 (стр. 415, [4]).
Для обработки заготовки из материала Сталь10Г принимаю материал развертки
быстрорежущую сталь Р6М5. Быстрорежущая сталь хоть и дороже легированной, но
она прослужит дольше и в результате обойдется дешевле менее износостойкой,
легированной стали и значительно дешевле твердого сплава. Р6М5 имеет хорошую
прочность и износостойкость (почти на равнее с Р18 но несколько дешевле) из за
примеси молибдена, что является важным параметром выбора материала для
обработка на высоких скоростях.
.3 Расчет развертки
Начальные даны для расчета:
Диаметр отверстия:
D=20Н7
Количество зубьев (стр. 90, [6]):
Z=1,5D0,5+(2…4)
Z=1,5·200,5+2=8
Длина режущей части (стр. 86, [6]):
Lp=(1,3…1,4) ·h·ctgj
j =15° -
главный угол в плане,
h
=0,3мм - припуск под разворачивание, тогда:
Lp=1,4·0,3·ctg15=2,5мм
Допуск на диаметр калибрующей части развертки (стр. 82, [6]):
D=20+0,017+0,009
Согласно ГОСТ 1672-80 выбираем необходимые параметры развертки для
диаметра 20мм:
Рисунок 7 - Конструкция развертки.
L=228мм,
d=20мм,
Конус №2.
Рисунок 8 - Геометрические параметры развертки.
с=1мм,
f1=1мм,
l3=2,5мм,
f=0,2мм,
l2=4мм,
d2=d-0,05мм
a=10±2°.
Рисунок 9 - Профиль канавок развертки.
f1=1,4мм,
r=0,5мм,
b=80°.
Рисунок 4 - Разбивка шагов зубьев.
Для развертки с 8 зубами неравномерное распределение углов,
соответственно:
Согласно ГОСТ 13779-77 предельные отклонения на изготовления диаметра
чистовых разверток для отверстия поля допуска Н7 составляют: Æ20+0,017+0,009 мм.
Геометрические параметры конуса (стр. 85, [6]):
Конусность 1:20
d=17,78мм
d1=18мм
d2=14мм
l=80мм
l1=16мм
l2=5мм
R=6мм
Рисунок 10 - Конус Морзе
.4 Конструкция рассчитанной развертка
Проектируемая машинная развертка имеет режущую часть (2,5 мм),
калибрующую часть с обратным конусом (4мм), общая длина рабочей части 60мм. К
рабочей части развертки приварен хвостовик с конусом Морзе №2, который
устанавливается в оправку. Общая длина развертки 228мм. Инструмент имеет 8
зубьев, разбивка их шагов определена в ходе проектирования.
3. Проектирование метчика
Метчик - режущий инструмент для нарезания резьбы в предварительно
просверленном отверстии. Метчик представляет собой цилиндрический валик,
имеющий на одном конце режущие кромки. Другой конец метчика (хвостовик)
предназначен для закрепления в патроне или удержания его в воротке во время работы.
Основные типы метчиков.:
ручные - предназначены для нарезания резьб вручную комплектом,
состоящим из двух или трех штук;
гаечные - для нарезания за один проход полной резьбы в сквозных
отверстиях;
машинные - для нарезания резьбы главным образом в глухих
отверстиях на сверлильных станках, автоматах и специальных агрегатных станках
(В основном выпускаются штучные, но бывают и в комлектах из 2-х или 3-х штук);
станочные - для получения резьбы в сквозных отверстиях на
гайконарезных станках;
бесканавочные (раскатники) - для нарезания за один проход резьбы
в сквозных отверстиях;
автоматные - для нарезания резьбы в гайках на гайконарезных
автоматах;
Рабочая часть метчика состоит из заборной и калибрующей частей.
Калибрующая часть служит для зачистки и калибрования резьбы и обеспечения
правильного направления. Для уменьшения трения калибрующая часть имеет
незначительный обратный конус.
Хвостовая часть метчика представляет собой стержень, конец хвостовика у
ручных, а иногда и машинных метчиков имеет форму квадрата.
Профиль канавки метчика оказывает влияние на процесс нарезания резьбы и
должен способствовать отводу стружки.
Передний угол метчика г = 5-10° для обработки стали, 0-5° для обработки
чугуна и 10-25° для обработки цветных металлов и сплавов.
Задний угол б = 4-12° получают затыловкой режущей (заборной) части по
наружному диаметру.
Обычно метчики изготовляются с прямыми канавками, но для лучшего отвода
стружки канавки изготовляют с углом наклона е = 8-15°.
.1 Начальные данные
Резьба: М16x2-7h(7H),
Материал заготовки: Сталь 15ХГ,
.2 Материал метчика
Обработка материала Сталь 15ХГ может проводиться легированной
инструментальной и быстрорежущей сталью.
Метчики изготавливаются из стали Р18, Р9, Р6М5 или ХГ, ХГС и
предназначены для резьб: метрических - до М52, заданная резьба - М16 (стр. 421,
[4])
Принимаем для обработки данной заготовки, из материала Сталь 15ХГ,
быстрорежущую сталь Р18. Легированная сталь имеет меньшую износоустойчивость по
сравнению с быстрорежущей сталью, а среди данных быстрорежущих сталей
наибольшую износостойкость и прочность имеет сталь Р18, так как в ней
наибольшее содержание вольфрама, что есть крайне важно в условиях работы в
серийном, крупносерийном производстве.
.3 Расчет метчика
Начальные даны для расчета:
D=16мм,
Р=2мм,
TD=0,019мм.
Определение параметров внутренней резьбы детали(стр. 144, [3]):
D2=D-2+0,701,
D1=D-3+0,835,
D2= 16-2+0,701=14,701мм,
D1= 16-3+0,835=13,835мм.
Угол профиля метрической резьбы:
a=60°
Тип метчика: Машинно-ручной для нарезания метрической резьбы, одинарные и
в комплекте из 2х штук, для сквозных и глухих отверстий.
Окончательное значение количества метчиков в комплекте принимается после
проверки условия (стр. 436, [4]):
Mр£Мк
где:
Mр - крутящий момент резьбонарезания,
Мкр - критический крутящий момент.
Крутящий момент резьбонарезания(стр. 17, [5]):
Мр=Cm*Dqm*Pym*Kґm*Kз,
где:
Cm=0,27 - коэффициент и показатели степени, учитывающие материал заготовки
и рабочей части метчика,
qm=1,4 - коэффициент и показатели степени, учитывающие материал заготовки и
рабочей части метчика,
ym=1,5 - коэффициент и показатели степени, учитывающие материал заготовки и
рабочей части метчика,
Kґm=0,8 - коэффициент, учитывающий тип
метчика и обрабатываемый материал,
Kз=2,5 -коэффициент, учитывающий
влияние затупления метчика, тогда:
Мр= 0,27·161,4·21,5·0,8·2,5=74,08 Нм.
Критический крутящий момент, допускаемый прочностью метчика(стр. 17,
табл. 1.5, [5]):
Mкр=104 Нм,
тогда:
<104
Mр<Мкр,
условие соблюдается, следовательно обработка проводится один
инструментом.
Число перьев (стр. 21, табл. 1.10, [5]):
Z=3.
Длина режущей части (стр. 21, табл. 1.9, [5]):
L1=(6¸8)P,
L1=7·2=14мм.
Диаметр переднего торца метчика (стр. 20, [5]):
Dt=D1-(0,1¸0,15),
Dt= 13,835-0,1=13,735мм.
Главный угол в плане (стр. 18, [5]):
j=arctg[(D-Dt)/2L1],
j=arctg[(16-13,735)/2·14]=4,62°.
Толщина срезаемой стружки (стр. 18, [5]):
Az=(P/Z) ·sinj,
Az=(2/3) ·sin4,62=0,05мм.
Длина калибрующей части (стр. 22, табл. 1.11, [5]):2=16мм.
Резьбу калибрующей части выполняют с обратной конусностью (уменьшение диаметров
D, D1, D2 в направлении к хвостовику) в пределах (0,04¸0,08)мм на 100мм. Принимаем значение
0,05мм.
Диаметр сердцевины и ширины
пера (стр. 22, табл. 1.12, [5]):С=(0,38-0,40)d,=(0,30-0,32)d,С=0,4·16=6,4мм,=0,32·16=5мм.
Передний угол при вершине (стр.
27, табл. 1.14, [5]): g=10°
Задний угол (стр. 27, табл.
1.14, [5]): a=5°
Принимаем 2х радиусный
профиль стружечных канавок:
Рисунок 11- Профиль
стружечных канавок метчика и зубьев фасонной фрез
Размеры профиля стружечных
канавок (стр. 23, табл. 1.13,
[5]):C=9,0,=4,=4,32,=2,0,=2,0,=6,53,1=3,1,1=10,4,=10,5.
Величина угла скоса
определяется по формуле (стр. 25, [5]):
l=arctg (H/(L1+P)),
где:
Н = (0,5 - 0,7)· b -
высота скоса, тогда:
Н = 0,5·4,8=2,4мм,
l= arctg (2,4/(14+2))=8,53°.
Величина падения затылка
определяется (стр. 27, [5]):
= (р ·D/Z) ·tgб,= (3,14·16/3)
·tg5=1,46мм.
Метчики диаметром D = 3 ч 52
мм затылуются (шлифуются) по всему профилю зубьев режущей и калибрующей частей
на величину K1 = 0,01- 0,1 мм т. е. затылуются «наостро». При этом образуются
задние углы и на боковых сторонах зубьев. Это приводит к резкому уменьшению
налипания металла на боковые стороны зубьев метчика, снижению силы трения и
уменьшению крутящего момента.
Принимаем:1 =
0,05мм.
Класс точности метчика - 4
(стр. 30, табл. 1.15, [5]).
Поле допуска на средний
диаметр резьбы гайки степени точности 7H по ГОСТ 16093-2004:2(7)=0,265мм.
Допуск на средний диаметр
резьбы метчика (стр. 30, [5]):
2 = 0,2·TD2(7),
2 = 0,2·0,265=0,053мм.
Нижнее отклонение на D2
согласно 4 классу точности (стр. 33, табл. 1.18, [5]):
D2 = +0,7 TD2(7),
D2 = 0,7·0,265=0,1855мм.
Средний диаметр резьбы
метчика (стр. 30, [5]):
D2 = (D2+ eiD2+ TD2 ) - TD ,
D2 =
(14,701+0,1855+0,053)-0,053=14,8865мм.
Верхнее отклонение (стр. 33,
[5]):
esD2 =
eiD2 + TD2,
D2 = 0,1855+0,053=0,2385мм.
Гарантированный запас на
износ по среднему диаметру (стр. 34, [5]):
∆2 = esD2
- eiD2 ,
∆2 =
0,2385-0,1855=0,053мм.
Разбивка резьбы (стр. 34,
[5]):
д2 = D2max - esD2,
где:
D2max= D2+ESD2 - максимальное
значение среднего диаметра, тогда:
D2max =14,701+0,265=14,966мм,
д2 =
14,966-0,2385=14,7275мм.
Нижнее отклонение наружного
диаметра резьбы метчика (стр. 35, [5]):
eiD = 0,4·TD2(7),
eiD=0,4·0,265=0,106мм.
Допуск на наружный диаметр
резьбы метчика (стр. 35, [5]):
= 0,3· TD,
=0,3·0,018=0,0054мм.
Наружный диаметр резьбы
метчика (стр. 35, [5]):
d = (D + eiD
+ TD ) - TD,
=
(16+0,106+0,0054)-0,0054=16,106мм.
Внутренним диаметром метчик
не должен срезать стружку, и поэтому верхнее отклонение esD1 < 0. Нижнее
отклонение eiD1 не
устанавливается, поэтому:
D1 max = D1=13,835мм.
Отклонение на угол профиля
резьбы назначают с учетом обеспечения симметричности профиля (допуск назначают
на половину угла б/2. При шаге резьбы 0,25-5,0 мм допуск на половину угла Tб/2
= ± (40…15)ґ для метчиков класса точности 1, 2, 3 и Тб/2 = ± (80…20)ґ для
метчиков класса точности 4.
Для нешлифованных метчиков
четвертого класса точности предельные отклонения по шагу равны ± 0,05 мм для
всего диапазона диаметров и шагов.
Наружный диаметр (стр. 36,
табл. 1.20, [5]):
D= 16,106+0,173+0,068.
Средний диаметр (стр. 36,
табл. 1.20, [5]):
D2= 14,8865+0,119+0,051.
Внутренний диаметр (стр. 36,
табл. 1.20, [5]):
D1= 13,835-0,1100.
Шаг резьбы (стр. 36, табл.
1.20, [5]):
P=2±0,050мм.
Предельные отклонения
половины угла профиля (стр. 36, табл. 1.20, [5]):
б/2=±25ґ.
Рисунок 12 - Схема к
определению передних и задних углов в нормальных сечениях на боковых и
вершинных режущих кромках заборного конуса метчика.
Диаметр хвостовика (стр. 40,
табл. 1.22, [5]):
D3=12мм.
Размеры квадрата (стр. 40,
[5]):
a= 10мм.
Быстрорежущие машинно-ручные
метчики с диаметром D > 12 мм и гаечные диаметром D ≥ 10 мм делаются
сварными. Сварной шов располагается на расстоянии LC от переднего
торца:
C = L1 + L2 + 20 ,
C = 16+14+20=50мм.
Длина машинно-ручных метчиков
L в соответствии с ГОСТ 3266-81:=102мм.
Длина цапфы (стр. 40, [5]):Ц=14мм.
Ширина канавки для выхода
шлифовального круга (стр. 40, [5]): К=0.
Глубина отверстия (стр. 40,
[5]):1=0.
Длина выхода калибрующей
части метчика из отверстия (стр. 40, [5]): В=6мм.
Длина резьбы с полным
профилем в заготовке (стр. 40, [5]):Р =16мм.
Расстояние от торца патрона
до заготовки (стр. 40, [5]):Т=10мм.
Длина хвостовика, находящаяся
в патроне или в цанге (стр. 40, [5]):Хп=29мм.
Длина машинно-ручных метчиков
L расчетная (стр. 40, [5]):
= LЦ+ LК+
L1+LВ+LР+LТ+LХn,
= 14+6+16+10+29=75мм.
Если расстояние L меньше
выбранного по ГОСТ, то принимаем гостовское значение. Принимаем:=102мм.
Рисунок 13 - Схемы к расчету
длины метчика при нарезании резьбы в сквозном отверстии
Рисунок 14 - Геометрические
размеры метчика
Рисунок 15 - Исполнение
хвостовика для диаметра метчика больше 5мм
L=102мм , l=32мм,
t1=12мм , j=6°,
l3=20мм , d1=12,5мм,
R=6мм , d3=11мм.
3.4 Конструкция рассчитанного
метчика
Режущая часть рассчитанного
метчика из быстрорежущей стали Р18, длиною 38мм, хвостовик из Стали 40Х. Общая
длина метчика 102мм. Метчик имеет 3 пера, канавки между ними изготавливаются
фасонной фрезой. Метчик нарезает заданную резьбу М16х2. На конце хвостовика,
диаметром 12мм, который устанавливается в метчикодержатель, выполнен
специальный квадрат для передачи момента, размером 10х10мм. Сам
метчикодержатель устанавливается в патрон.
4. Проектирование дискового
шевера
Дисковый шевер находит
наибольшее применение и представляет собой цилиндрическое зубчатое колесо,
сопряженное с нарезаемым, на боковой поверхности зубьев которого образованы
стружечные канавки. Оси шевера и обрабатываемого зубчатого колеса являются
скрещивающимися прямыми.
При обработке шевер и колесо
вводятся в беззазорное зацепление и образуют винтовую передачу. Шевер
приводится во вращение и ведет обрабатываемое зубчатое колесо, насаженное на
оправку, свободно установленную в центрах. Как известно, винтовая пара
характеризуется точечным контактом зубьев, т. е, мгновенным контактом между
шевером и зубчатым колесом, который будет происходить не по линии, как при
шевинговании рейкой, а в одной точке. Точки контакта, наблюдаемые в различные
моменты времени, образуют на поверхности зуба линию, идущую на боковой
поверхности от дна впадины до вершины зуба. Эта линия контакта и будет
обработана шевером при неизменном взаимном расположении осей шевера и колеса.
Поэтому, чтобы обработать
полностью боковую поверхность зубьев, обрабатываемому колесу сообщают
возвратно-поступательное движение вдоль своей оси. После каждого двойного хода
колеса происходит радиальная подача, т. е. оси шевера и колеса сближаются до
тех пор, пока толщина зубьев обрабатываемого колеса не будет равна требуемой.
<#"655800.files/image035.gif">
Межосевое расстояние (стр. 415, [6]):
А=0,5m(z1+z2),
А=0,5·2,25·
(52+36)=99мм.
Угол зацепления в зубчатой передаче (стр. 415, [6]):
at=arcos[(Db1+Db2)/2A],
at=arcos[(109,94+76,11)/2*99]=20°.
Длина активной линии зацепления сопряженных колеса и шестерни (стр. 415,
[6]):

где:
Da= Dд+2m,
где:
Da - основной
диаметр колеса, тогда:
Da1=117·2·2,25=121,5мм,
Da2=81·2·2,25=85,5мм,
тогда:

11,48мм.
Радиус
кривизны в точке начала активной части профиля зубцов колеса (стр. 415, [6]):
Необходимое
перекрытие активной части профиля зубьев колеса в процессе шевингования (стр.
415, [6]):
Дl=0,15m/sinat,
Дl=0,15·2,25/sin20=0,9868мм.
Наибольший
радиус профиля зубца шевера с учетом перекрытия обработкой активной части
профиля колеса (стр. 415, [6]):
r0=sins0(L-(r1-Дl)/sins),
r0=sin90(54,33-(14,38-0,9868)/sin80,61)=40,76мм.
Диаметр
друга выступов шевера (стр. 415, [6]):
Величина
радиального зазора между шевером и шестерней (стр. 416, [6]):
Дr≥0,2m,
Дr≥(Dд+Dд0)-(Da0+Df),
где:
Df=Dд- 2·1,2·m,
где:
Df - диаметр по
впадинам, тогда:
Df1=117-2·1,2·2,25=111,6мм,
Df2=81-2·1,2·2,25=75,6мм,
тогда:
Дr≥0,2·2,25=0,45,
Дr1≥(117+171,35)-(
+111,6)=0,97,
Дr2≥(81+171,35)-(
+75,6)=
0,97, тогда:
,97˃0,45, условие выполняется.
Шаг
по нормали на начальных цилиндрах шевера и колеса (стр. 416, [6]):
P=р·cosb·D1/z1,
P=р·cos0·117,76/52=7,11мм.
Толщина
зуба шевера по делительному кругу, тогда:
Sд0=0.5·р·m,
Sд0=0,5·р·2,25=3,53мм.
Высота
головки зубца шевера (стр. 416, [6]):
Ha0=1,1m,
Ha0=1,1·2,25=2,75мм.
Торцевой
угол давления на внешнем диаметре шевера (стр. 416, [6]):
aat0=acrcos(Db0/Da0),
aat0=acrcos(168,75/187,41)=25,76°
Угол
наклона зубца на внешнем диаметре шевера (стр. 417, [6]):
ba0=arctg(Da0·tgb0/Dд0),
ba0=arctg(178,65·tg10/171,35)=10,92°.
Толщина
зубца на вершина шевера по нормали (стр. 417, [6]):
Sa0=Da0 cosba0 (Sд0/(D0·cosb01)+inv ato-inv
aat0),
a0=187,41· cos10,92· (3,53/(181,04·cos8,76)+inv
21,23-inv 25,76)=1,79мм.
Для
дальнейших расчетов необходимо рассчитать заточенный шевер:
Угол
зацепления приработанного шевера на начальном цилиндре a02=a-Дa:
a02=19°
Угол
наклона зубцов на начальном цилиндре шевера (стр. 417, [6]):
b01ґ=arcsin(coss0/ cosa02),
b01ґ=arcsin(cos80,61/ cos19)=9,94°.
Торцевой
угол давления начального круга шевера (стр. 417, [6]):
at0ґ=arctg(tga01/cosb01),
at0ґ=arctg(tg19/cos9,94)=19,27°.
Диаметр
начального цилиндра шевера (стр. 417, [6]):
D0ґ= Db0/ cosat0ґ,
D0ґ=160,72/ cos19,27=170,25мм.
Угол
наклона зубцов на начальном цилиндре колеса (стр. 417, [6]):
b1ґ=arcsin(coss/cosa01ґ),
b1ґ=arcsin(cos90/cos19)=0.
Торцевой
угол давления на начальном цилиндре колеса (стр. 417, [6]):
at1ґ=arctg(tga01ґ/cosb1ґ),
at1ґ=arctg(tg19/cos0)=19°.
Делительные
диаметры (стр. 417, [6]):
Dдґ=m·z,
Dд1ґ=2,25·52=117мм,
Dд2ґ=2,25·36=81мм.
Диаметры основных цилиндров (стр. 418, [6]):
Dbґ= Dд·cosa,
Db1ґ=
117·cos20=109,94мм,
Db2ґ=
81·cos20=76,11мм.
Диаметры начальных цилиндров (стр. 418, [6]):
Dґ= Db/cosat1ґ,
D1ґ= 109,94/cos19=116,27мм,
D2ґ= 76,11/cos19=80,49мм.
Длина линии зацепления в процессе шевингования (стр. 418, [6]):
Межосевое расстояние (стр. 418, [6]):
Аґ=0,5m(z1+z2),
Аґ=0,5·2,25·
(52+36)=99мм.
Угол зацепления в зубчатой передаче (стр. 418, [6]):
atґ=arcos[(Db1ґ+Db2ґ)/2Aґ],
atґ=arcos[(109,94+76,11)/2*99]=20°.
Длина активной линии зацепления сопряженных колеса и шестерни (стр. 418,
[6]):

где:
Daґ= Dдґ+2m,
где:
Da - основной
диаметр колеса, тогда:
Da1ґ=117·2·2,25=121,5мм,
Da2ґ=81·2·2,25=85,5мм,
тогда:

11,48мм.
Радиус
кривизны в точке начала активной части профиля зубцов колеса (стр. 418, [6]):
Необходимое
перекрытие активной части профиля зубьев колеса в процессе шевингования (стр.
418, [6]):
Дlґ=0,15m/sinatґ,
Дlґ=0,15·2,25/sin20=0,9868мм.
Наибольший
радиус профиля зубца шевера с учетом перекрытия обработкой активной части
профиля колеса (стр. 418, [6]):
r0ґ=sins0(L-(r1ґ-Дlґ)/sins),
r0ґ=sin90(52,14-(14,38-0,9868)/sin80,61)=38,6мм.
Диаметр
друга выступов шевера (стр. 419, [6]):
Величина
радиального зазора между шевером и шестерней (стр. 419, [6]):
Дr≥0,2m,
Дr≥(Dдґ+Dд0ґ)-(Da0ґ+Dfґ),
где:
Dfґ=Dдґ- 2·1,2·m,
где:
Df -
диаметр по впадинам, тогда:
Df1ґ=117-2·1,2·2,25=111,6мм,
Df2ґ=81-2·1,2·2,25=75,6мм,
тогда:
Дr≥0,2·2,25=0,45,
Дr1≥(117+171,35)-(
+111,6)=0,91,
Дr2≥(81+171,35)-(
+75,6)=
0,91, тогда:
,91˃0,45, условие выполняется.
Шаг
по нормали на начальных цилиндрах шевера и колеса (стр. 419, [6]):
Pґ=р·cosb·D1ґ/z1,
Pґ=р·cos0·116,27/52=7,02мм.
Толщина
зуба по делительному кругу, тогда:
Sд0ґ=0.5·р·m,
Sд0ґ=0,5·р·2,25=3,53мм.
Наименьший
радиус кривизны профиля зубцов сточенного шевера (стр. 419, [6]):
r02=r0ґ-(lґ+Дlґ)·sins0/sins,
r02=38,6-(11,48+0,9868) ·sin80,61/sin90=26,3мм.
Диаметр
друга в точке начала зацепления переточенного шевера (стр. 419, [6]):
D03=
D03=

Df0=D03-a,
где:
а=2
при m<3, тогда:
Df0=169,11-2=167,11мм.
Торцевой
угол давления на ножки зубьев (стр. 419, [6]):
aft0=arcos(Db0/Df0),
aft0= arcos(160,72/167,11)=15,79°.
Торцевая толщина ножки зуба (стр. 420, [6]):
Sft0=Df0(S0ґ/(D0ґ·cosa0)+inv at0+inv aft0),
ft0=167,11 · (3,46/(170,25·cos0)+inv 19,27+inv 15,79)=4,06мм.
Ширина впадины зубцов по кругу ножек (стр. 420, [6]):
Tf=рDf0/Z0-Sft0,
Tf=р·167,11/75-4,06=2,94мм.
Диаметр сверла для сверления отверстий под вход гребенки (стр. 420, [6]):
Dсв=Tf+(2…2,5),
Dсв=2,94+(2…2,5)=5мм.
Ширина шевера для параллельного метода шевингования, для диаметра шевера
180мм (стр. 420, [6]):
В=20мм
Так как заданная степень точности шевера - 7, то класс шевера В, тогда
шероховатость боковых поверхностей зубьев Ra 0.4 , опорных торцевых поверхностей Ra 0.4, поверхности посадочного отверстия Ra 0.32 (стр. 429, [6]).

Рисунок 17- Геометрические размеры посадочного отверстия, ГОСТ 8570-80
Рисунок 18 - Форма и размеры стружечных канавок шеверов
Принимаем (стр. 431, [6]):
n=10,
l=0,6мм.
4.4 Конструкция рассчитанного шевера
По результатам расчета, проектируемый шевер имеет 75 зубьев, с модулем
2,25. Основной, делительный диаметр, диаметр вершин и впадин шевера определены
в ходе проектирования. Посадочное отверстие и форма стружечных канавок
выполнены согласно ГОСТ 8570-80. Шевер может устанавливаться в зажимном
устройстве или в специальной оправке. Шевингуемые колеса устанавливаются
свободно в центрах и прижимаются к шеверу с необходимым для процесса резания
усилием.
5. Проектирование инструментального блока
Системы инструментальной оснастки предназначены для компоновки
функциональных единиц - инструментальных блоков (комбинаций режущего и
вспомогательного инструмента), каждый из которых предназначен для выполнения
конкретного технологического перехода обработки данной детали на конкретном
станке. Важным этапом является стандартизация присоединительных поверхностей
инструмента и станка.
Блоки представляют собой взаимозаменяемую сборочную единицу,
обеспечивающую быструю смену ее в борштанге в процессе эксплуатации или заточки
режущих элементов.
Инструментальные блоки, устанавливаемые в шпинделе, должны обеспечить
статическую точность, приведенную к вылету режущих кромок, в соответствии с
допустимым биением режущих кромок для данного инструмента.
Вспомогательный инструмент изготавливают из стали 18ХГТ с цементацией и
закалкой до 53…57 HRC. Гайки и винты делают из стали 40Х с термообработкой до
твердости 37…41,5 HRC. Корпус инструментального блока и оправку рекомендуется
изготавливать из сталей 45 или 40Х.
Инструментальный блок состоит из корпуса с коническим посадочным местом
7:24 для установки в шпинделе, и центральным отверстием для установки в нем
оправки с насадным перьевым сверлом. Регулировка вылета инструмента
производится за счет изменения местоположения гайки с трапецеидальной резьбой.
Точность обработки зависит от погрешности инструментальных блоков.
Точность инструментальных блоков регламентируется допустимым радиальным
биением. Для развертки допустимое биение режущих кромок составляет 0,071 мм.
Статическая точность может быть получена правильным выбором конструкции и
точности изготовления вспомогательного инструмента при соответствующей точности
изготовления режущего инструмента. Биение режущих кромок инструмента в системе
координат станка рассматривается как замыкающее звено в сложной размерной цепи,
образованной отклонениями линейных и угловых размеров элементов
вспомогательного инструмента.
.1 Исходные данные
- Инструмент - развертка,
- D0=Æ34Н6,
- L0=40мм,
- Обрабатываемый материал - Cталь 35X,
- L1=195мм,
- L2=230мм,
- L3=220мм,
- Kонус 7:24 - №50,
- Tочность конуса 7:24 - АТ4,
- Tочность цилиндрического соединения 7:24 - IT4,
- T0=0,15мм,
- S0=1,4мм/об.
.2 Выбор материала
Данный инструментальный блок предназначен для установки развертки диаметром
34мм. Разворачивание отверстия происходит в детали из Стали 35Х. Машинные
насадные развертки для обработки данного материала могут изготавливается из
быстрорежущей стали Р6М5, Р9, Р18, или с ножами из твердого сплава ВК6, ВК8,
Т5К6 (стр. 404, [4]).
Таким образом, материалом развертки принимаем более дешевую по сравнению
с твердосплавными материалами быстрорежущую сталь. За материал развертки примем
сталь Р18, так как она имеет наибольшую износостойкость и хорошую прочность по
сравнению с вышеперечисленными сталями из за наибольшего содержания вольфрама в
ней.
.3 Расчет инструментального блока
Степень точности изготовления конических поверхностей 7:24 - АТ4. Биение
цилиндрического отверстия относительно конуса 7:24 на корпусе патрона 0,062 мм.
Радиальное биение цилиндрической оправки обусловливается следующими
погрешностями:
-
биением конического отверстия в шпинделе (погрешность векторная, равная 0,004
мм, внутренний конус, поэтому
,
передаточное отношение А=1);
перекосом
оси шпинделя при вылете 220 мм, равным
(погрешность
угловая, поверхность шпинделя - цилиндрическая, поэтому
, передаточное отношение
, действительный вылет шпинделя 220 мм);
биением
цилиндрического отверстия относительно оси хвостовика с конусностью 7: 24
(погрешность векторная 0,001 мм,
,
);
биением
оси оправки при установке ее в корпусе (погрешность угловая
,
,
).
Таблица
4 - Данные для расчета биения оправки (стр. 390, [9]):
|
Звено размерной цепи
|
Погрешность
|
, мкм
|
|
|
|
Биение: 1.Конического отверстия шпинделя 2.Шпинделя от
перекоса оси 3. Оси цилиндрического отверстия относительно хвостовика 7:24
4.Биением оси оправки при установке ее в корпусе
|
Векторная Угловая Угловая Векторная
|
4 1 1 1,2
|
1,17 1,09 1,09 1,09
|
1 0,89 1 1
|
Половина допустимого биения режущей части инструмента как замыкающего
звена (стр. 388, [9]):
мм,
где:
-
коэффициент относительного рассеяния замыкающего звена (стр. 388, [9]):
,
где:
-
принятое за скалярную величину произведение векторной величины
на свое передаточное отношение
,
-
приведенный коэффициент относительного рассеяния присоединительных поверхностей
вспомогательного инструмента , тогда:
мм,
мм.
Делаем
вывод (стр. 389, [9]), что биение оправки
мм, что
меньше допустимого биения режущих кромок
мм.
Рисунок
22 - Геометрические параметры стопорной гайки
Принимаем (стр. 322, [9]):
d=Tr 48x3
D=66,6
H=14
Принимаем (стр. 361, [9]):
a=3,2±0,1=25,7H121=69,852=M243=25H74=285=107,25±0,056=97,5-0,17=91,25-0,58=801=11,1±0,12=353=19,1-0,11=101,75-0,32=11,5+0,53=474=61,55=30-0,36=35,8-0,47=37,7-0,41=2,5-0,5
R2=1,5-0,5
t=0,2
Рисунок 23 - Хвостовик
инструмента с конусностью 7:24 для автоматической смены по стандарту ISO
7388/1
.4
Конструкция рассчитанного инструментального блока
Проектируемый инструментальный блок устанавливается в револьверную
головку с помощью хвостовика с конусностью 7:24, выполненного по стандарту ISO 7388/1. Внутри него находится
цилиндрический хвостовик, с лыской, обеспечивающей регулировку вылета
инструмента на 195…230мм. Регулировка происходит путем закручивания стопорной
гайки и двух зажимных болтов, находящихся на корпусе блока. На внешнем конце
цилиндрического хвостовика выполнен конус 1:30 для закрепления на нем насадной
машинной развертки. Таким образом длина проектируемого блока 295…330мм. В нее
также входит сама насадная развертка, диаметром 34 мм, выполненная по ГОСТ
20392-74.
6. Проектирование торцевой фрезы с механическим креплением твердосплавных
пластин
Наибольшее распространение в промышленности получили сборные
твердосплавные фрезы. Фрезы относительно малых размеров изготовляются в
большинстве случаев с твердосплавными пластинами, припаянными непосредственно к
корпусу. Твердосплавные пластины могут иметь обычную призматическую форму, либо
быть винтовыми. Пластинки изготовляются относительно небольшой длины и
постоянной на всем протяжении толщины. Поэтому в тех случаях, когда необходимо
иметь инструмент с длинными режущими кромками, на зубья фрез припаиваются
несколько пластин. Стыки между пластинами оформляются в виде
стружкоразделительных канавок и располагаются в шахматном порядке.
Фрезы с напаянными твердосплавными пластинами:
- торцовая фреза с призматическими пластинами;
- цилиндрическая фреза с винтовыми пластинами.
Рассматриваемые фрезы с припаянными к корпусу пластинками обладают тем
недостатком, что при выкрашивании или большом износе одной или нескольких
пластин приходится затачивать все зубья.
Операция заточки твердосплавного инструмента весьма трудоемка, что
обусловливается плохой шлифуемостью пластин твердого сплава. Поэтому широкое
распространение находят сборные фрезы со вставными ножами.
Ножи, оснащенные твердым сплавом, закрепляются в пазах корпуса
инструмента. По своей конструкция ножи напоминают резцы с припаянными
пластинками из твердого сплава. Предварительная заточка ножей может осуществляться
отдельно от корпуса, а окончательная - в собранном виде.
В последнее время широкое распространение получили фрезы с механическим
креплением многогранных или круглых неперетачиваемых пластинок твердого сплава.
Такие фрезы просты в эксплуатации, обеспечивают повышение стойкости, сокращение
затрат на инструмент.
Фреза состоит из корпуса, кольца, вставных ножей с запрессованными
штифтами, на которых свободно сидят круглые пластинки . При ввертывании винтов
ножи переметаются в осевом направлении, благодаря чему пластинки прижимаются к
базовой поверхности корпуса. Для удобства сборки пластинки предварительно
прижимаются к корпусу пружинами. После износа пластинку поворачивают вокруг
своей оси и вводят в работу неизношенную часть режущей кромки. При полном же
износе режущих кромок производится смена комплекта пластин. Требуемая точность
размеров пластинок достигается их шлифованием по диаметру и торцу.
При износе одной из режущих граней пластинка поворачивается и в работу
вступает следующая грань. Заменять или поворачивать пластинки можно
непосредственно на стайке.
При снятии значительных припусков целесообразна ступенчатая установка
ножей. Преимущества ступенчатой схемы резания известны давно. Но эти фрезы не
нашли широкого применения из-за сложности заточки. Этого недостатка лишены
ступенчатые фрезы с механическим креплением многогранных неперетачиваемых
пластинок.
Фреза состоит из корпуса, в который вставляется кольцо, фиксируемое
винтами. Ножи имеют штифты, на которые одеваются многогранные пластины. Пластинки
к базовым поверхностям ступенчатого кольца и корпуса прижимаются винтом через
кольцо. Для удобства сборки применяются пружины. Базы под пластинки благодаря
съемности кольца легко восстанавливаются проточкой. Ступенчатая схема резания
позволяет снимать повышенные припуски, обеспечивая безвибрационную работу
инструмента, что особенно важно для фрез, оснащенных твердым сплавом.
.1 Начальные данные
- Торцевая фреза с механическим креплением твердосплавных
пластин.
- Материал заготовки: Сталь 70Г.
- Ширина фрезерования: В=125мм.
.2 Выбор материала
Для обработки заготовки из Стали 70Г подходят твердые сплавы
титано-вольфрамокобальтовой группы: Т30К4, Т15К6, Т14К8, Т5К10, (стр. 209,
[9]).
Материалом пластинок примем сплав Т15К6, в котором объединены достаточно
высокие теплостойкость и износостойкость с удовлетворительной прочностью, по
сравнению с другими сплавами этой группы из за среднего содержания карбида
титана.
.3 Расчет фрезы
Диаметр фрезы (стр. 244, [6]):
D=(1,2…1,4)
·B,
D
=1,25·125=156,25мм.
Принимаем стандартный больший диаметр фрезы, D=160мм .
Высота фрезы также может быть рассчитана (стр. 244, [6]):
Н= 3·D1/3+25,
Н= 3·1601/3+25=62,94мм
Назначаем углы (стр. 326, [7]):
j=60°,
j1=12°,
a=11°,
a1=10°,
g=8°.
Число граней пластины (стр. 244, [6]):
N=360/(j+j1),
N=360/(60+12)=5.
Согласно ГОСТ 19064-70:
l=13,8мм,
d=19,05мм,
m=21,019мм,
r=1,2мм,
s=6,35мм,
d1=7,93мм.
Рисунок 24 - Основные размеры пластины
Главный угол в плане:
е=180-j-j1,
е=180-60-12=108о.
Положение плоскости NN
относительно главной режущей кромки, рис. 25 (стр. 81, [1]):
b=arctg((tga·sinе)/(tga1+ tga·cosе)),
b=arctg((tg11·sin108)/(tg10+ tg11·cos108))=57,8о.
Угол наклона пластины (стр. 81, [1]):
м=arctg(tga/sinb),
м=arctg(tg10/sin108)=12,8o.
Угол между плоскостью NN и
осью фрезы (стр. 81, [1]):
ш=ц+в-90о,
ш=60+57,8-90=27,8о.
Поперечный и продольный передние углы (стр. 81, [1]):
g1=arctg(tg м·sin ш),
g2=arctg(tg м·cos ш),
g1=arctg(tg 12,8·sin 27,8)=6,04o,
g2=arctg(tg 12,8·cos 27,8)=11,36o.
Угол наклона пластины (стр. 81, [1]):
щ=arctg(tgg2·cosg1),
щ=arctg(tg11,36·cos6,04)=10.94о.
Смещение паза под пластину (стр. 81, [1]):
E=0,5D·sing1-s·cosщ,
E=0,5·160·sin6,04-6,35·cos10,94=2,18мм.
Скорость резания (неописанные переменные есть безразмерные коэффициенты и
показатели степени, зависящие от материала инструмента и его типа) (стр. 286,
[8]):
V=Cv·Dq/(Tm·tx·Sy·BU·zP)
·Kv,
где:
Cv=332,
Q=0,2,
t=1мм
- глубина резания,
M=0,2,
X=0,1,
S=1,5мм/об
- подача,
Y=0,4,
U=0.2,
P=0,
T=180мин
- период стойкости,
Kv=Kmv·Knv·Kuv,
где:
Kv - общий поправочный коефициент,
Kmv=0,659 - коеф., учитывающий качество поверхности,
Knv=0,8 - коеф., учитывающий состояние поверхности,
Kuv=1- коеф., учитывающий материал инструмента, тогда:
Kv =0,659·0,8·1=0,53,
V
=332·1600,2/(1800,2·10,1·0,150,4·1250,2·100)
·0,53=139,75м/мин.
Рисунок 25 - Расположение опорной поверхности
Рисунок 26 - Форма и размеры стружколомающих канавок
Согласно ГОСТ 19064-70:
d=19,05мм,
b=4мм,
R1=1,6мм.
Z=10
.4 Конструкция рассчитанной фрезы с механическим креплением
твердосплавных пластин
Корпус фрезы, диаметром 160 мм, высотой 63мм, в котором выполнены 10 мест
под пластинки. Пластинки устанавливаются на державки, и закрепляются клином.
Пластинки, с одной стороны, упираются в корпус фрезы, а с другой пластинка
вместе с державкой затягивается винтом. Пластинки, пятигранные, выполнены по
ГОСТ 19064-78. Фреза имеет место для торцевой шпонки, которая передает крутящий
момент инструменту. Фреза вставляется в оправку и закрепляется болтом, для
последующей обработки на вертикальном фрезерном станке.
7. Проектирование червячной шлицевой фрезы
Червячная шлицевая фреза, это инструмент, который работат по методу
обкатки. На фрезе выполнен червяк, на которм прорезаны канавки, создающие
переднюю поверхность зубьев и проястранство для вывода стружки. Витки
затылованы с целью получения заднего угла. Червячные фрезы бывают 2 видов - для
нарезания шлицевых валов с эвольвентным и прямобоким профилем. Эти фрезы
используются для валов с разными видами центрирования - по внешнему либо
внутреннему диаметру, либо по боковым граням. Для нарезания шлицевых валов с
центрированием повнутреннему диаметру и боковым граням используются червячные
фрезы с усиками, которые обеспечивают полученя прямолинейного участка по всей
высоте зуба вала, а образуемые им канавки у основания зубьев облегчают процесс
шлифования. Для нарезания шлицевых валов с центрированием по внешнему диаметру
и боковым граням служат червячные фрезы без усиков.
Червячные фрезы проектируются в зависимости от серии вала - легкая,
средняя, тяжелая и изготавливаются следующих классов точности:
- Класс А - для чистового нарезания шлицевых валов,
- Класс В - для получистового нарезания валов,
- Класс С- Для черновой обработки валов.
По конструкции червячные фрезы бывают:
- цельные,
- сборные,
- насадные.
По виду обработки:
- черновые,
- чистовые,
- тонкие.
По типу червяка:
- эвольыентные,
- архимедовы,
- конволютные.
.1 Начальные данные
- Шлицевый вал: D-6x23x28e8x6h8,
- Фаска: 0,4+0,2мм,
- Материал детали: Сталь 40.
.2 Выбор материала
Для обработки данной детали, изготовленной из Стали 40, можно
использовать сталь Р6М5, Р9, Р18, Р6М5К5, или твердый сплав ВК 6, ВК8, Т15К6,
минералокерамику ЦМ-332 (стр. 331, [4]).
Материалом инструмента примем быстрорежущую сталь Р18, обладающую
высокими механическими свойствами, и имеет меньший шанс припекания режущих
кромок на высокой скорости обработки. В то же время она более дешевая по
сравнению с твердым сплавом и, особенно, по сравнению с минералокерамикой.
.3 Расчет шлицевой червячной фрезы
Исходные данные для расчета:
- d=23a11-0,270-0,330
- D=28e8-0,014-0,028
- b=6h8-0,014
- z=6
- fmin=0,3+0,2
Расчет червячной шлицевой фрезы должен проходить в следующем порядке:
Расчетный внешний диаметр шлицевого валика (стр. 353, [6]):
Dmax=D+es,p=Dmax-2fmin,
max=28-0,014=27,986мм,
Dp=27,986-2·0,3=27,386мм.
Расчетный внутренний диаметр (стр. 353, [6]):
dmin=d+ei,p=dmin+0,25Td,
min=23-0,330=22,630мм,
dp=22,630+0,25·0,06=22,780мм.
Расчетная ширина шлица (стр.
353, [6]):
bmin=b+ei,p=bmin+0,25Tb,
min=6-0,014=5,986мм,
bp=5,986+0,25·0,014=5,9895мм.
Диаметр начально круга
шлицевого валика (стр. 353, [6]):
Dw=dw=
,
Dw=dw=
Угол
профиля на начальном круге (стр. 353, [6]):
aw=arcsin(bp/Dw)
aw=arcsin(5,9895/26,89)=12,87°=0.2246рад.
Минимальное
значение углового параметра ba (стр. 353, [6]):
ba=arcsin(0,5sinaw)
ba=b1=arcsin(0,5sin12,87)=6,35°=0.1108рад.
Максимальное
значение углового параметра bf (стр. 353, [6]):
bf=arccos
bf=b5=arccos
=38,18°=0.6138рад.
Угловой
параметр для второй точки (стр. 353, [6]):
b2=aw
b2=12,87°=0.2246рад.
Угловой
параметр для третей точки (стр. 353, [6]):
b3=(bf+2aw)/3
b3=(38,18+2·12,87)/3=21,31°=0.3718рад.
Угловой
параметр для четвертой точки (стр. 353, [6]):
b4=(2bf+aw)/3
b4=(2·38,18+12,87)/3=29,74°=0.5190.
Абсциссы
точек профиля фрезы (стр. 353, [6]):
X=0,5Df[(ba-aw)-cosba(sinba-sinaw)]
1=0,5·26,89
[(0.1108-0.2246)-cos6,35 (sin6,35 -sin12,87)]=-0,03152=0,5·26,89
[(0.2246-0.2246)-cos12,87 (sin12,87 -sin12,87)]=03=0,5·26,89
[(0.3718-0.2246)-cos21,31 (sin21,31 -sin12,87)]=0,21824=0,5·26,89
[(0.5190-0.2246)-cos29,74 (sin29,74 -sin12,87)]=0,76765=0,5·26,89
[(0.6138-0.2246)-cos38,18 (sin38,18-sin12,87)]=1,3502
Ординаты
точек профиля фрезы (стр. 354, [6]):
Y=0,5dw·sinba(sinba-sinaw)
1=0,5·26,89
·sin6,35 (sin6,35 -sin12,87)=-0,16672=0,5·26,89 ·sin12,87 (sin12,87
-sin12,87)=03=0,5·26,89 ·sin21,31 (sin21,31 -sin12,87)=0,68664=0,5·26,89
·sin29,74 (sin29,74 -sin12,87)=1,82265=0,5·26,89 ·sin38,18 (sin38,18
-sin12,87)=2,7357
Абсцисс
центра сменного диаметра (стр. 354, [6]):
Ордината
центра сменного диаметра (стр. 354, [6]):
Радиус
сменного диаметра (стр. 354, [6]):
Коэффициенты
уравнения отклонений сменного диаметра (стр. 354, [6]):
Углы,
соответствующие наибольшим отклонениям (стр. 355, [6]):
Наибольшее
отклонение точек сменного диаметра от теоретической кривой (стр. 355, [6]):
Суммарное
отклонение (стр. 355, [6]):
Дr=|Дr1+ Дr2|
Допустимое
значение отклонения (стр. 355, [6]):
[Дr]=2/3·Tb
Нормальный
шаг витков фрезы (стр. 355, [6]):
Pn0=рdw/z
Толщина
зуба по нормальной прямой (стр. 355, [6]):
S=dw(р/z-aw)
Толщина
зуба для третей и четвертой расчетных точек профиля зуба фрезы (стр. 355, [6]):
S3=S-2X3
S4=S-2X4
Высота
головки зуба фрезы (стр. 356, [6]):
Ha=Y5
Высота
фаски (стр. 356, [6]):
Hф=2f·tgе
Величина
смещения фаски от начальной прямой (стр. 356, [6]):
Hf=|Y1|
Ширина
канавки впадины профиля фрезы (стр. 356, [6]):
L2=Pп0-(S+4f)
Полная
высота зуба (стр. 356, [6]):
H=Ha+Hf+Hф+u
Высота
шлифованной части зуба (стр. 356, [6]):
Hшл= Ha+Hf+Hф
Угловой
параметр бокового угла зуба (стр. 357, [6]):
an=arctg(Y0/X0),
an=arctg(2,0111/7,5281)=14,96.
Величина
затылования (стр. 357, [6]):
K=рDa0·tga/z
Радиус
закругления канавки (стр. 357, [6]):
R=р(Da0-2H)/10z
Глубина
канавки (стр. 357, [6]):
h=H+0,5(K+K1)+R
Толщина
зуба фрезы (стр. 357, [6]):
C=(1…0,8)h
Угол
подъема витков фрезы по среднему расчетному диаметру (стр. 358, [6]):
ф=arcsin(P0/рdp)
Угол
наклона витков стружечных канавок (стр. 358, [6]):
Щ=R
Шаг
винтовых стружечных канавок (стр. 358, [6]):
Sk=рdp·*tgщ
Осевой
шаг витков (стр. 358, [6]):
Px0=P0/cosф
Длина
фрезы (стр. 358, [6]):
L1=2(Ra2-Rf2)0,5+(1…2)P0+(3…5)
Длина
бурта (стр. 358, [6]):
l=3…5
Диаметр
посадочного отверстия (стр. 358, [6]):
Dot=0,55(Da0-2H)
Диаметр
бурта (стр. 358, [6]):
D6=Da0-2H-3
Для
компьютерного расчета данного инструмента необходимо знать следующие значения:
Максимальное
значение наружного диаметра шлицевого валика:
Dmax=27,986мм
Минимальное
значение внутреннего диаметра шлицевого валика:
dmin=22,630мм
Допуск
на внутренний диаметр:
Td=0,06мм
Минимальная
ширина шлица:
bmin=5,986мм
Допуск
на ширину шлица: Tb=0,014мм
Минимальная
высота фаски на профиле у наружного цилиндра:
fmin=0,3мм
Число
щлицев:
Z=6
D=70мм
Число
зубьев фрезы:
Zф=10
Среднее
значение припуска под шлифование:
Р=0,3мм
Задний
угол на боковых режущих кромках:
an= 14,96°
Задний
угол фрезы на наружном диаметре:
a=10°
Рисунок 27 - Профиль зубцов фрезы
Таблица 6 - Результаты расчета на ЭВМ
.4 Конструкция рассчитанной фрезы
Проектируемая червячная шлицевая фреза для нарезания шлицевого вала D-6x23x28e8x6h8 имеет диаметр
70мм, шириной в 56мм и имеет 10 зубьев. Угол подъема винтовой канавки
составляет 3,995°.
Посадочное отверстие, в которое устанавливается оправка, выполнено согласно
ГОСТ 8027-86. Размеры профиля зубцов фрезы определены в ходе проектирования и
компьютерного расчета.
Заключение
В результате курсового проектирования были получены навыки
самостоятельной работы при проектировании металлорежущих инструментов. При
выполнении курсового проекта были использованы на практике знания, полученные
при изучении общетехнических и специальных дисциплин - высшей и вычислительной
математики, начертательной и аналитической геометрии, сопротивления материалов,
теории резания и т. п.
Выбор, проектирование и расчет инструментов были осуществлены с помощью
традиционных методов расчета и конструирования металлорежущего инструмента. При
этом также были использованы особенности конструирования и расчета инструмента
и инструментальных блоков для станков с ЧПУ.
Ход выполнения работы заключался в расчете таких инструментов, как:
Протяжка шлицевая, для протягивания шлицевого отверстия:
D-6x28H11x34H7x7F8, цельная, с
одинарной схемой резания.
- Развертка цилиндрическая, для разворачивания отверстия
диаметром 20Н7мм с 8 зубьями.
- Метчик, для нарезания метрической резьбы М16x2 с 3мя перьями.
- Дисковый шевер для обработки зубчатых колес с модулем 2,25 с
75 зубьями, смещением начального конура равного 0мм, для зубчатых колес с углом
наклона зубьев 00.
- Инструментальный блок, с конусностью хвостовика 7:24,
регулируемым вылетом инструмента на 0…35мм, где в качестве инструмента -
насадная развертка.
- Торцевая фреза с 16 пятигранными твердосплавными плвстинами
для чистовой обработки горизонтальных поверхностей.
- Червячная фреза для нарезания шлицевого вала D-6x23x28e8x6h8 с 10 зубьями и
углом подъема витков 3.9950.
Расчеты были успешно выполнены и, как результат, построены чертежи
каждого проектируемого инструмента.
Список используемых источников
1. Кирсанов Г.Н. и др. Руководство по курсовому
проектированию металлорежущих инструменту / Г.Н. Кирсанов, О.Б. Арбузов, Ю.Л.
Боровой и др. - М. : Машиностроение, 1986. - 288 с.
. Сахаров Г.Н. и др. Металлорежущие инструмены / Г.Н.
Сахаров, О.Б. Арбузов, Ю.Л. Боровой и др. - М. : Машиностроение, 1989. - 328 с.
. Мягков В.Д. и др. Допуски и посадки / В.Д. Мягков, М.А.
Палей, А.Б. Романов и др. - М. : Машиностроение, 1983. - 448с.
. Ординарцев И.А. и др. Справочник инструментальщика / И.А.
Ординарцев, Г.В. Филлипов, А.Н. Шевченко и др. - М. : Машиностроение, 1987. -
846 с.
. Киреев Г. И. Проектирование метчиков и круглых плашек:
учебное пособие/ Ульяновск: УлГТУ, 2008. - 107 с.
. Кукляк Н.Л. Металорежущие инструменты. Пректирование
/Кукляк Н.Л., Афтаназьев И.К. и др. - "Львовская политехника'', 2003. -
556 с.
. Панов А.А. Обработка металлов резанием / Панов А.А., Аникин
В.В. и др. - М. : Машиностроение, 2004. - 784 с.
. Косилова А.Г. Справочник технолога-машиностроителя, Том 2 /
Косилова А.Г., Мещеряков Р.Г. - М. : Машиностроение, 1986. - 496 с.
. Кузнецов Ю.И. Оснастка для станков с ЧПУ / Кузнецов Ю.И., Маслов А.Р.,
Байков А.Н. - М. :
Машиностроение, 1990. - 512 с.