Проектирование редуктора
1. Выбор двигателя.
Кинематический и силовой расчёты привода
Принимаем КПД элементов привода: КПД
муфты соединительной
; КПД
закрытой в корпусе конической зубчатой передачи с учетом потерь в подшипниках
валов передачи
; КПД
закрытой в корпусе цилиндрической зубчатой передачи с учетом потерь в
подшипниках валов передачи
. Тогда
общий КПД привода от двигателя до приводного вала:

.
Требуемую мощность двигателя Pтреб определяем по формуле:

кВт.
Для выбора двигателя, кроме мощности
Pтреб, необходимо ориентировочно определить его синхронную частоту
вращения nсинхр=1000 мин-1.
Выбираем асинхронный двигатель серии
АИ типоразмера АИР160М6 со следующими техническими данными:
Pном=15 кВт; nном=960 мин-1; Tmax/Tном=2,0.
Общее передаточное отношение привода

.
Распределяем iред между быстроходной ступенью с передаточным отношением iБ и тихоходной ступенью с передаточным отношением iТ:
а) передаточное отношение тихоходной
ступени
б) передаточное отношение
быстроходной ступени:
Полученные передаточные отношения
и
находятся
в рекомендуемом диапазоне передаточных отношений для цилиндрической и
конической зубчатых передач, установленных в закрытом корпусе.
Определим частоты вращения валов
редуктора, а также вращающий Т и крутящий МК моменты в различных
сечениях этих валов.
Частоты вращения валов редуктора:
Определим вращающий момент на
деталях передач редуктора.
Требуемый вращающий момент на
выходном конце тихоходного вала (III) редуктора:
Обозначим Т2Т - вращающий
момент на колесе тихоходной ступени.
Условие равновесия вала III:
Т2Т=Т=1544,85, Н м
Вращающий момент на шестерни
тихоходной ступени:
Т2Б=Т1Т=430,44,
Н м
Т2Б - вращающий момент
колеса быстроходной ступени.
Вращающий момент на шестерни
быстроходной ступени:
. Расчёт тихоходной
ступени редуктора
Исходные данные:
а) передаточное
отношение передачи 
(здесь индекс
-
тихоходная ступень);
б) частота вращения
шестерни ступени 

;
в) частота вращения
колеса ступени 

;
г) вращающий момент на
колесе ступени 

;
д) остальные данные
указаны в техническом задании.
Порядок расчета
. Выбор варианта
термообработки зубчатых колес и определение средней твердости активной
поверхности зубьев.
Принимаем вариант
термообработки II:
а) термообработка
шестерни - улучшение + закалка ТВЧ, твёрдость поверхности зубьев 45…50 HRCэ.
б) для колеса
термообработка улучшение, твёрдость поверхности 269…302 HB.
В) материалы зубчатых
колёс 40Х; 40ХН; 35ХМ…
Средние твёрдости
поверхностей зубьев:
Шестерни 
Колесо 
.
2. Допускаемые
контактные напряжения
при
расчете зубчатой передачи на сопротивление контактной усталости активных
поверхностей зубьев.
Предел контактной
выносливости активных поверхностей зубьев
, соответствующий
абсциссе точки перелома кривой усталости для контактных напряжений:
Коэффициент безопасности
:
Определяем коэффициент
долговечности Zn:
Эквивалентное число
циклов нагружения
для
шестерни и колеса при числе зацеплений за один оборот зуба шестерни
и
зуба колеса
:
Базовое число циклов
нагружения
(абсцисса
точки перелома кривой усталости для контактных напряжений) для варианта т.о. II:
Так как
не
должно превышать
.
А мы получили 
, то принимаем
.
Для определения
коэффициента долговечности
при расчёте на
сопротивление контактной усталости сопоставляем полученные величины
и
.
В нашем случае для
шестерни 
и коэффициент
долговечности
рассчитываем
по формуле:
Для шестерни:
Для колеса:
Тогда допускаемые
контактные напряжения
согласно
формуле для принятого варианта т.о. II:
Для шестерни:
Для колеса:
Минимальная величина
допускаемых контактных напряжений 
.
Для цилиндрической
косозубой передачи при известных допускаемых контактных напряжениях для шестерни
и колеса
допускаемые
контактные напряжения
для
передачи в сборе, т.е. для сопряжённой зубчатой пары, ГОСТ 21354-87 рекомендует
определять по формуле:
Окончательно для
дальнейших расчётов принимаем 
3. Межосевое расстояние
передачи.
Передаточное число
ступеней:
Примем коэффициент 
.
Тогда коэффициент
рабочей ширины передачи относительно делительного диаметра шестерни
(предварительно):
Коэффициент концентрации
нагрузки
при
расчёте по контактным напряжениям для кривой 5 для: 
.
Коэффициент внешней
динамической нагрузки
.
При приведенном модуле
упругости для стали
и
вращающем моменте на колесе передачи 
Н*мм, межосевое
расстояние рассчитываемой косозубой цилиндрической передачи:

,
где
-
передаточное число; для понижающей передачи.
По ряду
ГОСТ
6636-69 принимаем 
.
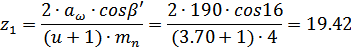
4. Модуль передачи, угол
наклона зубьев, числа зубьев шестерни и колеса.
Ориентировочно величина
модуля
для
косозубой передачи может быть определена по соотношению:
Принимаем стандартное
значение 
.
Угол наклона зуба
на
делительном цилиндре составляет в нераздвоенной косозубой передаче
.
В нашем примере
косозубая передача является нераздвоенной и для нее предварительно принимаем
.
Тогда число зубьев
шестерни
Принимаем 
.
Число зубьев колеса
Принимаем
.
Уточняем окончательно
значение угла наклона зуба
:
что находится в
рекомендуемом диапазоне
для
нераздвоенных косозубых передач.
Фактическое передаточное
число рассчитываемой передачи
Отклонение
передаточного
числа
и
:
В нашем случае это
условие выполняется: 
.
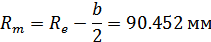
5. Основные размеры
шестерни и колеса.
Диаметры делительные
(точность расчетов-два знака после запятой):
Диаметры начальные
(передача без смещения):
,
.
Проверка:
; 
мм
Выполненная проверка
справедлива для косозубой передачи без смещения и при высотной коррекции.
При коэффициентах высоты
головки зуба
и
радиального зазора
высоты
головки
и
ножки
зуба
(для передачи без смещения):
Диаметры окружностей
вершин зубьев:
Диаметры окружностей
впадин зубьев:
Рабочая ширина передачи
(округляется до целого числа):
Ширина венца колеса

мм
Ширина венца шестерни

.
Окончательно коэффициент
:
6. Выбор марки стали для
изготовления зубчатых колес.

Принимаем для
изготовления шестерни и колеса легированную хромистую сталь 40Х. При этом
выполняются условия:
а) для шестерни (т.о.
улучшение + закалка ТВЧ)
б) для колеса (т.о.
улучшение + цементация + закалка)

и 
.
При выполнении выше
записанных условий для шестерни и колеса гарантируется получение твердости
активной поверхности зубьев при данном варианте термообработки в диапазоне
45…50HRCЭ.
7. Степень точности
передачи.
Окружная скорость
шестерни и колеса в полюсе зацепления
Принимаем 8-ю степень
точности.
8. Определение сил,
действующих в косозубом зацеплении.
Окружная сила
на
начальном цилиндре в торцовом сечении косозубой цилиндрической передачи при 
:
При этом для шестерни и
колеса:

.
Радиальная сила
для
шестерни и колеса:
Осевая сила
для
шестерни и колеса:
Направления сил
,
и
на
шестерне противоположны направлениям соответствующих сил
,
и
на
колесе.
9. Проверочный расчет
передачи на сопротивление контактной усталости активных поверхностей зубьев.
Коэффициент
неравномерности нагрузки одновременно зацепляющихся пар зубьев
Коэффициент торцового
перекрытия
Коэффициент уменьшения
контактных напряжений в косозубой передаче в сравнении с прямозубой:
Коэффициент 
Коэффициент
,
учитывающий внутреннюю динамическую нагрузки передачи при расчете по контактным
напряжениям, для окружной скорости 
,
.
Тогда расчетные контактные напряжения в полюсе зацепления
Сопротивление контактной
усталости активных поверхностей зубьев обеспечивается, так как выполняется
условие:

.
10. Допускаемые
напряжения изгиба
при
расчете на сопротивление усталости зубьев при изгибе.
Предел выносливости
зубьев по напряжениям изгиба
, соответствующий
абсциссе точки перелома кривой усталости для напряжений изгиба, для принятого
вида термообработки:

.
Коэффициент безопасности
:

Коэффициент приведения
:

для
(так
как Н1>350HB);

для 
(так как Н2<350HB).
Эквивалентное число
циклов нагружения
для
шестерни и колеса при числе зацеплений за один оборот зуба шестерни
и
зуба колеса
:
Базовое число циклов
нагружения
(абсцисса
точки перелома кривой усталости для напряжений изгиба) для всех видов
термообработки:
.
Тогда
.
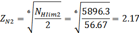
Для определения
коэффициента долговечности
при расчете на
сопротивление усталости зубьев при изгибе сопоставляем полученные величины
и
.
Для шестерни 
и коэффициент
долговечности
.
Для колеса 
и в данном случае также
коэффициент долговечности
.
Допускаемые напряжения
изгиба
:
11. Проверочный расчет
передачи на сопротивление усталости зубьев при изгибе.
Коэффициент концентрации
нагрузки
при
расчете по напряжениям изгиба для кривой 5 при Н1>350HB и Н2<350НВ для 
; 
Коэффициент
,
учитывающий внутреннюю динамическую нагрузку передачи при расчете по
напряжениям изгиба, для: 
; 
; 
.
Число зубьев
эквивалентного прямозубого зубчатого колеса (эквивалентное число зубьев)
:
Коэффициент формы зуба и
концентрации напряжений
в
зависимости от
при
коэффициенте смещения исходного контура
: для шестерни 
; для колеса 
.
Т.к. 
Коэффициент
неравномерности нагрузки одновременно зацепляющихся пар зубьев при расчете на
изгиб 
.
Коэффициент, учитывающий
повышение изгибной прочности вследствие наклона контактной линии к основанию
зуба в косозубой передаче и неравномерного распределения нагрузки:
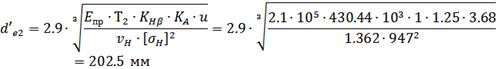
3. Расчет конической
зубчатой передачи с круговыми зубьями
Исходные данные:
а) передаточное
отношение передачи 
(здесь индекс
-
тихоходная ступень);
б) частота вращения
шестерни ступени 

;
в) частота вращения
колеса ступени 

;
г) вращающий момент на
колесе ступени 

;
д) остальные данные
указаны в техническом задании.
Порядок расчета
. Выбор варианта
термообработки зубчатых колес и определение допускаемых контактных напряжений
при
расчете зубчатой передачи на сопротивление контактной усталости активных
поверхностей зубьев.
Коэффициент безопасности
:
Изменились при этом
значения эквивалентного числа цикла нагружений:
Для определения
коэффициента долговечности
при расчёте на
сопротивление контактной усталости сопоставляем полученные величины
и
.
Для шестерни:
Т.к 
Для колеса:
Тогда допускаемые
контактные напряжения
согласно
формуле для принятого варианта т.о. II:
Для шестерни:
Для колеса:
Проектирование передачи
проводим по допускаемому контактному напряжению:
2. Основные параметры
передачи.
В конической передаче
коэффициент
ширины
зубчатого
венца относительно внешнего конусного расстояния
рекомендуется:
.
Принимаем наиболее распространенное значение
. Передаточное число
для
понижающей передачи: 
.
С целью повышения
жесткости опор конической зубчатой передачи предполагаем использование конических
роликоподшипников (т.е. опоры роликовые).
Определяем величину

.
Зададимся коэффициентом
,
учитывающим влияние вида зубьев конической передачи при расчёте её на
контактную усталость:

.
При приведённом модуле
упругости для стали
и
вращающем моменте на коническом колесе ступени 
внешний делительный
диаметр колеса рассчитываемой конической передачи:
Внешний делительный
диаметр шестерни

.
Принимаем число зубьев
шестерни с круговыми зубьями
.
При этом выполняется
условие:

,
где
для
круговых зубьев при
.
Тогда число зубьев
колеса

.
Фактическое передаточное
число передачи
Отклонение
передаточного
числа
от
:
.
Внешний окружной модуль

.
До стандартного значения
модуль
не
округляют.
Уточняем внешний
делительный диаметр колеса:

.
Углы делительных конусов
шестерни
и
колеса
:

;
Внешнее делительное
конусное расстояние при 
:

.
Ширина зубчатого венца
шестерни и колеса
При этом величина
не
должна превосходить значения
. Т.к нашем примере.
Средний окружной модуль:

.
Средний нормальный
модуль при
:

.
Средние делительные
диаметры шестерни и колеса:
3. Смещение в конической
передаче с круговыми зубьями.
Для конических зубчатых
колес с круговыми зубьями расчётным является среднее нормальное сечение в
середине зубчатого венца, и коэффициенты радиального (высотного) смещения
и
обозначают
соответственно
и
.
При этом в нашем случае:

Для понижающей
конической передачи с круговыми зубьями коэффициенты тангенциального смещения
и
:
.
4. Проверочный расчёт
передачи на сопротивление контактной усталости активных поверхностей зубьев.
Уточняем коэффициент
:
что допустимо.
Тогда величина

.
Средняя окружная
скорость зубчатых колес передачи
Принимаем 9-ю степень
точности передачи с круговыми зубьями.

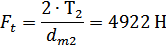
.
Окружная сила в
зацеплении при 
:
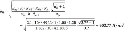
Тогда расчетные
контактные напряжения
Сопротивление контактной
усталости активных поверхностей зубьев обеспечивается, так как выполняется
условие:
5. Допускаемые
напряжения изгиба
при
расчете на сопротивление усталости зубьев при изгибе.
Для принятого варианта
термообработки II:
а) предел выносливости
зубьев по напряжениям изгиба
, соответствующий
абсциссе точки перелома кривой усталости для напряжений изгиба:
б) коэффициент
безопасности
:
Коэффициент приведения
:
Эквивалентное число
циклов нагружения
для
шестерни и колеса при числе зацеплений за один оборот зуба конической шестерни
и
зуба колеса
:
Базовое число циклов
нагружения
(абсцисса
точки перелома кривой усталости для напряжений изгиба) для всех видов
термообработки:
.
Для определения
коэффициента долговечности
сопоставляем полученные
величины
и
:
а) для шестерни 
и коэффициент
долговечности
;
б) для колеса 
и коэффициент
долговечности
.
Lопускаемые
напряжения изгиба
для
варианта т.о.II при
6. Проверочный расчёт
передачи на сопротивление усталости зубьев при изгибе.

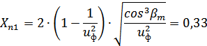
; 
Коэффициент
,
учитывающий влияние вида зубьев конической передачи при расчете их на
сопротивление усталости при изгибе:
Числа зубьев
эквивалентных цилиндрических прямозубых зубчатых колес (эквивалентное число
зубьев)
:
Коэффициент формы зуба и
концентрации напряжений
для
конических передач с круговыми зубьями принимают:
а) для шестерни 
при 
и 
;
б) для колеса 
при 
и 
.
Тогда расчетные
напряжения при изгибе в опасном сечении зуба шестерни и колеса:
Расчетные напряжения при
изгибе должны быть
.
В нашем примере
сопротивление усталости зубьев при изгибе обеспечивается, так как для шестерни
и колеса выполняется условие:
7. Геометрический расчет
конической передачи с круговыми зубьями.
Осевая форма зуба II. При данной форме зубьев вершины конусов делительного и впадин не
совпадают. Вершина конуса впадин располагается так, что ширина дна впадины
зубчатого колеса постоянна, а толщина зуба по делительному конусу растет с
увеличением расстояния от вершины.
Значения
,
и
,
при которых применяют осевую форму зуба II,
приведены в таблице
.
Изготовление конических
зубчатых колес с осевой формой зубьев II
производится простым двусторонним способом или двойным двусторонним способом,
при котором на шестерне и колесе образуются одновременно обе стороны зубьев.
Двойной двусторонний способ изготовления зубчатых колес осевой формы II является наиболее производительным из всех существующих и
является основным в крупносерийном и массовом производстве.
В качестве исходных
данных для выполнения геометрического расчета конической передачи с
круговыми зубьями принимаем величины, полученные ранее при прочностном расчете:
внешние делительные диаметры 
и 
; средние делительные
диаметры 
и 
; внешнее делительное
конусное расстояние 
; среднее делительное
конусное расстояние 
; ширина венца шестерни
и колеса 
; числа зубьев 
и 
; средний угол наклона
линии зуба
;
коэффициенты радиального (высотного) смещения 
; коэффициенты
тангенциального смещения
и
;
средний нормальный модуль 
; углы делительных
конусов
и 
; число зубьев плоского
колеса 
; номинальный диаметр
зуборезной головки 
.
Так как для конических
зубчатых колес с круговыми зубьями расчетным является среднее нормальное
сечение в середине зубчатого венца, то при геометрическом расчете зацепления
вначале определяют размеры зуба в рас-четном сечении и только после этого
переходят на внешний торец зубчатого колеса. При этом в соответствии с ГОСТ 16202-81
параметры среднего нормального исходного контура: угол профиля
;
коэффициент высоты головки исходного контура
; коэффициент
радиального зазора
.
5. Расчёт подшипников
качения тихоходного вала редуктора на заданный ресурс
Общие сведения
Частота вращения вала:
тихоходного n = nIII
= 68 мин-1.
Требуемый ресурс
(долговечность) подшипников Lh
= 15·103ч. Типовой режим нагружения - 2 (средний равновероятный).
Условия эксплуатации подшипников - обычные. Рабочая температура подшипников t< 100˚ C.
Для тихоходного вала
предварительно был выбран шарико-радиальный однорядный подшипник лёгкой серии
211, для которого:
а) размеры:
d=
55 мм; D= 100 мм; В=21 мм.
б) грузоподъемность:
динамическая Сr= 43,6 кН;
статическая C0r=
25,0 кН.
Схема установки
подшипников - враспор (схема 1). Для данной схемы установки при d =55 мм расстояние между подшипниками должно быть не более lmax= =4·d
= 4·55 = 220 мм. В проектируемом редукторе расстояние между подшипниками l = l2Т
+ l3Т= 160 мм, что меньше lmax.
На опоры вала действуют
силы:
радиальные реакции опорRrA= 13657 H,
RrB= 7225 H;
осевая сила на колесе
косозубой цилиндрической передачи Fa2Т
= 3860,64 Н.
Таким образом на вал
действует только одна внешняя сила Fa2Т
= 3860,64 Н, которая в соответствии со схемой нагружения вала,
направлена в сторону опоры А, то её воспринимает подшипник данной опоры. Ввиду
того, что осевые составляющие от действия радиальных нагрузок в шариковых
подшипниках отсутствуют, то осевые нагрузки:
опора А: Ra1
= 0;
опора В: Ra2
= Fa2Т
= 3860,64H.
Определяем отношения i·Ra / C0r = 1·3860,64 / 25·103 = 0,1544
где iчисло рядов тел качения;
Ra
=Ra2.
Принимаем коэффициент
осевого нагружения e = 0,43.
Для подшипника опоры А,
воспринимаемый осевую силу Fa2Топределяем
отношения Ra2 /
VRr2 =
3860,64 / 1·7225 = 0,53
где V = 1;
Rr2 =RrВ = 7225H.
Т.к. Ra2 / VRr2 = 0,53, что больше e = 0,43 принимаем коэффициенты Х =
0,56 и Y = 1,00.
Таким образом подшипники будем
рассчитывать с учётом радиальных нагрузок Rr1 =RrA и Rr2 =RrВ, но т.к. Rr1>Rr2, то дальнейший расчёт будем производить для более нагруженного
подшипника опоры 1.
Принимаем коэффициенты: КНЕ
= 0,25, a23 = 0,8, Kб = 1,4, Kт = 1.
Эквивалентная динамическая нагрузка:
Pr1= (VXRr1+ YRa1) KБ КТ =(1·0,56·13657+ 1,00·3582,54) ·1,4·1 = 15722 Н.
Определим расчётную динамическую
грузоподъёмность Сr расчподшипника опоры 1:
Т.к. Сr расч = 42044 Н <Сr = 43600 Н, то предварительно принятый подшипник лёгкой серии 211
подходит.
6. Выбор компенсирующей
упругой муфты
Конец тихоходного вала редуктора
диаметром d1 = 55 мм, длиной l = 54 мм. Расчётный вращающий момент
для выбора муфты при коэффициенте режима нагрузки Кр = 1,5;
вращающий момент на валу муфты Тм =430,44:
Тр = Кр· Тм
=1,5 · 430,44 =645,66 Н·м <T = 710 Н·м.
С учётом полученных значений
принимаем:
Муфта упругая втулочно-пальцевая
-55-4УЗ ГОСТ 21424-93.
Список источников
кинематический привод редуктор
зубчатый
1. Санюкевич Ф.М. Детали машин курсовое проектирование, Брест:
БГТУ 2004.
2. Анурьев В.И. Справочник конструктора-машиностроителя. М.:
Машиностроение, 1982.
. Васильцов С.В., Винокуров В.А., Земзин В.Н.
Проектирование сварных конструкций в машиностроении/ Под ред. С.А. Куркина. М.:
Машиностроение, 1974.
. Дунаев П.Ф. Конструирование узлов и деталей машин. -
Учебное пособие для ВУЗов, М.: Высшая школа, 1985.
. Иванов М.Н. Детали машин курсовое проектирование. -
Учебное пособие для машиностроительных ВУЗов, М.: Высшая школа, 1975.