Проектирование предварительно напряженной панели перекрытия
ОГЛАВЛЕНИЕ
ВВЕДЕНИЕ
.1
Общие сведения
.2
Оборудование резервуара для воды
.3
Условия работы
2.
ПРОЕКТИРОВАНИЕ ПРЕДВАРИТЕЛЬНО НАПРЯЖЕННОЙ ПАНЕЛИ ПОКРЫТИЯ
.1
Выбор материалов
.2
Сбор нагрузок и статический расчет
.3
Расчет прочности по I группе
предельных состояний
.3.1
Расчет прочности панели по сечению, нормальному к продольной оси
.3.2
Расчет полки панели на местный изгиб
.3.3
Расчет прочности панели по сечению, наклонному к продольной оси
.4
Расчет панели по II
группе предельных состояний
.4.1
Определение геометрических характеристик сечения
.4.2
Определение потерь предварительного напряжения
.4.3
Расчет по образованию трещин, нормальных к продольной оси
.4.4
Расчет по раскрытию трещин, нормальных к продольной оси
.4.5
Расчет прогиба панели
.5
Конструирование панели
.
ПРОЕКТИРОВАНИЕ ЖЕЛЕЗОБЕТОННОЙ КОЛОННЫ
.1
Выбор материалов
.2
Определение усилий в средней колонне
.3
Расчет прочности колонны
.4
Конструирование колонны
.
РАСЧЕТ ОСАДОК ФУНДАМЕНТОВ МЕТОДОМ ПОСЛОЙНОГО СУММИРОВАНИЯ
ЛИТЕРАТУРА
ВВЕДЕНИЕ
.1
Общие сведения
нагрузка панель прочность расчет
Сооружения водопровода и водоотведения в большем
или меньшем объеме применяют в каждом промышленном комплексе.
К сооружениям водопровода, возводимым на
промышленных площадках, относятся резервуары для воды, водонапорные башни,
градирни, насосные станции и др.; к сооружениям водоотведения - песколовки,
жироловки, нефтеловушки, отстойники, осветлители, колодцы и др.
Большая часть сооружений водопровода и
водоотведения представляет собой емкостные сооружения.
Наземные, подземные и полуподземные резервуары
для воды выполняют главным образом из железобетона. Они могут быть монолитными,
сборными и сборно-монолитными. Емкость железобетонных резервуаров колеблется от
5,0 м³
до
десятков тысяч кубических метров.
По форме железобетонные резервуары
подразделяются на цилиндрические и прямоугольные.
Расчет резервуаров для воды производят на
следующие нагрузки:
Покрытие. Рассчитывают на собственный вес
конструкций, вес грунтовой засыпки или утеплителя, снеговую нагрузку, соответствующую
климатическому району строительства с учетом коэффициента m
неравномерности отложения снегового покрова, равного единице, либо, взамен
снеговой нагрузки, на монтажную, принимаемую равной 1,5 - 2,0 кПа.
Стенки. Рассчитывают на вертикальные нагрузки,
передаваемые на них конструкциями покрытия, и горизонтальные нагрузки двух
знаков:
Гидростатическое давление воды.
Горизонтальное давление грунта.
Эти нагрузки не суммируются, т.е.
рассматривается случай работы либо не обсыпанного грунтом, либо не заполненного
водой резервуара.
Днище. При отсутствии внутренних колонн вся
плоскость днища за исключением полосы, примыкающей к стенкам, является
нерабочей. Примыкающая к стенкам полоса является фундаментом стенок. При
наличии внутренних колонн вертикальная нагрузка с соответствующей грузовой
площади покрытия воспринимается колоннами и передается ими на конструкции
днища.
В курсовом проекте запроектированы в
железобетоне основные конструкции прямоугольного резервуара чистой воды в
системе водоснабжения населенного пункта или промышленного предприятия
вместимостью 3000 тысячи м³.
Покрытие резервуара предусмотрено
панельно-балочным.
В пояснительной записке изложены вопросы
проектирования ребристой предварительно напряженной панели покрытия резервуара,
колонны, сборного фундамента под колонну, а также расчет осадки фундамента
методом послойного суммирования.
1.2
Оборудование резервуара для воды
Резервуар для воды оборудован четырьмя
водопроводными трубами - подающей, отводящей, переливной и грязевой. Грязевая
труба выходит из специального приямка, предусмотренного в конструкции днища. В
покрытии резервуара предусмотрены вентиляционные трубы, а также устроен
световой люк и люк, от которого ведет стремянка в резервуар. Резервуар
оборудован также камерой для установки приборов сигнализации уровня воды.
Конструкции люков - кольца и плиты - принимаются
сборные железобетонные по ГОСТу 8020.
1.3
Условия работы
Сборный железобетонный резервуар можно применять
на всей территории России, в районах с температурой наружного воздуха не ниже
минус 40°С и расчетной сейсмичностью не выше 7 баллов. Строительство возможно
на площадках, как с сухими грунтами, так и при наличии грунтовых вод (при
высоте подпора до 2,0 м).
Грунты основания должны быть однородными,
непросадочными и иметь расчетное сопротивление не менее 0,15 МПа.
2.
ПРОЕКТИРОВАНИЕ ПРЕДВАРИТЕЛЬНО НАПРЯЖЕННОЙ ПАНЕЛИ ПОКРЫТИЯ
2.1
Выбор материалов
Данные для выполнения задания:
Резервуар - сборный, прямоугольный в плане с
плитно-балочным перекрытием, сетка 6х6 (м)
Объем резервуара 2000(куб. м)
Размеры в плане 18х24 (м)
Высота 4,8 (м)
Район строительства г. Мурманск
Грунт крупнообломочный гравийный
Расчетная температура района минус
27 градусов, IV
климатический район, расчетная снеговая нагрузка 
В соответствии с расчетной
температурой глубина грунтовой засыпки на покрытии принята 1000 (мм).
Гидроизоляция покрытия, препятствующая проникновению в резервуар ливневых вод,
состоит из битумной обмазки толщиной 1 (см) и цементной стяжки d = 3 (см).
Для резервуара принято покрытие из
предварительно напряженных ребристых панелей размером 5960 * 1485 (мм). Панели
покрытия опираются на наружные стены и сборные ригели, установленные с шагом 6
(м). Ригели опираются на сборные железобетонные колонны, установленные с сеткой
6 * 6 (м). Колонны опираются на сборные железобетонные стаканы.
Для армирования панелей назначен
класс арматуры в соответствии с пунктом 6.2.4 [1] A800.
В соответствии с выбранным классом по пункту
6.1.4 [1] назначен класс бетона B30:
По пункту 6.1.6[1] назначена величина
передаточной кубиковой прочности бетона
По пункту 9.1.1 [1] назначено
предварительное напряжение
Ширина раскрытия трещин назначается
по пункту 8.2.6[1]:
.
2.2
Сбор нагрузок и статический расчет
Подсчет нагрузок на панель выполнен в табличной
форме.
Таблица 1.1
|
Вид нагрузки
|
Нормативная нагрузка, кН/м2
|
Коэффициент
надежности по нагрузке gf
|
Расчетная нагрузка, кН/м2
|
|
ПОСТОЯННАЯ:
|
|
|
|
|
Собственный вес ребристой панели
|
1,5
|
1,1
|
1,65
|
|
То
же, слоя битумной мастики
|
18 * 0,01 = 0,18
|
1,3
|
0,234
|
|
То
же, слоя цем-го раствора d=3 (см)
|
0,03 * 20 = 0,6
|
1,3
|
0,78
|
|
То
же, грунта h=0,5м.
|
20 * 1 = 20
|
1,15
|
23
|
|
ВРЕМЕННАЯ: (снег)
|
2,24
|
|
3,2
|
|
Длительная
|
1,57
|
|
|
|
Кратковременная
|
0,67
|
|
|
|
ПОЛНАЯ:
|
|
|
|
|
Постоянная и длительная
|
q** = 23.85
|
|
|
|
Кратковременная
|
q*** = 0.67
|
|
|
|
ВСЕГО
|
q* = 24.52
|
|
q****=28.864
|
где a
- ширина панели
Панели рассчитываются как свободно лежащие на
двух опорах.
Для установления расчетного пролета панели
предварительно заданы размеры сечения ригеля:
При опирании на ригель поверху расчетный пролет
Значения изгибающих моментов и поперечных сил
При γf
> 1
При
γf = 1
от полной нагрузки
от постоянной и длительной нагрузок
Типовые размеры сечения показаны на рисунке 1.
Высота сечения предварительно напряженной
ребристой панели
h
= 0,3 (м)
Рабочая высота сечения
h0
= h - a;
h0 = 0,3 - 0,05 =
0,25 (м)
где
a = 0,05 (м)
2.3
Расчет прочности по I
группе предельных состояний
2.3.1
Расчет прочности панели по сечению, нормальному к продольной оси
Расчетное сечение панели - тавровое с полкой в
сжатой зоне.
Определяем положение границы сжатой зоны. Для
этого сравниваем M с моментом,
который в состоянии воспринять полностью сжатая полка.
т.е. граница сжатой зоны проходит в пределах
полки - сечения рассчитываются как прямоугольные с шириной, равной bf¢.
Определяем относительный статический
момент
Определяем относительную высоту сжатой зоны

Принимаем x
= 0,14;
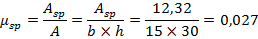
Вычисляем площадь сечения растянутой арматуры
В соответствии с сортаментом горячекатаной
арматурной стали d = 28 (мм);
= 12,32 (см²).
2
28, A800
2.3.2
Расчет полки панели на местный изгиб
Расчетный пролет при ширине ребер вверху 10 см
составит
.
Нагрузка на 1м² полки
может быть принята такой же, как и для панели, равная q****.
Изгибающий момент для полосы шириной b=1
м с учетом частичного защемления в ребрах
Рабочая высота сечения
Определяем относительный статический
момент
Определяем относительную высоту сжатой зоны

Принимаем x
= 0,24
Вычисляем
по формуле:
Где
.
Проверка
выполняется условие
Согласно ГОСТу назначаем сетку с
поперечной рабочей арматурой
=3,
92 см2
2.3.3
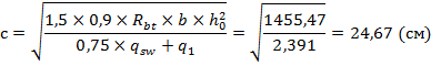
Расчет прочности панели по сечению, наклонному к продольной оси
Расчет ведут по наклонному сечению,
которое имеет наименьшую несущую способность. Диаметр стержней задают из
условия технологии электросварки так, чтобы отношение диаметра поперечного
стержня к диаметру продольного стержня составляло
.
Задаем диаметр арматуры класса A240
диаметром, равным 6(мм).
(число хомутов)
Выписываем расчетные данные для дальнейшего
расчета:
,
, где 

(кН)
где 
Проверяем условие
Единичное усилие в поперечной арматуре
При этом должно выполняться условие:
Условие выполняется
Рассчитываем шаг хомутов:
Максимальный шаг поперечной арматуры
Расчетный шаг поперечной арматуры
Конструктивно назначаем 
и 
у опор, 
и 
в середине. Назначаем 
Уменьшаем поперечную силу
Максимальный шаг поперечной арматуры
Рассчитываем шаг поперечной арматуры
2Ø8
А240

2Ø10 А240 
2Ø12 А240 
Принимаем поперечную арматуру 2Ø10 А240 
Делаем проверки

Определяем φn

Условие выполнено

Должно быть выполнено условие
Условие не выполнено
Проверяем условие

условие выполнено
Принимаем 
Проверка выполнена
Расчет панели по II
группе предельных состояний
Определение геометрических характеристик сечения
Отношение модулей упругости:
.
Площадь приведенного сечения
,
где

.
Статический момент площади приведенного сечения
относительно нижней грани:
,
Где
.
Расстояние от нижней грани до центра тяжести
приведенного сечения:
.
Момент инерции:
Момент сопротивления приведенного сечения по
нижней зоне:
.
Момент сопротивления приведенного сечения по
верхней зоне:
.
Расстояние от ядровой точки, наиболее удаленной
от растянутой зоны до центра тяжести приведенного сечения:
,
где
.
Расстояние от ядровой точки, наименее удаленной
от растянутой зоны до центра тяжести приведенного сечения:
Упругопластический момент сопротивления по
растянутой зоне:
,
где
для таврового сечения с полкой в
сжатой зоне.
Упругопластический момент сопротивления
по растянутой зоне в стадии изготовления и обжатия элемента:
2.4.2
Определение потерь предварительного напряжения
Потери предварительного напряжения определяются,
руководствуясь п. 9.1.1[1]
Коэффициент точности натяжения
арматуры при этом
.
Первые потери 

- потери от релаксации напряжений

, так как при пропаривании форма
нагревается вместе с изделием.

, так как при электротермическом
способе натяжения эти потери учтены при определении значения полного удлинения
арматуры.

, потери от деформации анкеров при
электротермическом способе равны 0

(для влажности >75% и бетона
В30)
Натяжение в бетоне от усилия обжатия
и с учетом
изгибающего момента от веса панели:
,
где 
Момент от веса панели:
значит,
уменьшаем 
.
значит,
уменьшаем 
.

принимаем 
Вторые
потери:
Полные потери:
Усилие обжатия с учетом всех потерь:
2.4.3
Расчет по образованию трещин, нормальных к продольной оси
Момент образования трещин по приближенному
способу ядровых моментов:
,
где ядровый момент усилия обжатия:
,
,
,
,
Момент образования трещин вычислен по
приближенному способу ядровых моментов
Проверяем
условие:
15896
9360,11 условие не выполняется,
следовательно, трещины в растянутой зоне образуются.
Поэтому
проверяем:

Условие выполняется, следовательно, начальные
трещины в верхней зоне не образуются.
2.4.4
Расчет по раскрытию трещин, нормальных к продольной оси
В соответствии с пунктом 8.2.6[1]
определена предельная ширина раскрытия трещин: непродолжительная
и
продолжительная
.
Ширину раскрытия трещин определяем по формуле:


учитывает длительность действия
нагрузки (1,4 для длительно действующей нагрузки и 1 для непродолжительного
действия)

учитывает профильность арматуры (0,5
для арматуры периодического профиля)

зависит от напряженного состояния (1
для изгибаемых элементов)

(мм)

от непродолжительного действия
длительно действующей части нагрузки:

от непродолжительного действия всей
нагрузки

от непродолжительного действия
длительно действующей части нагрузки
Условие по трещиностойкости выполнено
2.4.5
Расчет прогиба панели
Расчетный прогиб не должен превышать
предельный прогиб
,
определенный в соответствии с разделом 10 [3].

,
Где 
Прогиб вычисляется по формуле:
-от непродолжительного действия всей
нагрузки, при непродолжительном действии постоянной и длительной нагрузок и от
продолжительного действия постоянных и длительных нагрузок.
-при выгибе вследствие усадки и
ползучести бетона от усилия предварительного обжатия коэффициент.
Рассчитываем
кривизну
:

- расстояние от точки приложения
усилия обжатия 
до точки приложения равнодействующей
усилий в сжатой зоне сечения над трещиной.

зависит от длительности действия
нагрузки (15х10-4 для непродолжительного действия и 24х10-4 для
продолжительного действия нагрузки)

от непродолжительного действия всей
нагрузки

от непродолжительного действия
длительно действующей части нагрузки
М=Мnl

от продолжительного действия
длительно действующей части нагрузки
М=Мnl
Условие по прогибу выполнено
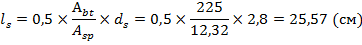
Конструирование панели
Для обеспечения трещиностойкости и
прочности опорного узла устанавливаются сетки С-3 из арматуры диаметром 6 мм
класса A400. Сетки
установлены на длине 
.
Конструктивно принимаем 
Тогда 
Принимаем 
3.
ПРОЕКТИРОВАНИЕ ЖЕЛЕЗОБЕТОННОЙ КОЛОННЫ
3.1
Выбор материалов
В качестве продольной арматуры назначена
арматура класса A400. В
качестве поперечной арматуры назначена арматура класса A240.
Класс бетона B20
назначен в соответствии с пунктом 6.1.4 [1].
= 355 (МПа)
= 11,5 (МПа)
Расчетное сечение колонны принято
.
3.2
Определение усилий в средней колонне
Грузовая площадь
средней
колонны при сетке колонн
. Полная
нагрузка складывается из нагрузки от панелей, ригеля пролетом 6 м и
собственного веса колонны высотой H.
Продольная сила от полной нагрузки:
3.3
Расчет прочности колонны
Расчет произведен согласно пункту
3.64 [5], где для сжатых элементов из тяжелого бетона классов B15 - B40 на
действие продольной силы, приложенной с эксцентриситетом, принятым согласно
пункту 8.1.16[1] равным случайному
, при
допускается пользоваться формулой
где ϕ
зависит от отношения l0/h
(таблица 8.1[1])
|
|
6
|
10
|
15
|
20
|
|
|
0,92
|
0,9
|
0,83
|
0,7
|
l0/h=4,8/0,4=12,
тогда ϕ=0,872
Уменьшаем размер сечения колонны до 350х350 мм
N=1021,
97 (кН)
l0/h=4,8/0,35=14,
тогда ϕ=0,844
Уменьшаем размер сечения колонны до 300х300 мм
N=1013,97
(кН)
l0/h=4,8/0,3=16,
тогда ϕ=0,804
Принимаем 4Ø18 А400, 
Делаем проверку
условие выполняется
3.4
Конструирование колонны
Колонна армируется пространственным
каркасом, образованным из плоских сварных каркасов. Диаметр продольной
арматуры, определенный расчетом, 18 мм, суммарная площадь в сечении элемента
принята равной
= 10,18 (см²). Продольная
арматура - 4Ø18
А400.
Диаметр поперечной арматуры
определяется по условиям свариваемости, исходя из диаметра продольной
В качестве поперечной принята
арматура класса A240 диаметром 6 мм.
Шаг поперечной арматуры принят из
условий
S
15
d ( d - диаметр
продольной арматуры) S
20
20 = 400 (мм)
S
500 (мм)
S = 250 (мм)
Армирование коротких консолей принимаем
конструктивно.
4.
РАСЧЕТ ОСАДОК ФУНДАМЕНТОВ МЕТОДОМ ПОСЛОЙНОГО СУММИРОВАНИЯ
При расчете осадки метом послойного
суммирования, находим дополнительное среднее давление, распределенное по
подошве фундамента
.
Площадь
подошвы фундамента
.
Для нахождения ширины фундамента была построена
призма, b = 180 (мм).
Высота одного слоя сжимаемой толщи
С учетом, удельного веса грунта для
крупнообломочного гравийного
g = 27,7 (кН / м³),
,
,
построены эпюры природных и
дополнительных давлений (рисунок 2). Данные, необходимые для построения эпюр
представлены в таблице 2 (значения σ в кН/м2)
Таблица 2
|
Z1(м)
|
|
α
|
|
|
|
|
0
|
0
|
1
|
0
|
0,026
|
|
|
0,7
|
0,8
|
0,8
|
0,001935
|
0,0208
|
0,0234
|
|
1,4
|
1,6
|
0,449
|
0,003878
|
0,0116
|
0,0162
|
|
2,1
|
2,33
|
0,271
|
0,005817
|
0,007
|
0,0093
|
|
2,8
|
3,11
|
0,169
|
0,007756
|
0,0043
|
0,0057
|
|
3,5
|
3,89
|
0,114
|
0,009695
|
0,0029
|
0,0036
|
|
4,2
|
4,67
|
0,082
|
0,0116
|
0,00213
|
0,0025
|
Осадки фундамента находим, как
Здесь b
= 0,8;
= 50(МПа)
Предельная допустимая величина
осадки фундамента, определенная в соответствии с приложением 4 [2]
не
превышает осадки фундамента
, определенной методом послойного
суммирования.
ЛИТЕРАТУРА:
1.
СНиП
52-01-2003. Бетонные и железобетонные конструкции/ М.: 2011. 190с.
.
СНиП 2.02.01-83*. Основания зданий и сооружений/ Госстрой СССР. М.: ЦИТП
Госстроя СССР. 1995. 48с.
3.
СНиП
2.01.07-85* Нагрузки и воздействия. М.: 2011. 80с.
.
СП 52-101-2003. Бетонные и железобетонные конструкции без предварительного
напряжения арматуры. М. 2006. 53с.
5.
СП
52-102-2004. Предварительно напряженные железобетонные конструкции. М. 2005.
36с.
6.
Байков
В.Н., Сигалов Э.Е. Железобетонные конструкции: Общий курс: 7. Учебник для
вузов. 5-е изд., перераб. и доп. М.: Стройиздат, 1991. 767с.