Проектирование трехэтажного каркасного здания
Содержание
Исходные
данные
. Общие
данные для проектирования
. Компоновка
конструктивной схемы сборного перекрытия
. Расчет
ребристой плиты по предельным состояниям первой группы
.1 Усилия от
расчетных и нормативных нагрузок
.2
Установление размеров сечения плиты
.3
Характеристики прочности бетона и арматуры
.4 Расчет
прочности плиты по сечению, нормальному к продольной оси
.5 Расчет
полки плиты на местный изгиб
.6 Расчет
прочности ребристой плиты по сечению, наклонному к продольной оси
. Расчет
ребристой плиты по предельным состояниям второй группы
.1
Определение геометрических характеристик приведенного сечения
.2
Определение потерь предварительного напряжения арматуры
.3 Расчет по
образованию трещин, нормальных к продольной оси
.4 Расчет по
раскрытию трещин, нормальных к продольной оси при
.5 Расчет
прогиба плиты
. Определение
усилий в ригеле поперечной рамы
.1 Вычисление
изгибающих моментов в расчетных сечениях ригеля
.2
Перераспределение моментов под влиянием образования пластических шарниров в
ригеле
.3 Опорные
моменты ригеля на грани колонны
.4 Поперечные
силы ригеля
. Расчет
прочности ригеля по сечениям нормальным к продольной оси
.1
Характеристики прочности бетона и арматуры
.2
Определение высоты сечения ригеля
. Расчет
прочности ригеля по сечениям, наклонным к продольной оси
.1 Расчет
прочности по наклонному сечению
.
Конструирование арматуры ригеля
. Определение
усилий в средней колонне
.1
Определение продольных сил от расчетных нагрузок
.2
Определение изгибающих моментов колонны от расчетных нагрузок
. Расчет
прочности средней колонны
.1
Характеристики прочности бетона и арматуры
.2 Подбор
сечений симметричной арматуры
.
Конструирование арматуры колонны
Список
использованной литературы
Исходные данные
. Место постройки: г. Москва
. Количество этажей/пролетов: 3/3
. Высота этажа: 4,8 м
. Сетка колонн: 9*6 м
. Здание: с подвалом
. Нормативная временная нагрузка на перекрытие, Н/м2:
полная - 5000, кратковременная - 1500
. Плита перекрытия: ребристая
. Сопряжение ж/б ригеля с колоннами - жесткое
. Стеновые панели - навесные
1. Общие данные для проектирования
Трехэтажное каркасное здание с подвальным этажом имеет размер в плане
27*36 м и сетку колонн 6*9 м. Высота этажей 4,8 м. Стеновые панели навесные из
легкого бетона, в торцах здания замоноличиваются совместно с торцевыми рамами,
образуя вертикальные связевые рамы. Стены подвала - из бетонных блоков.
Нормативное значение временной нагрузки
=5000 Н/м2, в том числе
кратковременной нагрузки - 1500 Н/м2, коэффициент надежности по
нагрузке
f =1,2, коэффициент надежности по
назначению здания
п=0,95. Снеговая нагрузка - по 3 району. Температурные
условия нормальные, влажность воздуха выше 40%.
2. Компоновка конструктивной схемы сборного перекрытия
Ригели поперечных рам - трехпролетные, на опорах жестко соединены с
крайними и средними колоннами.
Плиты перекрытий, предварительно напряженные ребристые. В продольном
направлении жесткость здания обеспечивается вертикальными связями,
устанавливаемыми в одном пролете в каждом ряду колонн.
В поперечном направлении жесткость здания обеспечивается по
рамно-связевой системе: ветровая нагрузка через перекрытия, работающие как
горизонтальные жесткие диски, передается на торцевые стены, выполняющие функции
вертикальных связевых диафрагм, и поперечные рамы.
3. Расчет ребристой плиты по предельным состояниям первой группы
Предварительно задаемся размерами сечения ригеля:
1/12*900=75 см;
25 см;
расчетный пролет
6000-250/2=5880 мм=5,88 м.
Подсчет нагрузок на 1 м2 перекрытия приведен в таблице 1.
Расчетная нагрузка на 1 м длины с учетом коэффициента надежности по
назначению здания
п=0,95:
постоянная
4,77 кН/м;
полная
12,75 кН/м;
временная
8 кН/м.
Нормативная нагрузка на 1 м длины:
постоянная
4,18 кН/м;
полная
10,88 кН/м;
в том числе постоянная и длительная
8,88 кН/м.
Таблица 1 - Сбор нагрузок на перекрытие
|
Вид нагрузки
|
Нормативная нагрузка, Н/м2
|
Коэффициент надежности по
нагрузке
|
Расчетная нагрузка, Н/м2
|
|
Постоянная: Собственный вес
ребристой плиты То же слоя цементного раствора, =20 мм ( =2200
кг/м3) То же керамических плиток, =13 мм
( =1800 кг/м3)
|
2500 440 240
|
1,1 1,3 1,1
|
2750 570 264
|
|
Итого Временная В том
числе: длительная кратковременная
|
3180 5000 3500 1500
|
1,2 1,2 1,2
|
3584 6000 4200 1800
|
|
Полная нагрузка В том
числе: Постоянная (3180 Н/м2)и длительная (3500 Н/м2) кратковременная
|
8180 6680 1500
|
- - -
|
9584 - -
|
.1 Усилия от расчетных и нормативных нагрузок
От расчетной нагрузки
12,75*5,882/8=55,1 кН*м;
12,75*5,88/2=37,485 кН;
От нормативной полной нагрузки
47 кН*м;
32 кН;
От нормативной постоянной и длительной нагрузки
38,38 кН*м.
3.2 Установление размеров сечения плиты
Высота сечения ребристой плиты
588/20=30 см;
рабочая высота сечения
30-3=27 см,
ширина верхней полки 136 см. Расчетная толщина сжатой полки таврового
сечения
5 см;
5/30= 0,167 > 0,1,
ширина полки
136 см; расчетная ширина ребра
2*7=14 см.
Рисунок 1. Поперечное сечение ребристой плиты
3.3 Характеристики прочности бетона и арматуры
Ребристую предварительно напряженную плиту армируют стержневой арматурой
класса А-V с электротермическим натяжением на упоры форм. К трещиностойкости
плиты предъявляют требования 3-й категории. Изделие подвергают тепловой
обработке при атмосферном давлении.
Бетон тяжелый класса В-20, соответствующий напрягаемой арматуре.
Призменная прочность нормативная
15 МПа, расчетная
11,5 МПа; коэффициент условий работы
бетона
b2=0,9; нормативное сопротивление при
растяжении
1,4 МПа, расчетное
0,9 МПа; начальный модуль упругости
бетона
27000 МПа; Передаточная прочность
бетона
устанавливается
0,75.
Арматура продольных ребер - класса- А-V, нормальное сопротивление
785 МПа, расчетное сопротивление
680 МПа; модуль упругости
190000 МПа. Предварительное
напряжение арматуры
0,6*785=470 МПа.
При электротермическом способе натяжения
30+360/
30+360/6=90 МПа;
470+90=560<
785 МПа
условие выполняется.
Предельное отклонение предварительного напряжения:
Где n=2-число напрягаемых стержней плиты. Коэффициент точности натяжения
при благоприятном влиянии предварительного напряжения
При проверке по образованию трещин в верхней зоне плиты при обжатии
принимают
Предварительное напряжение с учетом точности напряжения
МПа.
.4 Расчет прочности плиты по сечению, нормальному к продольной оси
Изгибающий момент от расчетной нагрузки
55,1 кН*м.
Сечение тавровое с полкой в сжатой зоне.
=0,055; х=
h0=0,055*27=1,485< 5 см
нейтральная ось проходит в пределах сжатой полки;
=0,9725.
=0,085-0,008Rb=0,85-0,008*0,9*11,5=0,77.
Граничная высота сжатой зоны:
Коэффициент условий работы:
где
=1,15 - для арматуры класса А-V;
принимаем
.
Площадь сечения растянутой арматуры:
2,68 см2
Принимаем 2
14 мм A-V с площадью
3,08 см2.
.5 Расчет полки плиты на местный изгиб
Расчетный пролет составит
136-2*9=118 см.
Нагрузка на 1 м2 полки может быть принята
,584*0,95=9,11 кН*м2.
Изгибающий момент для полосы шириной 1 м:
1,15 кН* м.
Рабочая высота сечения
5-1,5=3,5 см.
Арматура
4 Вр-1 с
370 МПа;
115000/0,9*11,5*100*3,52*100=0,09;
=0,9725;
115000/370*3,5*0,95*100=0,93 см2
- 8
4 Вр-1 с
1 см2.
Принимаем сетку с поперечной рабочей арматурой
4 Вр-2 с шагом s=125 мм.
.6 Расчет прочности ребристой плиты по сечению, наклонному к продольной
оси
Продольное усилие от расчетной нагрузки
37,485 кН.
Влияние продольного усилия обжатия
111850 Н=111,85 кН
0,1*111850/0,9*2*7*27*100 =11185/34020=0,33<0,5
37,485 кН;
2,5*0,9*0,9*100*2*7*27=76,545 кН - условие удовлетворяется.
При
4,77+8/2= 8,77кН/м=87,7 Н/см и поскольку 0,16
0,16*1,5*(1+0,33)0,9*0,9*14*100 = 362
Н/см > 187,6 Н/см,
Принимают
2,5*
67,5 см.
При
37,485-87,7*67,5=31,565 кН
= 1,5*(1+0,33)*0,9*0,9*100*14*272/67,5=24,433 кН<31,565
кН - не удовлетворяется.
Следовательно, поперечная арматура требуется по расчету.
На приопорном участке длинной
/4 устанавливают стержни
4 Вр1 с шагом
/2=30/2=15 см;
в средней части пролета с шагом
/4=3*30/4=22,5 см;
принимают 25 см:
2*0,196=0,392 см2;
260 МПа;
260*0,392*100/15=679,5 Н/см.
Влияние свесов сжатых полок (при двух ребрах):
2*0,75(3
)
2*0,75*3*5*5/2*7*27=0,3<0,5;
1,63>1,5,
принимаем 1,5;
0,6*1,5*0,9*0,9*100*14*27=27,56 кН. Условие
679,5 Н>
27,56 кН/2*27=510,4 Н -
удовлетворяется.
Требование
см >
15 см - удовлетворяется.
=2480 кН*см.
Поскольку
87,7 Н/см<0,56
0,56*679,5=380 Н/см, с=
168 см > 3,33
90 см,
принимаем с=90 см.
=2480 кН*см / 90 см = 27,58 кН >
= 27,56 кН.
Поперечная сила в вершине наклонного сечения
37,485-87,7*90=29,6 кН.
60,4 см > 2
54 см,
принимаем
54 см. При этом
680*54=36,72 кН.
Условие прочности
27,58кН + 36,72 кН=64,3 кН > Q= 29,6 кН - обеспечивается.
=0,0019;
170000/30000=5,67;
Условие прочности
,3
0,3*1,05*11,5*100*14*27=136,9 кН >
37,485 кН - удовлетворяется.
4. Расчет ребристой плиты по предельным состояниям второй группы
.1 Определение геометрических характеристик приведенного сечения
90000/30000=6,35;
136*5+14*25+6,35*3,08 = 1050 см2.
Статический момент площади приведенного сечения относительно нижней
грани:
78600 см3.
Расстояние от нижней грани до центра тяжести приведенного сечения:
78600/1050=22 см.
(122*53/12+122*5*5,52)+14*303/12+14*30*72+6,3*3,08*192=(1270,8+18452,5)+31500+20580+7005=
78800 cм4
Момент сопротивления приведенного сечения по нижней зоне:
78800/22=3582 см3
Момент сопротивления приведенного сечения по верхней зоне:
=
78800/30-22=9850 см3
Расстояние от ядровой точки, наиболее удаленной от растянутой зоны
(верхней) до центра тяжести приведенного сечения:
0,85*3582/1050=2,9 см;
то же, наименее удаленной от растянутой зоны (нижней)
0,85*9850/1050=8 см; здесь
=1,6 -
1,6-0,75=0,85.
Упругопластический момент сопротивления по растянутой зоне:
6268 см3;
здесь
=1,75 - для таврового сечения с полкой в сжатой зоне.
Упругопластический момент сопротивления по растянутой зоне в стадии
изготовления и обжатия элемента:
14775 м3;
здесь
=1,5 - для таврового сечения с полкой в растянутой зоне при
>2 и
<0,2.
.2 Определение потерь предварительного напряжения арматуры
Коэффициент точности натяжения арматуры
. Потери от релаксации напряжений в
арматуре
=0,03
= 0,03*470=14,1 МПа.
Потери от температурного перепада между натянутой арматурой и упорами
=0.
Усилие обжатия
3,08(470-14,1)(100)=140000 Н.
Эксцентриситет усилия относительно центра тяжести приведенного сечения
22-3= 19 см.
Напряжение в бетоне при обжатии:
8,7 МПа
Передаточную прочность бетона:
/0,75=11,6 МПа > 0,5В20;
принимаем
МПа.
Сжимающее напряжение в бетоне на уровне центра тяжести напрягаемой
арматуры от усилия обжатия
и с учетом изгибающего момента от веса плиты
2500*1,4*5,88/8=15 кН*м.
Тогда:
4,13 МПа
Потери от быстронатекающей ползучести при
= 4,13/11,6=0,36
и при
<0,8 составляют
40*0,36=14,4 Мпа.
Первые потери
С учетом потерь
напряжение
= 4 МПа. Потери от осадки бетона
МПа. Потери от ползучести бетона при
4/11,6= 0,34
Составляют
150*0,85*0,34=43,35 МПа.
Вторые потери
=
= 78,35 МПа.
Полные потери
МПа > 100 МПа,
т.е. больше установленного минимального значения потерь. Усилие обжатия с
учетом полных потерь
перекрытие плита колонна арматура
кН.
.3 Расчет по образованию трещин, нормальных к продольной оси
Принимаем значение коэффициента надежности по нагрузке
;
47 кН*м. С учетом
момент образования трещин:
= 2000270,3 Н*см=20 кН*м
ядровый момент усилия обжатия при
0,84 составляет
0,84*111850(19+2,95)=1122750,3 Н* см.
Поскольку
47 кН >
20 кН*м,
трещины в растянутой зоне образуются. Необходим расчет по раскрытию
трещин.
Проверяем образуются ли начальные трещины в верхней зоне плиты при
значении коэффициента точности натяжения
=1,16. Изгибающий момент от веса
плиты
15 кН*м. Расчетное условие:
1,16*140000(19-7,8)-1500000=300000 Н*см;
1*14775(100)=1477500 Н*см;
<1477500 Н*см - условие удовлетворяется, начальные трещины не
образуются; здесь
1 МПа - сопротивление бетона растяжению, соответствующее
передаточной прочности бетона.
.4 Расчет по раскрытию трещин, нормальных к продольной оси при
Предельная ширина раскрытия трещин: непродолжительная
=(0,4 мм), продолжительная
= (0,3 мм). Изгибающие моменты от
нормативных нагрузок: постоянной и длительной
38,38 кН*м; суммарной
47 кН*м. Приращение напряжений в
растянутой арматуре от действия постоянной и длительной нагрузок:
=[3838000-111850*24,5]/ 75,5*100=145,4 МПа;
Принимаем
27-0,5*5=24,5 см
- плечо внутренней пары сил;
0, т.к. усилие обжатия Р приложено в
центре тяжести площади нижней напрягаемой арматуры:
=3,08*24,5=75,5 см3
момент сопротивления сечения по растянутой арматуре. Приращение
напряжений в арматуре от действия полной нагрузки
=260 МПа.
Определяем:
Ширину раскрытия трещин от непродолжительного действия всей нагрузки
20(3,5-100*0,0082)*1*1*1*260/190000
=0,18 мм.
Здесь
3,08*14*27=0,0082;
=1;
14 мм - диаметр продольной арматуры.
Ширину раскрытия трещин от непродолжительного действия постоянной и
длительной нагрузок
20(3,5-100*0,0082)1*1*1(145,4/190000)
=0,1 мм;
Ширину раскрытия трещин от постоянной и длительной нагрузок
=20(3,5-100*0,0082)1*1*1,5(145,4/190000)
=0,148 мм,
где
=1,5.
Непродолжительная ширина раскрытия трещин
0,18-0,1+0,148=0,23 мм < 0,4 мм.
Продолжительная ширина раскрытия трещин
< 0,3 мм.
.5 Расчет прогиба плиты
Предельный прогиб составляет
/200,
588/200=2,9 см.
Заменяющий момент равен изгибающему моменту от постоянной и длительной
нагрузок
38,38 кН*м;
суммарная продольная сила равна усилию предварительного обжатия с учетом
всех потерь и при
=1;
111,85 кН; эксцентриситет
3838000/111850 =34,3 см;
коэффициент
=0,8 - при длительном действии нагрузки.
= 1,4*6268(100)/3838000-1122750,3 =0,32 < 1;
Кривизна оси при изгибе:
см-1
Здесь
=0,9;
=0,15 - при длительном действии нагрузок;
=(
)b
680 см2
с допущением что
Прогиб:
5/48*5882* 4,3*10-5 =1,487 см < 2,9 см.
Учет выгиба от ползучести бетона вследствие обжатия несколько уменьшает
прогиб.
5. Определение усилий в ригеле поперечной рамы
Подсчет нагрузок на 1 м2 перекрытия приведен в таблице 1.
Рисунок 2. К расчету поперечной рамы средних этажей: а - расчетная схема; б - эпюра
моментов ригеля; в - выравнивающая эпюра моментов; г-эпюры моментов после
перераспределения усилий.
Постоянная: от перекрытия с учетом коэффициента надежности по назначению
здания
;
,134*6*0,95=23,6 кН/м;
от веса ригеля сечением 0,25*0,6 м(
=2500 кг/см3) с учетом
коэффициентов надежности
и
0,95 =3,8 кН/м. Итого:
23,6 + 3,8 = 27,4 кН/м.
Временная с учетом
0,95;
=0,95* 36 = 34,2 кН/м,
в том числе длительная
,2*6*0,95= 24
и кратковременная
,8*6*0,95 =10,92 кН/м.
Полная нагрузка
61,6 кН/м.
Рисунок 3. Методика построения огибающих эпюр для трехпролетного ригеля.
.1 Вычисление изгибающих моментов в расчетных сечениях ригеля
Опорные моменты вычисляют по формуле
Табличные коэффициенты
и
зависят от схем загружения ригеля и коэффициента
- отношения погонных жесткостей ригеля
и колонны. Сечение ригеля принято равным 25*60 см, сечение колонны 30*30 см,
длина колонны 4,8 м. Вычисляют
=
25*603*480/30*303*900=3,5.
Пролетные моменты ригеля:
) В крайнем пролете - схемы загружения 1+2, опорные моменты
-151,67 кН*м,
-249,83 кН*м;
нагрузка
61,6 кН*м;
поперечные силы
61,6*7,2/2-(-151,67+249,83)/7,2= 208,5 кН;
208,5+13,3=221,8 кН;
максимальный пролетный момент
208,52/2(61,6)-151,67=201,19 кН * м.
) В среднем пролете - схемы загружения 1+3, опорные моменты
-240 кН/м;
максимальный пролетный момент
61,6*7,22/8-240 = 158 кН*м.
5.2 Перераспределение моментов под влиянием образования пластических
шарниров в ригеле
Практический расчет заключается в уменьшении примерно на 30% опорных
моментов ригеля
(-330) и
по схемам загружения 1+4;
при этом намечается образование пластических шарниров на опоре.
0,3*330= 99 кН*м;
73,7 кН*м; при этом
-
/3= -99/3=-33 кН*м;
-
/3=-73,7/3=-24,6 кН *м.
Опорные моменты на эпюре выравненных моментов составляют:
-133-33=-166 кН*м;
-330+99=-231 кН*м;
-304,7+73,7=-231кН*м;
-125,7-92,2-24,6=-242,5 кН*м.
Пролетные моменты на эпюре выравненных моментов могут превысить значения
пролетных моментов при схеме загружения 1+2 и 1+3, тогда они будут расчетными.
Таблица 2 - Опорные моменты ригеля при различных схемах загружения
|
Схема загружения
|
Опорные моменты, кН·м
|
|
М12
|
М21
|
М23
|
М32
|
|

|
-0,096*27,4*7,22=-136,36
|
-0,0885*27,4*7,22=-125,7
|
-125,7
|
|
|
-0,0515*34,2*7,22=-91,3
|
-0,064*34,2*7,22=-113,47
|
-0,024*34,2*7,22=-42,55
|
-42,55
|
|
|
-0,009*34,2*7,22=-15,96
|
-0,032*34,2*7,22=-56,73
|
-0,0645*34,2*7,22=-114,35
|
-114,35
|
|
|
-0,041*34,2*7,22=-72,69
|
-0,1095*34,2*7,22=-194,14
|
-0,101*34,2*7,22=-179
|
-0,052*34,2*7,22=-92,2
|
|
Расчетные схемы для опорных
моментов
|
1+2-151,67
|
1+2-249,83
|
1+4-304,7
|
-304,7
|
|
Расчетные схемы для
пролетных моментов
|
1+2-151,67
|
1+2-249,83
|
1+3-240
|
-240
|
.3 Опорные моменты ригеля на грани колонны
Опорный момент ригеля по грани средней колонны слева
(абсолютные значения):
) по схемам загружения 1+4 и выравненной эпюре моментов
) по схемам загружения 1+3
) по схемам загружения 1+2
Опорный момент ригеля по грани средней колонны справа
:
) по схемам загружения 1+4 и выравненной эпюре моментов:
) по схемам загружения
+2
Следовательно, расчетный опорный момент ригеля по грани средней опоры
215,23 кНм
.4 Поперечные
силы ригеля
На крайней опоре
по схеме 1+4:
На средней опоре справа по схеме 1+4:
6. Расчет прочности ригеля по сечениям, нормальным к продольной оси
.1 Характеристики прочности бетона и арматуры
Бетон тяжелый класса В20; расчетные сопротивления при сжатии
11,5 МПа; при растяжении
0,9 МПа; коэффициент условий работы
бетона
; модуль упругости
27000 МПа.
Арматура продольная рабочая класса А-3, расчетное сопротивление
365 МПа, модуль упругости
200000 МПа.
.2 Определение высоты сечения ригеля
Высоту сечения подбирают по опорному моменту при
= 0,35.
При
= 0,35 ,находят значение
0,289, и определяют граничную высоту
сжатой зоны:
где
=0,85-0,008
0,85-0,008*0,9*11,5=0,77;
МПа.
см
53,65+4=57,65 см;
принимаем
60 см.
Принятое сечение не проверяют в данном случае по пролетному моменту, так
как
201,19 <
215,23 кН*м.
Сечение в первом пролете:
201,19 кНм;
60-6=54 см.
Принято: 5Ø18 с А-III с
12,72 см2.
Сечение в среднем пролете -
158 кНм;
Принято: 4Ø18 с А-III с
10,18 см2.
Арматура для восприятия отрицательного момента в пролете устанавливается
по эпюре моментов, принято 2Ø 12 А-III с
2,26 см2.
Сечение на средней опоре -
215,23 кНм, арматура расположена в
один ряд.

Принято: 5
Сечение на крайней опоре -
134,1 кНм

Принято: 5Ø14 А-III
Рисунок 4. К расчету прочности ригеля-сечение в пролете (а)
7. Расчет прочности ригеля по сечениям, наклонным к продольной оси
На средней опоре поперечная сила
249,12 кН
Диаметр поперечных стержней устанавливают из условия сварки их с
продольной арматурой диаметром
32 мм и принимают равным
8 мм. С площадью
0,509 см2. При классе А-3
285 МПа; поскольку
8/32=1/4 < 1/3,
вводят коэффициент условий работы ɣs2=0,9
и тогда
0,9×285=255 МПа.
Число каркасов - 2, при этом
2×0,503=1,01 см2.
Шаг поперечных стержней по конструктивным условиям
/3=60/3=20 см.
На всех приопорных участках длиной
/4 принят шаг
20 см, в средней части пролета шаг
/4=3*60/4=45 см.
255*1,01/20= 1290 Н/см2;
0,6*0,9*0,9*25*56*100=68 кН;
1290 Н/см2 >
/2
68кН/2*56=608 Н/см - условие
удовлетворяется.
Требование
1,5*0,9*0,9*25*56(100)/249,12=38,2 см >
20 см - удовлетворяется.
.1 Расчет прочности по наклонному сечению
2*0,9*0,9*25*562*100=12700 кН*см.
Поскольку
27,4+34,2/2= 44,5 кН/м= 445 Н/см < 0,56
0,56*1290 = 720 Н/см
значение с вычисляют по формуле:
см < 3,33
3,33*56 = 186 см.
При этом
12700000/169 = 75,15 кН >
= 68 кН.
Поперечная сила в вершине наклонного сечения
249,12-445*169 =173,9 кН.
Длина проекции расчетного наклонного сечения
=99 см < 2
2*56=112 см.
1290*99 =128 кН.
Условие прочности
75,15+128=203,15 кН > 173,9 кН - обеспечивается.
Проверка прочности по сжатой полосе между наклонными трещинами:
=
=1,01/20*25=0,002;
=
200000/27000=7,5;
1+5
=1+5*7,5*0,002=1,08;
Условие
249120 < 0,3
0,3*1,08*0,9*0,9*11,5*25*56(100) =
422,5 кН - удовлетворяется.
8. Конструирование арматуры ригеля
Рассмотрим сечения первого пролета. На средней опоре арматура
;
12,72/25*56=0,009;
0,009*365/0,9*11,5=0,317;
=0,84;
=365*12,72*0,84*56*100*10-5 = 218,4
кН.
В месте теоретического обрыва арматуры 2Ø 12 А-III с
2,26 см2;
=2,26/25*56=0,0016;
=0,0016*365/0,9*11,5=0,056;
=0,97;
365*2,26*0,97*56*100*10-5=51,5 кН*м.
Поперечная сила в этом сечении
150 кН. Поперечные стержни
Ø8 А-III в месте
теоретического обрыва стержней 5Ø 18 сохраняем с шагом
20 см;
=1290 Н/см;
длина анкеровки
150000/2*1290+5*3,2=84>20
64 см
Арматуру в пролете принимают 5Ø18 с А-III с
12,72 см2;
=12,72/25*54=0,009;
0,009*365/0,9*11,5=0,32;
=0,84;
365*12,72*0,84*54*100*10-5=210,6
кН*м.
В месте теоретического обрыва пролетных стержней остается арматура 5Ø14
А-III
=7,69/25*54=0,005;
= 0,005*365/0,9*11,5=0,18;
=0,91;
365*7,69*0,91*54*100*10-5=137,9 кН*м.
Поперечная сила в этом сечении
135 кН;
1290 Н/см.
Длина анкеровки
135000/2*1290+5*2=62 см>20d=40 см.
В такой же последовательности вычисляются значения W3 и W4.
9. Определение усилий в средней колонне
.1 Определение продольных сил от расчетных нагрузок
Грузовая площадь средней колонны при сетке колонн 6*9=54 м2.
Постоянная нагрузка от перекрытий одного этажа с учетом коэффициента
0,95:
3,584*54*0,95 = 183,8 кН,
от ригеля:
(3,8/6)*54=34,2 кН,
от стойки (сечением 0.3*0,3; l=4,8 м,
кг/м3,
;
:
0,4*0,4*9*1,1*1=1,58 кН.
Итого G= 219,6 кН.
Временная нагрузка от перекрытия одного этажа с учетом
;
6*54*0,95=307,8 кН;
в том числе длительная
4,2*54*0,95=215,5 кН,
Кратковременная
1,8*54*0,95=92,3 кН.
Постоянная нагрузка от покрытия при весе кровли и плит 5 кН/м2
составляет
*54*0,95=256,5 кН
от ригеля - 34,2 кН, от стойки -1,58 кН. Итого G=292,3 кН.
Временная нагрузка - снег для 3 снегового района при коэффициентах надежности по
нагрузке
1,2, и по назначению здания
0.95:
1*1,2*54*0,95=61,6 кН,
в том числе длительная
0,5*61,6=30,8 кН,
кратковременная
30,8 кН.
Продольная сила колонны первого этажа рамы от длительной нагрузки
292,3+30,8+(219,6+215,5)2=1193,3 кН;
то же, от полученной нагрузки
1193,3+30,8+92,3=1316,4 кН.
Продольная сила колонны подвала от длительных нагрузок
1193,3+(219,6+215,5)=1629 кН,
тоже от полной нагрузки
1629+30,8+92,3=1752 кН.
.2 Определение изгибающих моментов колонны от расчетных нагрузок
Отношение погонных жесткостей, вводимых в расчет согласно
1,2*4,5
(приняв значения опорных моментов ригеля средних этажей). При действии длительных нагрузок
-(0,1*27,4+0,062*24)92= -342,5 кН*м.
-(0,0091*27,4+0,03*24)92= -78,5 кН/
м.
При действии полной нагрузки
-342,5-0,062*10,2*92= -394 кН*м;
-78,5 -0,03*10,2*92= -103,3 кН*м.
Разность абсолютных значений опорных моментов в узле рамы: при
длительных нагрузках
=342,5-78,5=264 кН*м,
при полной нагрузке
=394-103,3=290,7 кН*м.
Изгибающий момент колонны подвала от длительных нагрузок
0,4
=0,4*264=105,6 кНм,
от полной нагрузки
0,4*290,7=116,3 кНм.
Изгибающий момент колонны первого этажа от длительных нагрузок
0,6
=0,6*264=158,4 кН*м,
от полной нагрузки
М=0,6
=0,6*290,7=174,4 кН*м.
Рисунок 5. Эпюры продольных сил и изгибающих моментов средней колонны.
Изгибающие моменты колонны:
От длительных нагрузок
(0,1-0,091)51,4*92=37,5 кН*м;
изгибающие моменты колонн подвала
0,4*37,5=15кН*м;
изгибающий момент колонн первого этажа
0,6*37,5=22,5 кН*м.
От полных нагрузок:
=(0,1-0,091)61,6*92=44,9 кН*м,
изгибающие моменты колонн подвала
0,4*44,9=18 кН*м,
изгибающий момент первого этажа
0,6*44,9=27 кН*м.
10. Расчет прочности cредней колонны
.1 Характеристики прочности бетона и арматуры
Класс тяжелого бетона В20 и класс арматуры принимаем такие же, как и для
ригеля.
Комбинации расчетных усилия:=1800 кН, в том числе от длительных нагрузок
1629 кН,
18 кНм, от длительных нагрузок
15 кНм.
116,3 кНм,
105,6 кНм
и соответствующее загружению 1+2 значение
1800-307,8/2=1641,6 кН,
1629-215,5/2=1521 кH.
.2 Подбор сечений симметричной арматуры
Рабочая высота сечения
36 см,
ширина
40 см.
Эксцентриситет силы
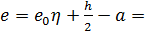
11630/1641,6=7 см.
Случайный эксцентриситет
40/30=1,3см;
=105,6+1521*0,16=349 кH*м.
При полной нагрузке
116,3+1641,6*0,16=379 кH*м.
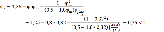
Отношение
480/11,56=41,52 >14, r=0.289h=11,56 см - радиус ядра
сечения.
Расчетная длина колонны принимается равной высоте этажа
4,8 м. Для тяжелого бетона
1+349/379=1,92.
Значение
δ
7/40=0,175 < δmin=0.5-0.01
-0.01
0,5-0,01*480/40 - 0,01*10,3=0,28;
принимаем
δ=0,28.
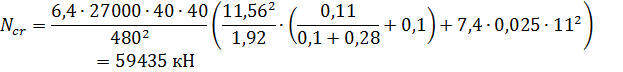
200000/27000=7,4.
Задаемся коэффициентом армирования
0,025
и вычисляем критическую силу
7*1,03+40/2=27,2 см.
ξR= 0,77/ [1+365/500 (1-0,77/1,1)]= 0,6,
где
0.85-0.008 *0.90 *11.5 =0.77.
1641600/0,9*11,5*36*40*100=1,1 >
=0.6;
+2a>
0,77(1-0,6)+2*0,6*0,26/1-0,6+2*0,26=0,67 > 0.6;
4/36=0,11.
Площадь арматуры
1641600/(365*100)*(27,2/36-0,67*(1-0,67/2)/0,77)/1 -
0,11=30,13 см2.
Принято: 5Ø28 А-III
Опорное давление ригеля
249,12 кН; бетон класса В20;
11.5МПа,
0.90, арматура класса A-III,
365 МПа. Принимаем длину опорной площадки
20 см при ширине ригеля
25 cм и проверяем условие согласно
249120/0,75*20*25*100*=6,64 МПа <
Вылет консоли с учетом зазора
5см составит
20+5=25 см,
при этом расстояние
25-25/2=15 см.
Высоту сечения консоли у грани колонны, принимаем равной
(0.7-0.8)
0.75*60=45 см;
при угле наклона сжатой грани y=450 консоли у свободного края
45-25=20 см,
при этом
20см ≈ h/2 = 45/2 = 22,5см.
Рабочая высота сечения консоли
45-3= 42 см.
Поскольку
25см<0.9
0.9*42= 37см,
консоль короткая.
Консоль армируют горизонтальными хомутами Ø6 A-I c
2×0,282=0,564 cм2,
шагом
10 cм (при этом
> 45/4 =11,3 cм и
< 15 cм) и отгибами 2Ø16
A-III c
4,02 cм2.
0,564/40*10=0,0014;
210000/2700=7,8;
1+5*7,8*0,0014=1,05;
0,76;
при этом
,8
0,8*1,05*0,9*11,5*40*20*0,76*100*=528,6
кН.
Правая часть условия принимается не более 3,5
476,28 кН.ледовательно,
249,12 <476,28 кН - прочность
обеспечена. Изгибающий момент консоли у грани колонны
249,12*0,15=37,37 H*м.
Площадь сечения продольной арматуры при ζ=0,9:
1,25
1,25*373,7*104/365*0,9*42*100=3,5 см2.Принято 2Ø16 A-III c
4,02 см2.
11. Конструирование арматуры колонны
Колонна армируется пространственными каркасами, образованными из плоских
сварных каркасов.
Диаметр поперечных стержней при диаметре продольной арматуры Ø8
А-III с шагом
300 мм на первом этаже здания,
принимаем по размеру стороны сечения колонны
400мм, что менее 20
20×28=560мм. Колонна пятиэтажной рамы членится на два элемента длиной 2 и три этажа соответственно.
Стык выпусков стержней выполняется на ванной сварке с бетонировкой, концы колонн усиливаются
поперечными сетками. Элементы сборной колонны должны быть проверенны на
усилия, возникающие на монтаже от собственного веса с учетом коэффициента
динамичности и по сечению в стыке до его бетонирования.
Список использованной литературы
1. Байков
В.Н., Сигалов Э.Е. Железобетонные конструкции Учебник. Общий курс. Изд. 4-е
пересм. И доп. М.: Стройиздат, 1984. - 728 с., ил. Новая программа курса
Бетонные и железобетонные конструкции.
. СНиП
2.01.07-85. Нагрузки и воздействия. М. 1986.
. ГОСТ
2.105-95. Общие требования к текстовым документам. М. 1995.