Механизм вытяжного пресса
ФЕДЕРАЛЬНОЕ АГЕНТСТВО
ЖЕЛЕЗНОДОРОЖНОГО ТРАНСПОРТА
Федеральное государственное бюджетное
образовательное
учреждение высшего профессионального
образования
«Уральский государственный
университет путей сообщения»
(ФГБОУ ВПО УрГУПС)
КУРСОВОЙ ПРОЕКТ
по дисциплине: «Теория машин и
механизмов»
на тему “Механизм вытяжного пресса”
(6 вариант)
Выполнили:
ст. гр. ПСв-211
Чернышев Н.С.
Екатеринбург 2013
Содержание
Введение
. Структурный и кинематический анализ
механизма
. Кинематический анализ механизма
.1 Построение плана положений
.2 Построение плана скоростей
.3 Построение плана ускорений
. Построение диаграммы перемещения,
скорости и ускорения
.1 Построение диаграммы перемещения
точки F
.2 Построение диаграммы скорости
ползуна
.3 построение диаграммы ускорения
ползуна
Заключение
Список использованной литературы
Введение
Прессы предназначены для глубокой вытяжки изделий из листового металла,
преимущественно корпусов фляг, вёдер, бидонов, кастрюль, пазов и так далее.
Кривошипные прессы простого действия изготовляют двух типов: одностоечные
и двухстоечные.
По технологическому признаку приводные механические прессы различают
простого, двойного и тройного действия, автоматы, чеканочные, многопозиционные.
Прессы простого действия имеют один движущийся ползун и предназначен для
вырезки, пробивки, гибки, формовки и неглубокой вытяжки.
Вытяжка изделий осуществляется посредством встречного движения вытяжного
и прижимного ползунов с последующим выстаиванием последнего в процессе
совершения рабочей операции. Движение вытяжного ползуна осуществляется от
кривошипно-шатунного привода, а движение прижимного ползуна - от кулачкового.
Отличительная особенность пресса - нижнее расположение привода, рабочее
направление движения вытяжного ползуна сверху вниз, рабочее направление
движения прижимного ползуна снизу вверх, верхнее расположение стола прижима с
возможностью его регулировки сверху вниз навстречу движению прижимного ползуна.
Станина сварная закрытого типа; ее конструкция обеспечивает свободный
доступ к инструменту (к штампу) и возможность встраивания средств механизации.
Ползун вытяжной является главным рабочим органом пресса; он перемещается
в верхних направляющих станины.
Ползун прижимной является дополнительным рабочим органом пресса,
обеспечивающим прижим заготовки во время рабочего хода вытяжного ползуна. Стол
прижима оснащён предохранителем, обеспечивающим предохранение элементов пресса
от перегрузки, возникающей при неправильной регулировке прижима или при наличии
двух заготовок в штампе.
Муфта-тормоз пневматическая, жесткосблокированная, фрикционная
многодисковая с электропневматическим управлением.
Рисунок 1 - механизм вытяжного пресса.
Реферат
КРИВОШИП, ШАТУН, ПОЛЗУН, СТОЙКА, КИНЕМАТИЧЕСКАЯ ПАРА, ПОДВИЖНОСТЬ, ЗВЕНО,
СТРУКТУРА
В курсовой работе произведено структурное и кинематическое исследование
механизма вытяжного пресса.
В рабочих чертежах разработаны план положений, план скоростей и план
ускорений всех звеньев механизма при разных углах поворота кривошипа. Начерчены
графики, в которых определены зависимости положений, скоростей и ускорений
выходного звена от угла поворота кривошипа.
кинематический механизм кривошип ускорение
1. Структурный и кинематический анализ механизма
1.1 Определение вида и количества звеньев и кинематических пар
Механизм приведенный на рисунке 1 состоит из 6 звеньев, из которых одно
неподвижное и пять подвижных: 1 звено - кривошип, 2 звено - шатун, 3 звено -
коромысло, 4 звено - шатун, 5 звено - ползун, 0 звено - стойка.
Рисунок 1- Структурная схема механизма
Данный механизм содержит семь кинематических пар: O, A, B, C, D, F0, F. Из них O, A, B, C, D, F - вращательные кинематические пары со степенью свободы
равной 1, и F0 - поступательная кинематическая пара также со
степенью свободы равной 1.
Подвижность механизма - количество независимых обобщенных координат
однозначно определяющих положение точек и звеньев на плоскости или в
пространстве.
Для определения подвижности механизма (см. рисунок 1) необходимо
воспользоваться структурной формулой для плоских механизмов, которая носит
название «Формула Чебышева».
Формула Чебышева:
(1)
где:
- подвижность механизма;
-
количество подвижных звеньев в механизме;
-
количество кинематических пар со степенью свободы равной 1;
-
количество кинематических пар со степенью свободы равной 2.
Подвижность
механизма равна:
1.2 Классификация механизма по Ассуру
Для решения задач анализа и синтеза механизмов профессором Ассуром была
предложена структурная классификация, согласно которой, механизмы, не имеющие
местных подвижностей и избыточных связей состоят из первичных механизмов и
структурных групп Ассура.
Первичный механизм - это механизм, состоящий из двух звеньев, одно из
которых стойка, и образующих между собой кинематическую пару.
Для классификации сначала определяем подвижность механизма, используя
формулу 1, подвижность для плоских механизмов всегда равна единице. Затем
определяем входное звено. Затем находим наиболее удалённое от входного звена.
Выделяем простейшую группу Ассура. Определяем подвижность оставшегося механизма
по формуле Чебышева. Если подвижность не изменилась значит отсоединение
произведено верно. Весь алгоритм повторяется до тех пор, пока не останется
первичный механизм.
Исследуемый механизм состоит из первичного механизма и двух групп Ассура
первого класса, второго порядка (см. рисунок 2).
Рисунок 2- состав механизма а) - первичный механизм; б), в) - группы
Ассура
2. Кинематический анализ механизма
.1 Построение плана положений механизма
. Определяем масштабный коэффициент плана положений:
,
где
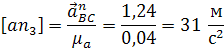
реальный размер звена OA
. Проводим окружность радиусом OA,которая представляет собой траекторию движения точки А относительно
стойки.
. Наносим на план траекторию движения точки В относительно стойки
прямая, параллельная линии движения
ползуна и проходящая через точку В.
. Из точки
строим дугу окружности радиусом АВ до пересечения с
траекторией движения точки В относительно стойки.
5. Место пересечения обозначаем
.
. Точку
соединяем с точкой
.
. Из точки
строим окружность радиусом ВС до пересечения с траекторией
движения точки В относительно стойки.
. Место пересечения обозначаем траекторию движения точки B.
. Из точки С строим окружность радиусом CD до пересечения с траекторией движения точки D относительно стойки.
. Место пересечения обозначаем траекторию движения точки D.
. Из точки D строим
окружность радиусом DF до пересечения
с траекторией движения точки F
относительно стойки.
. Место пересечения обозначаем траекторию движения точки F.
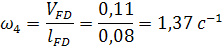
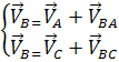
2.2 Построение плана скоростей
. Произвольно, исходя из удобства размещения на чертеже, выбираем
положение полюса плана скоростей
.
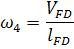
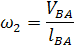
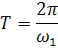
. Определяем величину линейной скорости точки А ведущего звена механизма
(кривошипа) из выражения:
,
где
линейная скорость точки А,
угловая скорость,
реальный размер звена OA
где
число оборотов
Направление линейной скорости точки А перпендикулярно ОА и совпадает с
направлением угловой скорости
.
. Из полюса
строим вектор
абсолютной скорости точки А
перпендикулярно ОА по направлению угловой скорости
. Длина вектора
произвольная.
Определяем масштаб плана скоростей:
,
где
длина вектора
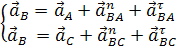
. Составляем векторные уравнения для определения вектора абсолютной
скорости В. Движение точки В является сложным, поэтому рассмотрим движение
точки В вокруг центров переноса. Относительно первого вместе с шатуном 2, в
качестве центра переноса выбираем точку А, скорость которой известна.
Относительно второго центра переноса вместе с коромыслом 3. В качестве центра
переноса выбираем точку
, находящуюся на стойке, вектор скорости которой
Система векторных уравнений имеет
вид:
где
вектор скорости точки В относительно полюса переноса А
относительное движение (линия его
действия известна, она перпендикулярна ВА).
вектор скорости точки В относительно полюса переноса B (линия его действия известна, она
параллельна линии действия коромысла 3).
Скорость в точке D
определяем по теореме подобия.
Вектор
строим продлеваем с точки С (т.к.
).
Система векторных уравнений для точки F:
вектор скорости точки F относительно полюса переноса
(линия его действия известна, она
параллельна линии действия ползуна 5).
. Через конец отрезка
изображающего вектор абсолютной скорости точки А проводим
линию действия
перпендикулярно звену АВ. Через конец вектора скорости
(т.к.
, то через полюс
) проводим линию действия
перпендикулярно звену BC. На пересечении этих линий строим
точку b. Строим вектор
абсолютной скорости
.
. Строим вектор абсолютной скорости точки d по теореме подобия. Соответствующее соотношение выглядит
следующим образом:
. Соединив полюс
с точной d,
получим отрезок
, изображающий вектор абсолютной скорости точки D.
. Далее строим перпендикуляр отрезка FD от точки d и
параллельную линию
от полюса
, пересекающие прямые соединяем, это и будет наша точка F.
9.
Определили модули искомых скоростей:
. Определили абсолютную угловую скорость звена 2,3,4. Эта скорость
вращения звена относительно стойки.
Значение этой скорости определяется из выражения:
Направление абсолютной угловой скорости определяется по направлению
вектора соответствующей относительной линейной скорости.
. Выбираем положение полюса плана ускорений
. В полюсе берут начало векторы
абсолютных ускорений точек механизма.
. Из полюса
строим вектор ускорения точки А
. Так как угловая скорость
постоянна, то касательное ускорение
точки А равно нулю, следовательно, вектор
равен вектору нормального ускорения
точки А (параллелен ОА и направлен к центру вращения). Величина ускорения точки
А определяется из выражения:
Так как
, то
Длина вектора
выбирается из тех же соображений, что и длина вектора
на плане скоростей. При этом масштаб
плана ускорений определяется по формуле :
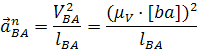
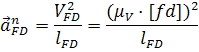
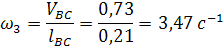
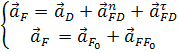
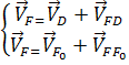
. Составим векторные уравнения для определения абсолютного ускорения
точки В и
точки D. Векторные уравнения имеют вид:
где
вектор нормального и касательного ускорений точки В
относительно центра переноса А.
вектор ускорения точки В относительно центра переноса.
Ускорение точки D
определяем из теоремы подобия
где
вектора нормального и касательного ускорений точки D относительно центра переноса C.
вектор ускорения точки F относительно центра переноса.
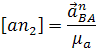
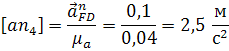
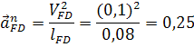
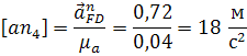
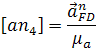
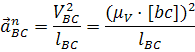
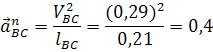
. Определим величину ускорения
,
,
:
Для 1положения:
Для 2 положения:
Для 3положения:
Для 4 положения:
Для 5 положения:
Для 6 положения:
Для 7 положения:

Для 8 положения:
Для 9 положения:
Для 10 положения:
Для 11 положения:
Для 0 положения:
. Строим прямую
, она параллельна отрезку OA. От
строим параллельную прямую отрезка BA и откладываем точку [
( длины отрезков [
,
,
смотри в пункте 4).
. От нее строим перпендикуляр отрезка BA. Далее от точки С (т.к. с=0, от полюса
) проводим прямую
и откладываем отрезок
.
. От
строим перпендикулярную линию и где прямые
и
пересекаются будет точка B.
. Ускорение точки D
определяем по теореме подобия
Для 0 положения:
Для 1 положения:
Для 2 положения:
Для 3 положения:
Для 4 положения:
Для 5 положения:
Для 6 положения:
Для 7 положения:
Для 8 положения:
Для 9 положения:
Для 10 положения:
Для 11 положения:
проводим прямую линию от полюса
и точки B на длину [dc].
. Далее от точки D
строим прямую
параллельно отрезку FD и откладываем отрезок
, от этого отрезка строим
, перпендикулярно отрезку FD.
3. Построение диаграмм перемещения, скорости и ускорения
.1 Построение диаграммы перемещения точки F (ползуна)
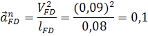
Определили масштабный коэффициент:
,
где T
период,
L
длина периода,
Определяем расстояние, на которое переместится ползун. Для этого на плане
положений встаем в точку
и замеряем расстояние до точки
. Затем замеряем расстояние от точки
до точки
и т.д. до
. Записываем получившиеся значения:
,
,
,
,
,
,
,
,
,
,
,
,
Ось t, диаграммы перемещения, разбиваем на
12 участков. От 0 участка вверх откладываем расстояние равное 0, от 1 участка
10, от 3 участка 60,6 и т.д. На концах этих отрезков отмечаем точки и соединяем
их плавной кривой. В результате мы построили диаграмму перемещения ползуна.
.2 Построение диаграммы скорости ползуна
Определили масштабный коэффициент:
,
где
расстояние от полюса Р до оси V
Для построения диаграммы скорости используем метод хорд. Для этого на
диаграмме перемещения проводим прямую через точки 0 и 1. Через полюс проводим
линию параллельно той, которая соединяет точки 0 и 1. Там, где построенная
прямая пересекается с осью V,
проводим прямую параллельно оси t и на
ней откладываем расстояние равное 0,5, т.к. метод хорд подразумевает
усреднение. На конце этого отрезка отмечаем точку. Аналогично строим другие
точки. Соединив их, получим диаграмму скорости ползуна.
.3 Построение диаграммы ускорения ползуна
Определили масштабный коэффициент:
,
где
расстояние от полюса Р до оси a
Для построения диаграммы ускорения используем метод хорд. Для
этого на диаграмме скорости проводим прямую через точки 0 и 1. Через полюс
проводим линию параллельно той, которая соединяет точки 0 и 1. Там, где
построенная прямая пересекается с осью a проводим прямую параллельно оси t и на ней откладываем расстояние равное 0,5, т.к. метод хорд
подразумевает усреднение. На конце этого отрезка отмечаем точку. Аналогично
строем другие точки. Соединив их, получим диаграмму ускорения ползуна.
Заключение
В курсовой работе произведено структурное и кинематическое исследования
механизма вытяжного пресса.
В структурном исследовании определено количество и виды звеньев и
кинематических пар, также определена подвижность механизма и проведена
структурная классификация механизма по Ассуру.
В кинематическом исследовании описано построение плана положений,
определение скоростей и ускорений точек механизма.
В рабочем чертеже разработаны план положений, планы скоростей и планы
ускорений всех звеньев механизма при разных положениях кривошипа. Начерчены
графики, в которых определены зависимости перемещений, скоростей и ускорений
выходного звена от разных положений кривошипа.
Список использованной литературы
1) Мансуров И.З., Подрабинник И.М. Специальные
кузнечно-прессовые машины и автоматизированные комплексы кузнечно-штамповочного
производства: Справочник М.: Машиностроение, 1990. - 344 с.
2) Артоболевский И.И. Теория механизмов и машин: Учеб.
Для вузов. - 4-е изд., перераб. и доп. - М.: Наука. Гл. ред. физ.-мат. лит.,
1988. - 640 с.
3) Вагоны и вагонное хозяйство: Методическое руководство к
дипломному проектированию для студентов специальности 150800 - Вагоны / Л.В.
Егорова, В.Ф. Лапшин, М.В. Орлов и др.; Под общ. ред. проф. М.Ф. Орлова. -
Екатеринбург: Изд-во УрГУПСа, 2004. - 120 с.