Расчет рычажного механизма
1. Начальные условия к задаче по анализу плоского рычажного
механизма
Рисунок 1 - Плоский рычажный механизм
- кривошип, 2-шатун, 3-кромысло, 4-шатун, 5-пользун, 0-стойка.
Механизм вытяжного пресса имеет следующие параметры:
=0,10 (м); BC=0,45 (м); CD=0,30 (м); DE=0,44 (м); EF=0,11 (м);2=S2C; ES4=S4F;
ω1=8,5 (c-1);2=13 (кг); m3=14 (кг); m4=45 (кг); m5=42 (кг);
IS2=0,26 (кг·м2); IS3=0,28 (кг·м2); IS4=0,10 (кг·м2);п.с.=3,7 (кН).
Необходимо провести структурный, кинематический и силовой анализы данного
механизма, провести расчёт начального механизма.
2. Структурный анализ рычажного механизма
Степень подвижности механизма определим по формуле Чебышева:
где n - число подвижных звеньев механизма;5
- число кинематических пар 5 класса;4 - число кинематических пар 4
класса; получим
За начальное звено принимаем кривошип АВ, так как для него задан закон
движения.
Разбиваем механизм на структурные группы Ассура, начиная со звена,
наиболее удаленного от ведущего по кинематической цепи. В нашем случае этим
звеном является ползун 5. Отсоединяем структурную группу, состоящую из 5
ползуна и 4 шатуна. Получаем структурную группу II класса 2 порядка 2 вида.
Рисунок
2 - Структурная группа 4-5
После
того как отсоединили эту структурную группу, у нас останется промежуточный
механизм:
Рисунок
3 - Структурная группа 2-3
Его
степень подвижности равна:
Значит,
мы правильно отсоединили структурную группу.
Теперь
наиболее удаленным звеном от ведущего является коромысло 3. Отсоединяем
коромысло 3 и шатун 2, и получаем структурную группу II класса 2
порядка 1 вида;
Остался
начальный механизм I класса, состоящая из стойки и ведущего звена, которым
является кривошип 1.
Рисунок
4 - Начальный механизм
Формула
строения механизма в этом случае:
Таким
образом, данный механизм является механизмом второго класса.
3. Кинематический анализ плоского рычажного механизма
3.1 Построение плана скоростей
Кинематический анализ механизма выполняем для заданного положения
механизма в порядке присоединения структурных групп.
Начальный механизм (0,1)
Скорость точки В:
Вектор
направлен из полюса плана скоростей p перпендикулярно
кривошипу АВ в сторону его вращения. Длина вектора
на плане принимаем: pb = 170 мм, тогда:
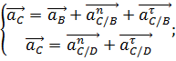
Группа (2,3)
Скорость точки C:
Вектор
направлен перпендикулярно ВC. Вектор
направлен перпендикулярно СD.
В результате построения находим точку С - конец вектора
.
Угловая скорость звена механизма определяется по параметрам относительной
скорости любых двух точек, принадлежащих этому звену.
Скорость
равна 0.
Используя свойство пропорциональности определим скорость точки Е:
Скорость
равна 0.
Вектор
направлен перпендикулярно DЕ.
Группа (4,5)
Скорость точки F:
Вектор
направлен перпендикулярно EF.
Из плана получим:
Угловая скорость звеньев:
3.2 Построение плана ускорений
Начальный механизм (0,1)
Ускорение точки В
Вектор
направлен вдоль звена АВ от точки В к точке А.
Группа (2,3)
Ускорение точки C:
Вектор тангенциального ускорения
направлен параллельно вектору
скорости с одноименным нижним индексам; его длина определяется построением.
Вектор нормального ускорения
направлен параллельно звену BC от точки C к
точке B и имеет начало в точке b плана ускорений; его величина:
Из плана получим:
Угловое ускорение звена механизма определяется по параметрам
тангенциальной составляющей относительного ускорения двух любых точек,
принадлежащих этому звену.
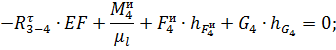
Группа (4,5)
Ускорение точки F:
Группа (4,5)
Ускорение точки F:
Вектор нормального ускорения
направлен параллельно звену EF от точки F к точке B; его
величина:
Из плана получим:
Угловое ускорение звеньев:
4. Силовой анализ механизма
Согласно принципу Даламбера, инерционные силы и моменты дополняют систему
сил, действующих на звенья механизма, до равновесной. Инерционные силы считаем
приложенными в центрах масс звеньев и направленными противоположно их
ускорениям. Инерционные моменты направляем противоположно угловым ускорениям
соответствующих звеньев.
Величины инерционных нагрузок:
Сила тяжести определяется по известной формуле
Таким образом, силы тяжести, инерционные нагрузки, сила производственного
сопротивления и уравновешивающий момент образуют равновесную систему внешних
сил, которая является статически определимой. Реакции в кинематических парах,
вызываемые этими внешними нагрузками, являются для данной системы внутренними
нагрузками и определяются из силового расчета структурных групп.
Порядок силового расчета определяется формулой строения механизма. При
этом за начальное принимают то звено, к которому приложена неизвестная внешняя
нагрузка. В данном случае известная нагрузка Рп.с. приложена к
выходному звену механизма. Анализ групп проводим в порядке, обратном их
присоединению в формуле строения.
4.1 Силовой расчёт группы 4-5
Уравнение моментов сил, действующих на группу, относительно точки F:
где h - плечо силы, находится по чертежу с
учётом масштабного коэффициента.
Отсюда реакция
:
Уравнение плана сил для группы 4-5:
Построением плана сил по уравнению определяются значения реакций
и
:
Уравнение плана сил, действующих на звено 4:
Вектор
, величина и направление которого определяются построением
плана сил по уравнению, соединяет на плане конец вектора
с началом вектора
. В результате построения получаем
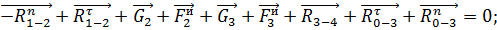
4.2 Силовой расчёт 2-3
Уравнение моментов сил, действующих на звено 2, относительно точки С:
Отсюда реакция
:
Уравнение моментов сил, действующих на звено 3, относительно точки С:
Отсюда реакция
:
Уравнение плана сил для группы 2-3:
Построением плана сил по уравнению определяются величины реакций
и
:
Уравнение плана сил для звена 2:
Построением плана сил по уравнению определяются направление и величина
реакции
:
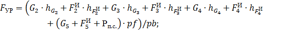
4.3 Силовой расчёт начального механизма
Уравновешивающий момент сил, действующий на звено 1, относительно точки
А:

Теперь отложим расстояния, равные полученным соотношениям от линий
действий сил инерции, и поместим на этом расстоянии противоположно направленные
силы, равные соответствующим силам инерции. Таким образом, мы получили пары
сил, уравновешивающие соответствующие моменты инерции.
Составим уравнение моментов сил относительно точки р::
Отсюда найдём уравновешивающую силу:
Сравним значений уравновешивающего момента, полученных различными
методами
Значение уравновешивающего момента, полученное методом планов сил
.
Значение уравновешивающего момента, полученное методом рычага Жуковского
.
Сравним эти значения:
5. Начальные условия для задачи по синтезу кулачкового
механизма.
Дано:
l= 170 мм, ψMax= 15˚, φУ= 60˚, φВВ= 80˚, φ0= 60˚, φНВ = 160˚, [θ]= 30˚.
Требуется спроектировать кулачковый механизм наименьших размеров с
поступательно движущимся роликовым толкателем.
6. Расчётные зависимости для построения кинематических
диаграмм.
Для построения диаграммы аналога скоростей и ускорения:
Примем:
Для построения кинематических диаграмм движения толкателя:
7. Определение основных размеров кулачкового механизма
Для определения наименьшего допустимого значения R0 необходимо вычертить диаграмму
зависимости перемещения толкателя от его аналога скорости.
Рисунок 5 - Определение основных размеров кулачка
В результате данного построение определили размер радиуса кулачка.
8. Построение профиля кулачка методом обращённого движения
Проведем окружность радиусом Rmin = 90 мм. Окружность разделим на части, соответствующие делениям оси
абсцисс диаграмм; направление деления и нумерация положений противоположны
заданному направлению вращения кулачка. Через полученные деления проведем
радиальные прямые. Каждая из прямых показывает текущее положение толкателя в
обращенном движении. На прямых от точек деления, лежащих на окружности Rmin, отложим отрезки, равные ординатам
диаграммы S для соответствующих положений. Через
концы отрезков проводим линии под углом 90° к прямым, и огибающая этих линий
является профилем кулачка.
В кулачковых механизмах с роликовым толкателем (коромыслом) от радиуса
ролика зависят размер действительного профиля кулачка, контактные напряжения и,
следовательно, прочность и долговечность конструкции.
Минимальный радиус кривизны профиля кулачка ρmin приближенно определяется как радиус
вписанной окружности участка кулачка, где кривизна его кажется наибольшей. На
этом участке произвольно выбираются 3 точки и соединяют их. К серединам
полученных хорд восстановим перпендикуляры, точку пересечения которых примем за
центр вписанной окружности.
При больших значениях ρminрадиус ролика уменьшают до
конструктивно удобных размеров:
Следует выбирать радиус ролика, удовлетворяющим требованиям:
Принимаем по ГОСТ 6633-69 радиус ролика равный 30 мм.
Далее вычерчиваем действительный профиль кулачка.
Список литературы
1.Акулич В.
К. Курс проектирование теории механизмов и машин: Учеб. пособие для инж.-техн.
спец. вузов.;Под ред. Г. Н. Девойно.-М.: Высш. шк., 1986.- 285 с: ил.
. Силовой
расчет механизмов: Учебное пособие. Под ред. Н.В.Фролова. Изд-во МВТУ, 1991. рычажный механизм
кулачковый
. Стандарт
организации, система менеджмента качества. Графические и текстовые
конструкторские документы, общие требования к построению, оформлению / УГАТУ. -
Уфа, 2007. - 94с.