Расчет рычажного механизма

  • Вид работы:
    Курсовая работа (т)
  • Предмет:
    Другое
  • Язык:
    Русский
    ,
    Формат файла:
    MS Word
    1,16 Мб
  • Опубликовано:
    2013-03-22
Вы можете узнать стоимость помощи в написании студенческой работы.
Помощь в написании работы, которую точно примут!

Расчет рычажного механизма

1. СТРУКТУРНЫЙ АНАЛИЗ И СИНТЕЗ РЫЧАЖНОГО МЕХАНИЗМА

.1 КИНЕМАТИЧЕСКАЯ СХЕМА

Рисунок 1.1 - Кинематическая схема технологической машины

= 0,25 м;= 0,80 м;= 0,62 м;= 0,70 м;

α = 19°;

β = 48°;

γ = 61°

1.2 СТРУКТУРНАЯ СХЕМА

Рисунок 1.2 - Структурная схема механизма 0 -стойка, 1 -кривошип, 2 -шатун, 3 -коромысло

Таблица кинематических пар

Таблица 1.1

Обозначение

Звенья образующие пару

Тип

Класс

Относительно движение звеньев

O

0,1

Низшая

5

Вращательное

A

1,2

Низшая

5

Вращательное

B

2,3

Низшая

5

Вращательное

C

0,3

Низшая

5

Вращательное


Подвижность механизма по формуле Чебышева

=3n - 2p5 - p4 + qпс

где n - число подвижных звеньев;- количество пар 5 класса (по таблице 1.1);- количество пар 4класса (по таблице 1.1);

qпс - число пассивных связей.

=3*3 - 2*4 - 0 + 0 = 1

В механизме одно входное звено.

Расчленяем механизм на простейшие структурные составляющие (рисунок 1.3).Звено 3 является выходным, поскольку к нему приложена сила полезного сопротивления Fпс. Тогда звено 1 - входное, а звено 2 - промежуточное.

 

Рисунок 1.3 - Простейшие структурные составляющие механизма

Формула строения

(0,1)→ІІ(2,3)

Механизм относится ко второму классу.

1.3 ОПИСАНИЕ ПРИНЦИПА РАБОТЫ

Выходное звено коромысло 3 в течение рабочего хода воздействует на обрабатываемый предмета в точке контакта D, поворачиваясь против часовой стрелки и преодолевает силу Fпс (рисунок 1.2). Поворот осуществляется за счет того, что со стороны шатуна 2 в шарнире B на него действует некоторая сила (реакция) F32 (на рисунке она не показана). В свою очередь звено 2 подвергался действию реакции F21 со стороны звена 1. Само звено 1 получает движение от привода, состоящего из электродвигателя и зубчатого механизма (редуктора), который необходим для обеспечения заданной угловой скорости ωk кривошипа (рисунок 1.1). Во время холостого хода сила F пс не действует, а коромысло поворачивается по часовой стрелке, возвращаясь в исходное положение.

1.4 ОПРЕДЕЛЕНИЕ НЕДОСТАЮЩЕГО РАЗМЕРА

Для определения lАВ применяем условие Грасгофа

lOA< lAB< lBC< lOC+ lOC< lBC + lAB

0,25 + 0,8<0,62 + lAB

lAB > 0,25 + 0,8 - 0,62> 0,43

Ориентируясь по расстоянию lOC = 0,8 м, принимаем приближённо, lAB = (0,9 - 1,1) lOC, lAB = 0,8. Поскольку самым большим межцентровым расстоянием стало lAB, вновь записываем условие Грасгрофа и проверяем его выполнение

+ lOC< lBC + lAB

,25 + 0,8<0,62 + 0,8

,05 < 1,42

С целью проверки отсутствия превышения угла давления δ в кинематической паре B над его максимально допустимым значением δmax = 45° вычерчиваем упрощенные планы механизмы в крайних положениях (рисунок 1.4). Для этого принимает масштабный коэффициент длины μl = 0,01 м/мм и вычисляем длины отрезков на чертеже, соответствующих расстояниям между центрами шарниров:


Рисунок 1.4 - Определение максимальных углов давления

Измеряем угол давления в крайних положения. Констатируем что его наибольшая величина δ = 40 ° имеет место в положении К1, но она не превышает максимально допустимое значения, равного 45°. Условие работоспособности по максимальному углу давления выполняется.

Корректировки расстояния lAB =0,8 м (рисунок 1.2), определенного в пункте 1.4.1 не требуется.

2. КИНЕМАТИЧЕСКИЙ АНАЛИЗ РЫЧАЖНОГО МЕХАНИЗМА

.1 ИСХОДНЫЕ ДАННЫЕ

Кинематическая схема (рисунок 1.1)

Дополнительно определённые размеры звеньев: lAB= 0,8 м (пункт 1.4)

Угловая скорость кривошипа ωк = 8 рад/с

Угол поворота кривошипа от положения, соответствующего началу рабочего хода до расчетного φ = 120°

2.2 ОПРЕДЕЛЕНИЕ ПОЛОЖЕНИЙ ЗВЕНЬЕВ И НЕКОТОРЫХ ТОЧЕК

Для построения планов механизма принимаем масштаб длины μl = 0,004 м/мм и вычисляем чертёжные размеры звеньев:


При выполнении всех графических построений и измерений используем графический редактор КОМПАС. Начинаем с вычерчивания планов механизма в крайних положениях. Они имеют место тогда, когда центры шарниров O, A и С расположены на одной прямой. Последовательность:

наносим на чертеж шарниры O и E;

из точки O радиусом  проводим окружность - траекторию центра шарнира , а из точки С - дугу окружности радиусом  - траекторию центра шарнира ;

из точки O на траектории точки  делаем засечки радиусами:

вычерчиваем остальные звенья в положениях «H» и «K» (рисунок 2.1).


Рисунок 2.1 - Механизм в крайних положениях

Больший из двух углов поворота кривошипа 1 между крайними положениями соответствует рабочему ходу, а меньший - холостому. Обозначаем их на планах и измеряем величины: αр = 194°35', αx = 165°25'.

Измеряем угол размаха коромысла ψ = 51°13'. Устанавливаем, что во время рабочего хода оно движется из положения «H» в положение «K». Следовательно, положение «H» соответствует началу рабочего хода, а положение «K» - концу. Кривошип 1 на рабочем ходу должен повернуться через угол αр из положения «H» в положение «K». Это возможно только при его вращении против часовой стрелки. Проставляем направление угловой скорости на чертеже.

Вычисляем коэффициент изменения средней скорости выходного звена


Строим план расчетного положения механизма, повернув кривошип на угол φп = 120° в сторону вращении, от положения «H».

Наносим точку S2 центра масс шатуна 2. Для упрощения расчетов и построений считаем приближённо, что точка S2 расположена посередине шатуна .

Измеряем угол поворота коромысла 3 от начального положения до расчётного ψр = 38°14'.

2.3 ОПРЕДЕЛЕНИЕ СКОРОСТЕЙ В РАСЧЕТНОМ ПОЛОЖЕНИИ

Вычисляем линейную скорость конца кривошипа


Составляем и анализируем векторное уравнение для скорости центра шарнира B, рассматривая плоское движение звена 2.


Принимаем масштаб скорости = 0,02 м/(с · мм) и решаем уравнение графически. Длина полностью известного вектора  


Определяем ранее неизвестные линейные скорости:


Находим величины угловых скоростей звеньев 2 и 3:


Определяем и указываем их направление  - по часовой стрелки,  - по часовой стрелки.

Вычисляем линейную скорость точки D.


Длина соответствующего ей вектора на плане скоростей


Направление - перпендикулярно CD в сторону .

2.4 ОПРЕДЕЛЕНИЕ УСКОРЕНИЙ В РАСЧЕТНОМ ПОЛОЖЕНИИ

Исходя из того, что кривошип 1 совершает равномерное вращательное движение, вычисляем ускорение центра шарнира A, которое является полностью нормальным


Рассматривая плоское движение шатуна 2 и вращательное движение коромысла 3, взяв в качестве исходные точки A и C, составляем систему векторных уравнений ускорений центра шарнира B и анализируем входящие в уравнение векторы

Вычисляем нормальные составляющие ускорений:



Принимаем масштаб плана ускорений = 0,2 м/(с2 * мм) и вычисляем длинны векторов на чертеже:


Решаем систему графически. Точку d на плане ускорений находим с использованием теоремы подобия звена 3. С этой целью составим пропорцию решив её выведем искомую длину отрезка . Отрезок  измеряем на плане в миллиметрах:


Считая звенья однородными по длине, и используя теорему о подобии для планов ускорений звеньев 2 и 3, наносим на планы ускорений их центр масс - точки , . При этом учитываем п. 2.2.7.

Измерив соответствующие векторы, находим величины неизвестных ранее линейных ускорений:



Вычисляем угловые ускорения звеньев и устанавливаем их направления:


направление - против часовой стрелки;


направление - по часовой стрелке.

3. СИЛОВОЙ АНАЛИЗ РЫЧАЖНОГО МЕХАНИЗМА

.1 ИСХОДНЫЕ ДАННЫЕ

Результаты кинематического анализа механизма.

Направление и точка приложения силы полезного сопротивления Fпс = 4300 Н. Удельная масса звеньев q = 40 кг/м

3.2 ОПРЕДЕЛЕНИЕ СИЛ ВЕСА И ИНЕРЦИОННО НАГРУЗКИ, ДЕЙСТВУЮЩИХ НА ЗВЕНЬЯ

Находим массы звеньев:


Вычисляем силы веса звеньев:


Находим силы инерции звеньев в расчетном положении:


Вычисляем моменты инерции звенев относительно их центров масс. Для звена 2 с целью упрощения расчётов и с учётом 2.2.7 используем приближённую формулу

Для звена 2:


Для звена 3:


Находим моменты пар сил инерции, действующие на звенья в расчётном положении.


направление - по часовой стрелки;


направление -против часовой стрелки.

3.3 СИЛОВОЙ РАСЧЁТ МЕХАНИЗМА МЕТОДОМ ПЛАНОВ СИЛ

Используя масштаб длины вычерчиваем планы структурной группы 2 - 3 и звена 1. Длины отрезков на чертеже:


Наносим на план механизма все активные силовые факторы, а также инерционную нагрузку, действующие на звенья механизма. Кривошип 1 считаем сбансированным. Поэтому инерционная нагрузка на него отсутствует. Силой веса пренебрегаем ввиду малости.

На план структурной группы 2 - 3, кроме силовых факторов, указанных в п. 3.3.2, наносим реакции со стороны звена 1 и стойки. Внешние реакции в шарнирах A и C, неизвестные как по величине, так и по направлению, представляем в виде двух составляющих: нормальной и тангенциальной. Первую направляем по линиям, соединяющим центры шарниров A и B, а также В и С, вторую - перпендикулярно нормальным. Направления стрелок - произвольные.

Составляем и анализируем векторное уравнение кинетостатики


Оно содержит 4 неизвестные величины и не поддаётся прямому графическому решению.

Определяем тангенциальные составляющие реакций. С этой целью для каждого звена составляем уравнение моментов относительно центра шарнира С.

Для звена 2:


Знак минус означает, что реальное направление реакции противоположно направлению, принятому первоначальному. Указываем его на плане структурной группы.

Для звена 3:

 

 

 Н.

Знак минус означает, что реальное направление реакции противоположно направлению, принятому первоначальному. Указываем его на плане структурной группы.

Для графического решения векторного уравнения принимаем масштаб плана сил Н/мм и вычисляем длины отрезков, соответствующих каждой силе на плане:


Строим план сил и по нему определяем искомые реакции:


Для нахождения внутренний реакции в шарнире B группы 2 - 3 рассматриваем кинетостачическое равновесие звена 2. Уравнение кинетостатики


содержит только одну дважды неизвестную реакцию . Для его решения используем построенный план силы .

Н.

Составляем, анализируем и решаем графически векторное уравнение кинетостатики звена 1. Для начала сил используем масштаб  Н/мм.


Длина на плане полностью известного вектора


Искомые силы:


3.4 ОПРЕДЕЛЕНИЕ УРАВНОВЕШИВАЮЩЕЙ СИЛЫ МЕТОДОМ РЫЧАГА ЖУКОВСКОГО

Раскладываем моменты пар сил инерции, действующие на звенья, на пары сил:


Взяв план скоростей из кинематического анализа механизма (чертеж…), чертим его, повернув на 90°. Используя теорему о подобии для планов скоростей, в соответствующие точки на планах прикладываем приложенные к ним силы. Получили рычаг Жуковского. Составляем уравнение моментов относительно полюса и находим из него уравновешивающую силу. Плечи сил измеряем на чертеже в миллиметрах.

 

 

 

Вычисляем относительную погрешность определения  разными способами


где  - величины уравновешивающей силы, определённые методами рычага Жуковского и планов сил соответственно.


Расхождение не превышает 5%. Следовательно, можно считать, что силовой расчёт выполнен правильно обоими методами.

4. СИНТЕЗ ЗУБЧАТОГО ЗАЦЕПЛЕНИЯ

.1 ИСХОДНЫЕ ДАННЫЕ

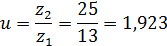
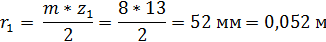
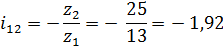
Число зубьев колес z1 = 13 и z2 = 25.

Модуль зацепления m = 8 мм.

Критерии качества

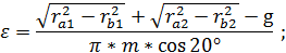
Коэффициент торцевого перекрытия ε

Коэффициент удельного скольжения зубьев колеса и шестерни должны быть равны

Подрез зубьев шестерни и колеса не разрешается

4.2 ОПРЕДЕЛЕНИЕ КОЭФФИЦИЕНТОВ СМЕЩЕНИЯ

Исходя из заданных чисел зубьев z1 = 13 и z2 = 25 по ближайшему блокирующему контуру для z1 = 13 и z2 = 25 выбираем коэффициенты смещения таким образом, чтобы обеспечить равенство удельных скольжений λ1 = λ2, величину коэффициента перекрытия ε ≥ 1,2 и толщину зуба шестерни на окружности вершин Sa ≥ 0,25 m. Принимаем предварительно x1´= 0,5 ; x2´= 0,2.

Инволюта угла зацепления:


Угол зацепления αw ≈ 24º 33´.

Предварительное межосевое расстояние:


Округляем межосевое расстояние до ближайшего значение из ряда нормальных линейных размеров  = 160 мм.

Уточняем угол зацепления:


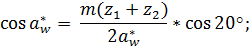
Сумма коэффициентов смещения:


По блокирующему контору с учетом п.4.3 распределяем  по колесам. Принимаем . Эта точка лежит на прямой λ1 = λ2 выше кривой ε.

Исследуем возможность увеличения ε путем уменьшения xΣ. C этой целью принимаем межосевое расстояние из ряда нормальных линейных размеров ближайшее меньшее вычисленному в п.5.3 и повторяем расчеты по п.п. 5.5 и 5.6.


Пытаемся распределить  по колесам. Устанавливаем, что при любых значениях  и точка с такими координатами лежит вне блокирующего контура что не допустимо.

Принимаем промежуточное значение межосевого расстояния aw = 155 и вновь повторяем вычисления.



С учетом п. 1.4 по блокирующему контуру окончательно принимаем

x1´= 0,45 ; x2´= - 0,05. При этом видим, что толщина зуба шестерни по окружности вершин больше минимально допустимого значения Sa1 = 0,25m, а других ограничений не задано.

4.3 РАЧСЕТЫ РАЗМЕРОВ

Радиусы начальных окружностей:


Проверка:


Радиусы делительных окружностей:


Радиусы основных окружностей:


Радиусы окружностей впадин:


Радиусы окружностей вершин:


Шаг по делительной окружности:


Угловые шаги:


Вычисляем размеры зубьев:

высоты головок


- высоты ножек


высоты зубьев


Проверка= h2

Проверяем правильность расчетов радиальных размеров через высоту зубьев:

коэффициент воспринимаемого смещения


коэффициент уравнительного смещения


высоты зубьев


Результат совпал с п. 6.8. Расчеты выполнены верно.

Толщина зубьев шестерни по окружности вершин:


Вычисленные размеры сводим в таблицу

Параметры зацепления


Обозн.

Ед. изм.

Колеса




1

2

Модуль

m

мм

8

Число зубьев

z

-

13

25

Коэффициент смещения

x

-

0,45

- 0,05

Окружной шаг по длительной окружности

p

мм

25,12

Угловой шаг

…°

27,69

14,4

Межосевое расстояние

aw

мм

155

Угол зацепления

αw

…°

Длина теоретической линии зацепления

g

мм

60,187

Радиус делительной окружности

r

мм

52

100

Радиус основной окружности

rb

мм

48,88

94

Радиус начальной окружности

rw

мм

53,03

101,97

Радиус окружности вершин

ra

мм

63,4

107,4

Радиус окружности впадин

rf

мм

45,6

89,6

Высота головки зуба

ha

мм

11,4

7,4

Высота ножки зуба

hf

мм

6,4

10,4

Высота зуба

h

мм

17,8

17,8

Толщина зуба по делительной окружности

S

мм

15,1808

12,2688

Длина общей нормали

W

мм

39,34

61,57

Угол перекрытия*

φα

…°



Коэффициент перекрытия

ε

-

1,41


4.4 ВЫЧИСЛЕНИЯ ОЖИДАЕМЫХ КАЧЕСТВЕННЫХ ПОКАЗАТЕЛЕЙ

Определяем значение предаточного числа:


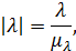
Вычисляем удельные скольжения колес по формулам:


где ρk1 - радиус кривизны профиля шестерни в рассматриваемой точке контакта.

Результаты вычислений сводим в таблицу.

ρk1

0

5

10

15

20

25

30

5,742,611,571,040,730,52







--4,74-1,61-0,57-0,040,270,48







1

0,83

0,62

0,36

0,04

-0,37

-0,91

ρk1

35

40

45

50

55

60,187

0,52

0,26

0,18

0,11

0,05

0

0,48

0,74

0,82

0,89

0,95

1

-0,91

-2,81

-4,7

-8,44

-19,39

-



Коэффициент торцевого перекрытия


Вычисляем величины коэффициента удельного давления в различных точках теоретической линии зацепления.


Результаты расчетов размещаем в таблице

ρk1

0

5

10

15

20

25

30

1,7440,9590,710,5990,5320,531







ρk1

35

40

45

50

55

60,187

0,546

0,596

0,705

0,945

1,688


 

.5 ВЫЧЕРЧИВАНИЕ КАРТИНЫ ЗАЦЕПЛЕНИЯ


Выбираем для построения масштаб ЕСКД М4:1.

Проводим межцентровую линию и на расстоянии



Отмечаем на ней центры O1 и O2.

Проводим на каждом колесе окружности: начальную, делительную, основную, вершин и впадин. Для контроля измеряем радиальные зазоры между окружностями вершин и впадин сопрягаемых колес с1 = с2 ≈ 7 мм. Это соответствует с учетом масштаба расчетному заданию


На межцентровой линии в точке касания начальных окружностей отмечаем полюс зацепления W.

Проводим общую касательную к обеим основным окружностям и убеждаемся в том, что она проходит через точку W.

Отмечаем на касательной точки касания N1 и N2 - границы теоретической линии зацепления


Проверка


Выделяем на линии зацепления активную часть ab заключенную между окружностями вершин колес.

Строим приближенно эвольвентные профили, сопрягаемые в т. W так, как описано в п.п. 1…8 на с.11

Строим оси симметрии зубьев, сопрягаемых в полюсе. Для этого на делительных окружностях делаем засечки на расстояниях 0,5S от только что построенных профилей в сторону их вогнутости и соединяем полученные точки с центрами колес штрихпунктирными линиями. С учетом масштаба


На расстоянии


по делительной окружности проводим оси симметрии двух соседних зубьев.

Строим закругления ножек зубьев во впадинах радиусом


Выделяем рабочие поверхности профилей зубьев.

Строим графики удельных скольжений в масштабе  Абсциссы расчетных точек графиков из табл. П.1.2 с учетом принятого масштаба для ρk1 М4:1, а также ординаты, вычисленные по формуле


ρk1 мм

0

20

40

60

80

100

120

 мм

--94,79-32,2-11,33-0,95,369,53







 мм

20

16,52

12,34

7,23

0,86

-7,33

-18,22

ρk1 мм

140

160

180

200

220

240,748

 мм

12,52

14,75

16,49

17,88

19,02

20

 мм

-33,44

-56,21

-99,96

-168,77

-387,81

-



Проставляем стандартные обозначения размеров.

Измеряем фактическую длину общей нормали шестерни

Вычисляем относительную погрешность с расчетным значением


4.6 ОПРЕДЕЛЕНИЕ КАЧЕСТВЕННЫХ ПОКАЗАТЕЛЕЙ ПО КАРТИНЕ ЗАЦЕПЛЕНИЯ

 

Строим углы торцевого перекрытия, обозначаем их на картине зацепления и измеряем их величины:.

Вычисляем коэффициент перекрытия, используя только что измеренные значения углов.


Находим относительную погрешность определения коэффициента перекрытия графическим и аналитическим способами.


5. СИНТЕЗ И КИНЕМАТИЧЕСКИЙ РАСЧЕТ ЗУБЧАТОГО ЗАЦЕПЛЕНИЯ

 

.1 ИСХОДНЫЕ ДАННЫЕ


Кинематическая схема

Рисунок 5.1

Числа зубьев: z1 = 13; z2 = 25; z4 = 23; z5 = 87; z3 - ?

Рисунок 5.1 - Кинематическая схема механизма

Угловая скорость выходного вала:


Направление вращения звена по часовой стрелки.

5.2 ОПРЕДЕЛЕНИЕ НЕИЗВЕСТНОГО ЧИСЛА ЗУБЬЕВ ОДНОГО ИЗ КОЛЕС


Выделяем из механизма планетарную часть: сателлит 4 сцепляется одновременно с колесом 3 и с колесом 5. Оси вращения колес 3 и 5 совпадают с осью вращения водила Н, т.е. 3, 5 -центральные колеса. Т. о. 3, 4 и 5 - планетарная часть. 1, 2 - непланетарная часть. Т.к. одно из центральных колес (колесо 5) неподвижно, механизм обладает одной степенью свободы. Проверим это расчетом:


Условие соосности для планетарной части:


Неизвестное число зубьев колеса  :


5.3 КИНЕМАТИЧЕСКИЙ РАСЧЕТ АНАЛИТИЧЕСКИМ МЕТОДОМ


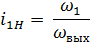
Передаточное отношение не планетарной части механизма

 

В планетарной ступени требуется записать передаточное отношение от водила к центральному колесу:



Передаточное отношение всего механизма

 

Ввиду того, что


угловая скорость входного колеса 1


Найдем угловые скорости


Найдем угловую скорость :


5.4 КИНЕМАТИЧЕСКИЙ РАСЧЕТ МЕХАНИЗМА ГРАФИЧЕСКИМ МЕТОДОМ


Предположив, что модуль колес m = 8 мм, вычисляем радиусы их делительных окружностей:


Вычерчиваем механизм с масштабным коэффициентом μl=0,004 м/мм, обозначаем центры колёс, а также точки их контакта. Проводим вспомогательную линию α-α и проецируем на неё упомянутые точки.

Окружная скорость точки А:


Принимаем μv=0,2 м/(с·мм)


Построение планов линейных скоростей звеньев выполняем в следующей последовательности. Через точки O1 и a проводим прямую 1. Через точки a и O2' проводим прямую H до точки о4. Через точку B' и о4 до точки с проводим прямую 4.Через c и O5' поводим прямую 5. Строим картину угловых скоростей. Приняв μω=0,5 рад/(с·мм):



Проводим из точки P наклонные прямые, параллельные планам скоростей звеньев, и измерив соответствующие отрезки, находим искомые величины угловых скоростей. Те из них, которые совпадают по направлению с ωH, считаем положительными, остальные - отрицательными:


Сопоставляем значения угловых скоростей, определённых графически с вычисленными аналитически. Относительная погрешность:



ЛИТЕРАТУРА

рычажный механизм кинематический ускорение

1.      Артоболевский И.И. Теория механизмов и машин; - 4-е изд. М.: Наука, 1988. - 640 с.

.        Солнцев Б.А. Проектирование и исследование рычажного механизма и зубчатого зацепления. - Рыбинск: РГАТА, 2000. - 63 с.

.        Солнцев Б.А. Кинематика механизмов: Лабораторный практикум по ТММ. - Рыбинск: РГАТА, 2002. - 58 с.

.        Солнцев Б.А. Практикум по кинематическому анализу зубчатых механизмов. - Рыбинск: РГАТА, 2003. - 52 с.

.        Солнцев Б.А. Анализ четырехшарнирных механизмов. - Рыбинск: РГАТУ,2012. - 80 с.

.        Солнцев Б.А. Синтез эвольвентных зубчатых зацеплений. - Рыбинск: РГАТА, 2004.

.        СТП 1.01-2002. Общие требования к оформлению учебных документов. Текстовые документы. - Рыбинск: РГАТА,2002. - 32 с.


Не нашли материал для своей работы?
Поможем написать уникальную работу
Без плагиата!
Без нейросетей!