Газотурбинный двигатель
СОДЕРЖАНИЕ
турбина компрессор теплоперепад лопатка
1. Задание на расчёт турбины высокого давления
.1 Согласование параметров турбины и компрессора
.2 Исходные данные для расчёта ТВД
. Предварительный расчёт турбины высокого давления
.1 Оценка суммарного расхода воздуха на охлаждение деталей
турбины
2.2 Расход газа через сопловые аппараты турбины
.3 Определение удельного внутреннего и удельного
изоэнтропного теплоперепада в ТВД
.4 Расчёт параметров газа за ТВД
.5 Выбор числа ступеней ТВД и распределение между ними
теплового перепада
.6 Эскиз проточной части ТВД
3. Детальный расчёт ТВД на среднем диаметре
4. Напряжения, допустимая температура и выбор потребной
глубины охлаждения лопаток ТВД
. Расчёт закрутки лопаток ТВД
5.1 Выбор закона закрутки
.2 Выбор количества и расположения расчётных сечений по
радиусу
.3 Расчёт закрутки рабочих лопаток по закону r*Cu=const
. Профилирование охлаждаемых сопловых и рабочих лопаток
ТВД
.1 Исходные данные
.2 Выбор расчётных сечений
.3 Выбор основных геометрических соотношений профиля и
решетки охлаждаемых сопловых и рабочих лопаток
Расчёт диска на прочность
Список литературы
1. ЗАДАНИЕ НА РАСЧЕТ ТУРБИНЫ ВЫСОКОГО ДАВЛЕНИЯ
.1 Согласование параметров турбины и компрессора
Проектируемая турбина всегда должна быть параметрически, термодинамически
и геометрически согласована с приводящим её компрессором.
Совместная работа турбины и компрессора определяется следующими пятью
условиями:
) связью между расходом газа через турбину Gг и расходом воздуха через компрессор Gв:
, кг/с.
Здесь
= 0,015…0,025 - относительный расход топлива,
= 0,02…0,12 - относительный расход охлаждающего
воздуха.
Следует иметь
ввиду, что охлаждающий воздух в последующих после охлаждаемых ступенях
полностью используется.
2) балансом мощности на валу турбокомпрессора:
, кВт.
Здесь
- внутренняя мощность турбины, соответствующая мощности
компрессора Nк;
= 0,97…0,98 - механический КПД, учитывающий потери
механической энергии и отбор мощности на привод вспомогательных агрегатов.
)
соответствием давления газа перед турбиной
и
давления воздуха за компрессором
одноименного
каскада:
, Па.
Здесь
= 0,94…0,97 - коэффициент сохранения давления в камере
сгорания.
)
равенством частот вращения роторов компрессора и турбины соответствующего
каскада:
, с-1.
Если
обозначить римскими цифрами I - каскад высокого давления и II - каскад
низкого давления, то это условие можно записать:
)
незначительными отклонениями диаметральных размеров проточной части турбины и
компрессора каскада высокого давления:
.
Первые
три условия выполняются в термодинамическом расчете ГТД в целом. Параметры,
полученные в этом расчете, являются исходными данными для проектирования
турбокомпрессора.
Четвертое
условие необходимо выдержать при выборе окружной скорости uт соответствующей турбины.
Пятое
условие необходимо выполнить при выборе среднего диаметра проточной части dт ТВД с тем, чтобы газовоздушный тракт КВД-КС-ТВД не
был излишне искривлен.
1.2
Исходные данные для расчета турбины высокого давления
Возможности
предлагаемой методики расчета реализованы в следующем примере
термогазодинамического расчета турбины высокого давления с постоянным средним
диаметром
. Расчетный режим - стартовый: высота полета H =
0; скорость полета V = 0; температура и давление атмосферного воздуха
; ресурс турбины на расчетной частоте вращения - 1000
час.
Из
теплового расчета ГТД известны:
1). Мощность и частота вращения ТВД:
NiI = 13500 кВт; nI = 275 с-1 (16500 мин-1);
). Расход воздуха через КВД: GВI = 65 кг/с;
3).Температура
воздуха за КВД: Тк*=780 К, если величина
неизвестна, то её можно определить по формуле:
.
Здесь
= 0,97…0,98 - коэффициент сохранения полного давления
во входном устройстве компрессора ГТД,
=
0,84…0,87 - КПД компрессора ГТД.
4). Параметры газа перед турбиной газогенератора ГТД:
= 19,8×105 Па;
= 1550 К;
5).
Теплофизические свойства газа перед турбиной газогенератора определяются по
значениям температур
и
с
использованием графиков. Коэффициент избытка воздуха a, газовую постоянную
,
молекулярную массу μ
рабочего тела находим по графику при
условии, что КПД камеры сгорания
Показатель
изоэнтропы к определяем тоже по графику.
В
нашем расчете: a = 2,9;
= 287,60
Дж/кг∙К;μ
= 28,91 кг/моль; к = 1,335.
6). Задается КПД ТВД с учетом влияния охлаждения, при этом полагаем, что
весь охлаждаемый воздух используется в ТВД:
= 0,91∙0,96
= 0,87;
здесь
= 0,89…0,92 - КПД неохлаждаемой турбины, выбираем
= 0,91;
=
0,95...0,97 - относительный КПД, учитывающий охлаждение, выбираем
. В дальнейших расчетах принимаем
= 0,87.
).
При расчете напряжений, возникающих в рабочих и сопловых лопатках турбины под
действием высокой температуры газа, а также при определении потребной глубины
их охлаждения задаемся материалом лопаток: для ТВД - ЖС6-КП (
).
2.
ПРЕДВАРИТЕЛЬНЫЙ РАСЧЕТ ТУРБИНЫ
2.1 Оценка суммарного расхода воздуха на охлаждение деталей
турбины
Производится в зависимости от уровня температуры газа на входе в турбину
и способа охлаждения по графику.
В
нашем расчёте при температуре газа
= 1550К и
комбинированном (конвективное + пленочное) охлаждении относительное количество
воздуха, необходимое для охлаждения сопловых и рабочих лопаток турбины высокого
давления, лежит в пределах
=
= 0,070…0,085. Принимаем
=
= 0,085, тогда суммарный расход охлаждающего воздуха
определяется:
=
= 0,085×65 = 5,525
кг/с.
.2
Расход газа через сопловые аппараты турбины
Учет
массы впрыскиваемого топлива осуществляется с помощью специального коэффициента
Кa =
(обычно
Кa = 1,015…1,025). Для авиационных керосинов
= (14,6…15)
-
теоретически необходимое количество воздуха для полного сгорания 1 кг топлива.
В нашем случае принимаем
= 14,90, тогда Кa = 
= 1,0231.
К
сопловому аппарату ТВД поступает следующее количество газа:
GГI =
×Кa (1 
) = 65×1,0231×(1 - 0,085) = 60,85 кг/с.
.3 Определение удельного внутреннего и удельного
изоэнтропного теплоперепада в турбине высокого давления
Суммарный удельный внутренний теплоперепад всей турбины высокого давления
в расчете на 1 кг рабочего тела определяется с учетом возврата работы
охлаждающим воздухом. По рекомендациям коэффициент возврата mв = 0,4…0,6. В нашем расчете mв = 0,4.
Удельный изоэнтропный теплоперепад в турбине по заторможенным параметрам
газа всей турбины:
То же для ТВД:
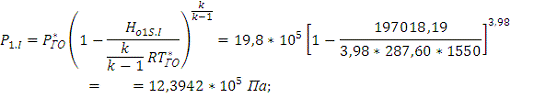
2.4 Расчет параметров газа за турбиной высокого давления
Полное давление торможения за ТВД :
= 19,8 ×105 ∙ (1 -
)3,98 = =10,9433 × 105 Па.
Температура
торможения газа на выходе из ТВД:
= 1550 -
= 1362,8 К.
2.5
Выбор числа ступеней турбины высокого давления и распределение между ними
теплового перепада
Во
всех существующих и проектируемых авиационных ГТД ТВД имеют не более двух
ступеней. Причем предпочтение отдается одноступенчатой высоконагруженной
турбине.
Для
определения окружной скорости на среднем диаметре ТВД используем значения
и
, полученные
в разделах 1.1 и 1.2:
p
nI = 3,14×0,43×275 = 371,31 м/с.
Если
величина
не известна, то при заданном значении
по статистическим данным назначается окружная скорость
из диапазона
350…450 м/с. Затем определяется величина
.
Располагаемый
теплоперепад ТВД по статическим параметрам:
=
245600,87 + 35853,69 = 281454,56 Дж/кг.
Чтобы
определить выходные потери
необходимо
задаться приведенной скоростью l2I
на выходе из ТВД (обычно l2I = 0,4…0,5) и определить
выходную скорость:
С2I
=
= 0,4
= 267,78
м/с.
Тогда
выходные потери за ТВД составляют:
=
= 35853,69 Дж/кг.
Относительные
выходные потери для этих условий:
Скорость
эквивалентная изоэнтропному теплоперепаду
С0S I =
.
Определяется
характеристическое отношение скоростей в ТВД (параметр Y по ГОСТ 23851
- 79) параметр Парсонса:
YI
=
Оптимальные
величины этого параметра в современных одноступенчатых ТВД достигают значений YIопт =
0,48…0,50, а в проектируемых турбинах ГТД новых поколений он может достигать
величин YIопт =
0,43…0,46. Последнее обстоятельство продиктовано стремлением реализовать
максимальный теплоперепад в одной ступени. В этом случае уменьшается
температура газа в последующих ступенях, что приводит к снижению расхода
охлаждающего воздуха.
Конечно,
КПД одной изолированной ступени при этом снижается. Во-первых, из-за повышенной
кривизны рабочих лопаток и, во-вторых, за счет роста выходных потерь. Однако в
многоступенчатых турбинах выходные потери используются в последующих ступенях,
что несколько компенсирует указанное снижение КПД.
Так
как в настоящем расчете выполняется условие YI
YIопт, то
принимаем число ступеней ТВД ZI = 1, то есть считаем, что весь располагаемый
теплоперепад
срабатывается в одной ступени ТВД.
Если
параметр YI ниже приведенных выше значений следует проектировать
двухступенчатую ТВД, при этом следует снизить окружную скорость
за счет уменьшения ранее выбранного диаметра
.
Распределение
теплоперепадов по ступеням двухступенчатой ТВД следует производить согласно
соотношению: (0,55 ÷
0,60)
- в первой ступени; (0,45 ÷ 0,40)
- во второй ступени.
Степень
нагруженности ступени может быть оценена также при помощи коэффициента
нагрузки:
=
= 1,621,
здесь
- КПД ступени по статическим параметрам:
= 
= 0,87
= 0,7941.
В
высоконагруженных ступенях ТВД степень нагруженности ступени может достигать mн » 1,75 … 2,0. Расчетный и экспериментальный анализ показал, что
изменение mн в
диапазоне 1,2 … 1,7 оказывает слабое влияние на КПД ступени.
2.6
Эскиз проточной части турбины высокого давления
Для
построения формы проточной части турбины газогенератора необходимо знать высоту
сопловых лопаток одноступенчатой ТВД -
, число
ступеней ТВД -
, а также ширину всех лопаточных решеток -
. Кроме
и
все параметры определены ранее в разделе 2.5:
= 1.
Для
того, чтобы найти
нужно задаться величиной степени реактивности
ступени на среднем диаметре одноступенчатой ТВД.
Расчет производится последовательно в несколько этапов. В первом приближении
выбираем степень реактивности из диапазона
. В нашем
примере расчета ρст=0,28, так
как с уменьшением реактивности увеличивается возможный теплоперепад ступени при
незначительном уменьшении её КПД.
По
выбранному значению
определяется изоэнтропный теплоперепад в сопловом
аппарате первой ступени ТВД:
Изоэнтропная
скорость на выходе из соплового аппарата ТВД:
Из
уравнения неразрывности искомая высота сопловых лопаток:
В
указанной формуле участвуют параметры, характеризующие процессы происходящие в
сопловом аппарате одноступенчатой ТВД:
расход
газа через сопловой аппарат,
-
плотность газа на выходе из соплового аппарата,
-
скоростной коэффициент сопловых охлаждаемых лопаток,
- угол выхода газа из соплового аппарата, P1.I
и Т1.I - давление и температура газа на выходе из соплового
аппарата одноступенчатой ТВД. Для определения этих параметров можно
воспользоваться следующими зависимостями:
=
, где
=
0,96…0,98 - скоростной коэффициент сопловых неохлаждаемых лопаток,
= (5…7)∙10-3 - снижение скоростного
коэффициента в соплах, обусловленное их охлаждением. Величина угла
выбирается из диапазона
= 14…20º. В нашем расчете:
= 0,975;
= 0,98;
=0,005;
= 20º.
По
полученному значению
при известном среднем диаметре
= 0,43 м определяем величину
Затем по графику, находим минимально возможную
степень реактивности -
на среднем диаметре соплового аппарата ТВД. В нашем
расчете 
Если
полученное значение
меньше или равно ранее выбранному значению
, то расчет по определению реактивности сопловых
лопаток ТВД в среднем сечении и их высоты прекращается. В нашем случае
принимаем, что
= 0,3 и
= 0,0693
м. Меридиональный профиль проточной части турбины газогенератора вычерчивается
в соответствии с выбранным типом формы для ТВД. В нашем случае рассматривается
одноступенчатая турбина
с постоянным средним диаметром
.
Базовыми
размерами эскиза являются: высота сопловых лопаток первой ступени
. Необходимо определить высоты сопловых и рабочих
лопаток ступени, ширину лопаточных решеток S, радиальные
и осевые
зазоры в
проточной части турбины.
На
основе статистических данных и рекомендаций выбираем недостающие геометрические
соотношения:
· ширина сопловых лопаток
где
= 0,055…0,065 (большие значения для первых ступеней,
меньшие - для последних),
;
· ширина
рабочих лопаток
, где
=
0,04…0,05 (большие значения для первых ступеней, меньшие - для последних),
;
· осевые
зазоры между венцами сопловых и рабочих решеток и между ступенями
=0,01 м;
· зная высоты
сопловых лопаток ступени турбины газогенератора находим высоту рабочих лопаток
ступени
:
· радиальные
зазоры между торцами рабочих лопаток и корпусом турбины, а также в лабиринтных
уплотнениях сопловых лопаток
м.
Выбранные размеры сводятся в табл. 1.
Таблица 1
Геометрические
размеры проточной части турбины высокого давления с постоянным средним
диаметром
|
Параметр
|
ТВД
|
|
сопловая решетка
|
рабочая решетка
|
|
( )0,064(0,049)
|
|
|
|
( ),
м0,0693(0,0734)
|
|
|
|
( )6,207(5,8560)
|
|
|
|
S, м
|
0,02752
|
0,02107
|
|
, м0,01
|
|
|
, м0,01
|
|
|
, м0,0015
|
|
|
На
рис.1 показана намеченная геометрия проточной части турбины газогенератора с
= const, которая и положена в основу дальнейшего расчета.
Рис.
1. Эскиз проточной части турбины высокого давления
3.
ДЕТАЛЬНЫЙ РАСЧЕТ ТУРБИНЫ ВЫСОКОГО ДАВЛЕНИЯ НА СРЕДНЕМ ДИАМЕТРЕ
Из
предварительного расчета турбины высокого давления известны следующие основные
параметры газа и геометрические величины для одноступенчатой ТВД с охлаждаемыми
сопловыми и рабочими лопатками:
).
Внутренний теплоперепад -
= 214556,92 Дж/кг;
).
Расход газа -
= 60,85 кг/с;
).
Частота вращения -
= 275 c-1;
).
Окружная скорость на среднем диаметре - uTI =
371,31 м/c;
).
Теплоперепады по заторможенным и статическим параметрам:
).
Выходные потери -
= 35853,69 Дж/кг;
).
= 0,87 - внутренний кпд;
).
Параметры газа перед турбиной (ступенью):
= 19,8∙
Па;
= 1550 К;
= 1,335;
= 287,60 Дж/кг;
).
Параметры газа за турбиной (ступенью):
= 10,943 ∙
Па;
= 1362,8
К;
Следует
отметить, что в предварительном расчете турбины параметры за ТВД обозначались
и
. Так как
в нашем расчете рассматривается одноступенчатая ТВД, то принимаем
=
и
=
.
).
Cредний диаметр облопачивания -
= 0,43 м;
).
Степень реактивности ступени на среднем диаметре -
.
Расчет
первой ступени ТВД, а в нашем случае всей турбины высокого давления, так как
= 1, проводится в следующей последовательности:
.
Окружная (теоретическая) работа ступени
отличается
от внутренней работы
на величину потерь от утечек газа в радиальном зазоре
и потерь на трение диска, которые составляют 1,5…3% от
. В нашем расчете выбираем 3%.
= 1,02∙
= 1,02 × 214556,92 =
220993,63 Дж/кг.
.
Статическое давление на выходе из ступени:
.
Статическая температура на выходе из ступени:
.
Плотность газа за ступенью:
.
Изоэнтропная работа расширения газа в сопловых решетках:
.
Изоэнтропная абсолютная скорость газа, эквивалентная всему теплоперепаду
ступени:
.
Изоэнтропная скорость газа на выходе из соплового аппарата:
.
Абсолютная скорость истечения газа из сопловых решеток в действительном
процессе:
Здесь
- скоростной коэффициент сопловых охлаждаемых
лопаток,
= 0,96…0,98 - скоростной коэффициент сопловых
неохлаждаемых лопаток,
= (5…7)∙
-
снижение скоростного коэффициента в соплах, обусловленное охлаждением. В нашем
расчете:
= 0,975;
= 0,98;
= 0,005.
.
Приведенная скорость на выходе из соплового аппарата:
При
профилировании сопловых лопаток необходимо учесть расширение и поворот потока
газа в косом срезе.
.
Статическое давление на выходе из соплового аппарата:
.
Статическая температура на выходе из соплового аппарата:
.
Плотность газа в осевом зазоре за сопловыми лопатками:
.
Высота сопловых лопаток в выходном сечении первой ступени:
где
- угол выхода потока газа из соплового аппарата.
В
первых ступенях турбины высокого давления обычно
= 14°…20°. Причем для увеличения высот лопаток следует выбирать
пониженные значения
= 14°…18°. В нашем примере принимаем
= 20°.
.
Окружная и осевая составляющие абсолютной скорости газа С1 на выходе
из соплового аппарата:
.
Используя уравнение Эйлера можно определить окружную составляющую абсолютной
скорости на выходе из ступени:
Поскольку
первые ступени современных турбин выполняют высоко-нагруженными (коэффициент
нагрузки может достигать значений mн = 2 и более), величина скорости
при этом имеет, как правило, отрицательное значение -
вектор скорости направлен в сторону, противоположную направлению вращения
рабочего колеса (см. рис.2).
Рис.2.
Треугольник скоростей в абсолютном движении на выходе из ступени ТВД
.
Используя уравнение неразрывности
и
задаваясь соотношением высот на выходе из рабочей и сопловой лопаток
(в нашем случае эта величина равна 1,06) можно
определить осевую составляющую абсолютной скорости газа на выходе из ступени:
.
Определяется угол выхода газа из ступени в абсолютном движении:
В
формулу подставляется положительное значение
.
Величина угла
в высоконагруженных ступенях находится в пределах
= 65…85º.
.
Абсолютная скорость газа на выходе из ступени:
.
Новое значение выходных потерь, соответствующее скорости
, при которой обеспечивается потребная окружная работа
.
Вновь определяется изоэнтропный теплоперепад по статическим параметрам в
ступени:
.
Статическое давление на выходе из ступени:
.
Статическая температура на выходе из ступени:
.
Плотность газа за ступенью:
.
Изоэнтропная работа расширения газа в сопловых решетках:
.
Изоэнтропная скорость, эквивалентная тепловому перепаду ступени:
.
Изоэнтропная скорость на выходе из соплового аппарата ступени:
.
Приведенная скорость на выходе из соплового аппарата:
.
Статическое давление за сопловым аппаратом:
.
Статическая температура за сопловым аппаратом:
.
Плотность газа в осевом зазоре между сопловым аппаратом и рабочим колесом:
.
Высота сопловых лопаток на выходе из ступени:
.
Окружная и осевая составляющая абсолютной скорости газа на выходе из соплового
аппарата:
.
Уточненное значение окружной работы ступени:
.
Сравниваем значения
. Если сходимость результатов составляет 1,5…2 %, то
расчет продолжается с использованием уточненных значений параметров. В случае
невыполнения этого условия снова возвращаемся к пункту 20 и повторяем расчет до
тех пор, пока расхождение вновь полученного результата с предыдущим не
достигнет заданного диапазона.
В
нашем случае расхождение между значениями 
и 
составляет
1,35 %, что даже меньше указанного диапазона и позволяет продолжить расчет.
.
Относительная скорость газа на входе в рабочие лопатки:
.
Температура заторможенного потока газа в относительном движении на входе в
рабочие лопатки:
.
Приведенная скорость газа на входе в рабочие лопатки:
38.
Угол входа газа на рабочие лопатки:
.
Относительная скорость газа на выходе из рабочих лопаток:
.
Приведенная скорость газа на выходе из рабочих лопаток:
.
Изоэнтропная относительная скорость газа на выходе из рабочих лопаток:
где
- скоростной коэффициент охлаждаемых рабочих лопаток;
-
скоростной коэффициент неохлаждаемых рабочих лопаток; при выпуске воздуха через
перфорации на профиле потери на охлаждение составляют
. В нашем расчете:
= 0,952;
= 0,96;
= 0,008.
.
Угол выхода газа из рабочих лопаток:
.
Далее следует построить план скоростей ступени турбины (рис.3). Для этого
треугольники скоростей на входе и выходе из рабочей решетки строятся из одной
вершины по рассчитанным ранее кинематическим параметрам:
Рис.
3. План скоростей первой ступени ТВД на среднем диаметре
.
Определяется действительное значение полного давления на выходе из ступени
на основе параметров, полученных в предыдущих
расчетах, и с учетом потерь давления в сопловых и рабочих лопатках, а также с
учетом снижения температуры газа в относительном движении:
В
эту формулу входят следующие коэффициенты:
а)
коэффициент сохранения полного давления в каналах сопловых лопаток:
б)
коэффициент снижения температуры в относительном движении на входе в рабочие
лопатки:
где

-
приведенная окружная скорость газа;
в)
коэффициент сохранения давления в каналах рабочих лопаток:
г)
коэффициент снижения температуры газа в абсолютном движении за рабочими
лопатками:
.
Полученное значение
Па, определенным в предварительном расчете для
охлаждаемой ТВД, внутренний кпд которой составляет 
.
Расхождение
между
и
не
должно превышать 1,5 %, т.е. должно соблюдаться условие:
.
В
нашем случае:
,
что
удовлетворяет условию по принятой точности.
.
Потеря от утечки газа через радиальный зазор определяется в зависимости от
конструкции лопаток.
Для
обандаженных лопаток
где

=
0,006…0,01 м - осевой зазор между бандажной полкой и корпусом турбины,
принимаем
= 0,01 м;
и
- коэффициенты расхода в зазорах осевых и радиальных
соответственно (
≈ 0,5;
≈
0,8);
= 2…4 - число
лабиринтных гребешков, принимаем
= 2;
=
(0,4…0,8) ∙ 10-3 м - радиальный зазор между гребешками и
корпусом (в рабочем состоянии), принимаем
= 0,6 ∙
10-3 м.
-
вспомогательный экспериментальный коэффициент, который зависит от степени
реактивности на среднем диаметре
и
величины
. Он учитывает потери на утечку через радиальный
зазор. Для определения
можно воспользоваться вспомогательным графиком. В
нашем примере: 
.
Внутренняя работа:

218016,65-2492,83=215523,82
Дж/кг.
.
Определяется окончательное значение внутреннего кпд ступени:

или
= 87,75 %.
.
Не проводя расчета закрутки рабочих лопаток, оценивается степень реактивности в
их корневых
и периферийных
сечениях:
где

-
степень реактивности на среднем диаметре рабочих лопаток (среднее сечение);
и
-
коэффициенты учитывающие кинематику течения на входе в рабочую лопатку,
соответственно в корневой и периферийных частях:
здесь

и 
-
относительные значения радиусов в корневом и периферийном сечениях рабочих
лопаток; rcp = 0,5dT = 0,215 м радиус на среднем сечении лопатки.
В
свою очередь - внутренний
и наружный
радиусы
проточной части на входе в рабочую решетку определяются из чертежа
меридионального сечения проточной части турбины. Радиусы переходной галтели
(закругления) для корневого
и
периферийного
сечений лопаток рекомендуется выбирать:
в 1,5…2
раза меньше, чем
.
В
нашем примере полагаем 
4. НАПРЯЖЕНИЯ, ДОПУСТИМАЯ ТЕМПЕРАТУРА И ВЫБОР ПОТРЕБНОЙ
ГЛУБИНЫ ОХЛАЖДЕНИЯ ЛОПАТОК ТУРБИНЫ ВЫСОКОГО ДАВЛЕНИЯ
В данном разделе производим уточнение расходов охлаждающего воздуха,
выбранного в предварительном расчете. Эта процедура актуальна при выполнении
уточненных детальных расчетов ТВД и при повторных расчетах в случае расхождения
полученного кпд турбины и заданного в начале расчетов.
Напряжения в лопатках первой ступени ТВД оцениваются:
где
= 8250 кг/м3 - плотность материала ЖС6-КП,
из которого изготовлены лопатки; u1cт= uI = 371,31 м/с2; Ф = 0,5 - коэффициент
формы.
Температура
лопаток в корневом сечении приближенно рассчитывается по температуре торможения
газа в относительном движении:
где
=
= 1355,10
К - температура заторможенного потока газа в относительном движении на входе в
рабочие лопатки определена в детальном расчете первой ступени ТВД.
Поскольку
в первых ступенях высокотемпературных турбин, как правило,
значительно больше допустимой температуры материала
лопатки
, то следует определить глубину охлаждения лопаток
. Для этого, задавшись запасом статической прочности
лопаток
определяем допустимый предел длительной прочности
лопаток:
Величина
выбирается на основе данных по механическим свойствам
жаропрочных материалов при повышенных температурах. В общем случае при заданных
параметрах:
; материале лопатки; ресурсе работы τ; уровне нагружения
по
номограмме для определения пределов длительной прочности материалов (рис.4)
можно определить
.
Рис.
4. Номограмма для определения
В
нашем расчете достаточно знать первые три параметра:
=
357,30·106 Па, материал лопаток - ЖС6-КП и τ = 1000 час., чтобы определить
= 1100
К.
Таким
образом, глубина охлаждения рабочих лопаток первой ступени ТВД должна
составлять:
Потребную
глубину охлаждения сопловых лопаток первой ступени ТВД можно определить:
где

выбираем
= 0,35;
= 780 К -
температура воздуха за КВД;
=
1200…1250 К для современных материалов сопловых лопаток типа ЖС6-К, в нашем
расчете выбираем
= 1240 К.
Эффективность
воздушного охлаждения для сопловых QC и рабочих QЛ лопаток первой ступени ТВД, соответствующая
полученным значениям
и
определяется:


-
температура воздуха, поступающего на охлаждение лопаток турбины;
10…40 К -
подогрев охлаждающего воздуха в коммуникациях, выбираем
= 30 К.
По
полученным значениям
и
по
графикам находим относительное количество воздуха, необходимое для охлаждения
сопловых
и рабочих
лопаток.
В
нашем примере расчета
= 0,052, что соответствует конвективно-пленочному
охлаждению дефлекторных сопловых лопаток (кривая 4л),
= 0,034 - рабочие лопатки с поперечным течением
охладителя (кривая 2).
Следующим
этапом расчета является определение суммарного относительного количества
воздуха, затраченного на охлаждение первой ступени ТВД


= 0,052 +
0,034 = 0,086.
Полученное
значение
сравниваем с ранее выбранным в разделе 2.1
относительным суммарным количеством воздуха
= 0,085,
используемым на охлаждение деталей турбины газогенератора. Сравнение показало,
что в нашем случае весь охлаждающий воздух используется на охлаждение деталей
ТВД.
Анализ
результатов эксплуатации современных охлаждаемых турбин газогенераторов
показал, что наиболее часто они работают в диапазоне температур
К. Суммарный относительный расход охлаждающего
воздуха
может изменяться при этом от 0,015 до 0,11, поэтому
возможны варианты расчетов, когда
<
. В этом случае охлаждаются не только первая, но и
последующие (одна или несколько) ступени газогенератора.
5.
РАСЧЕТ ЗАКРУТКИ ЛОПАТОК ТУРБИНЫ ВЫСОКОГО ДАВЛЕНИЯ
Данный
этап включает в себя расчет закрутки лопаток по их высоте для получения
необходимых данных для пространственного профилирования этих лопаток по радиусу
турбины.
Прежде
чем приступить к расчету необходимо выбрать закон закрутки лопаток, а также
количество и расположение расчетных сечений по радиусу (по высоте лопатки).
.1
Выбор закона закрутки
Для
выбора закона закрутки можно воспользоваться рекомендациями, изложенными в
литературе [1] или [5]. При этом предпочтение следует отдавать тем законам
закрутки, которые обеспечивают максимальные значения кпд ступени и минимальные
потери энергии. Этому условию в наиболее полной мере удовлетворяют закон
постоянства циркуляции (r
Cu = const) и закон
постоянства выходных углов (α1 = const) по радиусу. Наиболее часто закрутку лопаток первых
ступеней ТВД выполняют по закону постоянства циркуляции, что определило выбор
этого закона в нашем расчете.
5.2
Выбор количества и расположения расчетных сечений по радиусу
Расчетные
сечения выбираются таким образом, чтобы получить реальную картину изменения
параметров газа на входе и выходе из рабочей решетки (углы, скорости и их
проекции на осевое и окружное направления, скоростные коэффициенты, теплоперепады,
степень реактивности, температура и давление рабочего тела). В зависимости от
высоты рабочих лопаток количество и расположение расчетных сечений может быть
различным, но число сечений всегда должно быть нечетным.
В
организациях, занимающихся расчетом и проектированием авиационной техники,
расчет закрутки лопаток (hл < 0,1
м) выполняют в пяти сечениях, а в длинных неохлаждаемых лопатках последних
ступеней турбин (hл > 0,1
м) - и в большем числе сечений (через каждые 0,02…0,025 м). Кроме того, для
технологических целей используются два дополнительных сечения вне профильной
части лопатки, которые так и называются технологическими (выше периферийного и
ниже корневого).
При
проектировании нам достаточно ограничиться тремя сечениями (рис.5): корневым,
средним и периферийным.
Корневое сечение рекомендуется выбирать на расстоянии 0,002…0,003м выше
начала переходной галтели (перо-полка). Это облегчает в последствии контроль
точности изготовления профиля. Радиус переходной галтели Rг.корн составляет 2,5…3 % от высоты длинных
лопаток (hл > 0,1м) и 3,5…4 % - от высоты
коротких лопаток (hл < 0,06м). Обычно в турбинах
авиационных ГТД Rг.корн = 0,002…0,003 м.
Таким образом, радиус корневого сечения можно определить:
,
где
- внутренний радиус (радиус втулки) рабочего колеса
первой ступени, rcр -
средний радиус ТВД.
Рис. 5. Расположение расчетных сечений лопатки
Среднее сечение располагается на среднем радиусе ТВД. При выбранной схеме
проточной части турбины dТ
= const средний радиус определяется rcр = 0,5dТ.
Периферийное сечение желательно располагать на расстоянии 0,002…0,003 м
ниже верхнего торца в безбандажных лопатках или на 0,002…0,003 м ниже
переходной галтели (перо-бандажная полка). Радиус переходной галтели Rг.пер в этом случае обычно в 1,5…2 раза
меньше, чем у корня. Обычно в турбинах авиационных ГТД Rг.пер = 0,001…0,002 м. Такой же радиус переходных галтелей
выбирается в корне и на периферии сопловых лопаток.
Используя эти рекомендации можно определить радиус периферийного сечения
,
где
- наружный радиус рабочего колеса первой ступени ТВД.
Численные
значения радиусов выбранных трех сечений для рабочих лопаток первой ступени ТВД
с dт = const
определены в п.49 раздела 3 и составляют:
.
Остальные
геометрические размеры:
= 0,0820 м;
м;
= 0,249 м; Rг.корн = 0,0026 м; Rг.пер = 0,0015 м.
Теперь
можно приступать к непосредственному расчету закрутки рабочих лопаток ТВД.
5.3
Расчет закрутки рабочих лопаток по закону r∙Cu = const
Расчет
рабочих лопаток ТВД выполняется по методике, представленной в табл. 2, для
корневого, среднего и периферийного сечений. При этом используются параметр (
), определенные ранее в детальном расчете турбины
(раздел 4), и выбранные значения
.
В
нашем расчете:






Таблица 2
|
№ п/п
|
Определяемый параметр и
расчетная формула
|
Размерность
|
Величина параметров на
радиусах
|
|
|
|
корневом
|
среднем
|
периферийном
|
|
1.
|
r
|
м
|
0,184
|
0,215
|
0,245
|
|
2.
|
= r/rcp-0,85511,13
|
|
|
|
|
|
3.
|
u = м/с317,94371,31423,12
|
|
|
|
|
|
4.
|
м/с671,69575,16504,73
|
|
|
|
|
5.
...°17°31¢
20°22°53¢
|
(20,99)
|
|
|
|
|
|
|
6.
|
м/с703,52612,03546,38
|
|
|
|
|
7.
...°30°62¢
45°77¢
68°73¢
|
|
|
|
|
|
|
8.
|
м/с23,6520,2517,77
|
|
|
|
|
9.
...°84°32¢
85°14¢
85°74¢
|
|
|
|
|
|
|
10.
|
м/с237,21236,90236,03
|
|
|
|
|
11.
...°38°75¢
33°93¢
30°23¢
|
|
|
|
|
|
|
12.
|
-0,080,300,44
|
|
|
|
|
Для выделения кинематических параметров, полученных при расчете закрутки,
и устранения путаницы при построении плана скоростей, вводим дополнительное их
обозначение в виде нижнего подстрочного индекса “см”.
Рис. 6. Планы скоростей для расчетных сечений рабочих лопаток ступени ТВД
6. ПРОФИЛИРОВАНИЕ ОХЛАЖДАЕМЫХ СОПЛОВЫХ И РАБОЧИХ ЛОПАТОК
ТУРБИНЫ ВЫСОКОГО ДАВЛЕНИЯ
Большое число разноречивых требований, вытекающих не только из условий
обеспечения максимальной газодинамической эффективности проточной части, но
также из условий прочности и технологии изготовления охлаждаемых лопаток, как
правило, не позволяет воспользоваться готовыми профилями лопаток, имеющимися в
атласах [6]. Последние служат лишь прототипами, по которым сверяют основные
геометрические соотношения.
Процесс профилирования охлаждаемых сопловых и рабочих лопаток турбины в
основном выполняется так же, как и неохлаждаемых лопаток [1,7]. Особенности
касаются выбора геометрических соотношений.
.1 Исходные данные
Для профилирования лопаток должны быть известны: углы потока на входе и
выходе из лопаточных решеток (a0, a1 - сопловых; b1
и b2 - рабочих); меридиональный профиль проточной части с
указанием всех геометрических размеров; шаг решетки и ее ширина в каждом из
расчетных сечений по радиусу.
Кроме того, должен быть указан (выбран) способ изготовления лопаток
(литье, штамповка, фрезерование и пр.), а для охлаждаемых лопаток еще и тип
охлаждения (с дефлектором, без дефлектора, с отдельными продольными каналами и
выпуском воздуха в радиальный зазор, петлевые каналы с выпуском воздуха в
заднюю кромку или вблизи нее; наличие штырьков-турбулизаторов; перфорации и
т.п.)
6.2 Выбор расчетных сечений
Построение внешней поверхности лопаток базируется на профилях лопаток в
расчетных сечениях. Построение профилей выполняют в трех сечениях (рис. 5):
корневом, среднем и периферийном. В практике реального проектирования
лопаточных машин расчет закрутки лопаток и построение профилей производят в
пяти и более сечениях (для длинных неохлаждаемых лопаток последних ступеней
турбины, когда h > 0,1 м).
6.3 Выбор основных геометрических соотношений профиля и
решетки охлаждаемых сопловых и рабочих лопаток
На основе компромисса между требованиями прочности, минимальных потерь
энергии газа и минимальных затрат воздуха на охлаждение по статистическим
данным существующих турбин рекомендуются следующие геометрически соотношения
для охлаждаемых лопаточных решеток:
). Ширина сопловых и рабочих охлаждаемых лопаток обычно на 5…15% больше,
чем у неохлаждаемых, то есть S =
(1,05…1,15)Sнеохл.
К моменту профилирования лопаток известна их ширина только в среднем
сечении SС.ср = 0,0352 м и SЛ.ср = 0,0210 м. По статистическим данным
можно принять: SЛ.корн = КS.корн ∙ SЛ.ср ; SЛ.пер = КS.пер ∙ SЛ.ср ; где КS. корн =
0,8…0,9; КS.пер = 1,1…1,2 - для сопловых решеток;
соответственно КS.корн =
1,10…1,16; КS.пер = 0,9…0,92 - для рабочих решеток, SЛ.ср - ширина профиля в среднем сечении
по высоте лопатки.
В нашем расчете получены следующие значения ширины рабочих лопаток ТВД:
для корневого сечения SЛ.корн = 0,0242 м (КS.корн = 1,15); для периферийном сечении SЛ.пер = 0,0192 м (КS.пер = 0,91).
2).
Угол установки профиля в решетке gуст для средних и периферийных сечений рабочих лопаток
приблизительно совпадает с направлением среднегеометрической скорости на входе
и выходе из решетки, то есть gуст = bт, где bт - угол наклона среднегеометрической скорости
к фронту решетки.
Для
определения угла bт для
рабочих лопаток можно воспользоваться формулой bт = b1 + 0,5 [180
(b1 + b2)], где b1 = b1см,b2 = b2см. тогда угол установки профилей в рабочей решетке:
gуст = 180
∆gуст
bт.
После
преобразования получим:
gуст = 87,975
b1см + 0,5(b1см + b2см)
Воспользовавшись
этой формулой определим углы установки профиля в решетке для среднего и
периферийного сечений рабочих лопаток:
gуст.ср = 87,975 - 45,77 + 0,5(45,77 + 31,1) = 80,64 = 80º52′;
gуст.пер = 87,975 - 68,73 + 0,5(68,73 + 28,17) = 67,69 = 67º44′.
Для
корневого сечения gуст.кор =
0,93 gуст.ср =
0,85 ∙ 87,975 = 80,64=80º52′.
).
Величина хорды профиля в каждом расчетном сечении:
bЛ.ср = SЛ.ср / sin gуст.ср = 0,0210 / sin 86,425 = 0,0214 м;
bЛ.корн = SЛ.корн / sin gуст.корн = 0,0242 / sin 73,46 = 0,0260 м;
bЛ.пер = SЛ.пер / sin gуст.пер = 0,0192 / sin 82,22 = 0,0207 м;
).
Для определения шага охлаждаемой решетки в выбранных расчетных сечениях
предлагается следующая последовательность действий.
Сначала
определяется относительный шаг решетки в среднем сечении
= Кт ∙
, где
коэффициент Кт учитывает изменение размеров профиля, обусловленное
наличием охлаждения. Обычно принимают Кт = 0,9…1,0 - для сопловых
решеток; Кт = 1,1…1,15 - для рабочих решеток. Величина
определяется по формуле В.И. Дышлевского :
,
где
- отношение максимальной толщины профиля к хорде на
среднем радиусе охлаждаемых сопловых и рабочих лопаток, для неохлаждаемых лопаток
= 0,12…0,14;
=
0,10…0,12; КС = 0,45 - для сопловых
лопаток, КЛ = 0,6 - для рабочих лопаток; b1 = b1см ; b2 = b2см.
В
нашем случае для среднего сечения рабочих лопаток:

С
учетом охлаждения
= 1,13 ∙ 0,3632 = 0,4104 (Кт = 1,13).
Затем
необходимо абсолютное значение шага охлаждаемой рабочей решетки в среднем
сечении:
tЛ.ср = bЛ.ср ∙
= 0,0214 ∙ 0,4104 = 0,0088 м.
Полученное
значение tЛ.ср
следует уточнить, чтобы получить целое число лопаток в рабочей решетке,
необходимое для прочностных расчетов элементов ТВД :
Приводим
к целому числу лопаток zл = 155.
Уточняем
шаг в среднем сечении (полученное значение обозначаем штрихом) и определяем шаг
рабочей решетки в корневом и периферийном сечениях:
).
Относительный радиус скругления выходной кромки лопаток выбирается в долях от
шага решетки
2 = R2 / t (величина
2ср в среднем сечении представлена в табл. 3). В корневых
сечениях величина
2
увеличивается на 15…20%, в периферийных сечениях уменьшается на 10…15%.
Таблица
3
|
Ступень
|
Относительный радиус 2ср
|
|
сопла
|
рабочих лопаток
|
|
Охлаждаемая
|
0,015…0,02
|
0,06…0,08
|
В нашем расчете выбираем:
2ср = 0,06;
2корн = 0,072;
2пер = 0,051. Тогда радиусы скругления выходных кромок можно определить R 2 =
2
∙t для расчетных сечений: R 2ср = 0,06 ∙ 0,0105 = 0,523 ∙ 10-3 м; R 2корн =0,072 ∙ 0,01= 0,54 ∙ 10-3 м; R 2л.пер = 0,051 ∙ 0,0111 = 0,51 ∙ 10-3 м.
). Угол заострения выходной кромки охлаждаемых сопловых лопаток g2с = 6…8°; рабочих - g2л = 8…12°. Эти цифры в
среднем в 1,5…2 раза больше, чем в неохлаждаемых лопатках. В нашем случае при
профилировании рабочих лопаток назначаем g2л = 10º во всех расчетных сечениях.
). Конструктивный угол на выходе из сопловых лопаток a1л = a1см; на выходе из рабочих лопаток b2л = b2см + ∆bк, где среднего сечения Dbк = 0; для корневого Dbк = + (1…1,5)°; для периферийного Dbк = - (1...1,5)°, а a1см, b2см берутся из табл. 2. В нашем примере
принимаем для рабочей решетки: Dbк = 1,5º ; b2л.ср = 31º1′ ; b2л.кор = 36º17; b2л.пер
= 26º67′.
8).
Угол отгиба выходного участка спинки профиля на среднем диаметре (затылочный
угол) gзат = 6…20°: при М2 £ 0,8 gзат =
14…20°; при М2 » 1 gзат =
10…14°; при МW
£ 1,35 gзат = 6…8°,где 
. В
корневых сечениях gзат
берется меньше указанных величин на 1…3°, в периферийных
сечениях может достигать 30°.
В
нашем примере для рабочей решетки в среднем сечении:
,
поэтому
выбираем gзат.л.ср = 18º; gзат.л.корн = 15º; gзат.л.пер
= 20º.
).
Радиус скругления входной кромки лопаток R1. К моменту профилирования входной кромки длина хорды
профиля приблизительно известна, поэтому удобно выбирать величину R1 в долях от длины хорды. По статистическим данным на
среднем диаметре для охлаждаемых лопаток: сопловых
= 0,06…0,8; рабочих -
=
0,045…0,065. Эти цифры в 1,4…1,8 раза больше, чем в неохлаждаемых. В корневых
сечениях рабочих лопаток
увеличивают на 15…20 %, в периферийных -
уменьшают на 10…15%.
В
нашем примере выбираем для рабочей решетки:
;
;
. Тогда
получим:
).
Конструктивный угол лопатки на входе:
· для сопловых лопаток первой ступени aол = a0 = 90°;
· в последующих ступенях aол = a2см предыдущей ступени;
· для рабочих лопаток b1л = b1см
+δ.
Здесь угол атаки d
рекомендуется назначать: в среднем сечении d = 0; в корневом d = + (2…7)°, в периферийном d =
- (2…6)°. В нашем примере профилирование
рабочих лопаток принимаем: b1л.ср = b1см.ср = 45º77′ ; b1л.корн = b1см.корн
+ 3º = 33º62′
; b1л.пер = b1см.пер
- 3º = 65º73′.
). Угол заострения входной кромки g1
в охлаждаемых сопловых и рабочих лопатках колеблется в широких пределах (g1=15…30°), что в 1,5…2 раза больше, чем в неохлаждаемых лопатках. В примере
профилирования рабочих лопаток принимаем во всех расчетных сечениях g1л
= 15º.
12). Относительная максимальная толщина профиля охлаждаемых сопловых и
рабочих лопаток в среднем сечении может достигать:
max. = (Сmax/b) =
0,2…0,3.
В
неохлаждаемых сопловых лопатках на среднем радиусе обычно
max = 0,12…0,14; а в рабочих
max = 0,1…0,12.
При
профилировании охлаждаемых рабочих лопаток в других расчетных сечениях следует
учитывать, что в корневом сечении
max увеличивается на 15…20
%, а в периферийном сечении уменьшается на 15…20 %, по сравнению со средним
сечением. Принимаем в нашем примере:
max.ср = 0,25;
max.корн = 0,3;
max.пер = 0,2. Абсолютное значение максимальной толщины
профиля рабочих лопаток в расчетных сечениях:
).
Размер горловины решетки:
сопловой
а1с = tС sin a1эф ;
рабочей
а2л = tЛ sin b2эф.
Здесь
a1эф = a1см - Da1; b2эф = b2см - Db2.
При
определении величины углов отставания потока Da1 и Db2 по графикам, в качестве аргумента в первом
приближении можно принимать a1эф = a1см ; b2эф = b2см,
В
нашем расчете b2см.ср =
31,1º,
b2см.корн =
36,17º,
b2см.пер =
26,67º, а величины MW2 и MC1 определяются по формулам:
.
Определяем
число Маха в расчетных сечениях:
;
;
.
По
графикам определяем углы отставания потока в расчетных сечениях:
. Зная
определяем
углы
в расчетных сечениях:
Размер
горловины в расчетных сечениях рабочей решетки:
Полученные
в данном разделе основные геометрические соотношения, необходимые для
профилирования рабочих лопаток первой ступени ТВД, заносятся в табл.4.
Таблица
4
Исходные
данные для профилирования рабочих лопаток первой ступени ТВД
|
Величина и размерность
|
Сечение
|
|
периферийное
|
среднее
|
корневое
|
|
b1л…°
|
65º73′
|
45º77′
|
33º62′
|
|
b2л…°
|
26º67′
|
31º1′
|
36º17′
|
|
SЛ ∙ 103, м
|
19,2
|
21,07
|
24
|
|
gуст …°
|
67º69′
|
80º64′
|
68º54′
|
|
bЛ∙ 103, м
|
20,7
|
21
|
26
|
|
∙ 103, м9,98,77
|
|
|
|
|
R2л∙ 103, м
|
0,51
|
0,52
|
0,54
|
|
g2л…°
|
10
|
10
|
10
|
|
gзат.л…°
|
20
|
18
|
15
|
|
g*р.л…°
|
41º67′
|
44º1′
|
46º17′
|
|
R1л∙ 103, м
|
1
|
1,2
|
1,6
|
|
g1л…°
|
15
|
15
|
15
|
|
|
0,0041
|
0,0053
|
0,0078
|
|
а2л∙ 103, м
|
4,4
|
4,1
|
4
|
Рис. 7. Сечение рабочей лопатки с проверкой плавности каналов
СПИСОК ЛИТЕРАТУРЫ
1. Бодунов М.Н., Локай В.И., Щукин А.В. Термогазодинамический
расчет охлаждаемого ГТД. Казань: КАИ, 1980. 47с
2. Бодунов М.Н., Лиманский А.С., Щукин А.В. Охлаждаемые
лопатки газовых турбин. Казань: КАИ, 1991. 60с.
. Бодунов М.Н., Лиманский А.С. Системы подвода
охладителя к рабочим лопаткам. Казань: КАИ, 1989. 20с.
. Горюнов Л.В., Лиманский А.С. Проектирование
турбомашин двигателей летательных аппаратов. Казань: КГТУ им. Туполева, 1994.
107с.
. Горюнов Л.В., Ильинков А.В., Такмовцев В.В.
Прочностные расчеты по курсам турбомашин летательных аппаратов и энергетических
установок. Казань: Изд. Казань. гос. техн. ун-та, 2005. 64с.
. Локай В.И., Максутова М.К., Стрункин В.А. Газовые
турбины двигателей летательных аппаратов. М.: Машиностроение, 1991. 512с.
. Максутова М.К., Тарасов В.Н. Проектирование
турбомашин(компрессоры). Казань: КАИ, 1984. 63 с.
. Скубачевский Г.С. Авиационные газотурбинные
двигатели. М.: Машиностроение, 1981. 550с.