Анализ и синтез кулачкового механизма
ВВЕДЕНИЕ
Теория механизмов и машин - это наука, изучающая строение систематику и
динамику механизмов в связи с их анализом и синтезом.
Всякий механизм состоит из отдельных деталей. В механизмах некоторые
детали является неподвижными, другие детали движутся относительно них. Каждая
подвижная деталь или группа деталей, образующая одну жесткую подвижную систему
тел, носит название подвижного звена механизма.
Все неподвижные детали образуют одну жесткую неподвижную систему тел,
называемую неподвижном звеном или стойкой. Понятие машина может быть
обобщенного вида, выраженное следующим образом: машина есть устройство
создаваемая для изучения и использования законов природы с целью облегчения
физического и умственного труда, увеличение его производительности и облегчения
путем частичной или полной замены человека в его трудовых функциях.
Рабочей машиной называется машина, предназначенная для преобразования
материалов. Рабочие машины подразделяются: транспортные и технологические.
Технологической машиной называется рабочая машина, в которой
преобразование материала состоит в изменением формы, свойства и состояния
материала или обрабатываемого объекта.
1.
Кинематический анализ плоских рычажных механизмов
Кинематический анализ плоских рычажных механизмом заключается в
определении функций положения точек механизма и положения звеньев механизма,
определения скоростей, ускорений линейных и угловых в каждом положении
механизма.
Функция положения звена или точки механизма дает возможность для любого
положения ведущего звена (кривошипа) определить координаты точки или угловую
координату звена. Функция положения может быть определена графически с помощью
построения плана положения механизма.
С этой целью механизм изображается в масштабе в нулевом положении; т.е.
когда скорость выходного звена ровна нулю. Условно считается, что в этом
положении угол поворота кривошипа тоже равен нулю, поскольку кривошип совершает
вращательное движение, по круговой траектории движения кривошипа разбивается на
произвольные сектора. В данной работе их должно быть 8 из условия полученных от
преподавателя, причем нулевое и восьмое положения механизма должны совпадать.
При аналитическом решении, составляются уравнения скорости выходного
звена и приравниваются к нулю из полученного алгебраического уравнения надо
найти угол определенного положения кривошипа и выходного звена.
Графические методы кинематического исследования механизмов, позволяющим
определить положение звеньев, скорости и ускорения точек и звеньев, получил
широкое распространение. Это обусловлено быстротой и наглядностью решения
прикладных вопросов проектирования. В ряде случаев графические вычисления
основано на геометрических построениях. Имеется много примеров, когда
графические задачи и их решения являются единственно приемлемыми. Точность
графических методов составляет 0,3- 0,5% .
Изображение кинематической схемы механизма в выбранном масштабе,
соответствующее определенному положению начального звена, называются планом
механизма. Масштаб плана механизма определяет размеры отрезков изображающих
длину звеньев и координаты точек звеньев. Для нахождения скорости необходимо
продифференцировать функцию. Производную, определяют графически, величиной угла
наклона касательной к графику. На этом понятии строится правило графического
дифференцирования.
Графические методы.
Построение планов скоростей и ускорений - геометрическое секторное
произведение с использованием правил векторного треугольника и многогранника.
Вектор на плоскости характеризуется двумя скалярными величинами,
определяющими направление вектора и его модуль, т.е. векторное уравнение для
плановой задачи можно заменить двумя скалярными уравнениями проекций.
.1 Структурный анализ
Число степеней свободы механизма:
К - число подвижных звеньев К=5
Р5 - число кинематических пар Vкласса Р5=7
Р4 - число кинематических пар IV класса Р4=0
Число степеней свободы равно:
W=3K-2P5=3*5-2*7=1
Схема 1. Кинематическая схема механизма
Таблица 1
|
№
|
№ звена.
|
Наименование звена.
|
Характеристика движения
звена.
|
|
1
|
0
|
Стойка
|
Неподвижное
|
|
2
|
1
|
Кривошип
|
Вращательное
|
|
3
|
2
|
Шатун
|
Сложно плоскопараллельное
|
|
4
|
3
|
Ползун
|
Прямолинейное -
поступательное
|
|
5
|
4
|
Коромысло -камень кулисы
|
Сложное
|
|
6
|
5
|
Кулиса
|
Поступательное
|
Схема 2. Начальный механизм и группа Ассура
.2
Аналитический метод нахождения v, w, 
a
I часть





Возьмем
первую производную.

Возьмем
вторую производную.

Т.к.

, то
II часть




Возьмем
первую производную.

Возьмем
вторую производную.

1.3 Построение плана скоростей.
Составляем уравнения, которые понадобятся для построения планов
скоростей.
Определяем скорость точки В:

м
Вектор
перпендикулярен звену АВ и направлен в сторону движения точки В.
Выбираем
масштабный коэффициент скоростей.

м/мм
Для

составляет
две системы, в которую входят по два уравнения составленных с начала звена и
конца звена, приравненных к нулю. Приравняв две части системы, получим, два
неизвестных вектора, направление которых получаем в зависимости движения
механизма, а их численные значения определяются пересечением прямых
направленных вдоль действия этих векторных величин.


С
помощью плана скоростей определяем величины и направления угловых скоростей 
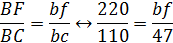
Согласно
теореме подобия определяем векторную величину bf, т.е.
расстояние откладываемое при построении на плана скоростей.
Положение
- 0
Положение
- 1
Положение
- 2
Положение
- 3
Положение
- 4
Положение
- 5
Положение
- 6
Положение
- 7
Положение
- 8
Таблица
2
|
№ м\с
|
0
|
1
|
2
|
3
|
4
|
5
|
6
|
7
|
8
|
|
|
0,6
|
0,516
|
0,18
|
0,54
|
0,6
|
0,372
|
0,144
|
0,336
|
0,6
|
|
|
0
|
0,444
|
0,504
|
0,204
|
0
|
0,408
|
0,552
|
0,564
|
0
|
|
|
0
|
1,032
|
0,36
|
1,08
|
0
|
0,744
|
0,288
|
0,672
|
0
|
Таблица 3
|
№ С-1
|
0
|
1
|
2
|
3
|
4
|
5
|
6
|
7
|
8
|
|
|
0,545
|
4,69
|
1,636
|
4,9
|
0,545
|
3,38
|
1,3
|
3,05
|
0,545
|
|
|
0,545
|
4,69
|
1,636
|
4,9
|
0,545
|
3,38
|
1,3
|
3,05
|
0,545
|
Таблица 4
|
№ м
|
0
|
1
|
2
|
3
|
4
|
5
|
6
|
7
|
8
|
|
BC
|
0.11
|
0.11
|
0.11
|
0.11
|
0.11
|
0.11
|
0.11
|
0.11
|
0.11
|
|
AB
|
0.04
|
0.04
|
0.04
|
0.04
|
0.04
|
0.04
|
0.04
|
0.04
|
0.04
|
|
AC
|
0.15
|
0.13
|
0.09
|
0.073
|
0.07
|
0.08
|
0.096
|
0.131
|
0.15
|
|
FB
|
0.13
|
0.14
|
0.194
|
0.207
|
0.21
|
0.201
|
0.188
|
0.15
|
0.13
|
1.4
Построение плана ускорений.
Уравнение плана ускорений
Определяем величину нормального и тангенсальное ускорения точки В
Выбираем масштабный коэффициент ускорений:
Ускорение определяем системой двух векторных уравнений.

С
помощью плана ускорений определяем величины и направления угловых ускорений
всех звеньев механизма.
Угловое
ускорение звена определяется по ускорению относительного движения двух точек
звена.

План
ускорений построен для 3-его положения механизма.
2.
Расчет маховика
Оптимальным режимом большинство машин является равномерное движение
главного вала. Одним из способов выравнивания неравномерности хода машины
является применение маховика. Задачей маховика является уменьшение амплитуды
периодического колебания скоростей начального звена. Обусловленных свойствами
самих механизмов машин или периодическими изменениями соотношения между
величинами движущих сил и сил сопротивления. Наиболее удобной является форма в
виде диска с тяжелым ободом, колеса со спицами или форма симметричная
относительно главных осей инерции. При этой форме легче всего достигается
совпадением оси вращения с одной из главных центральных осей инерции, что
позволяет избежать дополнительных давлений на подшипник вала, на которое
насажено маховое колесо.
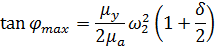
Определение
момента инерции маховика по диаграмме 
Для
того, чтобы построить диаграмму 
для
одного полного цикла, времени установившегося движения механизма или машины,
достаточно знать только изменения кинематической энергии и изменение
приведенных моментов инерции. Для этого необходимо отложить полученное
изменение кинематической энергии 
по оси
ординат от точки 0, а переменный приведенный момент инерции 
от точки
по оси абсцисс. Соединяя полученные точки 1,2,3,4 и т.д. плавной кривой
получаем диаграмму 
,
соответствующую времени установившегося движения механизма. Для определения
приведенного момента инерции маховика используются определённые формулы [1].
Определив
углы 
и 
,
проводим одну касательную к кривой, полученной при построении. Под углом 
, а
другую под углом 
При
малых значениях коэффициента 
вследствие
незначительной разности между углами 
и 
, точка
пересечения касательных уходит за пределы чертежа, поэтому обозначают точки
пересечения касательных с осью ординат.
Приведенный момент инерции маховика колеса может быть определен по
величине отрезков, ab по оси ординат.
.1 Расчет маховика методом Виттенбауэра
а) Исходные данные:
- Основные размеры звеньев;

- Погонный
вес звена; 
Коэффициент
неравномерности хода машины; 
Средняя
угловая скорость вала входного звена; 
Момент
пары сил полезного сопротивления (изменяется по графику); 
График 1. График изменения Fпс
б) Определение приведенного момента сил полезного сопротивления и сил
тяжести.
Определяем силы тяжести:
Определяем приведенный момент сил:
Используя данную формулу подсчитываем значение приведенного момента для 8
положений механизма.
Положение - 0
Положение - 1
Положение - 2
Положение - 3
Положение - 4
Положение - 5
Положение - 6
Положение - 7
Положение - 8
Имея значения приведенных моментов сил полезного сопротивления и сил
тяжести в каждом положении механизма, строим график зависимости Мпр(φ)
Выбираем масштаб моментов:
И
масштаб 
Интегрируя
графически график Мпр(φ)
получаем график Ас(φ) работ сил полезного сопротивления и сил тяжести.
Полученные
результаты при проведении вычислений и построения графиков сводим в таблицу.
Таблица
5
|
№
|
|
|
|
|
|
|
|
|
|
|
|
|
|
|
|
|
|
|
0
|
25
|
4
|
100
|
0
|
22
|
0
|
0
|
4
|
0
|
0
|
4
|
0
|
0
|
10
|
0
|
0
|
0,1
|
|
1
|
20
|
4
|
80
|
0
|
22
|
0
|
0
|
4
|
0
|
53
|
4
|
212
|
53
|
10
|
530
|
50
|
-20
|
|
2
|
8
|
4
|
32
|
0
|
22
|
0
|
0
|
4
|
0
|
6
|
4
|
24
|
6
|
10
|
600
|
200
|
-27
|
|
3
|
23
|
4
|
92
|
0
|
22
|
0
|
0
|
4
|
0
|
45
|
4
|
180
|
45
|
10
|
450
|
370
|
-128
|
|
4
|
25
|
4
|
100
|
0
|
22
|
0
|
0
|
4
|
0
|
0
|
4
|
0
|
0
|
10
|
0
|
0
|
0,1
|
|
5
|
15
|
4
|
60
|
0
|
22
|
0
|
0
|
4
|
0
|
25
|
4
|
100
|
25
|
10
|
250
|
350
|
-98
|
|
6
|
6
|
4
|
24
|
0
|
22
|
0
|
0
|
4
|
0
|
7
|
4
|
28
|
7
|
10
|
70
|
200
|
-25
|
|
7
|
13
|
4
|
52
|
0
|
22
|
0
|
0
|
4
|
0
|
35
|
4
|
140
|
35
|
10
|
350
|
100
|
-26
|
|
8
|
25
|
4
|
100
|
0
|
22
|
0
|
0
|
4
|
0
|
0
|
4
|
0
|
0
|
10
|
0
|
0
|
0,1
|
3.
Определение приведенного момента инерции
Величину приведенного момента инерции машины определяем по формуле;
Определяем общие данные для всех положений;
Определяем силы тяжести:
Определяем m для каждого из
элементов:
Дополнительные данные для облегчения дальнейших математических расчетов;

; 
Определим
момент инерции для восьми положений механизма;
Положение
- 0
Положение - 1
Положение - 2
Положение - 3
Положение - 4
Положение - 5
Положение - 6
Положение - 7
Положение - 8
Строим график приведенных моментов инерции в масштабе:
С помощью метода пересечения линий графиков работы и приведенного момента
инерции, строим диаграмму энергомасс. Данная диаграмма строится в масштабе.
По
заданным значениям коэффициента неравномерности 
и
средних условий скорости 
определяем;
По
углам 
и 
к оси I
проведем две касательные к диаграмме энергомасс соответственно в самой верхней
и нижней точках диаграммы. Эти касательные отсекают на абсциссе отрезок. По
величине полученного отрезка определяем момент инерции моховика по формуле.
Все
полученные результаты при построении графиков и вычислений сводим в таблицу.
4.
Силовой анализ
Чертим
схему механизма для 3-го положения, в масштабе указываем вектора внешних сил
(силы полезного сопротивления, движущей силы и силы тяжести). Сила тяжести звена
определяется через его массу, по формуле 
направлена
вертикально вниз и прикладывается в центре тяжести звена. Сила тяжести каждого
звена постоянна, по величине и направлению. Сила тяжести звена G
проявляет себя как движущая сила (в этом случае, когда центр тяжести звена
движется вниз) и как сила сопротивления (когда центр тяжести звена движется
вверх), но за один полный рабочий цикл она совершает работу равную нулю.
Построение
и расчет данного механизма проведем, разбив его предварительно на две группы
Ассура, и входное звено. Математический расчет проведем с конца механизма.
Определяем интересующие нас параметры, используя математические преобразования
полученных данных выше и графическое исполнение.
1. Группа Ассура II (5
- 4).
2. Группа Ассура II (2
- 3)
3. Входное звено 1
Полученные результаты после математических вычисление и графических
построений сводим в таблицу 7.
Таблица 7
|
Переменная
|
|
|
|
|
|
|
|
|
|
|
Значение
|
5
|
-48,8
|
8,7
|
-4,6
|
-11,6
|
446
|
440
|
74
|
5
|
29
|
4.1 Рычаг Жуковского
Силовой расчет и динамическое исследование механизма можно определить при
помощи принципа возможных перемещений согласно этому принципу, если на какую -
либо механическую систему действуют силы, то прибавляя к заданным силам инерции
и придавая всей системе возможные для данного ее положения перемещения,
получаем ряд экспериментальных работ, сумма которых должна стать ровна нулю.
Методом Жуковского определяем приведенные и уравновешивающие силы.
При помощи этого метода можно определить уравновешивающую силу или
момент. Предполагая, что они приложены к тому же звену, к которому приложено
сила Ру и момента Му. При этом должны учитываться все силы, действующие на
механизм, в том числе и силы инерции, линия действия силы Fу должна совпадать с линией действия
силы Fn а, тогда сила Fn и Fу будут приложены к общей точке звена (как взаимно
противоположные по направлению, но одинаковые по значению).
Если к звеньям механизма приложена система сил F1,F2, F3,F4……Fn в
число которых входят и силы инерции, то для равновесия механизм необходимо
приложить уравновешивающую силу Fу.
Следовательно, получим уравнение вида;
Если на звенья механизма действует сила F1, F2, F3, …….Fn под действием которых механизм не находится в равновесии, то
из уравнения моментов всех этих сил относительно полюса плана скоростей всегда
можно определить величину силы Fу
уравновешивающий заданной силы.
5.
Кинематический анализ плоских рычажных механизмов
Цель кинематического исследования зубчатого механизма заключается в
определении скорости вращения одного из его звеньев, если имеются отношения
скоростей вращения двух звеньев механизма.
К плоским зубчатым механизмам относятся механизмы с колесами
расположенными или перемещающимися в параллельных плоскостях. Зубчатые
механизмы могут быть как с неподвижными геометрическими осями вращения колес,
так и с подвижными осями. К зубчатым механизмам с подвижными осями относятся
механизмы, у которых хотя бы одно колесо имеет подвижную ось вращения:
планетарные, замкнутые, дифференциальные механизмы.
Ступенчатый ряд называется соосным, если ведущие и ведомые звенья имеют
общую геометрическую ось.
Смешанными ступенчатыми рядами считается сложные зубчатые механизмы с
неподвижными осями.
Расчетная часть;
По
известным величинам (числа зубьев колес 
модуль
зацепления m=10) рассчитываем геометрические параметры эвольвентой
передачи в следующей последовательности.
1. Коэффициент смещения.
2. Определяем угол зацепления.
3. Делительное межосевое расстояние.
4. Межосевое расстояние.
. Коэффициент воспринимаемого смещения.
6. Коэффициент уравнительного смещения.
7. Высота ножки зуба.
. Высота головки зуба.
. Радиус делительной окружности.
10. Радиус основной окружности.
11. Радиус начальной окружности.
12. a) Радиус окружности вершин зубьев.
б) Профильный угол.
. Радиус окружности впадин.
. Толщина зуба по делительной окружности.
. Толщина зуба по основной окружности.
. Толщина зуба по окружности вершин.
После математических и графических вычислений полученные результаты
занесем в таблицу 8.
Таблица 8
|
№
|
Параметр
|
Значение параметра
|
|
1
|
Xi
|
|
|
|
2
|
|
|
|
3
|
|
|
|
4
|
|
|
|
5
|
|
|
|
6
|
|
|
|
7
|
|
|
|
|
8
|
|
|
|
|
9
|
|
|
|
|
10
|
|
|
|
|
11
|
|
|
|
|
12
|
|
|
|
|
13
|
|
|
|
|
14
|
|
|
|
|
15
|
|
|
|
|
16
|
|
|
|
Графическое исследование привода механизма.
В
масштабе 
схематично
вычерчиваем привод механизма зная диаметры выходных зубчатых колес. Номеруем
детали. Обозначаем контактные точки зубчатых колес и оси вращения. Справа от
механизма проводим вертикальную линию, на которую сносим все характерные точки
привода механизма (точки контакта зубчатых колес оси вращения) затем с помощью
тета - линии строим план линейных скоростей привода. Для построения угловых
скоростей привода проводим прямую перпендикулярную прямой проведенную для
построения плана скоростей. На данной прямой в произвольном масштабе выбираем
точку и от нее вниз на произвольном расстоянии помещаем полюс Р. Из полюса Р
лучи проводим, параллельно соответствующим тета - линиям.
Эти
лучи пересекают перпендикулярную линию, находящуюся по отношению к линии плана
скоростей, в точках 1,2,3,4 и т.д., а отрезки будут представлять угловые
скорости звеньев в масштабе.
Для
получения действительных скоростей из плана скоростей необходимо.
1. Измерить расстояния от вертикальной линии до символа скорости
интересующей нас точки.
. Умножить данное число, полученное в миллиметрах на коэффициент.
Построение плана скоростей и скорости зубчатых колес полученные при этом:
Построение начинается с ввода масштаба. Зная действительные радиусы
зубчатых колес 5 и 6 и угловую скорость данных выходных звеньев. Определим
скорость Vк
Отложи данную скорость на расстояние 45 мм следовательно масштаб будет
равен:
Далее
при помощи простейших построений узнаем длинны отрезков 
. Далее
при помощи умножения их на масштабный коэффициент, получаем скорости точек К,
О3, В, М, С, О1, О6.
кулачковый рычажный
механизм
Далее по аналогии определяем масштабный коэффициент для построения плана
угловых скоростей звеньев механизма:
Определяем угловые скорости звеньев механизма:
Полученные результаты сводятся в таблицу 9.
Таблица 9
.
Синтез кулачкового механизма
Кулачковый механизм предназначен для преобразования движения:
вращательное в поступательное; Вращательное во вращательное; поступательное в
вращательное; поступательное в поступательное.
Кулачковые механизмы выполняют функции регулировки (например, двигатель
внутреннего сгорания, открывают и закрывают клапаны).
Как во всех механизмах исследуется кинематика и динамика кулачкового
механизма, поскольку скоростей и ускорений приводит к инерции, а силовые
нагрузки могут вызвать поломку механизма.
Кинетические схемы кулачкового механизма изображаются или отрезками
прямых или окружностями. Нетрадиционная форма изображения- это кулачок, который
имеет заданную поверхность и от которой зависит работа механизма.
Схема 3 Схема кулачкового механизма.
В данной курсовой работе мы получили исходные данные, по которым должны
были построить кулачек удовлетворяющий условию курсового проекта.
Исходные данные:
Smax=10 мм, l=0
мм, 
,
.
Закон
движения толкателя:
Причем
S1= S2 - это обязательное условие для построения дальнейших
планов аналога скоростей и аналога перемещений.
Используя
закон движения толкателя, вычерчиваем его как диаграмму аналога ускорений.
После чего производим построение диаграммы аналога скоростей. Выполнив
построения данной диаграммы, переходим к построению диаграммы перемещений.
Данная диаграмма строится по методу хорд или касательных.
После
чего используя диаграмму аналога скоростей, производим построение синтеза
кулачка. По данному синтезу определяем начальный диаметр кулачка и диаметр
ролика.
Далее
проводим профилирование кулачка.
Вывод
В
ходе выполнения данной курсовой работы изучен анализ и синтез технологической
машины. Построены графики скоростей, ускорений, работ, и сил инерций. Кратко
изложен принцип действия механизмов использованных в технологической машине.
Представлены основные аналитические выражения для расчета основных элементов
технологической машины.
При
выполнении данной курсовой работы использовали ГОСТ и нормативно техническую
документацию.
Определены
параметры механизма, используя как аналитические, математические так и
графические способы. В частности для нахождения скоростей, ускорений и т.д.
В
ходе курсовой работы провели большой объем работы по построениям графиков и
диаграмм. Провели кинематический анализ плоских рычажных механизмов,
структурный анализ, силовой анализ, кинематический анализ плоских зубчатых
механизмов.
После
определения всех параметров необходимых для построения кулачкового механизма.
Произвели завершающее построение данного механизма.
В
данной курсовой работе мы смогли самостоятельно применить багаж знаний по
предмету «теория механизмов и машин». Получить определённые навыки в оформлении
курсового проекта.
Список
литературы
1. Артоболевский
И.И. Теория механизмов и машин; учеб. Для вузов - 4-е изд. перераб.и доп. - М :
Наука гл. ред. - мат. лит. , 1988 - РИОС
2. Методические
указания к лабораторным занятиям по курсу «Теория механизмов и машин» для
студентов специальностей 0303,0501,0502,0503,0506. Часть 1.
. Методические
указания к курсовому проекту по теме «расчет маховика» курса «Теория механизмов
и машин» для студентов спец. 0501, 0502, 0503, 0506.
. Методические
указания к курсовому проекту по курсу «Теория механизмов и машин» для студентов
спец. 0501, 0502, 0503, 0506 силовой анализ. Под редакцией доцента к.т.н.
Стрикеля Н.И.. редактор Сидорова Е.Т.
. Курсовое
проектирование по теории механизмов и машин: К 93 учебное пособие для инж.-
техн. спец. Зудов В., К. Акулич, П.П. порович, Э.И. Астахов и др.; Под общ.
ред. И. Деавйко - Мн.: Высш. Шк. 1986 - 275
. Методические
указания к курсовому проекту по теме «Анали и синтез кулачкового механизма»
курса «Теория механизмов и машин» для студентов машиностроительных
специальностей.