Обоснование инвестиционного решения

  • Вид работы:
    Курсовая работа (т)
  • Предмет:
    Эктеория
  • Язык:
    Русский
    ,
    Формат файла:
    MS Word
    381,59 Кб
  • Опубликовано:
    2013-01-18
Вы можете узнать стоимость помощи в написании студенческой работы.
Помощь в написании работы, которую точно примут!

Обоснование инвестиционного решения

Введение

Инвестиционная деятельность присуща любому коммерческому предприятию.

Оценка эффективности инвестиций является наиболее ответственным этапом принятия инвестиционного решения, от результатов которого в значительной мере зависит степень реализации цели инвестирования.

В основе принятия инвестиционных решений лежит оценка инвестиционных качеств предполагаемых объектов инвестирования, которая в соответствии с методикой современного инвестиционного анализа ведется по определенному набору критериальных показателей эффективности: анализ экономики, отрасли, предприятия, расчет ключевых показателей.

В данной курсовой работе «Обоснование инвестиционного решения» приведен анализ ОАО «Пермские моторы».

Целью курсовой работы - развитие навыков инвестиционного анализа на рынке ценных бумаги расчетов, необходимых при осуществлении финансовых вложений.

Задачи выполнения курсовой работы:

систематизация, расширение и закрепление теоретических и практических знаний по специальности;

развитие навыков самостоятельной работы с необходимыми материалами, специальной литературой и источниками рыночной информации;

применение знаний при решении конкретных экономических задач и обосновании применяемых решений.

Национальная экономика

Государственная налоговая политика. Российская экономика развивается в сложных, противоречивых условиях, испытывая на себе действие ряда позитивных и негативных факторов. Это находит отражение в экономической политике в целом и её важнейшей составляющей - налоговой политике.

В результате реформирования налогового законодательства в 2009г. налоговое бремя практически по всем бюджетообразующим налогам было снижено.

В частности, в 2009 году приняты законопроекты, направленные на совершенствование налогообложения операций с ценными бумагами и финансовыми инструментами срочных сделок, включая налогообложение доходов физических лиц от этих операций, расширение возможностей применения упрощенной системы налогообложения, а также диапазона применения ставок транспортного налога.

Уменьшение налога на прибыль в сравнении с показателями аналогичного периода 2008г. на 53,5% и платежей за пользование природными ресурсами на 46,8 % объясняется сокращением производства (ухудшением финансовых итогов), снижением налога на добычу полезных ископаемых вследствие падения цен на нефть и ставок налога, а также основной ставки налога на прибыль с 24% до 20%. В свою очередь, относительное увеличение акцизов (3,8%) и незначительное уменьшение НДФЛ (1%) объясняется повышением ставок акцизов и мерами по поддержке занятости и доходов работников.

Рост НДС на 11,1% связан исключительно с изменением порядка уплаты налога.

По данным ФНС РФ за январь - сентябрь 2009г. самый высокий удельный вес в структуре налоговых доходов федерального бюджета принадлежит налогу на доходы физических лиц (25,8 %), внесенные изменения в который характеризуются появлением с 1 января 2009г. новаций социального характера, касающихся увеличения налоговых вычетов. Однако, с целью увеличения собираемости этого налога, более справедливого распределения налоговой нагрузки среди налогоплательщиков более эффективной мерой стало бы введение прогрессивной шкалы налогообложения.

Наиболее сложными вопросами российского налогового законодательства и администрирования все еще остаются вычет расходов и возмещение излишне уплаченного входящего НДС. Финансовый кризис поставил перед налоговыми функциями новые задачи, поскольку в новых экономических условиях чрезмерная налоговая нагрузка и/или неожиданные налоговые претензии стали для компаний неприемлемыми.

Размер и динамика государственных расходов.

Основные бюджетные расходы, заложенные в государственный бюджет на 2009 год были основаны на выполнении программных выступлений Президента РФ и Председателя Правительства РФ, а также в соответствии с в Бюджетным посланием.

Основными статьями расходов государственного бюджета РФ в 2009 году являются расходы, направленные на образование, здравоохранение, культуру, жилищно-коммунальное хозяйство. Вышеперечисленные расходы составляют около 34%.

Следующей основной статьей расходов является социальная политика Российской Федерации и трансферты внебюджетным государственным фондам. Здесь сумма расходов составляет около 20%.

Далее идут расходы, связанные с обеспечением обороны и безопасности государства - здесь объем равен 17%.

Затем следуют расходы на поддержку национальной экономики, в том числе и качественное функционирование инфраструктуры - 16% и расходы на общегосударственные вопросы - 9%.

При этом оценивая общий объем бюджетных расходов на социально значимые статьи, такие как здравоохранение и образование, учитываются и расходы государственных внебюджетных фондов и различные налоговые льготы.

Управление государственным долгом

Мировой финансовый кризис, остро сказавшийся на российской экономике, вновь привлек особое внимание к проблеме эффективного управления государственным долгом России, прежде всего его внешней составляющей.

Одной из стратегических целей бюджетной политики является создание эффективной системы управления государственными финансами, что требует формирования, в том числе и эффективной системы управления государственным долгом. Однако Бюджетной стратегией на период до 2023 года данный вопрос применительно к долговой тематике не отражен. Основным направлением долговой политики на 2008-2010 годы была обозначена целесообразность определения критериев оценки эффективности управления государственным долгом как «портфелем» долговых обязательств.

Однако до настоящего времени не определены критерии и показатели как оценки целесообразности проведения отдельных операций, связанных, в частности, с выкупом ценных бумаг и операциями обмена, так и оценки эффективности результатов этих операций с точки зрения их влияния на состояние рынка государственных ценных бумаг и участников этого рынка.

Внутренний государственный долг - внутренняя задолженность государства организациям, предприятиям и населению, образовавшаяся в связи с привлечением их средств для выполнения государственных программ и заказов, выпуском в обращение бумажных денег, государственных облигаций и других государственных ценных бумаг, а также вследствие наличия вкладов населения в государственных банках.

Государственный внутренний долг РФ, выраженный в государственных ценных бумагах, увеличился за 2009 г на 29,3 проц - с 1 трлн 421 млрд 439 млн руб на 1 января 2009 г до 1 трлн 837 млрд 164 млн руб на 1 января 2010 г.

В структуре внутреннего госдолга, выраженного в госбумагах, на 1 января 2010 г 47 проц приходилось на ОФЗ-АД на общую сумму 863,377 млрд руб. ОФЗ-ПД составляли 706,372 млрд руб /38,45 проц/, ГСО-ФПС - 132 млрд руб /7,19 проц/, ГСО-ППС - 135,415 млрд руб /7,37 проц/.

Рис. 1. Динамика объемов государственного внутреннего долга РФ, 2007-2010 гг, млрд. руб


Внешний долг - суммарные денежные обязательства страны, выражаемые денежной суммой, подлежащей возврату внешним кредиторам на определенную дату, то есть общая задолженность страны по внешним займам и невыплаченным по ним процентам.

Рис. 2. Динамика объемов внешнего долга РФ в 2005-2010 гг., млрд. долл.


В абсолютном выражении российский внешний государственный долг на 1 января 2010 года составил 37,6 млрд долларов. По относительным показателям, российский внешний госдолг составляет 3 % от объема ВВП страны. По принятому трёхлетнему бюджету на период 2008-2010 гг., госдолг должен был удерживаться в рамках 2,5 % от ВВП. Однако вследствие падения цен на нефть бюджет России стал дефицитным, и уже в 2010-м году дефицит планируется покрывать за счёт новых кредитов. В наихудшем случае в ближайшие три года внешний долг России может вырасти на $75 млрд.

Денежная политика

Состояние денежной сферы в 2009 г. характеризовалось постепенным укреплением национальной валюты, нормализацией ситуации с ликвидностью банковской системы, снижением процентных ставок и увеличением спроса на национальную валюту.

Денежная масса М2 за IV квартал 2009 г. возросла на 15,0% (за IV квартал 2008 г. - сократилась на 6,1%), а за 2009 г. в целом ее прирост составил 16,3% (за 2008 г. - 1,7%). Соотношение темпов роста потребительских цен и денежного агрегата М2 обусловило рост рублевой денежной массы в реальном выражении в 2009 г. на 6,9% (в 2008 г. наблюдалось ее сокращение на 10,3%).

Рис. 3. Темпы прироста основных денежных агрегатов (к соответствующей дате предыдущего года)

M0 - наличные деньги; М1 - финансовые активы, которые могут быть немедленно задействованы для осуществления расчетов (наличные деньги и вклады до востребования); М2 - образуется путем сложения агрегата М1 и наиболее распространенных видов срочных вкладов;

Денежный агрегат М0 за октябрь-декабрь 2009 г. увеличился на 15,9%. В целом за 2009 г. объем наличных денег в обращении вырос на 6,4%. На динамику денежного агрегата М0 существенное влияние оказывал спрос населения на наличную иностранную валюту. В феврале-июне 2009 г. на фоне стабилизации и постепенного укрепления рубля к доллару США и евро резко уменьшились объемы продажи банками наличной иностранной валюты населению при росте объемов покупок по сравнению с январем. В III квартале 2009 г. нетто-продажи составили 6,4 млрд. долл. США, в IV квартале их объем был незначительным (0,2 млрд. долл. США). В целом за 2009 г. нетто-продажи банками наличной иностранной валюты (долларов США и евро) физическим лицам равнялись 14,9 млрд. долл. США, что значительно меньше, чем за 2008 г. (47,5 млрд. долл. США).

Безналичная составляющая денежной массы М2 за IV квартал 2009 г. увеличилась на 14,7%, а за 2009 г. ее рост составил 20,2%. В целом за 2009 г. средства юридических лиц на рублевых счетах выросли на 14,5%, средства физических лиц - на 27,1%. При этом во II-IV кварталах 2009 г. отмечался рост депозитов предприятий и депозитов населения, тогда как в I квартале они сократились в абсолютном выражении.

Динамика кредитных агрегатов в целом в 2009 г. в определенной степени была обусловлена существенно снизившимся спросом на кредиты в результате ухудшения макроэкономической ситуации и ужесточения условий заимствования. В то же время предпосылками для восстановления кредитной активности являются благоприятная ситуация с ликвидностью на межбанковском денежном рынке, а также существенно ускорившийся во второй половине 2009 г. рост депозитной базы кредитных организаций.

Изменение процентной ставки. Изменение процентных ставок 2009 г. можно разделить на два этапа. Так, в I полугодии 2009 г. согласно данным Банка России наблюдался рост процентных ставок по привлеченным рублевым вкладам свыше 1 года - на 1,2 п.п. до 10,3%. В целом рост ставок по рублевым вкладам продолжил тенденцию 2008 г., когда они увеличились с 6,8 до 9,1%. Во II полугодии 2009г. ставки по рублевым вкладам, напротив, начали свое снижение до 9,4%. Процентные ставки по валютным вкладам снижались на протяжении всего 2009 г., а особенно быстро в I квартале, после заметного роста в IV квартале 2008 года.

Рис. 4. Динамика процентных ставок по срочным рублевым и валютным вкладам свыше 1 года, %


В целом в 2009 г. произошло возрастание разницы в процентных ставках по валютным и рублевым вкладам в результате увеличения ставок по рублевым вкладам и снижения ставок по валютным депозитам.

Средний уровень процентных ставок (взвешенных по объему вкладов) на 1 января 2010 г. по рублевым годовым вкладам в размере 100 тыс. руб. составил 8,9% годовых (снижение за 2009 г. - на 1 п.п.), а для вкладов в размере 700 тыс. руб. - 9% (снижение за 2009 г. - 1,1 п.п.). При этом средние (невзвешенные) процентные ставки для вкладов в размере 100 тыс. руб. составили 13% годовых и 13,3% для вкладов в размере 700 тыс. руб. (прирост за 2009 г. - 0,2 п.п.).

Произошедшие изменения соответствуют новым экономическим условиям. Рост ставок в I полугодии 2009 г., с одной стороны, способствовал удержанию и привлечению вкладчиков в банки, но, с другой стороны, привел к заметному удорожанию ресурсной базы. Это, а также массовый приток во вклады в конце 2009 г., и общее уменьшение уровня инфляции привели к снижению ставок, как по инициативе самих банков, так и вследствие рекомендаций Банка России.

По страхованию вкладов, проценты по рублевым депозитам стабилизируются в 2010 г. в диапазоне от 8 до 12% и будут заметно отличаться для различных групп банков в зависимости от доступности для них других источников пополнения пассивов.

Прочие факторы, включающие: уровень инфляции, размер потребительских расходов, уровень инвестиций в бизнес, стоимость и наличие энергетических ресурсов, состояние внешней торговли, курсы валют

Уровень инфляции

По итогам текущего года инфляция в России составит 8,8 процента. Об этом сообщается в официальных материалах Росстата. Инфляция в 2009 г. достигла минимального значения за период с 1991 года. Решающую роль в замедлении инфляции сыграло существенное сокращение совокупного спроса, обусловленное мировым финансово-экономическим кризисом. Однако ослабление курса рубля в конце 2008 - начале 2009 г. повлияло на высокие значения инфляции в первой половине года.

Согласно первоначальному прогнозу Минэкономразвития, в 2009 году инфляция должна была составить 11 процентов. Позднее прогноз был снижен до 8,8-9 процентов.

налоговый расход инфляция валюта машиностроение

Размер потребительских расходов

Среднегодовой доход на душу населения в 2009 году составлял порядка 170 тыс. рублей.

Рис. 5. Структура расходов в 2009 году


Ожидаемая реакция структуры расходов на кризис прослеживается в данной диаграмме: рост-питание, жилищно-комунальные услуги; падение - алкогольные напитки, одежда, здравоохранение, отдых, связь.

В 2009 г. среднестатистический россиянин тратил примерно 13 000 руб. в месяц. В соответствии со структурой расходов, используемой для расчета индекса цен, 1026 руб. шло на оплату услуг ЖКХ, 440 руб. - на транспорт, 722 руб. - на одежду и белье, 760 руб. - на алкоголь, 96 руб. - на мыло и стиральный порошок, 58,5 руб. - на газеты, книги и учебники, 45,5 руб. - на театр, кино, музеи и выставки.

В 2009 г. в среднем за месяц на оплату товаров и услуг шло 69,1% доходов (11 640, 6 руб.) и 14,5,8% (2442,7 руб.) - на сбережения. Россияне сократили расходы на одежду, бытовую технику, компьютеры и средства связи, общественное питание.

О состоянии внешней торговли в 2009 году

В 2009г. внешнеторговый оборот России составил, по данным Банка России, 495,8 млрд.долларов США (64,9% к 2008г.), в том числе экспорт - 304,0 млрд.долларов (64,5%), импорт - 191,9 млрд.долларов (65,7%). Сальдо торгового баланса оставалось положительным, 112,1 млрд.долларов США (в 2008г. - 179,7 млрд.долларов).

Среди экспортных товаров наибольший удельный вес (по стоимости) имеют металлы и изделия из них (29,5%), минеральные продукты (23,2%) и топливно-энергетические товары (20,6%). Среди основных товарных групп импорта можно отметить машиностроительную продукцию (33,1%), продукцию химической промышленности (25,6%) и продовольственные товары (14,2%).

Рис. 6. Динамика экспорта и импорта РФ в % к декабрю 2007 года


Курсы валют

Соотношение спроса и предложения иностранной валюты в 2009 году на внутреннем валютном рынке определялось состоянием мировых товарных и финансовых рынков, динамикой потоков капитала и курсовой политикой Банка России.

Курсовая политика Банка России в 2009 г. реализовывалась в рамках режима управляемого плавающего валютного курса и была направлена на обеспечение стабильности национальной финансовой системы, смягчение воздействия мирового финансового кризиса на российскую экономику.

Волатильность курсов основных иностранных валют к рублю в 2009 г. увеличилась по сравнению с 2008 годом. В январе - начале февраля 2009 г. продолжалось быстрое ослабление рубля к доллару США и евро. Максимальное за 2009 г. значение официального курса евро (46,8392 руб. за 1 евро) зафиксировано 5 февраля, доллара США (36,4267 руб. за 1 доллар) - 19 февраля. По итогам 2009 г. официальный курс доллара США к рублю повысился на 2,7% по сравнению с 1.01.2009 - до 30,1851 руб. за доллар США на 1.01.2010, официальный курс евро увеличился на 4,9% - до 43,4605 руб. за евро.

Курс рубля к основным иностранным валютам, резко снизившийся в начале 2009 г., сумел в значительной степени восстановиться к концу года. В условиях сокращения масштабов участия Банка России в операциях на внутреннем валютном рынке в 2009 г. увеличилась волатильность курса рубля к бивалютной корзине, доллару США и евро по сравнению с 2008 годом. Активность операторов межбанковского внутреннего валютного рынка значительно снизилась по сравнению с предыдущим годом на фоне уменьшения объемов внешнеторговых операций и сокращения чистого вывоза капитала частным сектором. Участники валютного рынка смогли адаптироваться к изменениям его конъюнктуры, а инфраструктура рынка сохранила свою работоспособность.

Стоимость и наличие энергетических ресурсов

В соответсвие со Энергетической стратегия россии на период до 2030 года Целью энергетической политики России является максимально эффективное использование природных энергетических ресурсов и потенциала энергетического сектора для устойчивого роста экономики, повышения качества жизни населения страны и содействия укреплению ее внешнеэкономических позиций.

В результате снижения внутреннего и внешнего спроса на основные топливно-энергетические ресурсы из-за мирового финансово-экономического кризиса в 2009 году общий объем производства первичных топливно-энергетических ресурсов сократился на 100 млн тонн у. т., или на 5,6%.

Уровень инвестиций в бизнес

По данным Росстата, инвестиции в основной капитал РФ в 2009 году составили, 7,54 трлн руб., снизившись на 17% по сравнению с 2008 годом, что оказалось лучше официального прогноза властей (17,6%).

Объем инвестиционной деятельности Европейского банка реконструкции и развития в России в 2009 году составил 2,4 миллиарда евро. Россия - одна из крупнейших крупнейшей стран для финансирования проектов со стороны ЕБРР, на ее долю пришлось 31% всей инвестиционной программы. На текущий момент распоряжениями Правительства Российской Федерации утверждены 20 инвестиционных проектов, имеющих общегосударственное значение, для реализации которых представляется государственная поддержка за счет средств Инвестиционного фонда в объеме более 320 млрд. рублей (на 1 рубль средств Фонда привлекаемые средства инвесторов составляют около 2 рублей).

По словам министра финансов Алексея Кудрина государство из-за дефицита бюджета будет снижать свои инвестиции, но общий объем инвестиций должен вырасти за счет частных инвестиций. Задачей государства станет стимулирование частных инвестиций, в том числе за счет увеличения кредитования.

В 2009 год для России стал периодом существенного ухудшения основных показателей экономического развития. ВВП сократился почти на 8% по сравнению с ростом в 5,6% годом ранее, обвальным оказалось падение инвестиций (на 17%), существенно больше стал уровень безработицы. Вместе с этим, несмотря на негативные явления, удалось сохранить социальную стабильность и устойчивость финансовой системы, не допустить массовых банкротств и резкого снижения уровня жизни. Впрочем, это удалось, скорее, благодаря накопленным за предыдущий период определенным резервам и внешним факторам, а не комплексу антикризисных мер российских властей.

Характерно, что на фоне значительного снижения доходов бюджета, государственные расходы только увеличились. Восстановление баланса бюджетной системы через оптимизацию кредитно-денежной политики становится актуальной задачей в кратко- и среднесрочной перспективе. В тоже время за период благоприятной внешней конъюнктуры не была проведена до конца ни одна системная реформа в социально чувствительных сферах: пенсионном обеспечении, образовании, здравоохранении.

Рост безработицы и снижение спроса на рабочую силу не стало причиной качественной сменой модели организации трудовой занятости, так как государство из политических соображений стремилось снизить масштабы возможного социального недовольства.

Развитие событий в 2009 г. наглядно проиллюстрировало, что российская экономика успешно интегрировалась в систему мирохозяйственных связей, однако пока не стала, за исключением ряда сырьевых отраслей, значимым центром силы, способным влиять на ситуацию. Соответственно, ключевым фактором, влияющим на перспективы экономики России остается ситуация в мире и конъюнктура сырьевых цен.

Основные экономические тенденции для 2009 года:

·        Стабилизация в финансовой сфере, обусловленная больше изменением внешнеэкономической конъюнктурой, нежели действиями правительства;

·        Начало восстановительного роста в промышленности;

·        Снижение рентабельности в большинстве отраслей реальной экономики, повлекшее запуск программ оптимизации бизнеса, что в свою очередь привело к уменьшению реальных доходов населения; Предотвращение системных цепочек банкротств в ряде секторов;

·        Повышение уровня как хозяйственного, так и институционального уровня присутствия государства в экономике.

Кризис негативно сказался на качестве модели экономического развития России. До 2008 г. рост базировался на расширении внутреннего спроса за счет т. н. «кредитного бума», как потребительского, так и в промышленности, и притоку экспортной валютной выручки. В 2009 г. больше всего пострадали инвестиционно-ориентированные сектора, в то время как сырьевые отрасли показали интенсивные темпы восстановления.

Анализ отрасли

Характеристика отрасли (уровень монополизации)

Машиностроение - важнейшая отрасль обрабатывающей промышленности, обслуживающая инвестиционный и потребительский спрос и производящая машины и оборудование практически для всех отраслей экономики и промышленности. Машиностроение достаточно серьезно пострадало от кризиса.

Так, в 2009 году динамика производства машин и оборудования составила 71,6% (по сравнению с соответствующим периодом предыдущего года), электрооборудования, электронного и оптического оборудования - 68,4%, транспортных средств и оборудования - 62%.

Авиационное двигателестроение, базирующееся на высоких технологиях и передовых достижениях науки, стимулирует развитие многих отраслей промышленности и создает технологии, находящие применение в энергетике, перекачке газа, пожаротушении, на транспорте и т.д. В ряде развитых стран оно включено в перечень критических технологий, определяющих национальную безопасность государства. Провал девяностых обрушил цвет отечественных двигателистов с передовых позиций в категорию «догоняющих» другие страны и «доедающих» советский технологический запас.

Состояние отрасли, характеризуемое все возрастающим отставанием от мирового уровня в технологическом развитии научно-исследовательского, проектного и производственного секторов, а также большими кадровыми потерями - как в количественном отношении, так и в отношении владения современными конструкторскими и производственными навыками,- создает реальные угрозы сокращения доходов от экспорта авиационных вооружений и дальнейшей утраты рынков сбыта гражданской авиатехники. Необходимость и целесообразность преодоления кризисных тенденций в отечественной авиационной промышленности, с одной стороны, и острый текущий дефицит внутренних ресурсов для саморазвития, с другой стороны, не оставляют альтернативы участия государства в решении системных проблем отрасли.

Эксперты ФГУП "Центрального института авиационного моторостроения им. П.И.Баранова" считают, что самое большое отставание - в области технологий производства. Существуют определенные причины такого состояния. Во-первых, это самое финансовоёмкое мероприятие, а во-вторых - требующее большого времени на освоение.

Интеграция предприятий авиационного двигателестроения, проводимая в последние несколько лет, позволяет ликвидировать конкуренцию внутри страны и направлена основные усилия на завоевание международного рынка.

В то же время подобные меры, как показывает анализ мирового и российского опыта, являются тупиковыми в долгосрочной перспективе. При этом следует заметить, что образование суперхолдинга содержит в себе угрозы не только для других отраслей и государства, но и для самого авиационного двигателестроения. Монопольное положение и большой масштаб сделают такое предприятие не столько рыночным, сколько политическим субъектом, и подвергнут его значительным политическим рискам. Важнейшие стратегические решения (в том числе, касающиеся определения перспективного модельного ряда) неизбежно будут приниматься, исходя не столько из коммерческих, сколько из политических соображений.

Проводимая в последнее время линия по сосредоточению бюджетных финансовых средств на выполнение практически одного проекта с увязкой последующего принятия решения по другим проектам в зависимости от успеха по первому, ведет к монополизации и дальнейшей стагнации отечественного авиастроения, в том числе, двигателестроения, приборостроения, станкостроения и других направлений, определяющих инновационный путь развития экономик.

Наличие и уровень регулирования отрасли государственными органами управления

Отсутствие единого государственного органа, реально отвечающего за состояние отечественного самолетостроения и авиации в целом - одна из острых проблем кризисного положения отрасли. С ликвидацией Министерства авиационной промышленности, когда-то действительно эффективного регулятора отрасли, по сути, начался системный кризис отечественного самолетостроения и авиации в целом.

Программы же, в рамках которых сегодня осуществляется деятельность основных предприятий и организаций в авиационной сфере, оказываются недостаточными инструментами для восстановления отечественной авиационной промышленности.

В соответствии с Концепцией долгосрочного социально-экономического развития Российской федерации на период до 2020 года целью государственной политики в области развития авиационной промышленности и двигателестроения является создание высококонкурентной авиационной промышленности, возвращение ее на мировой рынок в качестве третьего производителя по объему гражданской продукции, достижение 10 - 15 процентного уровня мирового рынка продаж гражданской авиационной техники в 2020 - 2025 годах.

Приоритетными направлениями развития авиационной промышленности станут следующие: создание ряда перспективной авиационной техники и двигателей; обновление авиапромышленного комплекса (развитие производственного, конструкторского и научно-исследовательского потенциала, увеличение количества создаваемых новых технологий и ускорение их внедрения, внедрение и развитие новых технологий проектирования и производства авиатехники и другое); поддержка продвижения российской авиатехники на рынки, совершенствование нормативно-правовой базы с целью расширения участия в реализации перспективных авиационных проектов иностранных партнеров. Министерство промышленности и торговли Российской Федерации оказывает всемерную поддержку отечественной отрасли авиадвигателестроения. Минпромторг содействует организации совместных инвестпроектов двигателестроителей и госкорпораций «Роснанотех», «Ростехнологии». Результатом реализации этих инвестпроектов должен стать выход отрасли на новый уровень высоких машиностроительных технологий. Значимым и актуальным для Минпромторга России остаются задачи поддержки интеграционного процесса и корпоративного развития в двигателестроительной отрасли.

В соответствии с Указом Президента РФ №497 от 16 апреля 2008 года и Постановлением Правительства РФ от 4 октября 2008 года, Корпорация "оборонпром" выступает в роли интеграционного центра объединения в области двигателестроения и консолидирует активы в этой сфере.

Для управления активами в двигателестроении создана 100-процентая дочерняя компания ОАО "ОПК "Оборонпром" - Управляющая компания "Объединенная двигателестроительная корпорация" - одна из ведущих машиностроительных структур России как по творческому потенциалу, так и по располагаемым производственным мощностям.

Основные направления деятельности ОДК:

.        Создание и серийное производство современных газотурбинных двигателей в интересах авиационной и ракетной промышленности, энергетики, морского, железнодорожного, трубопроводного и наземного транспорта.

.        Модернизация и обеспечение эксплуатации выпускаемой техники.

.        Реализация комплексных программ развития предприятий газотурбинного двигателестроения.

.        Привлечение и концентрация интеллектуальных, производственных и финансовых ресурсов для внедрения новых технологий и международных стандартов на предприятиях газотурбинного двигателестроения.

В состав двигателестроительной интегрированной группы входят:

Научно-производственное объединение "Сатурн", "Уфимскмй моторостроительное производственное объединение", "Пермский моторный завод", "Авиадвигатель", Самарский научно-технический комплекс им. Н.Д. Кузнецова, ОАО "СНТК", "Моторостроитель", "Самарское конструкторское бюро машиностроения" (СКБМ"), "Климов", "Московское машиностроительное предприятие им. В.В.Чернышева".

Кроме того, в состав группы входят : ОАО "Пермские моторы", ОАО СТАР (Пермь), ОАО "Пермское агрегатное объединение "Инкар", ОАО "Металлист-Самара", ОАО "НПО "Поволжский авиационный технологический институт", "НПО "Мотор", ОАО "Красный Октябрь".

В декабре 2009 года Председатель Правительства РФ Владимир Путин подписал распоряжение о выделении ОАО «ОПК «ОБОРОНПРОМ» 6,521 млрд. рублей на поддержку предприятий вертолетостроения и двигателестроения.

Под флагом реструктуризации отрасли многим уже не ясно, кто конкретно отвечает теперь за определенную деятельность.

Инновационная активность в отрасли, характеризующаяся наличием инноваций в отрасли и степенью их влияния на отрасль

В отечественном моторостроении, несмотря на определенные трудности, есть и ряд достижений. Научными институтами (ЦИАМ, ВИАМ, ВИЛС) в течение 2009 г. выполнен ряд важных научно-исследовательских и прикладных НИР в обеспечение создания новых двигателей и агрегатов в соответствии с программами «Развитие гражданской авиационной техники России на 2002». Начаты летные испытания АЛ-55И в составе самолета МиГ-АТ. Проведены государственные испытания АИ-222-25. Выполнен запланированный объем работ по созданию мотора ТВ7-117СТ для военно-транспортной авиации. Проведен большой объем конструкторских работ по электронному блоку управления и контроля ЭСУ-55 двигателя АЛ-55И. Завершены испытания ряда агрегатов в составе АИ-222-25.

Для того чтобы сделать российскую авиационную отрасль конкурентоспособной, у российских авиаторов есть только один путь - взять на вооружение передовые достижения ведущих мировых двигателестроительных компаний. Так и поступили в НПО «Сатурн», где для разработки нового двигателя SaM146 для нового российского самолета SuperJet-100 были объединены усилия с французской двигателестроительной корпорацией SNECMA (Societe Nationale d’Etude et de Construction de Moteurs d’Aviation) Двигатель окрестили отечественной инновацией и спасителем авиапрома.

Прорывной проект создания семейства двигателей нового поколения тягой 9-18 тонн призван стать «стержнем» консолидации крайне ограниченных отраслевых научно-конструкторских ресурсов. Запланировано объединить наколенные наработки, осуществить свертывание дублирующих разработок и исключить практиковавшееся и продемонстрировавшее низкую результативность обособленное проектирование нескольких типов двигателей на разной технологической основе. Выходными результатами прорывного проекта должны стать реализованные на единой технологической основе авиадвигатели для перспективных самолетов гражданской авиации семейства МС-21, самолета SSJ-130, широкофюзеляжного ближнее- среднемагистрального самолета, а также для российско-индийского самолета МТА.

Характеристика основной движущей силы отрасли, позволяющая ответить на вопрос что определяет спрос на продукцию отрасли

Первопричиной большей части неблагоприятных явлений, наблюдаемых в отрасли, является резкое снижение платежеспособного спроса на продукцию российских двигателестроительных предприятий в условиях смены хозяйственного уклада в стране, шокового сокращения бюджетного финансирования и возникновения конкурентного рынка авиатехники. Возможность продажи продукции на свободном рынке в условиях превышения предложения над спросом называется конкурентоспособностью продукции. Современное состояние отрасли можно охарактеризовать как кризис конкурентоспособности: независимые авиакомпании (как российские, так и зарубежные) не заинтересованы в приобретении отечественной авиатехники.

Но все же, текущее положение российских двигателестроительных предприятий отличается существенной неоднородностью. Прежде всего, в настоящее время относительно высоким и устойчивым спросом (порядка нескольких десятков или даже сотен единиц в год) пользуются авиадвигатели военного назначения, которыми комплектуются боевые самолеты четвертого поколения, поставляемые на экспорт (прежде всего истребители семейств Су-27 и МиГ-29). Как известно, в течение ряда последних лет объемы закупки новой авиатехники для российских ВВС были катастрофически малы. На этом фоне относительно массовые (порядка нескольких десятков или даже сотен изделий каждого типа) продажи российской военной авиатехники зарубежным заказчикам следует считать несомненным маркетинговым успехом российских предприятий, поскольку, как правило, иностранные заказчики предпочитают не приобретать авиатехнику военного назначения, не стоящую на вооружении в стране-экспортере.

Что касается гражданского сектора рынка авиадвигателей, именно здесь наблюдается наиболее драматическое падение платежеспособного спроса и выпуска продукции. Поскольку авиационная промышленность относится к фондообразующим отраслям, спад спроса на ее продукцию может быть вызван даже сокращением темпов роста производства в отраслях-потребителях, поскольку оно вызывает снижение потребности в закупке нового оборудования. Естественно, влияние спада производства в отрасли-потребителе (в данном случае - в гражданской авиации) вызывает еще более значительный спад спроса на фондообразующую продукцию. Таким образом, проблемы снижения платежеспособного спроса на авиадвигатели гражданского назначения отчасти объясняются глобальным замедлением темпов роста или даже спадом объемов авиаперевозок и, как следствие, снижением спроса на авиатехнику по всему миру.

Выявление основных производственных и финансовых проблем отрасли, включающих обеспеченность предприятий: рабочей силой, средствами производства, капиталом, сырьем и материалами

Особенностью развития двигателестроительной отрасли в 2009 году, как и экономики в целом, была деятельность в условиях обострения системного кризиса при развитии мирового финансово-экономического кризиса. Если говорить в целом, то состояние отрасли к концу 2009 года можно характеризовать как критическое.

Среди основных проблем моторостроителей и производителей агрегатов можно назвать: неустойчивое финансовое состояние многих крупных предприятий отрасли; усложненный доступ к текущему кредитованию, в том числе из-за высоких, более 20%, ставок по кредитам и малых сроков их погашения; низкая загрузка производственных мощностей предприятий; недостаток оборотных средств; приостановка из-за задержек бюджетного финансирования важнейших опытно-конструкторских работ. Все это дополняется малыми объемами госзаказов и формированием монопольных холдингов у поставщиков, необоснованно поднимающих цены.

По данным двигателестроительных предприятий, обострение системного кризиса начало сказываться в 2008 г., а в 2009 г. только усилилось. До такой степени, что даже у ряда ведущих и крупных предприятий авиадвигателестроения наблюдалось значительное падение рентабельности производства основой продукции. Основные причины ее снижения: непредсказуемый рост цен на металлургическую продукцию (за последние три года более чем в два раза), и резкое уменьшение рублевой массы средств, поступающих на заводы, из-за падения курса доллара (более чем на 20% в первой половине 2009 г.). Кроме того, высокими темпами продолжают расти цены на топливно-энергетические ресурсы. Все это привело к значительному увеличению доли материальных затрат в себестоимости продукции, снижению рублевой выручки, а в ряде случаев и к убыточности производства авиадвигателей

В ОПК «Оборонпром» видят, что в силу раздробленности предприятий не сформирована научно-производственная кооперация, способная реализовать полноценный прорывной проект по созданию авиадвигателя пятого поколения.

В качестве других важных проблем для разработчиков и производителей авиационных двигателей сегодня является острая нехватка квалифицированных инженерно-технических работников (около 9 тыс.) и рабочих (более 21 тыс.). Формирование высокотехнологичной и гибкой структуры производства потребует создание современной системы подготовки кадров. И эти функции также берет на себя двигателестроительный дивизион «Оборонпрома».

В целом, по мнению специалистов, в отечественном двигателестроении наметилась тенденция к улучшению ситуации. Однако, многие предприятия, по-прежнему имеют долги по кредитам, взятым еще в докризисные времена на развитие, модернизацию и техническое перевооружение производства, и поэтому вынуждены отдавать часть прибыли на их погашение. Вместе с тем, в минувшем году значительно возросли объемы государственной поддержки моторостроительной отрасли. В основном она осуществлялась в виде вкладов в уставные капиталы предприятий, субсидий по возмещению процентов по вышеупомянутым кредитам, а также путем предоставления прямых государственных займов и гарантий. Всего на эти цели в 2009г. из федерального бюджета было выделено около 46 млрд. руб.

Ведущие эксперты в области двигателестроения считают, что в ближайшие годы необходимо заняться не только организацией эффективной работы создаваемых интегрированных структур, но и, что важно, прямым развитием кооперационных связей между ними путем обмена лучшими достижениями и технологиями.

Анализ компании

О компании «Пермский моторостроительный комплекс».

Пермский моторостроительный комплекс - группа пермских авиационных предприятий, объединенных общим брендом «Пермские моторы», общей историей и территорией, связанных в единую технологическую цепочку, охватывающую проектирование, доводку, серийный выпуск авиационных двигателей, газотурбинных установок и газотурбинных электростанций, вертолетных редукторов и трансмиссий, а также их послепродажное сопровождение в эксплуатации.

Предприятия комплекса:

ОАО «Авиадвигатель»

ОАО «Пермский Моторный Завод»

ОАО «Редуктор-ПМ»

ОАО "Пермские моторы"

ЗАО «Моторсервис-ПМ»

ЗАО «Металлист-ПМ»

ЗАО «Инструментальный завод-ПМ»

ЗАО «РЭМОС-ПМ»

ОАО «Энергетик-ПМ»

ЗАО «Железнодорожник-ПМ»

и др.

Предприятия комплекса находятся под управлением ООО "Управляющая компания "Объединенная двигателестроительная корпорация" и ОАО "Вертолеты России" (ОАО «Редуктор-ПМ») корпорации ОАО "ОПК "Оборонпром".

Начиная с 1996 года, введено в эксплуатацию более 500 газотурбинных установок. Пермские газовые турбины получили высокую оценку заказчиков, среди которых ОАО «Башкирэнерго», ООО «Тюментрансгаз», ОАО «Севергазпром», ОАО «Сургутнефтегаз», ОАО «НК «ЮКОС», ОАО «Сибур» и др.

ОАО «Пермские моторы»

Открытое акционерное общество «Пермские моторы» учреждено в 1992 году на базе Пермского моторостроительного завода № 19 им. Сталина, основанного в начале тридцатых годов прошлого столетия.

До 1997 года ОАО «Пермские моторы» выполняло весь объем производства и ремонта авиадвигателей Перми. Тогда акционеры «Пермских моторов» реорганизовали некогда единый завод, наделив основными производственными мощностями предприятия вновь созданные АО (основные: ПМЗ, «Авиадвигатель» и «Редуктор_ПМ»). «Пермские моторы» стали акционером ряда моторных АО. Основной задачей предприятия стали выплата долгов и управление имуществом.

Основные виды деятельности ОАО «Пермские моторы» в 2009 году:

проведение расследований и обеспечение безопасности;

посреднические услуги при купле-продаже продукции производственно-технологического назначения;

посреднические услуги при купле-продаже товаров и сдача в наем (аренду, в прокат) без выраженной специализации;

продажа и сдача в наем (аренду) недвижимого имущества непроизводственного и производственно-технического назначения;

сдача в наем (аренду) оборудования и машин производственно-технического назначения.

ОАО «Пермские моторы» входят в состав Объединенной двигателестроительной корпорации - 100%-ной специализированной дочерней компании ОАО «ОПК «Оборонпром» по управлению двигателестроительными активами.

Оценка конкурентоспособности предприятия

Высокий спрос на продукцию Пермского моторостроительного комплекса, научный и промышленный потенциал его основных предприятий ставят комплекс в число лидеров отечественного двигателестроения.

Мониторинг потребностей авиастроительного рынка России, регулярно проводимый специалистами ОАО «Ильюшин Финанс Ко» и других заинтересованных структур, позволяет с уверенностью говорить о том, что до 2015 года авиапрому потребуется около 160 двигателей ПС-90А2 пермского производства.

Движущая интеллектуальная сила Пермского моторостроительного комплекса - конструкторское бюро «Авиадвигатель» - центр реализации национального проекта - создания нового семейства авиационных двигателей на базе единого газогенератора. Перспективные наработки данной конструкторской школы позволили пермским специалистам не только инициировать, но и возглавить проект. За 2009 год объем продаж увеличился в сегменте «НИОКР», где усилилась роль государства по консолидации отрасли и продолжилось финансирование новых направлений и программ.

Основными конкурентами в сегменте авиационных двигателей являются зарубежные разработчики - GE, Pratt & Whitney, Snecma, Rolls-Royce, ОАО «Мотор Сич», отечественные разработчики - ОАО «НПО «Сатурн», СНТК им. Кузнецова, ФГУП ММПП «Салют».

В рамках долгосрочной стратегии Пермский моторостроительный комплекс в 2009 продолжил создание и сертификацию новой конкурентоспособной продукции, продление жизненного цикла существующих изделий, обеспечивает сопровождение и поддержку изделий, находящихся у клиентов, осуществляет конструкторский надзор и сопровождение серийного производства, отвечает за конкурентоспособность изделий.

Оценивая среднесрочную перспективу развития Пермского моторстроительного комплекса до 2011-2020 года, необходимо отметить, что, не смотря на мировой финансовый кризис, сформировался неудовлетворенный отложенный спрос на новую авиатехнику со стороны российских авиаперевозчиков. Для удовлетворения этого спроса разрабатываются новые модификации двигателей, которые уже заказаны в ОАО «ПМЗ» на 2010-2015гг., а на долгосрочную перспективу реализуется проект по созданию семейства двигателей нового поколения.

Анализ номенклатуры продукции и существующих тенденций сбыта

Основные направления деятельности Пермского моторостроительного комплекса:

·        Разработка и серийное производство современных газотурбинных двигателей для гражданской и военной авиации, в том числе единственного современного двигателя России ПС-90А и его модификаций для конкурентоспособных российских самолетов Ил-96-300, Ил-76МФ, Ту-204, Ту-214 и модифицируемых транспортных самолетов семейства Ил-76

·        Проектирование, серийный выпуск, монтаж под ключ, пусконаладка промышленной газотурбинной техники:

газотурбинных установок для газоперекачивающих компрессорных станций и подземных хранилищ газа мощностью от 10 до 25 МВт

газотурбинных приводов генераторов электростанций в диапазоне мощностей от 2,5 до 25 МВт

газотурбинных, блочно-контейнерных легко транспортируемых электростанций мощностью 2,5, 4, 6 МВт

·        Создание и серийное производство широкой гаммы редукторов для авиационной промышленности и наземного применения

·        Выпуск надежных трансмиссий и муфт для привода компрессоров, насосов и электрогенераторов

·        Изготовление узлов и деталей для авиационных двигателей Д-30, ТВ2-117, Д-30Ф6, ПС-90А

·        Ремонт, гарантийное и текущее обслуживание газотурбинной техники

·        Разработка для энергетики перспективных стационарных ГТУ большой мощности - от 65 до 250 МВт

·        Производственные и инжиниринговые услуги

Именно здесь разработаны двигатели большинства российских пассажирских и транспортных самолетов, начиная с ветеранов - Ту-134, Ил-62М, Ту-154М, Ил-76 и заканчивая самыми современными - Ту-204, Ту-214, Ил-96-300, Ил-76МФ.

Основными рынками, на которых Пермский моторостроительный комплекс осуществляет свою деятельность являются: рынок авиадвигателей, рынок наземных газотурбинных установок, рынок услуг и запчастей для авиадвигателей, рынок деталей и узлов для газотурбинных установок.

Основные рынки, на которых ОАО «Пермские моторы» осуществляет свою деятельность, - предприятия площадки Пермского моторостроительного комплекса.

Анализ доходности (рентабельности) компании

Объем выручки по основным видам деятельности за 2009 г., в сравнении с 2008 г., снизился на сумму 61 965 тыс. руб. (-32%), это является неблагоприятным моментом.

Для анализа рентабельности составим таблицу «Расчет и динамика показателей рентабельности»

Таблица 1. Расчет и динамика показателей рентабельности ОАО «Пермские моторы»

Показатели

Алгоритм расчета

Отчетный год



на начало года

на конец года

изменение за год (+,-)

10.1. Рентабельность активов, %

Пчист/А * 100

1,3

4,8

3,5

10.2. Рентабельность оборотных активов, %

Пчист/Аоб* 100

15,7

52,6

36,9

10.3. Рентабельность собственного капитала, %

Пчист/Ксоб* 100

1,39

4,9

3,51

10.4. Рентабельность инвестированного капитала, %

Qр/(Ксобст +Кздолг)*100

10,1

14,7

4,6

10.5. Рентабельность продукции, %

ПQp/СQp*100

-28,3

-75,4

-47,1

10.6. Прибыльность продукции, % (рентабельность реализованной продукции)

ПQp/Qp*100

22,05

43

20,95


Коэффициенты рентабельности показывают, насколько прибыльна деятельность компании. В результате анализа данных показателей получаем следующие результаты:

Собственные средства приносят чистую прибыль в размере 3,5% годовых.

Каждый рубль активов предприятия приносит ежегодно 3,5 копеек чистой прибыли.

Таким образом, предприятие в 2009 работало недостаточно эффективно, наметилась положительные сдвиги по показателям рентабельности продаж, но эффективность работы предприятия остается невысокой из-за назких показателей.

Анализ активов компании

В 2004 году при участии бывшего собственника "Пермских моторов" - группы "Гута" - с баланса компании были выведены наиболее ликвидные активы, в том числе 21,15% акций Пермского моторного завода. Миноритарные акционеры "Пермских моторов", среди которых - большинство бывших рабочих завода и пенсионеры, выражали недовольство тем, что остались совладельцами предприятия, ликвидные активы которого значительно сократились. Миноритарии "Пермских моторов" предлагали выкупить у общества их акции.

Источник в Пермском Моторостроительном комплексе утверждает, что у ОАО "Пермских моторов" нет серьезных активов, за исключением складских помещений и проходной. Бывший гендиректор предприятия указывает в качестве ценного актива компании брэнд "Пермские моторы".

 

Таблица 1. Структура активов ОАО «Пермские моторы»

ВНЕОБОРОТНЫЕ АКТИВЫ Нематериальные активы

110

-

-

Основные средства

120

28726

25921

Незавершенное строительство

130

20220

20527

Доходные вложения в материальные ценности

135

7743

6897

Долгосрочные финансовые вложения

140

1169341

1177795

Отложенные налоговые активы

145

-

-

Прочие внеоборотные активы

150

-

-

ИТОГО по ВНЕОБОРОТНЫМ АКТИВАМ

190

1226030

1231140

ОБОРОТНЫЕ АКТИВЫ Запасы

210

31641

34642

в том числе: сырье, материалы и другие аналогичные ценности

211

5372

4582

животные на выращивании и откорме

212

-

-

затраты в незавершенном производстве

213

0

0

готовая продукция и товары для перепродажи

214

25723

29673

товары отгруженные

215

-

-

расходы будущих периодов

216

546

387

прочие запасы и затраты

217

-

-

Налог на добавленную стоимость по приобретенным ценностям

220

36

0

Дебиторская задолженность (платежи по которой ожидаются более чем через 12 месяцев после отчетной даты)

230

7589

0

в том числе покупатели и заказчики

231

-

-

Дебиторская задолженность (платежи по которой ожидаются в течение 12 месяцев после отчетной даты)

240

41083

42387

в том числе покупатели и заказчики

241

36329

41542

Краткосрочные финансовые вложения

250

31728

38000

Денежные средства

260

2794

9582

Прочие оборотные активы

270

-

-

ИТОГО по ОБОРОТНЫМ АКТИВАМ

290

114871

124611


За 2009 год внеоборотные активы увеличились на 0,4% , т.е. на 5 110 тыс. руб., в том числе:

·        стоимость основных средств уменьшилась на 8% (на 2 805 тыс. руб.) в основном за счет продажи имущества ОАО «Пермский моторный завод», ОАО «Редуктор-ПМ» и начисленной амортизации;

·        незавершенное строительство увеличилось на 1,5% (на 307 тыс. руб.) в основном за счет проведенных исследований по проектированию жилого дома;

·        доходные вложения в материальные ценности уменьшились на 11% (на 846 тыс.руб.) в результате приобретения автомобиля и продажи двух квартир;

·        долгосрочные финансовые вложения увеличились на 0,7% (на 8454 тыс.руб.) за счет приобретения акций ОАО «Общежития-ПМ».

За 2009 год оборотные активы увеличились на 8% , т.е. (на 9 740 тыс. руб.).

·        запасы увеличились на 3 001 тыс. руб. в том числе:

·        материалы уменьшились на 15% (на 790 тыс. руб.);

·        товары увеличились на 15% (на 3 950 тыс. руб.);

·        расходы будущих периодов уменьшились на 29% (на 159 тыс. руб.).

Анализ структуры капитала компании

Таблица 2. Структура собственного капитала ОАО «Пермские моторы»

ИСТОЧНИКИ КАПИТАЛА ПРЕДПРИЯТИЯ, В ТОМ ЧИСЛЕ: СОБСТВЕННЫЙ КАПИТАЛ Уставный капитал

410

593723

Собственные акции, выкупленные у акционеров

411

(-)

(-)

Добавочный капитал

420

613302

613302

Резервный капитал

430

22586

29686

в том числе: резервы, образованные в соответствии с законодательством

431

-

-

резервы, образованные в соответствии с учредительными документами

432

22586

29686

Нераспределенная прибыль (непокрытый убыток)

470

65613

76568

Целевое финансирование


-

-

ИТОГО по СОБСТВЕННОМУ КАПИТАЛУ

490

1295224

1313279

ЗАЕМНЫЙ КАПИТАЛ, В ТОМ ЧИСЛЕ:  Долгосрочные обязательства Займы и кредиты

510

-

-

Отложенные налоговые обязательства

515

47

44

Прочие долгосрочные обязательства

520

-

-

ИТОГО по ДОЛГОСРОЧНЫМ ОБЯЗАТЕЛЬСТВАМ

590

47

44

Краткосрочные обязательства Займы и кредиты

610

26111

10111

Кредиторская задолженность

620

19485

32317

в том числе: поставщики и подрядчики

621

2444

1397

задолженность перед персоналом организации

622

1170

338

задолженность перед государственными внебюджетными фондами

623

0

1

задолженность по налогам и сборам

624

8793

10747

прочие кредиторы

625

7078

19834

Задолженность перед участниками (учредителями) по выплате доходов

630

-

-

Доходы будущих периодов

640

34

0

Резервы предстоящих расходов

650

-

-

Прочие краткосрочные обязательства

660

-

-

ИТОГО по КРАТКОСРОЧНЫМ ОБЯЗАТЕЛЬСТВАМ

690

45630

42428


Размер уставного капитала на конец 2009 год составляет 593 723 тыс.руб., что соответствует уставу общества.

Резервный капитал увеличился за счет отчислений нераспределенной прибыли прошлого года и составляет 29 686 тыс.руб.

Общая сумма капитала общества составляет 1 313 279 тыс.руб.

Долгосрочная кредиторская задолженность уменьшилась на конец года на 6 % (на 3 тыс. руб.).

Полученные займы в 2009 году были частично погашены на сумму 2 517 тыс. руб. Краткосрочная кредиторская задолженность увеличилась на 66% (на 12.832 тыс. руб.)

Коэффициент финансовой независимости определяется удельным весом собственного капитала организации в общей его величине и тем самым определяет степень независимости организации от заемных источников.

Коэффициент финансовой независимости показывает вполне положительную картину: 1313279/1355751=0,96. Значение данного коэффициента очень высокое, что говорит о финансово устойчивом, стабильном и более независимом положении от внешних кредиторов предприятии. Таким образом, можно сделать вывод, что наибольший удельный вес в капитале ОАО «Пермские моторы» имеет собственный каптал - 96,8%, а доля заемного составляет 3,2%.

Оценка доходности акций и риска инвестиций в акции ОАО «Пермские моторы»

В соответствии с индивидуальным заданием определяем доходность акций за период владения обыкновенными акциями ОАО «Пермские моторы» - 12 месяцев и за каждый из 12 месяцев.

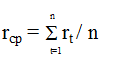
Средняя доходность определяется по формуле


Расчет осуществляется на основе данных о средних ценах за каждый месяц 2009 года (на 30-31 число каждого месяца).

 

Таблица 3.

Период времени

Средневзвешенная цена, руб.

Доходность акций, %

Декабрь 2008

0,2

35,4375

Январь 2009

0,27

35,44

Февраль 209

0,25

-9,39

Март 2009

0,26

3,86

Апрель 2009

0,41

37,83

Май 2009

1,18

64,91

Июнь 2009

1,61

26,85

Июль 2009

1,91

15,48

Август 2009

1,63

-16,95

Сентябрь 2009

1,65

1,33

Октябрь 2009

1,72

3,71

Ноябрь 2009

1,61

-7,01

Декабрь 2009

1,55

-3,54

ср = ((35,44 + (-9,39) + 3,86 + 37,83 + 64,91 + 26,85 + 15,48 + (-16,95) + 1,33 + 3,71 + (-7,01) + (-3,54)) / 12 = 12,71

График 1. Динамика изменения доходности за 2009 год.


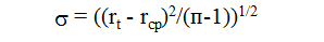
Определяем рискованность инвестиций в обыкновенные акций на основе расчета среднеквадратичного отклонения по формуле


где

rt - доходность акций в периоде t;

rср - средняя доходность акций;

n - число наблюдений.

12.71%≤ r ≤24.1%

Значение среднеквадратичного отклонения 24,1% свидетельствуют о том, что доходность бумаги отклоняется от ожидаемого 12,71% и степень инвестиционного риска велика. Это подтверждается постоянно меняющейся (отрицательной и положительной) и неустойчивой динамикой доходности ОАО «Пермские моторы» в 2009 году. После глобального обвала во второй половине 2008 года в начале 2009 года темпы падения замедлились. К середине года принятые правительством антикризисные меры начали приносить свои плоды, фондовый рынок стал стабилизироваться, и уже во второй половине 2009 года на биржевых площадках восстановился устойчивый рост.

Так же был сформирование портфель ценных бумаг состоящий из 15 акций и определена его доходность за 12 месяцев 2009 года. Тип диверсификации отраслевой. Для снижения общего риска портфеля решающее значение имеет подбор отраслей, который основывался на результатах деятельности компаний в 2009 году и лидерах роста по индексу ММВБ.

Таблица 3. Портфель ценных бумаг.

Эмитент

Отрасль

Кол-во

Цена ЦБ, руб. (31.12.2008)

Цена ЦБ, руб. (31.12.2009)

Доходность %

ОАО "Акционерная нефтяная компания "Башнефть"

 Нефтегазовая отрасль

1

27,8

47,45

70,68

 ОАО "ВолгаТелеком"

 Связь и телекоммуникация

1

16,06

88,75

449,19

ОАО "Аптечная сеть 36,6"

Торговля

1

62,12

214,53

245,35

ОАО "Северсталь"

Черная металлургия

1

84,26

253,61

200,99

 Группа "Разгуляй"

АПК и сельское хозяйство

1

27,846

47,548

70,75

ОАО Объединенные машиностроительные заводы (Группа Уралмаш- Ижора)

Машиностроение

1

29,53

59,41

101,19

ОАО «Московская кондитерская фабрика «Красный Октябрь»

 Пищевая промышленность

1

185

365,25

97,43

ОАО "Банк ВТБ"

 Банки и финансовые институты

1

0,0335

0,0696

107,76

ОАО "Уралкалий"

Химическая и нефтехимическая промышленность

1

53,05

125,47

136,51

ОАО «Русполимет»

 Цветная металлургия

1

0,3964

0,4935

24,50

ОАО «РТМ»

 Строительство

1

2,5

7,76

210,40

 ОАО "АвтоВАЗ"

Машиностроение

1

7,275

14,692

101,95

 ОАО "Распадская"

Горнодобывающая промышленность

1

30,12

146,36

385,92

 ОАО "Аэрофлот-РА"

 Транспорт

1

27,43

52,92

92,93

ОАО «Пермская Энергосбытовая Компания»

Энергетика

1

16,073

30

86,65


Расчет доходности портфеля осуществляется по формуле:


Где

rP - доходность портфеля;

W1 - стоимость портфеля на конец анализируемого периода;

W0 - стоимость портфеля на начало анализируемого периода

rp=((1454,3-569,49)/569,49)*100=155,36%.

Расчет коэффициента b:

rj - доходность анализируемых акций;

rf - доходность свободная от риска;

rm-среднерыночная доходность (за среднерыночную доходность принимается доходность портфеля, сформированного из 15 акций).

В качестве свободной от риска доходности была взята ставка по вкладу 4,75% за 395 дней. Валюта вклада -рублевая. «ВТБ24 - Комфортный». Выбор банка обусловлен тем, что ЗАО «ВТБ 24» - один из крупнейших участников российского рынка банковских услуг. Компания заняла 6-е место в списке крупнейших компаний за 2009 год в списке крупнейших банков по активам, объему выданных кредитов малому и среднему бизнесу. ВТБ24 стал абсолютным лидером рейтинга «Удовлетворенность клиентов работой банков», проведенного исследовательской компанией EPSI, опередив остальных игроков рынка по всем основным показателям. По результатам исследования ВТБ24 получил 75,2 балла из 100. В 2009 году ВТБ 24 замыкает четверку лидеров репутационного рейтинга банков России по методике GRI (Global Reputation Index).

β=(946,4-4,75)/(155,36-4,75)=6,2

Коэффициент β>1 свидетельствует о риске выше среднего и отражает неустойчивость акций ОАО «Пермские моторы» по отношению к рынку в целом по итогам 2009 года.

Обоснование целесообразности инвестиций в акции

ОАО «Пермские моторы» не выплачивало дивиденды по итогам 2009 года, поэтому внутреннюю стоимость акции можно оценить по стоимости чистых активов, приходящихся на одну акцию.

Таблица 3. Расчет истинной стоимости обыкновенной акции ОАО «Пермские моторы»

Показатель

31.12.2008

31.12.2009

Стоимость чистых активов, руб.

1287515

1306382

Число обыкновенных акций, шт

668

196165

Стоимость чистых активов, приходящихся на одну обыкновенную акцию

1928,2

6,6


Сравним полученные показатели с рыночной ценой. Рыночная стоимость обыкновенной акции на 31.12.2009 составила 1,6 рублей.

Следовательно, рыночная стоимость одной акции меньше рассчитанной цены - это сигнал на покупку этих акций ОАО «Пермские моторы».

Таким образом, исходя из данных анализа национальной экономики, отрасли, а так же расчета ключевых показателей инвестирование в акции ОАО «Пермские моторы» считается целесообразным по следующим причинам:

Ø  Недооценка рыночной стоимости акций по сравнению с их истинной стоимостью

Ø  Акции обладают потенциалом роста, являясь при этом довольно рискованными, исходя из соотношения «риск-доходность». Драйвером роста служит объединение компаний сектора вокруг ОПК «Оборонпром»

Ø  Предприятие пользуется государственной поддержкой

Ø  «Жизнеспособное предприятие» - без особых финансовых проблем с полностью сформированным портфелем заказов на 2010 год

Список литературы

1.      <http://www.rian.ru/politics/20100520/236314720.html>

.        <http://www.rae.ru/forum2010/40/856>

.        <http://www.fingos.ru/klassifikaciya-rasxodov-gosudarstva/>

.        <http://info.minfin.ru/rfanalytics.php>

. http://www.budgetrf.ru/Publications/Schpalata/2010/ACH201004221730/ACH201004221730_p_003.htm

.        <http://www.cbr.ru/analytics/print.asp?file=09-IV.htm>

.        <http://expert-rating.ru/expert/index.php?option=com_content&task=view&id=94&Itemid=98>

.        <http://lenta.ru/news/2009/12/30/inflation/> http://www.cbr.ru/publ/root_get_blob.asp?doc_id=8493

. http://cri.mcx.ru/_data/docs/0241400/euromonitor_international_seminar_2010_abaksaev_1.pdf

.        http://www.gks.ru/bgd/free/b04_03/IssWWW.exe/Stg/d04/28.htm

.        <http://www.cbr.ru/analytics/fin_r/fin_mark_2009.pdf>

. <http://www.economy.gov.ru/wps/wcm/connect/bc857b00415c23a8920cfe6e84662f64/investclimat.pdf?MOD=AJPERES&CACHEID=bc857b00415c23a8920cfe6e84662f64>

13.    http://www.rg.ru/2010/02/24/ebrr-anons.html

14.    http://www.burneft.ru/archive/issues/2010-07-08/1

15.       <http://www.bdo.ru/media/publication/service_for_companies_of_engineering_sector.pdf>

.        http://www.delavia.ru/news/Segodnya-ochen-otvetstvennyy-period-vremeni/

17.    http://www.oboronprom.com/show.cgi?/corporation/about.htm

.        <http://www.minpromtorg.gov.ru/industry/machine/97>

.        <http://www.aex.ru/docs/3/2010/7/9/1081>

.        <http://www.ogoniok.com/4985/18/>

.        <http://www.minpromtorg.gov.ru/industry/machine/97>

.        http://engine.aviaport.ru/issues/61/page16.html

.        <http://www.arms-expo.ru/site.xp/049057054050124049056055048.html>

.        [<http://www.aex.ru/docs/3/2010/4/13/1010/>

. <http://www.vedomosti.ru/companies/news/1185467/permskie_motory_planiruyut_prodat_svoj_osnovnoj_aktiv>

.        <http://www.kommersant.ru/personal/pdocs.aspx?docsid=1099729>

.        http://nvo.ng.ru/armament/2008-07-18/1_avia.htm

Похожие работы на - Обоснование инвестиционного решения

 

Не нашли материал для своей работы?
Поможем написать уникальную работу
Без плагиата!
Без нейросетей!