Обоснование инвестиционного решения на примере ОАО 'Северсталь'

  • Вид работы:
    Курсовая работа (т)
  • Предмет:
    Финансы, деньги, кредит
  • Язык:
    Русский
    ,
    Формат файла:
    MS Word
    716,43 Кб
  • Опубликовано:
    2013-02-04
Вы можете узнать стоимость помощи в написании студенческой работы.
Помощь в написании работы, которую точно примут!

Обоснование инвестиционного решения на примере ОАО 'Северсталь'

Содержание

Введение

Раздел 1. Фундаментальный анализ

.1 Государственная налоговая политика

1.1.1 Характеристика налоговой политики

1.1.2 Размер и динамика государственных расходов

1.1.3 Управление государственным долгом в стране

1.2 Денежная политика

1.3 Прочие факторы

1.3.1 Уровень инфляции

1.3.2 Размер потребительских расходов

1.3.3 Уровень инвестиций в бизнес

1.3.4 Стоимость и наличие энергетических ресурсов

1.3.5 Состояние внешней торговли

1.3.6 Курсы валют

Раздел 2 Анализ конкурентоспособности отрасли

.1 Характеристика отрасли (уровень монополизации)

2.2 Наличие и уровень регулирования отрасли государственными органами управления

2.3 Инновационная активность в отрасли, характеризующаяся наличием инноваций в отрасли и степенью их влияния на отрасль

2.4 Характеристика основной движущей силы отрасли, позволяющая ответить на вопрос, что определяет спрос на продукцию отрасли

2.5 Выявление основных производственных и финансовых проблем отрасли, включающих обеспеченность предприятий: рабочей силой, средствами производства, капиталом, сырьем и материалами

Раздел 3 Анализ компании «Северсталь»

.1 Оценка конкурентоспособности компании

3.2 Анализ номенклатуры продукции и существующих тенденций сбыта

3.3 Анализ доходности (рентабельности) компании

3.4 Анализ активов компании

3.5 Анализ структуры капитала компании

Раздел 4 Оценка доходности акций и риска инвестиций в акции

Раздел 5 Обоснование целесообразности инвестиций в акции

Источники

Введение


В условиях рыночной экономики предприятия имеют временно свободные денежные средства, которые целесообразно размещать на рынке капитала. Кроме того, в целях диверсификации бизнеса руководители предприятия могут принять решение о частичном участии в предприятиях других отраслей или их приобретении.

Целью данной курсовой работы является обоснование решения об инвестициях в акции ОАО «Северсталь».

«Северсталь» - одна из крупнейших в мире вертикально интегрированных сталелитейных и горнодобывающих компаний с активами в России и США, а также на Украине, в Латвии, Польше, Италии, Либерии. В компании работает порядка 70 тысяч человек. Акции компании котируются на российской торговой площадке ММВБ-РТС, глобальные депозитарные расписки представлены на Лондонской фондовой бирже.

В процессе написания работы необходимо провести анализ основных факторов, оказывающих влияние на тенденции и динамику развития национальной экономики России, осуществить анализ отрасли черной металлургии, к которой относится компания, являющаяся объектом анализа, и самой компании «Северсталь», выполнить расчеты количественных параметров риска и доходности акций компании и принять решение об инвестировании.

Раздел 1. Фундаментальный анализ

 

.1 Государственная налоговая политика

 

.1.1 Характеристика налоговой политики

В трехлетней перспективе 2012-2014 годов приоритеты Правительства Российской Федерации в области налоговой политики остаются такими же, как и ранее - создание эффективной и стабильной налоговой системы, обеспечивающей бюджетную устойчивость в среднесрочной и долгосрочной перспективе. Основными целями налоговой политики продолжают оставаться поддержка инновационной деятельности, в том числе и путем предоставления новых льгот, направленных на ее стимулирование, а также поддержка инвестиций в области образования и здравоохранения.

Важнейшим фактором проводимой налоговой политики является необходимость поддержания сбалансированности бюджетной системы. Налоговая политика ближайших лет будет проводиться в условиях дефицита федерального бюджета. Достижение в среднесрочной перспективе сбалансированности федерального бюджета при разумных прогнозных оценках стоимости нефти, предусмотренное Бюджетным посланием Президента Российской Федерации о бюджетной политике в 2011-2013 годах, возможно лишь при постепенном увеличении доходов бюджетной системы, не обусловленных напрямую мировыми ценами на нефть. В то же время необходимо сохранить неизменность налоговой нагрузки по секторам экономики, в которых достигнут ее оптимальный уровень с учетом требований сбалансированности бюджетной системы.

В рамках проводимой налоговой политики основными источниками повышения доходного потенциала взимаемых налогов может стать как повышение налоговых ставок, изменение правил исчисления и уплаты отдельных налогов, так и принятие мер в области налогового администрирования. При этом, в первую очередь, необходимо принять меры для повышения доходов бюджетной системы от налогообложения потребления, ренты, возникающей при добыче природных ресурсов, а также от перехода к новой системе налогообложения недвижимого имущества. Отдельным направлением политики в области повышения доходного потенциала налоговой системы будет являться оптимизация существующей системы налоговых льгот и освобождений, а также ликвидация имеющихся возможностей для уклонения от налогообложения.

Внесение изменений в законодательство о налогах и сборах планируется по следующим направлениям:

. Налоговое стимулирование инновационной деятельности и развития человеческого капитала.

. Мониторинг эффективности налоговых льгот.

. Акцизное налогообложение.

. Совершенствование налогообложения при операциях с ценными бумагами и финансовыми инструментами срочных сделок, финансовыми операциями.

. Налог на прибыль организаций.

. Налогообложение природных ресурсов.

. Совершенствование налогообложения в рамках специальных налоговых режимов.

. Введение налога на недвижимость.

. Налоговое администрирование.

1.1.2 Размер и динамика государственных расходов

Несмотря на меры по увеличению доходов федерального бюджета (в том числе по совершенствованию налогообложения газовой отрасли и индексации ставок акцизов на табачную и алкогольную продукцию) объем доходов федерального бюджета в реальном выражении в 2012-2014 годах не достигает уровня доходов докризисного 2008 года, в то время как по расходам он будет существенно выше:

Таблица 1

Формирование основных характеристик федерального бюджета на 2012-2014 годы, млрд. рублей

Показатель

2011 год (оценка)

2012 год

2013 год

2014 год

Доходы

11 211,3

11 779,9

12 705,9

14 091,8

%% к ВВП

21,0

20,1

19,6

19,4

Расходы

11 019,4

12 656,4

13 730,6

14 582,9

%% к ВВП

20,7

21,6

21,2

20,1

Дефицит/профицит

192,0

-876,5

-1 024,7

-491,1

%% к ВВП

-0,1

-1,5

-1,6

-0,7


Таблица 2

Темпы роста доходов и расходов федерального бюджета в реальном выражении к уровню 2008 г., %%


2008

2009

2010

2011

2012

2013

2014

Доходы в реальном выражении, в %% к 2008 году

100,0

72,7

76,2

95,9

95,0

97,2

102,6

Расходы в реальном выражении, в %% к 2008 году

100,0

117,3

112,9

115,5

126,0

129,6

131,1

1.1.3 Управление государственным долгом в стране

Политика в области управления государственным долгом Российской Федерации на 2012-2014 годы будет направлена на:

обеспечение сбалансированности федерального бюджета при сохранении достигнутой в последние годы высокой степени долговой устойчивости;

развитие эффективного национального рынка государственных ценных бумаг;

поддержание высокого уровня кредитных рейтингов России инвестиционной категории с перспективой повышения рейтингов до категории «А»;

обеспечение постоянного доступа Российской Федерации и национальных корпоративных заемщиков к внутреннему и внешнему источникам заемного капитала на приемлемых условиях, минимизация стоимости заимствований.

Объем бюджетных ассигнований на обслуживание государственного внешнего долга Российской Федерации в 2012 году составит 74,3 млрд. рублей (2,6 млрд. долл. США), в 2013 году - 86,5 млрд. рублей (2,9 млрд. долл. США), в 2014 году - 99,8 млрд. рублей (3,3 млрд. долл. США).

Более 95% указанных расходов составляют процентные платежи по государственным ценным бумагам, номинальная стоимость которых выражена в иностранной валюте, что в абсолютном выражении составляет 71,7 млрд. рублей (2,5 млрд. долларов США) в 2012 г., 83,3 млрд. рублей (2,8 млрд. долларов США) - в 2013 г. и 95,8 млрд. рублей (3,1 млрд. долларов США) - в 2014 году.

В результате проводимой долговой политики государственный долг Российской Федерации по состоянию на 1 января 2013 г. составит 7 743,0 млрд. руб., на 1 января 2014 г. - 9 624,8 млрд. руб. и на 1 января 2015 г. -11 388,8 млрд. руб.

Таким образом, совокупный объем государственного долга Российской Федерации достигнет 13,2% ВВП в 2012 году, 14,9% ВВП в 2013 году и 15,7% ВВП на конец 2014 года, при этом доля внутреннего долга в совокупном объеме госдолга составит соответственно 81,8% в 2012 году, 81,8% в 2013 году и 81,0% в 2014 году при соответствующем снижении доли внешнего долга. В 2011 году совокупный объем государственного долга Российской Федерации составил 10,7% ВВП.

Исходя из параметров, заложенных в прогнозе социально-экономического развития Российской Федерации в 2012-2014 гг., и с учетом планируемых объемов заимствований, в предстоящий период значения показателей долговой устойчивости Российской Федерации будут по-прежнему вне опасных зон.

Таблица 3

Показатели долговой устойчивости Российской Федерации

Показатель

2011

2012

2013

2014

Пороговое значение

Отношение государственного долга к ВВП

10,7 %

13,2 %

14,9 %

15,7 %

25 %

Доля расходов на обслуживание госдолга в общем объеме расходов федерального бюджета

2,4 %

3,1 %

3,5 %

4,0 %

10 %

Отношение расходов на обслуживание и погашение госдолга к доходам федерального бюджета

6,1 %

9,0 %

9,2 %

10,2 %

10 %


1.2 Денежная политика


Годовой темп прироста денежной массы в национальном определении (денежного агрегата М2) в номинальном выражении снизился с 22,3% по состоянию на начало 2012 года до 15,8% на 1 ноября.

Таблица 4

Денежная масса (национальное определение) в 2012 году (млрд. руб.)

Дата

Нал. деньги в обращении вне банковской системы (ден. агрегат M0)

Денежный агрегат М1

Денежная масса в национальном определении (ден. агрегат М2)

Темпы прироста денежного агрегата М2, %





к предыдущему месяцу

к 01.01.2012

к соотв. месяцу пред. года


1

2

3

4

5

6

01.01.2012

5 938,6

12 857,4

24 483,1

11,7

-

22,3

01.02.2012

5 670,7

12 301,2

23 617,6

-3,5

-3,5

22,3

01.03.2012

5 713,0

12 285,6

23 791,1

0,7

-2,8

21,8

01.04.2012

5 704,3

12 273,2

23 975,3

0,8

-2,1

21,2

01.05.2012

5 831,5

12 230,8

24 162,3

0,8

-1,3

20,7

01.06.2012

5 856,4

12 353,7

24 365,9

0,8

-0,5

20,9

01.07.2012

6 003,9

12 621,3

24 679,2

1,3

0,8

19,1

01.08.2012

5 976,3

12 470,9

24 564,3

-0,5

0,3

17,9

01.09.2012

5 980,0

12 293,8

24 573,5

0,0

0,4

16,7

01.10.2012

5 969,2

12 375,0

24 657,5

0,3

0,7

14,8

01.11.2012

5 931,3

12 305,2

24 739,2

0,3

1,0

15,8


Существенное влияние на замедление роста денежной массы оказала динамика банковских депозитов нефинансовых и финансовых (кроме кредитных) организаций в национальной валюте. В условиях замедления показателей производства, ухудшения финансовых результатов деятельности и более активного размещения средств организациями нефинансового сектора экономики в иностранной валюте годовой темп прироста депозитов организаций в рублях сократился с 26% по состоянию на 01.01.2012 до 12,9% на 01.10.2012. При этом аналогичный показатель по депозитам в иностранной валюте в долларовом эквиваленте увеличился с 4,5% до 19,3 процента.

Снижение сберегательной активности и низкие относительно инфляции процентные ставки наряду с другими факторами повлияли на замедление динамики вкладов населения в национальной валюте: за январь-сентябрь 2012 года годовой темп прироста вкладов населения в национальной валюте снизился с 22,4% до 19,1%. Аналогичный показатель по вкладам населения в иностранной валюте в долларовом эквиваленте увеличился за январь-сентябрь с 10,3% до 17,9 процента.

В этих условиях происходил опережающий рост широкой денежной массы по сравнению с динамикой агрегата М2. Годовой темп прироста широкой денежной массы снизился с 20,9% на начало года до 15% на 01.10.2012. За январь-сентябрь 2012 года объем широкой денежной массы увеличился на 2,6 процента. Основным источником роста денежного предложения было рефинансирование кредитных организаций со стороны Банка России (объем валового кредита возрос на 1,4 трлн. рублей).

Ситуация с уровнем ликвидности банковского сектора в октябре 2012 года определила некоторое ужесточение денежно-кредитных условий. При этом средневзвешенная ставка MIACR по однодневным рублевым кредитам повысилась до 6,1% годовых по сравнению с 5,52% в сентябре текущего года, что было также связано с ожиданиями экономических агентов.

С 14 сентября 2012 года согласно Указанию Банка России от 13.09.2012 № 2873-У "О размере ставки рефинансирования Банка России" ставка рефинансирования устанавливается в размере 8,25%.

Таблица 5

Динамика ставки рефинансирования Центрального банка РФ

Период действия

%

14 сентября 2012 г. -

8,25

26 декабря 2011 г. - 13 сентября 2012 г.

8

3 мая 2011 г. - 25 декабря 2011 г.

8,25

28 февраля 2011 г. - 2 мая 2011 г.

8

1 июня 2010 г. - 27 февраля 2011 г.

7,75

30 апреля 2010 г. - 31 мая 2010 г.

8

29 марта 2010 г. - 29 апреля 2010 г.

8,25

24 февраля 2010 г. - 28 марта 2010 г.

8,5


В октябре 2012 года, исходя из оценки инфляционных рисков и перспектив экономического роста, Банк России сохранил на неизменном уровне ставку рефинансирования и ставки по своим операциям.

 

.3 Прочие факторы

 

.3.1 Уровень инфляции

По данным Росстата, с начала года по состоянию на 3 декабря цены выросли на 6,1% (6,5% - за период год к году).

С начала года по 3 декабря продовольственные товары подорожали на 6,7% (+3,4% годом ранее).

В ноябре рост цен на продовольственные товары без плодоовощной продукции замедлился, на фоне стабилизации цен на зерно и продовольствие на мировых рынках. С начала года по 3 декабря цены выросли на 6,3% (+6,9% годом ранее).

В ноябре корзина социально значимых товаров подорожала в среднем по России на 0,8% (с начала года - на 5,3%). Замедлились темпы роста цен мясо и птицу, хлеб, муку, макаронные изделия. Продолжает дешеветь сахар. Ускорился темп сезонного роста цен на яйца и молоко.

Рост цен на непродовольственные товары в ноябре замедлился до 0,4% против 0,7% в октябре.

В связи с сезонным сокращением спроса, рост цен на бензин в ноябре замедлился до 0,5% против роста в октябре - на 2,4%. С начала года по 3 декабря - прирост цен на 6,9% (+15,1% год назад).

За период с начала года, услуги ЖКХ стали дороже в среднем на 9,5%.

 

.3.2 Размер потребительских расходов


Таблица 6

Состав потребительских расходов домашних хозяйств (по материалам выборочного обследования бюджетов домашних хозяйств; в среднем на члена домашнего хозяйства; рублей в месяц)


2008

2009

2010

2011

Потребительские расходы - всего

8220,4

8687,0

10128,9

11284,5

в том числе по целям потребления:





продукты питания

2394,7

2651,0

2996,0

3324,3

алкогольные напитки, табачные изделия

185,3

208,2

247,4

284,8

одежда и обувь

855,4

900,3

1094,6

1136,5

жилищно-коммунальные услуги, топливо

854,1

937,3

1141,7

1281,8

предметы домашнего обихода, бытовая техника, уход за домом

619,4

610,9

625,4

729,0

здравоохранение

235,1

265,6

327,3

390,5

транспорт

1273,7

1168,1

1525,4

1790,4

связь

302,7

330,0

384,4

412,4

организация отдыха и культурных мероприятий

634,7

631,3

683,3

763,9

образование

130,8

133,0

131,9

134,7

гостиницы, кафе и рестораны

248,3

291,1

340,6

360,0

другие товары и услуги

486,2

560,0

630,9

676,2

Как видно из таблицы 6, величина потребительских расходов населения растет из года в год и в 2011 году она составила в среднем 11284, 5 руб. в месяц на одного члена домашнего хозяйства. В структуре потребительских расходов наибольший вес имеют продукты питания - 3324,3 руб., или 29,5%, расходы на транспорт - 1790,4 руб., или 15,9%, жилищно-коммунальные услуги и топливо - 1281,8 руб., или 11,4%, и одежду и обувь - 1136,5 руб., или 10,1%. Структура потребительских расходов остается практически неизменной.

 

.3.3 Уровень инвестиций в бизнес

Россия находится на 120 месте в рейтинге Doing Business по простоте осуществления предпринимательской деятельности, а также вошла в число 25 стран по прогрессу в улучшении инвестиционного климата.

Чистый отток капитала из страны в 2008-2011 годах составил 308 млрд. долларов. Данные показатель обусловлен в частности инвестициями российских компаний за рубеж, и снижением активности инвесторов в связи с общей неопределенностью на мировых рынках и ситуацией в Европе.

В 2008-2011 гг. в Россию поступило 206,7 млрд. долларов США прямых иностранных инвестиций. По итогам 2011 года, по оценке Банка России, объем ПИИ составил 51,9 млрд. долларов (19,9% рост к 2010 году).

По данным опроса Merril Lynch, проведённого среди международных управляющих инвестиционных фондов, Россия заняла первое место по инвестиционной привлекательности среди стран БРИКС.


Рис. 1. Инвестиции в основной капитал


Таблица 7

Инвестиции в основной капитал


2011

2012


октябрь

январь-октябрь

сентябрь

октябрь

январь-октябрь

Инвестиции в основной капитал (в % к соответствующему периоду предыдущего года)

113,7

106,2

99,8

104,9

109,5


В 2012-2015 годах динамика инвестиций во многом будет характеризоваться опережающим ростом частных инвестиций по отношению к государственным. В целом за период рост инвестиций сырьевого сектора будет отставать от роста прочих частных капитальных вложений. В базовом умеренно-оптимистичном варианте прирост инвестиций в 2012 году оценивается в 5,5%, в 2013 году - 7,2%, в 2014 году - 7,3%, в 2015 году - 7,8 процента.

Консервативный вариант прогноза будет характеризоваться более низким уровнем инвестиционной активности, менее благоприятным инвестиционным климатом и консервативной бюджетной политикой. За 2012-2015 гг. прирост инвестиций окажется ниже на 5,5 п. пункта.

1.3.4 Стоимость и наличие энергетических ресурсов

По данным Росстата, с начала 2012 года цены производителей на бензин автомобильный выросли 16,3%, на мазут - на 11,2%, на топливо дизельное - на 6,7%, на авиакеросин - на 3,9%.

На электроэнергию рост цен на розничном рынке в среднем по России для всех категорий потребителей составил 6,0% с начала года. Для потребителей, исключая население, электроэнергия подорожала на 5,9%.

Таблиця 8

Динамика внутренних цен производителей на энергоносители (по данным Росстата)

Наименование

2009

2010

2011

2012


декабрь к декабрю

с начала года

автобензин

37,6

22,0

9,8

16,3

мазут

56,0

3,4

12,4

11,2

дизтопливо

12,9

32,6

28,0

6,7

авиакеросин

8,5

12,6

34,2

3,9


1.3.5 Состояние внешней торговли


Таблиця 9

Экспорт и импорт товаров в 2011-2012 гг.


2011

2012


октябрь

январь-октябрь

сентябрь

октябрь

январь-октябрь

Экспорт товаров, млрд. долл. США

46,0

423,4

44,0

44,1

434,5

Импорт товаров, млрд. долл. США

29,4

262,7

26,9

31,0

271,4

Торговый баланс в октябре 2012: 14,499 млрд. USD, предыдущее значение (сентябрь 2012): 17.129 млрд. USD.

Общий объем импорта в 2011 году составил 305 млрд. долл.

Структура импорта в 2011 году:

,2% - машины, оборудование и транспортные средства

,4% - еда, включая напитки

% - металлы

,6% - лекарственные средства

,0% - одежда и обувь

,8% -прочее

Общий объем экспорта в 2011 году составил 516 млрд. долл.

Структура экспорта в 2011 году:

,3% - сырая нефть

,7% - нефтепродукты

,3% - природный газ

,6% - металлы

,2% - машины, оборудование и транспортные средства

,2% - уголь

,5% - удобрения

По предварительным данным таможенной статистики, в январе - ноябре 2012 года импорт товаров из стран дальнего зарубежья в стоимостном выражении по сравнению с аналогичным периодом 2011 года увеличился на 4,7 процента.

Поставки продовольственных товаров увеличились на 4,4%, текстильных изделий и обуви - на 4,5%, химической продукции - на 2,5%, ввоз продукции машиностроения остался на уровне ноября прошлого года.

В импорте продовольственных товаров увеличились закупки овощей на 18,0%, сахара - на 13,5%, растительного масла - на 10,7%, алкогольной и безалкогольной продукции - на 6,3%, фруктов - на 5,5%, рыбы - на 4,4%, молочных продуктов - на 3,6%, мяса и субпродуктов - на 3,0 процента. Ввоз зерновых культур сократился на 25,8%, а табака - на 1,1 процента.

Среди товаров химической промышленности увеличился импорт парфюмерно-косметических товаров на 16,1%, полимеров и каучука - на 11,5%, мыла и синтетических моющих средств - на 11,1%, продуктов органической и неорганической химии - на 8,3%, а ввоз фармацевтической продукции уменьшился на 9,8 процента.

В группе текстильных изделий и обуви в ноябре 2012 года по сравнению с соответствующим месяцем прошлого года увеличились закупки готовых текстильных изделий на 17,9%, хлопка - на 14,0%, трикотажного полотна - на 11,2%, обуви - на 11,0%, трикотажной одежды - на 3,5%, химических волокон - на 1,9%, текстильных материалов - на 1,0%, тогда как стоимостной объем ввоза химических нитей сократился на 17,1%, а текстильной одежды - на 5,3 процента. В импорте машиностроительной продукции сократились закупки летательных аппаратов на 19,1%, средств наземного транспорта - на 7,9%, судов и плавучих средств - на 3,5%, механического оборудования - на 2,7 процента. Вместе с тем поставки частей железнодорожных локомотивов увеличились в 2,4 раза, инструментов и аппаратов оптических - на 28,0%, электрооборудования - на 3,4 процента.

1.3.6 Курсы валют


Таблиця 10

Курсы валют в 2011-2012 гг.

Показатели

2011

2012


ноябрь

январь-ноябрь

год

ноябрь

январь-ноябрь

Курс рубля к доллару (средний за период), руб. за доллар

30,86

29,20

29,39

31,41

31,12

Курс рубля к евро (средний за период), руб. за евро

41,88

40,83

40,88

40,31

39,92


*оперативные данные Банка России

По итогам ноября текущего года официальный курс доллара США к российскому рублю снизился на 1,8%, составив 30,8110 руб. за доллар США, курс евро к рублю - на 1,4% до 40,0759 руб. за евро по состоянию на 1 декабря 2012 года. При этом стоимость «бивалютной» корзины сократилась на 0,57 рубля: с 35,55 руб. на 1 ноября текущего года до 34,98 руб. - на 1 декабря. Среднемесячное значение курса доллара к рублю возросло с 31,09 руб./долл. в октябре текущего года до 31,41/долл. в ноябре, курса евро к рублю сократилось в минимальных размерах - с 40,32 руб./евро до 40,31 руб./евро соответственно.

Вывод:

Государственные расходы РФ растут, опережая по темпу своего прироста доходы государства, образуется бюджетный дефицит. В связи с этим следует ожидать увеличения размера налогов, в т.ч. доходов бюджетной системы от налогообложения потребления, ренты, возникающей при добыче природных ресурсов, а также введения налога на недвижимость. Объем государственного долга также растет и на 2012 год составляет 13,2%ВВП, а к 2015 году достигнет 15,7%. При этом более 80% государственного долга приходится на внутренний долг РФ.

Объем денежной массы М2 сокращается за счет снижения сберегательной активности организаций и населения. Объем денежного предложения падает и поддерживается главным образом за счет кредитования ЦБ РФ. Ставки по кредитам растут.

Объем экспорта превышает объем импорта, т.е. внешнеторговый баланс положительный. В то же время, в структуре российского экспорта по-прежнему преобладают сырая нефть и нефтепродукты и природный газ, а в структуре импорта более 50% занимают машины, оборудование и транспортные средства. Т.е. российский экспорт сохраняет сырьевую направленность.

Инфляция по состоянию на 3 декабря 2012 г. составила 6,1%, что ниже соответствующего показателя предыдущего года.

Стоимость энергетических ресурсов растет, что может оказать прямое воздействие на рост цен продовольственных и непродовольственных товаров.

Средний курс рубля к доллару увеличился по сравнению с предыдущим годом на 1,73 руб. за долл., а курс евро снизился на 0,96 руб. за евро.

Минэкономразвития прогнозирует рост инвестиций от 5,5% в 2012 году до 7,8% в 2015 году.

Раздел 2 Анализ конкурентоспособности отрасли

 

.1 Характеристика отрасли (уровень монополизации)


Российская металлургия добилась значительных результатов, сохранив, даже в условиях кризиса, ведущие позиции в мире. Так, Россия занимает 5−е место в мире по производству стали, уступая только Китаю, Японии, США и Индии, по производству стальных труб - 3−е место. За последние 8 лет завершился процесс формирования в отрасли крупных вертикально-интегрированных групп, что позволяет им нивелировать риски как на внутреннем, так на внешнем рынках, оптимизировать инвестиционную политику и обеспечивать собственную сырьевую безопасность. Металлургия вносит существенный вклад в экономику России. Доля металлургического комплекса (чёрная и цветная металлургия) в ВВП страны составляет 9%, в экспорте - 11,6%, то есть находится на 2−м месте после отраслей ТЭК; доля численности занятых в промышленности - 9%, а в налоговых платежах во все уровни бюджетов приносит более 5%.

Основной объём производства черной металлургии России приходится на 9 крупных компаний: ООО «ЕвразХолдинг», ОАО «Северсталь», ОАО «Новолипецкий металлургический комбинат», ОАО «Магнитогорский металлургический комбинат», ОАО «УК Металлоинвест», ООО «Мечел», ОАО «Трубная металлургическая компания», ЗАО «Объединенная металлургическая компания», ООО «Группа Челябинский трубопрокатный завод». Т.е. отрасль черной металлургии является олигополистической.

 

.2 Наличие и уровень регулирования отрасли государственными органами управления


На российском рынке металлопродукции уже много лет существует достаточно жёсткая конкуренция, поскольку доля импорта во внутреннем потреблении металлопродукции составляет около 10%, , что является весьма высоким показателем.

Рис. 2. Производство стали в России, 2011 г. (Источник: Северсталь)

 

В соответствии с Соглашением о применении специальных защитных, антидемпинговых и компенсационных мер по отношению к третьим странам действует пять механизмов. Во-первых, это специальная защитная пошлина на нержавеющие трубы в размере 9,9%, но не менее 1,5 тыс. долл. за тонну. Во-вторых, антидемпинговая пошлина на подшипниковые трубы из Китая в размере 19,4%. В-третьих, антидемпинговая пошлина на некоторые виды стальных труб из Украины в размере 19,4-37,8%. В-четвёртых, антидемпинговая пошлина на машиностроительный крепёж из Украины в размере 21,8%. В-пятых, антидемпинговая пошлина на нержавеющий плоский прокат из Китая (29,9-39,1%), Кореи (4,8-62,8%), Бразилии (21,1%) и ЮАР (33,3%).

Деятельность предприятий металлургической отрасли подпадает под действие Федерального закона от 4 мая 2011 г. № 99-ФЗ “О лицензировании отдельных видов деятельности” (заготовка, хранение, переработка и реализация лома черных металлов, цветных металлов).

Перспективы развития металлургии достаточно ясно и чётко отражены в стратегии развития металлургической промышленности России на период до 2020 года, утверждённой приказом Минпромторга России от 18.03.2009 №150. Согласно этому документу, планируется в первую очередь повышать качество и конкурентоспособность выпускаемой продукции, расширять её номенклатуру и создавать новые высокотехнологичные производства.

 

.3 Инновационная активность в отрасли, характеризующаяся наличием инноваций в отрасли и степенью их влияния на отрасль


В 2011 году на металлургических предприятиях был реализован ряд проектов по модернизации оборудования и вводу новых производственных объектов:

в ОАО «Магнитогорский металлургический комбинат» в июле 2011 года состоялся пуск первой очереди комплекса по производству холоднокатаного проката и проката с покрытием, включающий стан холодной прокатки «2000». Целью проекта является удовлетворение потребностей автопроизводителей в высококачественном автомобильном листе, включая лист с покрытием, и расширение марочного сортамента холоднокатаного проката;

в ОАО «Новолипецкий металлургический комбинат» в III квартале 2011 г. были завершены работы по строительству агрегата вакуумирования стали емкостью 320 тонн и мощность около 4 млн. т. стали в год. Пуск нового агрегата позволит улучшить качество стали (снизить содержание углерода, азота и др.), что соответственно скажется на качестве готового плоского проката и даст возможность производить особо низкоуглеродистую сталь, используемую для последующего изготовления газонефтепроводных труб;

в ОАО «Новолипецкий металлургический комбинат» в сентябре 2011 г. завершилось строительство новой доменной печи №7 мощностью более 3,4 млн. т. чугуна в год.

Следует отметить, что проблема штрипсового металла фактически решена с вводом двух станов 5000. Можно ожидать, что к 2013 году трубные заводы будут полностью обеспечиваться отечественным штрипсом.

Общий объем инвестиций предприятий черной металлургии (без добычи руды) в 2011 году составил 145,3 млрд. рублей (97,8% относительно 2010 года). В первом полугодии 2012 г. объем инвестиций в черную металлургию составил 68,9 млрд. рублей (97,9%) относительно аналогичного периода прошлого года.

В перспективе будут реализовываться масштабные проекты по строительству электросталеплавильных печей, листовых и сортовых станов, линий и агрегатов, также будут увеличиваться инвестиции в развитие металлообработки и сервисных металлоцентров.

В 2000-2008 гг. ежегодные инвестиции российских металлургов в реконструкцию и модернизацию увеличились практически в 9 раз - с 23 млрд. руб. до 199 млрд. руб. в 2008 г. Совокупные инвестиции в отрасль за последние 10 лет составили 1,2 трлн. руб. - это рекордная для российской экономики цифра. По данным отраслевых экспертов, удельный объём инвестиций ведущих российских предприятий, отнесённых к одной тонне выплавленной стали, превышает аналогичные показатели многих крупных зарубежных компаний и составляет в среднем 96 долл. на тонну. Все эти меры направлены на выпуск новой качественной и конкурентоспособной продукции, пользующейся спросом прежде всего на внутреннем рынке. В результате реконструкции и модернизации уровень износа в отрасли не превышает рекордные 40%.

2.4 Характеристика основной движущей силы отрасли, позволяющая ответить на вопрос, что определяет спрос на продукцию отрасли


По итогам работы отечественных компаний черной металлургии за 2011 год можно констатировать, что катализатором роста производства стало развитие внутреннего потребления готового проката и стальных труб.

Производство основных видов продукции фактически вышло на докризисный уровень. Так, производство проката готового в 2011 году составило 105,0% к 2008 году и 99,8% к докризисному 2007 году, производство стальных труб - 128,9% и 115,0% соответственно.

Структура экспорта стального проката значительных изменений не претерпела, в ней преобладают поставки проката с низкой добавленной стоимостью - полуфабрикаты составляют 52,1% российского экспорта.

Импортные поставки увеличились, как готового проката на 22,2%, так и стальных труб на 14,9 процента. При этом доля импортного проката во внутреннем потреблении выросла с 13,1% в 2010 году до 15,0% в 2011 году и импортных труб - с 15,4% до 16,2%, соответственно. Рост импортных поставок стальных труб обусловлен в основном своевременностью сроков выполнения обязательств нефтегазовыми компаниями строительства нефте- и газопроводов.

Мировое производство стали в 2011 году составило более 1,5 млрд. тонн. Мировым лидером по выплавке стали остается Китай. По прогнозу «World Steel Association», темпы годового прироста мирового потребления стали в 2012 году снизятся до 5,4% после того, как в 2011 году они составляли 6,5%, а в 2010 году - 15 процентов.

С учетом достаточности металла на мировом рынке и прогнозов замедления темпов мирового потребления стали можно прогнозировать, что в среднесрочной перспективе развитие российского металлургического производства будет в основном определяться динамикой ожидаемого роста внутреннего потребления металлургической продукции, прежде всего в гражданском строительстве, машиностроении и трубопроводном транспорте.

Таблиця 11

Производство основных видов продукции черной металлургии, %

Наименование

2011 отчет

2012 оценка

прогноз

2015/2011, %




2013

2014

2015





варианты




1

2

1

2

1

2

1

2

Металлургическое производство и производство готовых металлических изделий

102,9

103,5

101,6

104,3

102,2

103,8

101,9

103,3

109,5

115,8

Готовый прокат

103,2

105,6

101,4

105,4

102,5

104,8

102,3

104,3

112,3

121,7

Стальные трубы,

109,0

93,8

107,1

112,1

103,4

105,1

101,5

103,2

105,6

114,1


Следует отметить, что на внутреннем рынке в первом полугодии опережающий темп роста внутреннего потребления железнодорожных рельс вызвал рост цен на 9,9% относительно соответствующего периода прошлого года и на 31% относительно декабря 2011 года. Вместе с тем резкое падение спроса со стороны нефтегазовых компаний на трубы большого диаметра привело к существенному снижению цен на данную продукцию - до 92,2% (до 88,7 процента).

Ввиду достаточности металлопродукции на мировом рынке роста российского экспорта в период до 2015 года не ожидается. Важным сдерживающим фактором роста экспортной составляющей также станет дальнейший рост российской экономики, в т.ч. машиностроения, инфраструктурного и жилищного строительства, что приведет к росту внутреннего потребления стали. Возможности расширения российского экспорта связаны, с одной стороны, со спросом на сталь в развивающихся странах Азии - Турции, Иране, Китае, Тайване, государствах Юго-Восточной Азии, а с другой,- с приобретением российскими компаниями активов в Западной Европе и США, что позволяет увеличивать отгрузки на эти рынки. Можно предположить, что российские металлурги в среднесрочной перспективе удержат уровень экспортных поставок 2012 года по прокату с дальнейшим ростом в меру роста мировой экономики. Вместе с тем необходимо учитывать избыток мировых производственных мощностей и развитие собственных производств в странах - импортерах российской металлопродукции.

На 2013 год ОАО «Газпром» заложено фактически трехкратное увеличение спроса на трубы большого диаметра для строительства газопроводов, что позволит вернуться к восстановлению объемов внутреннего потребления.

На внутреннем рынке сбыт металлургической продукции зависит от развития перерабатывающих отраслей. Доля российского металлопроката во внутреннем потреблении составила за январь-июнь 2012 г. 87% или 18,4 млн. тонн.

Дальнейший рост внутреннего потребления металлов связан с развитием машиностроения, строительства, металлообработки, ТЭКа, и зависит от исполнения принятых государством решений о поддержке машиностроительного комплекса, восстановления объемов строительной индустрии и выполнения программы строительства нефте- и газопроводов.

 

.5 Выявление основных производственных и финансовых проблем отрасли, включающих обеспеченность предприятий: рабочей силой, средствами производства, капиталом, сырьем и материалами


В результате вступления России в ВТО, через 5 лет ставки вывозных таможенных пошлин на лом чёрных металлов и рельсы должны снизиться с 15%, но не менее 15 евро за тонну до 5%, но не менее 5 евро за тонну. Это может привести к существенному росту экспорта стратегического сырья - лома металлов и сокращению его предложения на внутреннем рынке, что поставит под угрозу стабильную работу ряда металлургических предприятий, основным сырьём для которых является металлический лом, в первую очередь это электросталеплавильные заводы и предприятия спецметаллургии.

Основные производственные мощности предприятий металлургической промышленности были спроектированы и построены ещё в 1970-1980-е гг., что привело к тому, что большинство агрегатов и уникального оборудования в металлургической промышленности не использовалось, морально и физически устарело. Кроме того, были утеряны технологии производства прецизионных сплавов широкого сортамента на базе малотоннажного производства, а оборудование длительное время не обновлялось и значительно отстаёт в техническом и технологическом отношении от зарубежного.

Более того, после распада СССР нарушилась отлаженная система обеспечения легирующими элементами, так как предприятия по добыче легирующих элементов остались на Украине, в Казахстане, Киргизии, Таджикистане, Армении. В результате у России в настоящее время не осталось достаточных объёмов производства ряда легирующих элементов, марганца, хрома, титана, циркония, редкоземельных металлов иттриевой группы, рения. Отечественная сырьевая база осваивается медленно и по качеству уступает зарубежной, поэтому металлургические предприятия вынуждены закупать сырьё за границей по мировым ценам.

Имеющиеся в России месторождения также разрабатываются неравномерно: основное количество активных запасов железных руд сконцентрировано в Курской, Белгородской и Свердловской областях. Однако большие запасы богатых руд бассейна Курской магнитной аномалии не востребованы из-за отсутствия экономически приемлемых технологий их добычи и глубокой подготовки металлургического сырья.

В настоящее время металлургия России является одним из крупнейших потребителей электроэнергии и топлива. Черная металлургия потребляет коксующийся каменный уголь, газ природный, мазут топочный, газ сжиженный, дизельное топливо, дрова, брикеты. Прогнозируется, потребность черной металлургии в природном газе снизится к 2015 г. на 7,7%, к 2020 г. - на 5,0%, в электроэнергии возрастет к 2015 г. на 6,1%, к 2020 г. на 14,1%.

Самой главной проблемой в металлургии на сегодняшний день эксперты называют дисбаланс производства и потребления металла.

северсталь конкурентоспособность инвестиция риск

Вывод:

Основной объём производства черной металлургии России приходится на 9 крупных компаний, т.е. отрасль является олигополистической.

Государственное регулирование направлено на защиту отечественных производителей от зарубежной конкуренции, в т.ч. недобросовестной.

Стремясь поддержать свою конкурентоспособность, российские производители стали инвестируют средства в модернизацию производства, что уже позволило сократить уровень износа основных средств до 40%. Также предприятия выпускают новые виды продукции, отвечающие требованиям рынка.

Но, несмотря на их значительные усилия, конкуренция на мировом рынке растет и значительную роль в настоящее время играют китайские производители, выходящие на рынок с товарами по демпинговым ценам в связи с перепроизводством внутри страны.

С учетом достаточности металла на мировом рынке и прогнозов замедления темпов мирового потребления стали можно прогнозировать, что в среднесрочной перспективе развитие российского металлургического производства будет в основном определяться динамикой ожидаемого роста внутреннего потребления металлургической продукции, прежде всего в гражданском строительстве, машиностроении и трубопроводном транспорте, чему способствуют государственные проекты и программы развития этих отраслей.

Раздел 3. Анализ компании «Северсталь»

 

.1 Оценка конкурентоспособности компании


«Северсталь» - одна из крупнейших в мире вертикально интегрированных сталелитейных и горнодобывающих компаний с активами в России и США, а также на Украине, в Латвии, Польше, Италии, Либерии. Помимо этого, компания имеет инвестиции в Бразилии. В компании работает порядка 70 тысяч человек. Акции компании котируются на российской торговой площадке ММВБ-РТС, глобальные депозитарные расписки представлены на Лондонской фондовой бирже.

В 2011 году «Северсталь» занимала второе место среди российских компаний по производству стали. Объем производства стали в 2011 году составил 15,3 млн. тонн, выручка - $15,812 млрд. Рентабельность (отношение прибыли к выручке) составила 22,7%.

«Северсталь» - один из немногих производителей стали в мире, обеспеченных и железной рудой, и коксующимся углем. Компания полностью покрывает свои потребности в сырье для производства стали в России, а также продает сырье на рынках в России и за рубежом.

Объем продаж угля в 2011 году составил 10,6 млн. тонн, железорудного сырья 14,8 млн. тонн.

Из всех российских сталелитейных компаний «Северсталь» имеет наиболее полную цепочку добавленной стоимости - от угля и железной руды до труб большого диаметра.

Одним из факторов эффективности компании является высокая диверсификация бизнеса (географическая и продуктовая).

C 2008 года компания состоит из трех дивизионов: "Северсталь Российская Сталь", "Северсталь Ресурс", "Северсталь Интернэшнл".

В дивизион «Северсталь Российская Сталь» входят следующие предприятия:

·  Череповецкий металлургический комбинат - один из крупнейших в мире заводов по выпуску стали (мощность 11,6 млн. тонн) - входит при этом в десятку производителей с наиболее низкими издержками.

·        Ижорский трубный завод в г. Санкт-Петербург (Колпино) - трубы большого диаметра (мощность 600 тыс. тонн) с уникальными характеристиками по прочности.

·        «Северсталь-Метиз» один из крупнейших в СНГ и Европе производителей метизной продукции.

·  «ТПЗ-Шексна» (трубопрофильный завод «Шексна») в Вологодской обл. - трубы и профили для строительства.

·        Совместные компании с компаниями Gestamp и Gonvarri - уникальная для России полная цепочка производства от стальных рулонов до штампованных деталей автомобилей.

·        «Северсталь СМЦ-Колпино» - высокотехнологичный комплекс по переработке толстого металлопроката

·        и др.

В дивизион «Северсталь Ресурс» входят предприятия - производители железорудного сырья («Олкон», «Карельский окатыш» и др.), производители концентрата коксующегося и энергетического угля («Воркутауголь», «PBS Coals»). Также компания инвестирует средства в развитие новых предприятий по выпуску сырья для производства стали в России и за рубежом (Участок №1 Усинского месторождения, республика Коми; Месторождение «Центральное», республика Тыва; Putu, Либерия; Amapa, Бразилия)

Дивизион «Северсталь Интернэшнл»

«Северсталь Северная Америка» - один из крупнейших производителей стали в США, выпускающий широкий ассортимент продукции из высококачественного листового проката.

В США «Северсталь» сфокусировалась на развитии двух своих наиболее эффективных заводов, расположенных по соседству со стратегическими потребителями в районах высокого и растущего спроса на сталь:

1. Dearborn. Штат Мичиган. Мощность по выпуску стали: 2.1 млн. т

2.      Columbus. Штат Миссисипи. Мощность по выпуску стали: 3.1 млн. т

Ключевые потребители продукции - автомобилестроение («Северсталь» - один из крупнейших поставщиков для заводов «Большой Тройки»: Ford, GM и Chrysler), строительство и дистрибьюция, трубный сегмент, производители бытовой техники.

Также «Северстали» принадлежит 50% доля в производителе металлургического кокса Mountain State Carbon.

Ставка делается на выпуск продукции с высокой добавленной стоимостью.

Рис. 3. Структура выпускаемой продукции дивизиона «Северсталь Северная Америка» в 2011 г. (Источник: Северсталь)

«Золотая» история «Северстали» - пример успешного создания и последующего выделения золоторудного бизнеса

С целью дальнейшей диверсификации бизнеса, «Северсталь» в 2009 создала компанию Nordgold. На сегодняшний день это международный, географически диверсифицированный производитель золота, один из лидеров по объемам производства среди российских компаний.обладает географически диверсифицированным портфелем активов: Россия, Казахстан, Западная Африка (Гвинея, Буркина-Фасо).

Компания имеет 8 работающих рудников, 2 проекта в стадии строительства, 5 проектов с локализованными ресурсами, а также портфель геологоразведочных проектов на ранней стадии.

Ресурсы: 29,5 млн. унций золота (по классификации JORC).

Что позволяет компании «Северсталь» быть эффективной:

·  Высокий уровень вертикальной интеграции.

·        Низкие производственные издержки.

·        Высокая диверсификация бизнеса (географическая и продуктовая).

·        Благоприятная логистика, близость к потребителю.

·        Бизнес-система «Северстали».

Компания продолжает работу по развитию конкурентоспособности через повышение эффективности использования своих существующих мощностей, как за счет снижения себестоимости, так и за счет производства более эффективных видов продукции и реализации их на более эффективных рынках.

В частности, продолжается повышение доли продуктов с высокой добавленной стоимостью. Повышение доли такого проката в товарном портфеле - одна из стратегий компании.

На внутреннем рынке ОАО «Северсталь» традиционно конкурирует с ОАО «НЛМК», ОАО «ММК» и ОАО «Уральская Сталь» (часть ОАО «ХК «Металлоинвест») в сегментах автомобилестроения, производства труб, машиностроения и секторе строительства и металлопереработки по листовому прокату. В сегментах строительства, метизной отрасли, машиностроения эмитент конкурирует с ОАО «ММК», ОАО «ЗСМК», ОАО «Мечел» и ОАО «НСММЗ» (НЛМК-сорт) по сортовому прокату. На экспорте основными конкурентами ОАО «Северсталь» являются те же предприятия, а также предприятия Украины.

Факторы конкурентоспособности: по мнению эмитента, в среднем ОАО «Северсталь» по совокупности факторов в 2011 году сохранило лидерство по конкурентоспособности на внутреннем рынке. Основные факторы - это высокое качество продукции, широкий сортамент, надежность поставок и гибкий привлекательный сервис. Постоянная работа над снижением себестоимости позволяет компании улучшить свои финансовые результаты и выходить на новые рынки. Помимо этого, чтобы соответствовать возрастающим требованиям клиентов, компания продолжает проводить работу по постоянному совершенствованию производства, клиентоориентированности, изменению культуры, улучшению бизнес-стандарта и повышению уровня безопасности труда.

На экспортных рынках эмитент в большинстве случаев работает в сегменте продуктов базового качества, поэтому основным фактором конкуренции здесь является цена. Отдельно в экспорте эмитента стоят продажи на мировые транснациональные корпорации, планирующие открытие производства в России, и реализация продукции с высокой добавленной стоимостью (автолист, штрипсы для производства труб большого диаметра (стандарт API 5L)), в данном сегменте кроме цены важный фактор конкурентоспособности - это постоянное и высокое качество проката и сервиса.

По данным эмитента, в настоящее время, российские потребители все больше в принятии решения о закупке продукции у того или иного поставщика помимо цены руководствуются качеством конечного продукта и сервисом, который этот продукт сопровождает. Сохранение конкурентоспособности конечной продукции в условиях сложной ситуации с кредитованием операционной деятельности требует от потребителя металлопроката минимизации запасов проката на складах и повышения эффективности использования ресурсов, а от поставщика, в свою очередь, соблюдения сроков поставки и предоставления удобных условий платежа, технической поддержки и консультирования. Поэтому то серьезное внимание, которое уделяется данным факторам в ОАО «Северсталь» вполне оправдано и, как следствие, позволяет иметь сильные конкурентные позиции как при равенстве цен с конкурентами, так и в условиях более высокого ценового предложения.

3.2 Анализ номенклатуры продукции и существующих тенденций сбыта


Номенклатура выпускаемой продукции содержит несколько товарных групп:

·  Уголь, включая концентрат коксующегося угля, сырой коксующийся уголь и энергетический уголь;

·        Железорудное сырье, включая железорудные окатыши и железорудный концентрат;

·        Полуфабрикаты;

·        Прокат: горячекатаная полоса, толстолистовой прокат, холоднокатаный лист, оцинкованный лист и лист с другим металлическим покрытием, сортовой прокат;

·        Изделия конечного передела: метизная продукция, трубы большого диаметра, прочие трубные изделия, профили.

Анализ продаж продукции, обеспечившей не менее чем 10 процентов выручки (доходов) эмитента за отчетный период показал, что:

За 9 месяцев 2012 года относительно аналогичного периода 2011 года выручка по горячекатаному и холоднокатаному прокату снизилась на 13%. Снижение выручки произошло в основном за счет снижения средней цены продукции. Причиной снижения цены стал общий спад мирового потребления металлопроката на фоне его перепроизводства, а также перераспределение объемов между рынками и продуктами. Также по сравнению с 9 месяцами 2011 года снизилась доля более дорогого толстого листа и общие объемы продаж горячекатаного листового проката, вследствие снижения спроса в трубной промышленности.

Рис. 4. Консолидированный объем продаж продукции за 9 мес. 2012 года по сравнению с аналогичным периодом 2011 года. (Источник: Северсталь)

Выручка от продажи проката с покрытием выросла на 7%. При незначительном снижении объемов реализации увеличение выручки стало возможным благодаря росту средней цены на продукт. Рост цены произошел за счет как увеличения доли более дорогого проката с полимерным покрытием (благодаря пуску второй линии полимерных покрытий), так и доли тонкого проката, что также повышает добавочную стоимость продукта.

Выручка от реализации сортового проката снизилась лишь на 1%. Объем и цены на сортовой прокат удалось сохранить на уровне 2011 года благодаря устойчивому спросу со стороны машиностроения и строительной индустрии.

Также «Северсталь» выпускает стали для судостроения. Специальные судостали (хладостойкие марки сталей АК и АБ) используются, прежде всего, для выполнения оборонных заказов, в частности для строительства подводных лодок и надводных военных кораблей. За 10 месяцев 2012 г. Череповецкий меткомбинат, входящий в дивизион «Северсталь Российская cталь», удвоил поставки специальных сталей предприятиям судостроительной отрасли по сравнению с аналогичным периодом 2011 г.

Помимо названных, компания также выпускает новые виды продукции на рынке своей основной деятельности.

ОАО «Северсталь» в 2010 году освоило 42 новых вида продукции (НВП) и отгрузило потребителям около 430 тысяч тонн металлопроката с шифром НВП. Треть из освоенных новых видов продукции отличаются абсолютной новизной. Это новые марки стали, большинство из которых разработано для российских трубных заводов, таких как ОАО «ВМЗ» (г. Выкса) и ОАО «ВТЗ» (г. Волжский), а также Ижорского трубного завода. В частности, это штрипс категорий прочности Х-70 - Х-100 в толщинах 11-38 мм, произведенный из конвертерной стали в основном на стане 5000 ( г. Колпино, Санкт-Петербург) для изготовления труб на такие проекты ОАО «Газпром», как «Сахалин-Хабаровск-Владивосток», «Бованенково-Ухта». В 2010 году были произведены первые промышленные партии стали марки К60 в толщинах 32,6 и 37,9 мм для производства труб диаметром до 1420 мм на ЗАО «ИТЗ», рассчитанных на рабочее давление 120 атм. Также «Северсталь» - единственная в России и СНГ, освоила выпуск высокопрочных труб из стали марки Х80 (К65) в промышленных объемах.

Освоен также ряд продуктов для клиентов в ТЭК. В частности, разработана технология производства проката из стали 20 КСХ в толщинах 6-10мм, с повышенными антикоррозийными свойствами. Поставки этого вида проката в рулонах и листах осуществлялись в адрес ОАО «ВМЗ» (г.Выкса) и ОАО «ЧТПЗ» (г.Челябинск) для выпуска труб, используемых при разработке месторождений нефти в суровых климатических условиях Восточной Сибири. Освоен новый сортамент конструкционный сталей - как для российских потребителей, так и клиентов на экспортных рынках (Колумбия, Эквадор).

В 2010 году эмитент продолжил работу по расширению сортамента продуктов для автопрома - как российского, так и зарубежного, в частности холоднокатаного и оцинкованного металлопроката для иностранных автопроизводителей (GМ, Фольксваген, Рено, и др.).

В 2011 году эмитентом освоено 36 новых видов продукции, в том числе производство оцинкованного проката с BH-эффектом (Bake Hardening effect - эффект термического упрочнения) для автомобильной промышленности. От обычных стали с BH-эффектом отличаются высокой штампуемостью в сочетании с существенным упрочнением отштампованных деталей в процессе высокотемпературной сушки лакокрасочного покрытия. Это позволяет лучше защищать внешние панели автомобиля. В конце 2011 года «Северсталь» отгрузила партию новой стали с ВН-эффектом для компании GM. «Северсталь» планомерно разрабатывает и внедряет наиболее востребованные рынком виды продукции.

Рынки сбыта продукции (работ, услуг) эмитента

Основные потребители продукции ОАО «Северсталь» в России - это трубные предприятия, предприятия автомобилестроения, машиностроения, региональной дистрибьюции (строительство и металлопереработка) и производители строительных металлоконструкций.

Все 5 сегментов имеют высокую стратегическую важность для компании.

Продажи на экспорт разделены на два направления - страны дальнего и ближнего зарубежья. Ближнее зарубежье, в которое входят страны Балтии и СНГ, в силу географической близости и исторически сложившихся технологических и культурных связей имеет для эмитента большое значение наравне с рынком Российской Федерации.

Рис. 5. Структура продаж дивизиона «Северсталь Российская Сталь» в 2011 году (Источник: Северсталь)

В целом по внутреннему рынку можно сказать, что за 9 месяцев 2012 года развитие экономики замедлилось, в частности за счет экспортоориентированных отраслей из-за снижения темпов развития экономики в мире, а также за счет снижения доступности финансирования для развития промышленных предприятий. Тем не менее, потребление металлопроката на внутреннем рынке за 9 месяцев 2012 года выросло примерно на 3% по сравнению с аналогичным периодом прошлого года.

Автомобилестроение

Емкость рынка в 2011 году после резкого роста в 2010 выросла за год еще на 15%. Потребление в 2011 году по оценкам эмитента составило 1,8 млн. тонн.

В 2011 году продажи новых автомобилей в России выросли на 40% по сравнению с 2010 годом. Основными факторами роста по-прежнему оставались государственная программа утилизации подержанных автомобилей и общий рост экономики РФ, повлекший как улучшение благосостояния людей, так и доступность автокредитов. Производство автомобилей также растет, как и спрос на металлопрокат со стороны отрасли.

Трубные предприятия

В целом потребление в отрасли в 2011 году после значительного роста в 2010 году увеличилось почти на 5% . Ёмкость рынка составила в 2011 году 6,5 млн. тонн.

К началу 2012 года большинство отложенных во время кризиса проектов по строительству трубопроводов было завершено, поэтому спрос на трубы большого диаметра существенно снизился, но в мае он начал расти с возобновлением проектов в России («Бованенково-Ухта», «Южный поток») и началом проектов по строительству трубопроводов в странах СНГ. Спрос на трубы малого диаметра традиционно низок в начале года, как из-за праздников, так и из-за зимнего затишья в строительной индустрии, с приходом весны спрос на конструкционные трубы демонстрировал стабильный рост из-за начала строительного сезона.

Машиностроение

Емкость рынка в 2011 году выросла по сравнению с 2010 годом на 9% и составила 5,3 млн. тонн. Помимо ОАО «Северсталь» все больше поставщиков проявляют интерес к поставкам в машиностроение, что приводит к усилению конкуренции

За 9 месяцев 2012 потребление металлопроката со стороны машиностроения незначительно снизилось по сравнению с аналогичным периодом 2011 года. Почти во всех сегментах машиностроения потребление осталось либо на прежнем уровне, либо незначительно упало, что связано как с общим замедлением темпов роста экономики России, так и с неустойчивым финансовым положением предприятий отрасли, которые испытывают проблемы с получением оплаты со стороны своих потребителей. Наиболее сильное снижение потребления металлопроката продемонстрировал сегмент сельскохозяйственного и подъемно-транспортного машиностроения, после вступления в ВТО в третьем квартале спрос на продукцию российских предприятий резко упал, поскольку потребители ожидают поступления на рынок более дешевой импортной техники. В то же время железнодорожное машиностроение показало рост потребления вследствие роста производства подвижного состава.

Региональная дистрибуция и строительные конструкции

Данный сегмент в 2011 году имел емкость 20,5 млн. тонн, увеличение спроса составило 17% по сравнению с 2010 годом.

За 9 месяцев 2012 года темп роста спроса в данном сегменте составил около 7%, это самый быстрорастущий сегмент рынка стали РФ. Основными проектами, ответственными за развитие строительной отрасли в 2012 году, являются проекты подготовки к саммиту АТЭС, Олимпиаде в Сочи, а также к Чемпионату мира по футболу 2018 года. Продолжат расти темпы строительства жилья. С другой стороны высокий спрос на металлопрокат в отрасли привлек внимание импортеров дешевой низкокачественной продукции, в связи с чем, в частности, сильно вырос объем импорта проката с покрытием, что привело к снижению темпов роста цен на данный прокат. В четвертом квартале ожидается снижение спроса в связи с закрытием строительного сезона.

Экспорт в страны Балтии и СНГ

В 2011 году емкость этого рынка оценивается на уровне 13,8 млн. тонн, что означает рост в 12% по отношению к 2010 году.

За 9 месяцев 2012 года спрос на металлургическом рынке Балтии и СНГ падал, что было обусловлено рядом причин: превышение предложения над спросом на мировых рынках; кризисные ожидания в Европе; замедление роста экономик некоторых стран СНГ (Украины, Беларуси). Цены на металлопрокат плавно снижались вслед за потреблением. Оживление спроса наблюдалось в Казахстане, Азербайджане в связи с продолжением строительства нефтегазовых и инфраструктурных объектов, включенных в государственные программы развития. Загрузка мощностей производителей металлопроката стран СНГ (кроме России) снизилась на 6-12% по сравнению с аналогичным периодом прошлого года.

Экспорт в страны дальнего зарубежья

Основные потребители при продажах на экспорт - это сервисные металлоцентры, занимающиеся переработкой и розничными продажами металлопроката, а также трубные и перекатные предприятия. Также большое внимание уделено продажам продукции, являющейся стратегически важной для компании, например штрипс по API 5L.

Наступивший в I полугодии 2012 экономический спад в Европе привел к перераспределению баланса спроса и предложения на региональных рынках. Еще одним отрицательным фактором, кроме снижения темпов роста потребления металлопроката, стало нежелание производителей снижать объемы производства, что привело к снижению общемировых цен на прокат из-за возникшего профицита. К сожалению, закрытие части мощностей в Европе не смогло улучшить ситуацию, поскольку Китай продолжал производить значительные объемы металлопроката на экспорт. Падению цен также способствовало снижение цен на основное сырье для металлургии -металлолом и железную руду.

Возможные факторы, которые могут негативно повлиять на сбыт продукции:

·  Рецессия мировой экономики;

·        Снижение мировых цен на нефть или резкое повышение цен, способное замедлить экономический рост;

·        Снижение размеров федерального и региональных бюджетов;

·        Повышение транспортных тарифов;

·        Снижение платежеспособного спроса на металлопрокат и изделий из него по причине отсутствия доступных кредитов;

·        Рост цен на сырье.

Возможные сбытовые действия эмитента по уменьшению такого влияния:

·  Развитие аффилированных сервис-центров с целью обеспечения потребностей мелких потребителей. Увеличение продаж через существующие сервис-центры;

·        Поиск и внедрение новых видов продукции совместно с клиентами;

·        Использование доставки альтернативными (речной, автомобильный) видами транспорта;

·        Принятие на вооружение принципов технической поддержки;

·        Снижение рисков по росту просроченной дебиторской задолженности через различные формы гарантирования сделок.

3.3 Анализ доходности (рентабельности) компании


Таблица 12

Расчет показателей рентабельности ОАО "Северсталь"

Показатели, тыс. руб.

За 9 мес. 2012 г.

Выручка

172 133 299

Себестоимость продаж

140 159 269

Чистая прибыль (убыток)

9 011 533

Стоимость активов

429 581 934

Стоимость оборотных активов

102 337 956

Собственный капитал

185 168 369

Долгосрочные обязательства

96 789 066

Показатели рентабельности, %


1. Рентабельность активов

2,10

2. Рентабельность оборотных активов

8,81

3. Рентабельность собственного капитала

4,87

4. Рентабельность инвестированного капитала

3,20

5. Рентабельность продаж

5,24

6. Рентабельность затрат (расходов)

6,43

 

В 3 кв. 2012 года рентабельность активов ОАО «Северсталь» составила 2,1%, рентабельность оборотных активов - 8,8%, рентабельность собственного капитала - 4,8%, рентабельность инвестированного капитала - 3,2%, рентабельность продаж - 5,2%, рентабельность затрат - 6,4%. Такие значения показателей рентабельности говорят о достаточно низкой доходности компании, что в значительной мере связано с высокой стоимостью ее активов и большой долей в них (ок.56%) долгосрочных финансовых вложений, пока не приносящих компании больших доходов.

 

.4 Анализ активов компании


Таблица 13

Состав и структура активов ОАО "Северсталь" на 30.09.2012

Показатели

Удельный вес в активах предприятия, %




1. Активы предприятия, всего

429 581 934

100,00

в том числе:



Внеоборотные активы

327 243 978

76,18

из них:



Основные средства

56 218 322

13,09

Незавершенное строительство

20 474 462

4,77

Финансовые вложения

240 333 898

55,95

Оборотные активы, из них:

102 337 956

23,82

Запасы

25 169 606

5,86

Дебиторская задолженность

23 171 953

5,39

Денежные средства

38 432 084

8,95


Как видно из таблицы 13, в структуре активов компании преобладают внеоборотные активы - 76,18%. Из них наибольшую стоимость имеют финансовые вложения, которые составляют около 56% всех активов предприятия. Как сказано в квартальном отчете эмитента, основную часть финансовых вложений составляют доли участия в уставном капитале предприятий:

-  ООО «Холдинговая горная компания», размер вложения в денежном выражении: 126 340 233 тыс. руб. (99.99% уставного капитала)

-       Severstal US Holdings LLC, размер вложения в денежном выражении: 54 780 450 тыс. руб. (56.88% уставного капитала)

Стоимость основных средств составляет 13,09%, а незавершенного строительства - 4,77% в структуре активов компании соответственно.

Оборотные активы составляют около 24% совокупных активов компании. Из них наибольший объем имеют денежные средства - около 9% активов компании. Запасы и дебиторская задолженность составляют 5,86% и 5,39% соответственно.

3.5 Анализ структуры капитала компании


Таблица 14

Состав и структура капитала ОАО "Северсталь" на 30.09.2012

Показатели

Сумма, тыс. руб.

Удельный вес в структуре капитала предприятия, %




1. Капитал предприятия, всего

429 581 934

100,00

в том числе:



Собственный капитал

185 168 369

43,10

из него:



Уставный капитал

8 377

0,01

Добавочный капитал

87 354 182

20,33

Нераспределенная прибыль

90 186 416

20,99

Заемный капитал

244 413 565

56,90

из него:



Долгосрочные заемные средства, в том числе:

89 693 460

20,88

кредиты

8 504 538

1,98

займы, за исключением облигационных

8 534 206

1,99

облигационные займы

72 654 715

16,91

Краткосрочные заемные средства, в том числе:

114 162 931

26,58

кредиты

23 144 193

5,39

займы, за исключением облигационных

57 209 868

13,32

облигационные займы

33 808 869

7,87

Кредиторская задолженность, в том числе:

31 087 755

7,24

поставщики и подрядчики

18 845 183

4,39

авансы полученные

5 701 789

1,33

налоги и сборы

2 623 789

0,61

учредители (выплата доходов)

2 704 144

0,63


Как видно из таблицы 14, в структуре капитала компании преобладают заемные источники - 56,90%. Из них наибольший удельный вес имеют краткосрочные заемные средства - ок.27%, в т.ч. необлигационные займы - 13,32%. В структуре долгосрочных заемных средств преобладают облигационные займы. В настоящий момент в обращении находятся облигации с номинальной стоимостью 1000 руб. серии 02 объемом 15 млрд. руб., серии 03 объемом 10 млрд. руб., серии 04 объемом 5 млрд. руб. Биржевые облигации с номинальной стоимостью 1000 руб., объемом выпуска 10 млрд. руб.

Кредиторская задолженность составляет 7,24% от общей стоимости капитала предприятия, и в ее структуре наибольшую долю имеет задолженность перед поставщиками и подрядчиками.

В структуре собственного капитала примерно одинаковый удельный вес - ок. 20% - имеют нераспределенная прибыль и добавочный капитал компании.

 

Раздел 4 Оценка доходности акций и риска инвестиций в акции


В соответствии с данными ММВБ о стоимости акций определяется доходность акций за период владения обыкновенными акциями - 12 месяцев и за каждый из 12 месяцев. Расчет приведен в таблице

Таблица15

Расчет доходности акций ОАО «Северсталь»

Период

Средневзвешенная цена, руб.

Доходность акций, %

Декабрь 2011

357,5


Январь 2012

435

21,68

Февраль 2012

443,7

2,00

Март 2012

399,7

-9,92

Апрель 2012

397,3

-0,60

Май 2012

375,3

-5,54

Июнь 2012

376

0,19

Июль 2012

358,3

-4,71

Август 2012

370,2

3,32

Сентябрь 2012

396

6,97

Октябрь 2012

385

-2,78

Ноябрь 2012

354,8

-7,84

Декабрь 2012

380,8

7,33


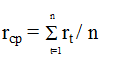
Определяем среднюю доходность по формуле:


где rср - средняя доходность акций;

rt - доходность акций в периоде t;

n - число наблюдений.

rср = 0,84%

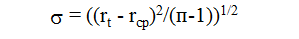
Определяем рискованность инвестиций в обыкновенные акций на основе расчета среднеквадратичного отклонения по формуле

 - Риск высокий

Далее определяем рискованность инвестиций в обыкновенные акции на основе расчета коэффициента b.

Для этого определяем доходность акций за период владения (12 месяцев) по формуле:


где - доходность акций за анализируемый период;

- цена акции в конце периода, руб.;

 - цена акции в начале периода, руб.;

 - дивиденды, которые выплачивались в анализируемом периоде, руб.


Формируем портфель акций, состоящий из 15 акций, и определяем его доходность за 12 месяцев. Тип диверсификации - отраслевая. В портфель вошли акции из базы индекса ММВБ.

Таблиця 16

Портфель акций


Цена акции на 21.12.2012 (ММВБ)

Цена акции на 21.12.2011 (ММВБ)

Отрасль

Газпром

143,38

171,25

Нефтегазовая отрасль

Сбербанк

93,55

82,02

Финансовый сектор

НорНикель

5689

4966

Цветная металлургия

Лукойл

2024

1650,6

Нефтегазовая отрасль

Уралкалий

239,72

238,27

Минеральные удобрения

Ростелеком

119,09

143,96

Телекоммуникации

РусГидро

0,7427

1,032

Генерация

НЛМК

62,24

64,94

Черная металлургия

Аэрофлот

42,46

45,13

Транспорт

ПИК

59,62

75,11

Строительство

Алроса

27,157

31,335

Добыча алмазов

Система

24,169

24,029

Финансовая корпорация

Соллерс

658,1

308,6

Автомобилестроение

М.Видео

242,44

193,48

Розничная торговля

Фармстандарт

1632,4

1683,3

Фармацевтика

Стоимость портфеля

11058,0687

9679,056



Доходность портфеля:


где  - доходность портфеля;

 - стоимость портфеля на конец периода;

- стоимость портфеля на начало периода.


Рассчитаем риск инвестиций в акции «Северсталь» с помощью коэффициента β по формуле:


где

rj - доходность анализируемых акций;

rf - доходность свободная от риска;

rm - среднерыночная доходность (за среднерыночную доходность принимается доходность портфеля, сформированного из 15 акций)

В качестве доходности инвестиций с минимальным риском принимаем ставку доходности по депозиту «Сбербанка» для юр. лиц и индивидуальных предпринимателей «Классический» на 365 дней - 6,8% годовых. Т.к. «Сбербанк» является одним их самых надежных банков РФ, риск вложения средств - минимальный.


 - риск меньше среднерыночного

Раздел 5 Обоснование целесообразности инвестиций в акции


Для принятия решения о целесообразности инвестиций в акции необходимо рассчитать их истинную стоимость.

Т.к. дивиденды ОАО «Северсталь» не имеют стабильного темпа роста, то формулу Гордона для определения истинной стоимости акций использовать нельзя.

Вычислим истинную стоимость акции на основе расчета чистых активов общества.

Таблица 17

Расчет чистых активов акционерного общества ОАО "Северсталь"

Наименование показателя

На 30 сентября 2012 года

I. Активы


1. Нематериальные активы

68 199

2. Основные средства

56 218 322

3. Незавершенное строительство

20 474 462

4. Долгосрочные и краткосрочные финансовые вложения

251 462 424

5. Прочие внеоборотные активы

10 149 097

6. Запасы

25 169 606

7. Налог на добавленную стоимость по приобретенным ценностям

3 203 244

8. Дебиторская задолженность

23 171 953

9. Денежные средства

38 432 084

10. Прочие оборотные активы

1 232 543

11. Итого активы, принимаемые к расчету (сумма строк 1 ÷ 10)

429 581 934

II. Пассивы


13. Долгосрочные обязательства по займам и кредитам

89 693 460

14. Прочие долгосрочные обязательства

7 095 606

15. Краткосрочные обязательства по займам и кредитам

114 162 931

16. Кредиторская задолженность

31 087 755

17. Итого пассивы, принимаемые к расчету (сумма строк 13 ÷ 16)

242 039 752

18. Стоимость чистых активов акционерного общества (стр. 11 - стр. 17)

187 542 182


Таким образом, размер чистых активов ОАО "Северсталь" на 30 сентября 2012 года составил 187 542 182 тыс. руб. В настоящее время уставный капитал общества разделен на 837 718 660 обыкновенных акций, т.е. на 1 акцию приходится 223,87 руб. чистых активов.

Рыночная цена акции на 30.09.12 составляла 396 руб., а на 21.12.12 - 380,8 руб., что значительно превышает сумму чистых активов, приходящихся на одну обыкновенную акцию. Т.е. акции переоценены.

В то же время, доходность акций «Северстали» (9,08%) превышает доходность по депозиту (6,8%). Компания ежеквартально выплачивает дивиденды, хотя и в небольшом объеме, направляя большую часть своей чистой прибыли на дальнейшее развитие.

Риск инвестирования в акции «Северстали» ниже среднерыночного.

Акции компании подвержены риску изменения спроса на продукцию. В настоящее время мировой рынок стали переполнен из-за перепроизводства, а также из-за большого объема поставок из Китая, в т.ч. по демпинговым ценам, что снижает спрос на продукцию компании на мировом рынке. В то же время спрос на продукцию «Северстали» на внутреннем рынке растет, поддерживаемый спросом предприятий машиностроительной, строительной и трубной отраслей. Также компания придерживается стратегии производства продукции с высокой добавленной стоимостью, что позволит ей поддерживать объем выручки на высоком уровне. Такие преимущества как диверсификация и низкие издержки позволяет компании оставаться конкурентоспособной.

Из этого можно заключить, что акции «Северстали» вряд ли значительно вырастут в цене в ближайшие 12 мес., но при этом ни значительное снижение их стоимости, ни тем более банкротство предприятия не ожидаются. Следовательно, можно считать инвестиции в эти акции надежным вложением средств, хотя и не очень доходным.

Аналитик ООО "СОВЛИНК" Александр Морин рекомендует акции "Северстали" консервативным инвесторам.

Источники


1. «О текущей макроэкономической ситуации по состоянию на 7 декабря 2012 года». Минэкономразвития России

2.      «Основные направления налоговой политики Российской Федерации на 2012 год и на плановый период 2013 и 2014 годов», Министерство финансов РФ

.        «Основные результаты и направления бюджетной политики на 2012 год и на период до 2014 года». Министерство финансов РФ

.        «Мониторинг об итогах социально-экономического развития Российской Федерации в январе-октябре 2012 года». Минэкономразвития России

.        «Россия в цифрах. 2012» Росстат

.        «Прогноз социально-экономического развития Российской Федерации на 2013 год и Плановый период 2014-2015 годов». Минэкономразвития России

.        «Стратегия развития металлургической промышленности России до 2020 г.», Минпромторг РФ

.        Отчетность ОАО «Северсталь»

9.      <http://www.minfin.ru/ru/tax_relations/policy/>

.        <http://www.economy.gov.ru/minec/activity/sections/investmentpolicy/index>

Похожие работы на - Обоснование инвестиционного решения на примере ОАО 'Северсталь'

 

Не нашли материал для своей работы?
Поможем написать уникальную работу
Без плагиата!
Без нейросетей!