Комплексный экономический анализ предприятия (на примере ОАО 'ТДСК')
Содержание
Содержание
Введение
Часть 1.
Экономико-статистический экспресс-анализ ресурсов предприятия
Глава 1. Статистика
социально-экономического развития региона, уровня жизни населения и рынка труда
Глава 2. Краткая
характеристика объекта исследования
Глава 3. Статистика
выпуска продукции, объемов выполненных работ, реализации товаров и оказанных
услуг
Глава 4. Статистика
основных и оборотных фондов объекта обследования
Пункт 4.1 Статистика
основных фондов
Пункт 4.2 Статистика
оборотного капитала
Глава 5. Статистика
трудовых ресурсов объекта исследования
Пункт 5.1 Статистика
кадрового состава предприятия
Пункт 5.2 Статистика
рабочего времени ОАО «ТДСК»
Пункт 5.3 Статистика
эффективности использования труда
Пункт 5.4 Статистика
оплаты труда работников
Глава 6. Статистика
финансовых результатов деятельности предприятия
Часть 2. Прогноз
технико-экономических показателей деятельности предприятия
Заключение
Список литературы
Приложения
Приложение А
Приложение Б
Введение
Объектом исследования данной курсовой работы выступает открытое
акционерное общество «Тюменская Домостроительная Компания», основанная в 1964
году, и, на сегодняшний день, являющаяся лидером по введению жилой площади в
городе Тюмень.
В
годы основания производственная мощность организации составляла 25 тыс. 
жилья в
год. Первыми объектами стали жилые дома серии 464-07 в пятиэтажном исполнении.
С
каждым годом предприятие поступательно развивалось, проводя постоянную реконструкцию
завода КПД, совершенствуя схемы работы и постепенно наращивая объемы ежегодного
ввода жилья до 140 тыс. 
.
Компания
является основным застройщиком города Тюмени и осуществляет строительство 14
этажных жилых домов в панельном исполнении модернизированной серий 121-14Т, 14
этажных жилых домов в кирпичном исполнении индивидуальной разработки и объектов
в монолитно-каркасном исполнении. [3, с. 3]
За
47 лет своего существования Компанией построено и введено жилья 4 200,6 тыс. 
общей
площади, в них 68 942 квартиры, что позволило удовлетворить потребность в жилье
более 280 тысячам человек. Было осуществлено строительство 15 микрорайонов
города Тюмени с благоустроенными дворами с детской площадкой и парковкой.
В данной курсовой работе отражены основные технико-экономические
показатели предприятия за 2010 и 2011 годы. Выявлена динамика этих показателей
и наглядно представлена на графиках. Так же для анализа эффективности
деятельности рассчитаны различные коэффициенты, на основе которых сделаны
соответствующие выводы и анализы.
Всего курсовая работа состоит из 2 частей. Первая часть является основной
и включает в себя 6 глав, в которых анализируется деятельность предприятия.
Вторая часть содержит прогноз деятельности предприятия.
фонд финансовый персонал труд
Часть 1. Экономико-статистический экспресс-анализ ресурсов
предприятия
Глава 1. Статистика социально-экономического развития
региона, уровня жизни населения и рынка труда
В Тюменской области проживает 3 395 755 человек, из них в городе Тюмень
живет 631 766 человек, что составляет 0,44 % от всего населения России. Из них
по региону, согласно статистическим данным на 2011 год, к экономически
активному населению относится 1937,1 тысяч человек, из которых 1534,9 тысяч
человек являются представителями городского населения. 7,6% экономически
активного населения региона задействовано в сфере строительства. Среди экономически
активного населения региона насчитывается 104,2 тысяч человек безработных.
Уровень безработицы в регионе колеблется от 5,4 до 6%.
Уровень социального и экономического развития населения высокий, по
сравнению с большинством других регионов России. Денежные доходы населения
тюменской области, без учета автономных округов, за январь - июнь 2012 года
составили 167255,8 миллионов рублей - это на 7,5% больше, чем в том же периоде
2011 года, т.е. денежные доходы в регионе продолжают расти. Стоимость минимального
набора продуктов питания на июль 2012 года составила 3102,1 рублей на одного
человека. Величина же прожиточного минимума в тюменской области, без учета
автономных округов, в 2012 году в среднем составила 6364 рубля в месяц на
одного человека, а среднемесячная заработная плата за январь - июль 2012 года
составляет 46278 рублей.
Индексы
потребительских цен (тарифов) на товары и услуги представлены в таблице 1 «
Индексы цен строительной продукции».
Таблица
1 "Индексы цен строительной продукции"
(декабрь к декабрю предыдущего года, в процентах)
|
2005
|
2006
|
2007
|
2008
|
2009
|
2010
|
2011
|
|
Тюменская область (включая
автономные округа)
|
|
Сводный индекс цен
строительной продукции
|
115,2
|
115,6
|
113,8
|
116,8
|
99,3
|
105,4
|
106,5
|
|
Из него:
|
|
На строительно-монтажные
работы
|
117,4
|
115,6
|
113,5
|
113,4
|
99,1
|
105,1
|
107,8
|
|
На машины и оборудование,
используемые в строительстве
|
108,6
|
108,8
|
113,3
|
114,7
|
98,8
|
106,6
|
105
|
|
На прочие капитальные
работы и затраты
|
116,1
|
121,3
|
114,8
|
122,9
|
99,8
|
104,7
|
104,3
|
Глава 2. Краткая характеристика объекта исследования
Объектом исследования является открытое акционерное общество «Тюменская
Домостроительная Компания», сокращенно ОАО «ТДСК». Общество является
юридическим лицом и действует на основании устава и законодательства Российской
Федерации.
Располагается организация по адресу: Тюменская область, г. Тюмень, ул.
Республики, 253. Целью общества является извлечение прибыли, путем
осуществления следующих видов деятельности:
. проектирование и строительство жилых домов, объектов
социального, культурно-бытового, промышленного и сельскохозяйственного
назначения;
. производство строительных материалов и переработка отходов
производства;
. производство товаров народного потребления, заготовка
сельхозпродукции для столовой общества, а также торговля продуктами питания
через столовую, киоски и буфеты;
. И другое
Полный перечень видов деятельности организации представлен в Приложении
А.
В структуре организации можно выделить 4 дочерних предприятия (ЗАО
«ДСК-Сантехмонтаж» - сантехнические работы, ЗАО «ДСК-Дизайн» - отделочные и
плотнично-столярные работы, ООО «ДСК-Сервис» - кладочные работы, ООО
«ДСК-Энерго» - электро и пусконаладочные работы) и 18 специализированных
подразделений. Также в качестве субподрядчиков организации выступают ООО
«Тюменьпожсервис - Т» - монтаж системы пожарной сигнализации, дымоудаления и
вентиляции, ООО «Сибэлектромонтаж» - электро и пусконаладочные работы.
ОАО «ТДСК» занимается возведением жилых домов в панельном, кирпичном и
каркасно-монолитном исполнении. В структуре доходов организации лидирующее
значение имеют доходы от строительно-монтажных работ и от реализации готового
жилья. Строительство выполняется под ключ. ОАО «ТДСК» единственная строительная
организация, которая полностью обеспечивает строительные площадки собственными
материалами, а также производственная мощность компании позволяет производить
продукцию для сторонних заказчиков.
На
предприятии имеются бетоносмесительный цех и растворо-смесительный узел,
годовая мощность которого 30 тысяч 
. С 2006
по 2011 год проводилась масштабная реконструкция завода КПД. Это делалось с
целью выпуска 14-ти этажных панельных домов с последующим переходом на 16-ти
этажные дома, а также для перехода на строительство монолитно-каркасных домов.
[3, с. 4]
В
качестве основных конкурентов организации можно назвать ГК «Дом», ООО
«Партнер-Инвест», ООО «Дирекция капитального строительства», ОАО «Агентство по
ипотечному жилищному кредитованию по Тюменской области».
Глава 3. Статистика выпуска продукции, объемов выполненных
работ, реализации товаров и оказанных услуг
ОАО
«ТДСК» является лидером по вводу метров квадратных в многоквартирных жилых
домах города Тюмени. За 2011 год ОАО «ТДСК» ввело 170 256 
(2493
квартиры), что составило 22% от всего ввода жилой площади по городу за отчетный
год.
Таблица
2 "Динамика объемов СМР"
(объемы СМР в метрах квадратных)
|
Месяц
|
Квартал
|
полугодие
|
Год
|
|
|
1
|
2
|
3
|
4
|
5
|
|
1
|
Январь
|
4050
|
I
|
11700
|
I
|
39640
|
2010
|
94290
|
0,496
|
|
2
|
февраль
|
3700
|
|
|
|
|
|
|
|
|
3
|
март
|
3950
|
|
|
|
|
|
|
|
|
4
|
апрель
|
5400
|
II
|
27940
|
|
|
|
|
1,185
|
|
5
|
май
|
8940
|
|
|
|
|
|
|
|
|
6
|
июнь
|
13600
|
|
|
|
|
|
|
|
|
7
|
июль
|
14720
|
III
|
37760
|
II
|
54650
|
|
|
1,602
|
|
8
|
август
|
12890
|
|
|
|
|
|
|
|
|
9
|
сентябрь
|
10150
|
|
|
|
|
|
|
|
|
10
|
октябрь
|
8950
|
IV
|
16890
|
|
|
|
|
0,717
|
|
11
|
ноябрь
|
4500
|
|
|
|
|
|
|
|
|
12
|
декабрь
|
3440
|
|
|
|
|
|
|
|
|
13
|
Январь
|
6560
|
I
|
15240
|
I
|
61880
|
2011
|
170256
|
0,358
|
|
14
|
февраль
|
7180
|
|
|
|
|
|
|
|
|
15
|
март
|
9500
|
|
|
|
|
|
|
|
|
16
|
апрель
|
11200
|
II
|
46640
|
|
|
|
|
1,096
|
|
17
|
май
|
11960
|
|
|
|
|
|
|
|
|
18
|
июнь
|
22480
|
|
|
|
|
|
|
|
|
19
|
июль
|
23292
|
III
|
92442
|
II
|
108376
|
|
|
2,172
|
|
20
|
август
|
25810
|
|
|
|
|
|
|
|
|
21
|
сентябрь
|
24340
|
|
|
|
|
|
|
|
|
22
|
октябрь
|
13434
|
IV
|
15934
|
|
|
|
|
0,374
|
|
23
|
ноябрь
|
6800
|
|
|
|
|
|
|
|
|
24
|
декабрь
|
7700
|
|
|
|
|
|
|
|
Индекс сезонности рассчитывается по формуле:
где

- объем
СМР за текущий квартал;

-
среднеквартальный объем СМР за текущий год.
Из
таблицы 2 «Динамика объемов СМР» видно, что ведение работ имеет сезонный
характер, и наивысший уровень загруженности производственных мощностей
предприятия приходится на теплые времена года.
За
2010 год было построено и введено 94290 метров квадратных жилой площади (1414
квартир), а за 2011 год было построено и введено 170256 метров квадратных (2493
квартиры). Отсюда можно наблюдать сильную динамику производства. В 2011 году
объем введенной площади вырос почти в 2 раза по сравнению с предыдущим годом.
На
рисунке 1 «Динамика объемов СМР» видно, что увеличение объемов строительства в
2011 году, по сравнению с 2010 годом приходится на теплые периоды года, что
также подчеркивает сезонный характер ведения работ.
Рисунок
1 «Динамика объемов СМР»
Но при этом, если смотреть объемы СМР в ценах 2001 года, то в 2010 году
по генеральному подряду было выполнено работ больше чем в 2011.
Таблица
3 "Объем СМР ценах 2001 года"
(в миллионах рублей)
|
2010 год
|
2011 год
|
2011 к 2010 в %
|
|
Выполнено по генеральному
подряду
|
452,0
|
408,7
|
90,4
|
|
Выполнено собственными
силами
|
234,7
|
240,6
|
|
Это связанно с тем, что некоторая часть домов, построенных или начатых в
2010 году, были введены в эксплуатацию только в 2011 году, что отразилась на
высоких показателях ввода жилья в этом году.
В Приложении Б представлен перечень возведенных за 2 года и введенных в
эксплуатацию зданий, их местоположение и квадратура. Согласно тем таблицам,
преобладает строительство жилых домов в панельном исполнении.
Используя данные о вводе жилья за прошлые годы, можно определить
среднегодовое изменение объемов СМР и сделать прогноз на результаты
деятельности в 2012 году и на 2013 год.
Таблица
4 "Динамика вводимой площади с 2006 года"
(в
тыс. 
)
|
|
2006
|
2007
|
2008
|
2009
|
2010
|
2011
|
Среднее значение
|
|
Ввод жилья со встроенными
подсобными помещениями
|
139,7
|
138,7
|
126,7
|
86,6
|
94,3
|
170,3
|
-
|
|
Цепное абсолютное
отклонение
|
-
|
-1
|
-12
|
-40,1
|
7,7
|
76
|
6,12
|
Из данной таблицы видно, что снижение вводимой площади наблюдается в
после кризисные годы, в том числе и в, ранее рассмотренном, 2010 году. И в 2011
году наблюдается восстановление показателей деятельности и наличие качественной
динамики. Оба этих явления взаимно гасят друг друга и в результате этого мы
получаем адекватное значение среднего абсолютного отклонения, необходимого для
прогноза.
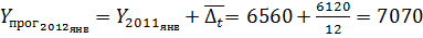
Прогноз произведем от каждого месяца на основе среднегодовой динамики:
где

-
прогнозное значение объемов СМР для -того месяца 
-того
года;

-
значение объемов СМР для -того месяца 
года;

- часть
среднегодового отклонения, приходящаяся на -тый месяц.
где

-
среднегодовое отклонение объемов СМР.
Например:

;

.
Результаты
прогноза представим в виде графика:
Рисунок
2 «Прогноз месячных показателей объемов СМР на 2012-2013 годы»
Для
дальнейшего изучения деятельности организации определим процент выполнения
плана в 2010-2011 годах и рассчитаем индекс ритмичности производства.
Таблица
5 "Оценка ритмичности выполнения производственной программы"
(Объемы СМР в метрах квадратных)
|
2010
|
2011
|
индекс ритмичности
|
% выполнения плана
|
|
план
|
факт
|
план
|
факт
|
2010
|
2011
|
2010
|
2011
|
|
I квартал
|
12000
|
11700
|
16592
|
23240
|
0,975
|
1
|
0,975
|
1,401
|
|
II квартал
|
29940
|
27940
|
36424
|
45640
|
0,933
|
1
|
0,933
|
1,253
|
|
III квартал
|
36060
|
37760
|
49350
|
73442
|
1
|
1
|
1,047
|
1,488
|
|
IV квартал
|
16290
|
16890
|
22934
|
27934
|
1
|
1
|
1,037
|
1,218
|
|
всего
|
94290
|
94290
|
125300
|
170256
|
|
На
основе данных таблицы 5 «Оценка ритмичности выполнения производственной
программы» можно сказать, что срывы выполнения плана наблюдались лишь в первом
полугодии 2010 года, но годовой план все же был выполнен, благодаря
перевыполнению во второй половине года. А в 2011 году мы видим значительное
перевыполнение плана в каждом из кварталов. Такая ритмичность связана с тем,
что после двух годов простоя, связанных с экономическим кризисом, 2011 год
ожидался таким же пессимистичным, и планировалось лишь небольшое увеличение
производства. Но на деле все оказалось не так плохо: строительство ожило
благодаря получению новых участков для строительства и заключению новых
непредвиденных договоров на строительство.
Глава
4. Статистика основных и оборотных фондов объекта обследования
Пункт
4.1 Статистика основных фондов
Для статистической оценки состава, наличия, состояния, движения и
использования основного капитала ОАО «ТДСК» за два года необходимо обратиться к
формам бухгалтерской отчетности предприятия: форма №1 «Бухгалтерский баланс»,
форма №5 «Приложение к бухгалтерскому балансу».
Данные по основным производственным фондам ОАО «ТДСК» представлены в
таблице 6 (балансовая стоимость) и таблице 7 (остаточная стоимость).
Таблица
6 "Баланс ОПФ по первоначальной стоимости"
|
Классификация объектов ОПФ
по степени участия в основном производстве
|
Наличие на начало года
|
В течение года
|
Наличие на конец года
|
|
|
Поступило
|
Выбыло
|
|
|
1
|
2
|
3
|
4
|
5=2+3-4
|
|
2010 год
|
|
1. Всего, тыс. руб.
|
1813092
|
15338
|
2086869
|
|
1.1. Активные
|
493801
|
78893
|
7569
|
565125
|
|
2. Технологическая
структура ОПФ
|
0,27
|
0,27
|
0,49
|
0,27
|
|
2011 год
|
|
1. Всего, тыс. руб.
|
2086869
|
215173
|
15511
|
2286531
|
|
1.1. Активные
|
565125
|
203547
|
8094
|
760578
|
|
2. Технологическая
структура ОПФ
|
0,27
|
0,95
|
0,52
|
0,33
|
Таблица
7 "Анализ ОПФ по остаточной стоимости"
|
Классификация объектов ОПФ
|
Наличие на начало года
|
Наличие на конец года
|
|
|
|
|
2010 год
|
|
Остаточная стоимость ОПФ
(тыс. руб.)
|
1551294
|
1763007
|
|
Износ ОПФ (тыс. руб.)
|
261798
|
323862
|
|
Износ (%)
|
14,4%
|
15,5%
|
|
2011 год
|
|
Остаточная стоимость ОПФ
(тыс. руб.)
|
1763007
|
1891998
|
|
Износ ОПФ (тыс. руб.)
|
323862
|
394533
|
|
Износ (%)
|
15,5%
|
17,3%
|
На
основе таблиц 6 и 7 рассчитаем ряд коэффициентов, касательно изменений
основного капитала ОАО «ТДСК» за 2010-2011 годы по формулам:
Объем
СМР в стоимостном выражении в 2010 году составил 3980256 тысяч рублей, в 2011
году - 6602782 тысяч рублей.
Полученные
результаты представлены в таблице 8:
Таблица
8 "Оценка наличия, движения, состояния и использования ОПФ"
|
Наименование показателей
|
2010 год
|
2011 год
|
Индекс роста
|
|
1. Среднегодовая стоимость
ОПФ
|
|
1.1. По первоначальной
стоимости
|
1949980,5
|
2186700
|
1,121
|
|
1.2. По остаточной
стоимости
|
1657150,5
|
1827502,5
|
1,103
|
|
2. Коэффициенты движения
ОПФ
|
|
2.1. Ввод
|
0,139
|
0,094
|
0,679
|
|
2.2. Выбытие
|
0,008
|
0,007
|
0,879
|
|
3. Коэффициенты состояния
ОПФ
|
|
|
|
|
3.1. Коэффициент годности
|
0,845
|
0,827
|
0,979
|
|
3.2. Коэффициент износа
|
0,155
|
0,173
|
1,112
|
|
4. Коэффициенты
использования ОПФ
|
|
4.1. Фондовооруженность
труда (тыс. руб. / чел.)
|
1472,795
|
1579,986
|
1,073
|
|
4.2. Фондоотдача (м2/ тыс.
руб.)
|
2,041
|
3,020
|
1,479
|
Из
таблицы 8 мы видим, что среднегодовая стоимость ОПФ выросла в 2011 году по
отношению к 2010 на 12,1% по первоначальной стоимости и на 10,3% по остаточной.
Так же мы видим снижение значения коэффициентов ввода и выбытия, что говорит об
ослаблении интенсивности движения основных средств. В связи с этим
увеличивается коэффициент износа на 11,2% и на 2,1% снижается коэффициент
годности основных фондов. Но, не смотря на это, к 2011 году отмечен рост
фондовооруженности труда на 7,3% и рост фондоотдачи на 47,9%, такой большой
рост данного показателя связан с резким увеличением объемов строительства в
2011 году.
Пункт 4.2 Статистика оборотного капитала
Для анализа оборотного капитала, необходимо взять данные из формы
бухгалтерской отчетности №1 «Бухгалтерский баланс».
Таблица
9 "Структурный анализ оборотного капитала"
|
Элементы оборотного
капитала
|
К концу 2010 года
|
К концу 2011 года
|
Индекс роста
|
Абсолютное изменение
капитала
|
|
тыс. руб.
|
% к итогу
|
тыс. руб.
|
% к итогу
|
|
Всего
|
в том числе за счет
|
|
|
|
|
|
|
|
общего роста капитала
|
изменения структуры
капитала
|
|
A
|
1
|
2
|
3
|
4
|
5
|
6=3-1=7+8
|
7
|
8
|
|
Всего, в т.ч.:
|
2827188
|
100%
|
3405315
|
100%
|
1,204
|
578127
|
578127,0
|
1,22E-10
|
|
1. Запасы
|
2367880
|
83,75%
|
2683840
|
78,81%
|
1,133
|
315960
|
484203,9
|
-168243,9
|
|
в т.ч. Товары
|
633540
|
22,41%
|
961373
|
28,23%
|
1,517
|
327833
|
129551,5
|
198281,5
|
|
2. Денежные средства
|
532
|
0,0188%
|
3478
|
0,102%
|
6,538
|
2946
|
108,8
|
2837,2
|
|
3. Дебиторская
задолженность
|
170575
|
6,03%
|
183798
|
5,40%
|
1,078
|
13223
|
34880,6
|
-21657,6
|
|
4. Финансовые вложения
|
288063
|
10,19%
|
534180
|
15,69%
|
1,854
|
246117
|
58905,5
|
187211,5
|
|
5. Прочие
|
138
|
0,0049%
|
19
|
0,00056%
|
0,138
|
-119
|
28,2
|
-147,2
|
Согласно
таблице 9 оборотный капитал ОАО «ТДСК» вырос к 2011 году по сравнению с 2010 на
20,4%. Этот рост обеспечен за счет увеличения значения составляющих оборотного
капитала: запасы выросли на 13,3%; денежные средства увеличились в разы и рост
составил 553,8%, по сравнению с 2010 годом; дебиторская задолженность
повысилась на 7,8%; рост финансовых вложений составил 85,4%; зато показатель
прочих элементов оборотного капитала снизился на 86,2%.
Всего
рост оборотного капитала составил 578127 тысяч рублей, обеспеченный лишь за
счет общего роста капитала, в то время как изменение структуры капитала не
оказала никакого значимого влияния.
На
основе этих данных можно рассчитать среднегодовое значение оборотного капитала,
и зная объем выполненных работ предприятия, можно определить материалоёмкость
производства, оборачиваемость капитала и продолжительность одного оборота по
формулам:
где
Д - 365 дней в году.
Полученные
данные представлены в таблице 10:
Таблица
10 "Горизонтальный анализ показателей эффективности использования оборотного
капитала"
|
Наименование показателя
|
2010
|
2011
|
Индекс роста
|
Абсолютное отклонение
|
|
A
|
1
|
2
|
3=2/1
|
4=2-1
|
|
1. Среднегодовая величина
оборотного капитала, т. р.
|
2695301
|
3116251,5
|
1,156
|
420950,5
|
|
2. Объем производства
(реализации), т. р.
|
3980256
|
6602782
|
1,659
|
2622526
|
|
3. Материалоёмкость
производства, руб./руб.
|
0,677
|
0,472
|
0,697
|
-0,205
|
|
4. Оборачиваемость
капитала, руб./руб.
|
1,477
|
2,119
|
1,435
|
0,642
|
|
5. Продолжительность одного
оборота, дн.
|
247,166
|
172,266
|
0,697
|
-74,901
|
Данные
таблицы 10 в очередной раз подчеркивают повышение эффективности деятельности
ОАО «ТДСК» в 2011 году. Повышение на 15,6% оборотного капитала поспособствовало
росту объемов производства на 65,9%. Снижение материалоемкости на 30,3% говорит
о повышении эффективности использования средств, в связи с чем снизилась
продолжительность одного оборота капитала на 75 дней.
Рисунок
3. "Горизонтальный анализ показателей эффективности использования
оборотного капитала"
На рисунке 3 видно, что снижение материалоёмкости проходит одновременно с
понижением продолжительности одного оборота капитала и, соответственно, с
повышением его оборачиваемости.
Глава 5. Статистика трудовых ресурсов объекта исследования
Пункт 5.1 Статистика кадрового состава предприятия
Общая численность работников в Компании на 31 декабря 2011 года составила
1384 человека, а текучесть кадров за отчетный год составила 13,4%.
Среднемесячная заработная плата одного работника в 2011 году по факту составила
37428 рублей.
При этом руководители составляют 11% численности работников, специалисты
- 18%, рабочие - 69%, служащие - 2%.
В таблице 11 продемонстрированы средние показатели численности работников
за месяц, за квартал, за полугодие и за год.
Таблица
11 "Динамика численности работников предприятия"
|
Месяц
|
Квартал
|
Полугодие
|
Год
|
Индекс сезонности
|
|
Январь
|
1302
|
I
|
1296
|
I
|
1319
|
2010
|
1340
|
0,968
|
|
Февраль
|
1298
|
|
|
|
|
|
|
|
|
Март
|
1289
|
|
|
|
|
|
|
|
|
Апрель
|
1306
|
II
|
1342
|
|
|
|
|
1,002
|
|
Май
|
1320
|
|
|
|
|
|
|
|
|
Июнь
|
1399
|
|
|
|
|
|
|
|
|
Июль
|
1415
|
III
|
1394
|
II
|
1360
|
|
|
1,041
|
|
Август
|
1410
|
|
|
|
|
|
|
|
|
Сентябрь
|
1358
|
|
|
|
|
|
|
|
|
Октябрь
|
1333
|
IV
|
1326
|
|
|
|
|
0,990
|
|
Ноябрь
|
1326
|
|
|
|
|
|
|
|
|
Декабрь
|
1319
|
|
|
|
|
|
|
|
|
Январь
|
1321
|
I
|
1324
|
I
|
1359
|
2011
|
1386
|
0,955
|
|
Февраль
|
1326
|
|
|
|
|
|
|
|
|
Март
|
1324
|
|
|
|
|
|
|
|
|
Апрель
|
1361
|
II
|
1395
|
|
|
|
|
1,006
|
|
Май
|
1367
|
|
|
|
|
|
|
|
|
Июнь
|
1456
|
|
|
|
|
|
|
|
|
Июль
|
1471
|
III
|
1438
|
II
|
1414
|
|
|
1,037
|
|
Август
|
1433
|
|
|
|
|
|
|
|
|
Сентябрь
|
1411
|
|
|
|
|
|
|
|
|
Октябрь
|
1395
|
IV
|
1389
|
|
|
|
|
1,002
|
|
Ноябрь
|
1388
|
|
|
|
|
|
|
|
|
Декабрь
|
1384
|
|
|
|
|
|
|
|
Согласно
таблице 11, в 2011 году среднегодовая численность работников возросла на 46
человек. Максимальные среднесписочные численности работников в рассматриваемых
периодах приходятся на III кварталы, когда строительство осуществляется
наиболее активно, что подчеркивает сезонный характер найма рабочей силы.
Рисунок
4"Динамика численности работников предприятия"
В соответствии с рисунком 4 можем говорить о сезонном характере кадровой
политики предприятия, и в связи с этим на теплые времена года приходится
максимум найма работников.
Точно такой же вывод позволяют сделать индексы сезонности.
Рисунок
5 "Индекс сезонности"
Рисунок 5 подчеркивает ярко выраженную сезонность формирования штата
предприятия.
Таблица
12. "Движение рабочей силы по предприятию 2010 год"
|
Классификация работников по
признакам
|
Наличие на начало года
|
Увольнение рабочей силы
|
Наличие на конец года
|
|
|
Всего
|
В т. ч. по источникам
|
Всего
|
В т. ч. по источникам
|
|
|
|
|
а
|
б
|
в
|
|
а
|
б
|
в
|
|
|
2010 год
|
1
|
2
|
3
|
4
|
5
|
6
|
7
|
8
|
9
|
10=1+2-6
|
|
1. Численность работников
всего, в т. ч.:
|
1302
|
425
|
342
|
45
|
38
|
403
|
190
|
65
|
148
|
1324
|
|
1.1 Мужчины
|
1163
|
351
|
298
|
23
|
30
|
276
|
115
|
48
|
113
|
1238
|
|
1.2 Молодые работники (до
25 лет)
|
349
|
350
|
267
|
45
|
38
|
317
|
151
|
54
|
112
|
382
|
|
1.3. Работники основного
производства
|
907
|
303
|
268
|
35
|
0
|
248
|
104
|
31
|
113
|
962
|
|
2. Удельные веса
|
|
|
2.1 Удельный вес мужчин (%)
|
89,3
|
82,6
|
87,1
|
51,1
|
78,9
|
68,5
|
60,5
|
74
|
76,4
|
94
|
|
2.2 Удельный вес молодых
работников (%)
|
26,8
|
82,4
|
78,1
|
100
|
100
|
78,7
|
79,5
|
83,1
|
75,7
|
28,9
|
|
2.3 Удельный вес
работников, занятых на СМР (%)
|
69,7
|
71,3
|
78,4
|
77,8
|
-
|
61,5
|
54,7
|
47,7
|
76,4
|
72,7
|
|
|
|
|
|
|
|
|
|
|
|
|
Таблица
13 "Движение рабочей силы по предприятию 2011 год"
|
Классификация работников по
признакам
|
Наличие на начало года
|
Поступление рабочей силы
|
Увольнение рабочей силы
|
Наличие на конец года
|
|
|
Всего
|
В т. ч. по источникам
|
Всего
|
В т. ч. по источникам
|
|
|
|
|
а
|
б
|
в
|
|
а
|
б
|
в
|
|
|
2011 год
|
1
|
2
|
3
|
4
|
5
|
6
|
7
|
8
|
9
|
10=1+2-6
|
|
1. Численность работников
всего, в т. ч.:
|
1324
|
378
|
289
|
47
|
42
|
318
|
184
|
53
|
81
|
1384
|
|
1.1 Мужчины
|
1238
|
304
|
234
|
36
|
34
|
233
|
126
|
39
|
68
|
1309
|
|
1.2 Молодые работники
|
382
|
304
|
215
|
47
|
42
|
249
|
156
|
31
|
62
|
437
|
|
1.3. Работники основного
производства
|
962
|
236
|
212
|
24
|
0
|
228
|
118
|
37
|
73
|
970
|
|
2. Удельные веса
|
|
|
2.1 Удельный вес мужчин (%)
|
93,5
|
80,4
|
81,0
|
76,6
|
81,0
|
73,3
|
68
|
73,6
|
84,0
|
94,6
|
|
2.2 Удельный вес молодых
работников (%)
|
28,9
|
80,4
|
74,4
|
100,0
|
100
|
78,3
|
85
|
58,5
|
76,5
|
31,6
|
|
2.3 Удельный вес
работников, занятых на СМР (%)
|
72,7
|
62,4
|
73,4
|
51,1
|
-
|
71,7
|
64
|
69,8
|
90,1
|
70,1
|
Где
источники поступления рабочей силы:
а) Организационный набор сотрудников;
б) Молодежные биржи труда, центры занятости;
в) Стипендиаты предприятий, целевой набор.
Причины увольнения:
а) По собственному желанию;
б) В связи с нарушением трудового договора;
в) Окончание срока действие договора, контракта.
Таблицы 12 и 13 позволяют рассмотреть количество нанятых и уволенных
работников за период, и выявить динамику численности персонала предприятия.
Также таблицы 12 и 13 отражают причины увольнения работников и источники
поступления рабочей силы. Так же представлены удельные веса мужчин, молодых
работников и работников СМР в структуре персонала.
Из таблиц 12, 13 видно, что за 2010 год численность работников ОАО «ТДСК»
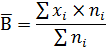
увеличилась с 1302 человек до 1324, т.е. на 22 человека. В 2011 году
наблюдается более активный рост численности предприятия - персонал к концу
периода увеличился на 60 человек.
Таблица
14 "горизонтальный анализ наличия, движения и структуры кадров"
|
Наименование показателя
|
2010
|
2011
|
Абсолютное отклонение
|
Индекс роста
|
|
1. Среднегодовая
численность работников предприятия, чел.
|
1340
|
1386
|
46
|
1,034
|
|
1.1 Количество мужчин
|
1163
|
1238
|
75
|
1,064
|
|
1.2 Количество рабочих
моложе 25 лет
|
349
|
382
|
33
|
1,095
|
|
1.3 Количество рабочих,
занятых на СМР
|
907
|
962
|
55
|
1,061
|
|
2. Структура
|
|
2.1 Удельный вес мужчин (%)
|
86,8
|
89,3
|
2,5
|
1,029
|
|
2.2 Удельный вес молодых
работников (%)
|
26,0
|
27,6
|
1,5
|
1,058
|
|
2.3 Удельный вес
работников, занятых на СМР (%)
|
67,7
|
69,4
|
1,7
|
1,025
|
Согласно
таблице 14, среднегодовая численность работников увеличилась в 2011 году на 46
человек по сравнению с 2010 годом, что составило увеличение в 1,034 раза. Также
можно отметить, что во всех рассматриваемых группах наблюдается прирост и
соответственное увеличение их доли в общей численности персонала.
На
рисунке 6 наглядно представлена динамика численности персонала, и отображено
изменение годовой среднесписочной численности рабочих.
Рисунок
6"Динамика численности работников ОАО «ТДСК»"
Рисунок
7 "Структура кадров ОАО «ТДСК»"
Рисунок 7 показывает нам, что к 2011 году по сравнению с 2010
значительных изменений в структуре персонала ОАО «ТДСК» не произошло. Мы видим
увеличение удельного веса мужчин на 2,5%, работников основного производства на
1,7% и молодых рабочих на 1,5%.
В 2010 году текучесть кадров составила 14%, в 2011 году данный показатель
снизился до 13,6%. Коэффициент текучести рассчитывается по формуле:
Для характеристики динамики численности работников ОАО «ТДСК» необходимо
так же рассчитать коэффициент оборота по приему:
Коэффициент оборота по увольнению:
Полученные результаты представлены в таблице 15.
Таблица
15"Анализ трудовых показателей"
|
Показатели
|
2010
|
2011
|
Абсолютное отклонение
|
Относительное отклонение
|
|
1
|
2
|
3
|
4=3-2
|
5=3/2
|
|
1. Среднесписочная
численность, чел
|
1340
|
1386
|
46
|
1,034
|
|
2. Коэффициент оборота по
приему, %
|
32,10%
|
27,31%
|
-4,79%
|
0,851
|
|
3. Коэффициент оборота по
увольнению, %
|
30,95%
|
24,02%
|
-6,93%
|
0,776
|
|
4. Коэффициент текучести, %
|
14,00%
|
13,60%
|
-0,40%
|
0,971
|
|
5. Коэффициент замещения
кадров
|
96,43%
|
87,94%
|
-8,49%
|
0,912
|
Так
как коэффициент замещения кадров меньше единицы, то можно говорить о расширении
штата, причем в 2011 году по сравнению с 2010 годом на 0,4% снизилась текучесть
кадров и усилилась тенденция создания новых рабочих мест, о чем свидетельствует
снижение коэффициента замещения на 8,49%.
Таблица
16 "Распределение работников по возрасту"
|
Распределение работников по
возрасту
|
летКоличество работников (n), чел
|
|
|
|
|
|
2010
|
2011
|
2010
|
2011
|
2010
|
2011
|
|
1
|
2
|
3
|
4
|
5
|
6
|
7
|
8
|
|
До 25
|
20
|
349
|
398
|
6980
|
7960
|
64063,157
|
66866,879
|
|
26-35
|
30
|
411
|
415
|
12330
|
12450
|
5175,273
|
3640,390
|
|
36-45
|
40
|
417
|
416
|
16680
|
16640
|
20607,315
|
|
Свыше 45
|
55
|
163
|
157
|
8965
|
8635
|
75007,145
|
76252,388
|
|
Всего
|
-
|
1340
|
1386
|
44955
|
45685
|
161601,847
|
167366,973
|
На
основе данных таблицы 16 можно рассчитать статистические показатели
распределения персонала ОАО «ТДСК» по возрасту: средний возраст, средний стаж,
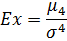
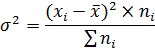
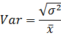
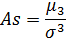
дисперсию, вариацию, моду, медиану, асимметрию и эксцесс.
Средний
возраст находится по формуле:
Зная
значение среднего возраста, можно определить средний стаж работников
предприятия:
Далее
определим дисперсию распределения, которая необходима для расчета показателя
вариации:
Вариация:
Мода
(модальный интервал в 2010 и в 2011 году - работники от 36 до 45 лет):
Медиана
(медианный интервал в 2010 и в 2011 году - работники от 26 до 35 лет):
Асимметрия:
Эксцесс:
Полученные
результаты представлены в таблице 17.
Таблица
17 "Показатели распределения работников ОАО «ТДСК» по возрасту"
|
|
|
.    
|
|
|
|
|
|
|
|
2010
|
33,55
|
17,55
|
120,60
|
32,73%
|
36,23
|
33,81
|
0,470
|
2,415
|
|
2011
|
32,96
|
16,96
|
120,76
|
33,34%
|
36,04
|
33,11
|
0,515
|
2,440
|
Пункт
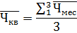
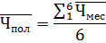
5.2 Статистика рабочего времени ОАО «ТДСК»
Затраты труда характеризует показатель, связывающий количество рабочих с
отработанным временем. Общая масса затрат живого труда измеряется в
человеко-днях или человеко-часах отработанного времени.
Таблица
18 "Баланс использования ресурсов времени за 2011 год"
|
Направления использования
источников времени
|
Всего, чел-дн
|
В том числе по категориям
|
В % к КФВ
|
Всего, чел-час
|
|
|
Рабочие
|
Специалисты
|
Служащие
|
|
|
|
А
|
1
|
2
|
3
|
4
|
5
|
6
|
|
1. Явочный фонд
|
259690
|
180314
|
45776
|
6971
|
51,33%
|
2077520
|
|
1.1. Отработано работниками
|
259690
|
180314
|
45776
|
6971
|
51,33%
|
2077520
|
|
1.2. Внутрисменные простои
|
0
|
0
|
0
|
0
|
0,00%
|
0
|
|
2. Не использовано по
уважительным причинам
|
203193
|
138963
|
37716
|
5381
|
40,17%
|
1625544
|
|
2.1. Праздничные, выходные
дни
|
162162
|
111852
|
29250
|
4329
|
32,05%
|
1297296
|
|
2.2. Ежегодные очередные
отпуска
|
38808
|
26768
|
7000
|
1036
|
7,67%
|
310464
|
|
2.3. Учебные отпуска
|
2055
|
255
|
1410
|
0
|
0,41%
|
16440
|
|
2.4. Неявки по больничным
листкам
|
168
|
88
|
56
|
16
|
0,03%
|
1344
|
|
3. Потери рабочего времени
|
41
|
27
|
8
|
6
|
0,01%
|
328
|
|
3.1. Прогулы
|
30
|
23
|
3
|
4
|
0,01%
|
240
|
|
3.2. Неявки с разрешения
администрации
|
11
|
4
|
5
|
2
|
0,00%
|
88
|
|
3.3. Забастовки
|
0
|
0
|
0
|
0
|
0,00%
|
0
|
|
Баланс
|
462924
|
319304
|
83500
|
12358
|
91,51%
|
3703392
|
Таблица
19 "Динамика показателей использования рабочего времени"
|
Показатели
|
2010
|
2011
|
Абсолютное изменение
|
|
Среднегодовая численность
работников, чел
|
1340
|
1386
|
46
|
|
Численность работников
основного вида деятельности
|
935
|
966
|
31
|
|
Уд. Вес работников
основного вида деятельности в общей численности
|
69,78%
|
69,70%
|
-0,08%
|
|
Отработано дней всеми
работниками за год, чел-дн
|
263075
|
259690
|
-3385
|
|
Отработано часов всеми
работниками за год, чел-час
|
2104600
|
2077520
|
-27080
|
|
Отработано дней одним
работником в год, дни
|
196,32
|
187,37
|
-8,96
|
Из
таблицы 19 видно, что величина отработанного времени в 2011 году снизилась на
3385 человеко-дней, что связано с уменьшением среднего рабочего времени одного
работника на 9 дней. Соответственно снизилось и количество отработанных
человеко-часов на 27080.
Пункт 5.3. Статистика эффективности использования труда
С помощью индексного метода анализа определим влияние некоторых факторов
на производительность труда работника за год, на объем производства и на
трудоемкость производства единицы товара.
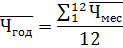
Необходимые для анализа данные представлены в таблице 20.
Таблица
20 "Динамика выработки"
|
Показатели
|
2010
|
2011
|
Индекс роста
|
|
Среднегодовая численность
работников, чел ( )134013861,034
|
|
|
|
|
в т.ч. занятых в основном
производстве
|
935
|
966
|
1,033
|
|
Удельный вес работников
основного вида деятельности ( )69,78%69,70%0,999
|
|
|
|
|
Объем выполненных работ,
тыс. руб. ( )398025666027821,659
|
|
|
|
|
Часовая выработка,
приходящаяся в среднем на 1 работника, тыс. руб. ( )1,8913,1781,681
|
|
|
|
|
Продолжительность рабочего
дня ( )881,000
|
|
|
|
|
Количество рабочих дней ( )2332170,931
|
|
|
|
|
Трудозатраты, чел-дн. ( )2630752596900,987
|
|
|
|
|
Производительность труда
одного работника в год, тыс. руб. ( )2970,344763,911,604
|
|
|
|
Влияние
изменения доли работников основного производства на годовую производительность
труда одного работника:
В
результате снижения доли работников основного производства на 0,01% к 2011 году
снизилась годовая производительность труда одного работника 2,97 тысяч рублей в
год.
Влияние
изменения количества рабочих дней в году на годовую производительность труда
одного работника:
В
результате сокращения количества рабочих дней в году на 16 годовая
производительность труда одного работника снизилась на 204,749 тысяч рублей в
год.
Продолжительность
рабочего дня осталось неизменной, поэтому она не оказала никакого влияния на
годовую производительность труда работника.
Влияние
роста часовой производительности труда работников на годовую производительность
труда одного работника:
Повышение
часовой производительности труда работников на 68,1% повлекло за собой рост
годовой производительности труда на 1881,345 тысяч рублей в год. В данном
случае имеет место интенсивное увеличение производительности труда работников.
Далее
рассмотрим влияние изменений часовой производительности труда, количества
рабочих дней и среднесписочной численности работников на объем производства
предприятия. Ранее было отмечено, что в 2011 году ОАО «ТДСК» увеличило свое
производство в основном за счет освоения новых участков для застройки, в данной
модели этот фактор учитывается в показателе часовой производительности труда
работников.
Влияние
изменения среднесписочной численности работников на объем производства:
Повышение
среднесписочной численности работников на 46 человек повлияло на увеличение
объема работ на 135328,704 тысяч рублей.
Влияние
изменения количества рабочих дней на объем производства:
Меньшее
количество рабочих дней в 2011 году отразилось на снижении объемов производства
в размере 283975,345 тысяч рублей.
Влияние
изменения часовой производительности труда работников на объем производства:
Значительный
рост часовой производительности труда работников на 68,1% привел к повышению
объемов производства на 2609325,974 тысяч рублей.
Всего,
в результате влияния рассмотренных факторов, объемы производства в 2011 годы
выросли на 2460679,333 тысяч рублей.
Изменение
трудоемкости работ связано с изменением объемов производства и трудозатрат.
Влияние
изменения объемов производства ОАО «ТДСК» на трудоемкость работ:
Влияние
изменения трудозатрат предприятия на трудоемкость производимых работ:
Как
можно заметить, изменение объемов производства и трудозатрат предприятия
вызвало малозначительное снижение трудоемкости предприятия.
Пункт 5.4 Статистика оплаты труда работников
В связи с увеличением производства и соответственным повышением
показателей эффективности деятельности ОАО «ТДСК» в 2011 году выросли так же и
показатели заработной платы рабочих (таблица 21).
Таблица
21 "Динамика заработной платы рабочих ОАО «ТДСК»"
|
Вид оплаты
|
2010
|
2011
|
Индекс роста
|
Абсолютное отклонение
|
|
1. Средний уровень
заработной платы в месяц, руб.
|
32211
|
37428
|
116,20%
|
5217
|
|
1.2. в день, руб.
|
1464,136
|
1701,273
|
116,20%
|
237,136
|
|
1.3. в час, руб.
|
183,017
|
212,659
|
116,20%
|
29,642
|
|
2. Фонд оплаты труда в месяц,
тыс. руб.
|
46291,83
|
46885,08
|
101,28%
|
593,250
|
|
2.1. в год, тыс. руб.
|
555502
|
562621
|
101,28%
|
7119,000
|
Согласно
таблице 21 в 2011 году средняя заработная плата одного работника возросла на
5217 рублей, что составило 16,2%. Повышение средней заработной платы и
увеличение численности персонала привело к росту фонда заработной платы
предприятия на 1,28%.
Так
же стоит отметить, что средняя заработная плата персонала ОАО «ТДСК» в 2011
году почти в 6 раз больше величины прожиточного минимума в Тюмени, что говорит
о достаточно высоком уровне обеспеченности среднего работника предприятия.
Реальная
заработная плата работника определяется следующим образом:
где:

-
номинально-начисленная зарплата работника;

- ставка
налога на доходы физических лиц (13%)
Тогда
реальная заработная плата работника в 2010 году будет ровна:
В
2011 году:
Чтобы
оценить реальную динамику заработной платы необходимо учесть индекс
покупательской стоимости рубля. Тогда реальная динамика заработной платы
работника будет рассчитываться по формуле:
Где
индекс покупательской способности рубля является величиной обратной индексу
потребительских цен:
По
данным территориального органа федеральной службы государственной статистики по
Тюменской области в 2011 году индекс потребительских цен составил 104,9%, тогда
реальная динамика заработной платы работника составит:
То
есть в 2011 году реальная заработная плата работников ОАО «ТДСК» выросла на
10,8%.
Глава 6. Статистика финансовых результатов деятельности
предприятия
Одним из показателей эффективности деятельности предприятия является
показатель затрат на один рубль реализации. Величина данного показателя прямо
пропорциональна себестоимости работ и обратно пропорциональна объему
выполненных работ:
Далее рассмотрим изменение данного показателя за два года и определим
влияние ценовой стратегии и стратегии формирования затрат на производство на
это изменение.
Абсолютный прирост показателя за год составил:
В 2011 году затраты на 1 рубль реализации снизились лишь на 0,11 рублей,
в том числе за счет факторов:
· Ценовой стратегии и плана сбыта:
· Стратегии формирования затрат на производство:
В то время, как увеличение объемов производства привело к снижению затрат
на рубль реализации на 0,35 рублей, соответственное повышение себестоимости
работ повлекло за собой увеличение затрат на рубль реализации на 0,24 рубля.
Далее проведём структурный анализ затрат ОАО «ТДСК» (элементная
группировка), с целью более детального их изучения. Определим динамику и
удельные веса элементов затрат.
Таблица
22 "Структурный анализ затрат"
|
Элементы затрат
|
2010
|
2011
|
Индекс роста
|
Абсолютный прирост
|
|
тыс. руб.
|
% к итогу
|
тыс. руб.
|
% к итогу
|
|
Показателя
|
Удельного веса
|
|
Всего затраты, в том числе:
|
3115100
|
100,0%
|
3830443
|
100,0%
|
1,230
|
715343
|
0,0%
|
|
Поставщикам за сырье,
материалы, работы и услуги
|
1864976
|
59,9%
|
2466015
|
64,4%
|
1,322
|
601039
|
4,5%
|
|
Фонд оплаты труда
|
555502
|
17,8%
|
562621
|
1,013
|
7119
|
-3,1%
|
|
Процент по долговым
обязательствам
|
42252
|
1,4%
|
18609
|
0,5%
|
0,440
|
-23643
|
-0,9%
|
|
Налог на прибыль
|
40306
|
1,3%
|
57982
|
1,5%
|
1,439
|
17676
|
0,2%
|
|
Прочие платежи
|
612064
|
19,6%
|
725216
|
18,9%
|
1,185
|
113152
|
-0,7%
|
По
данным таблицы 22 можно сказать, что в 2011 году значительно выросли затраты
предприятия на 715343 тысяч рублей, при чем в структуре этих затрат вырос
удельный вес платежей поставщикам и подрядчикам за работы и услуги на 4,5%,
связанных с увеличением производства в 2011 году.
Соответственно
снизились удельные веса других элементов затрат, но не смотря на это, абсолютное
значение величины платежей в 2011 году увеличилось, снизились лишь выплаты за
проценты по долговым обязательствам на 56%, что составляет 23643 тысячи рублей.
Рисунок
8 "Структура затрат ОАО «ТДСК»"
На рисунке 8 можно увидеть соотношение удельных весов элементов затрат и
оценить их изменение в 2011 году по сравнению с 2010 годом.
Материальные расходы предприятия на услуги субподрядчиков и изготовление
материалов (МР) можно сопоставить с объемом выполненных работ (Q) и определить материалоёмкость
производственных процессов компании:
Согласно данным расчётам, в 2011 году выполнение работ на тысячу рублей
требует 373 рубля материальных затрат, что на 96 рублей меньше, чем в 2010
году. Данная тенденция объясняется применением наиболее эффективных способов
ведения работ.
Повышение производства и снижение материалоемкости трудовых процессов
оказало влияние на величину финансовых результатов ОАО «ТДСК».
Таблица
23 "Динамика финансовых результатов деятельности ОАО «ТДСК»"
|
Наименование показателя
|
2010
|
2011
|
Индекс роста
|
Абсолютное отклонение
|
|
1. Выручка от реализации
продукции, тыс. руб.
|
3980256
|
6602782
|
165,9%
|
2622526
|
|
2. Себестоимость продаж,
тыс. руб.
|
3481835
|
5034859
|
144,6%
|
1553024
|
|
3. Валовая прибыль, тыс.
руб.
|
498421
|
1567923
|
314,6%
|
1069502
|
Первое
на что стоит обратить внимание в таблице 23 это рост на 214,6% показателя
валовой прибыли. Значительный рост себестоимости продаж на 44,6%
поспособствовал росту показателя выручки от реализации продукции на 65,9%. В
виду того, что темпы роста выручки значительно опережают темпы роста
себестоимости продаж, разность этих показателей, т.е. валовая прибыль, приобретает
высокие значения.
Рисунок
9 "Динамика финансовых результатов деятельности ОАО «ТДСК»"
На рисунке 9 видно, что наибольший темп роста имеет выручка от реализации
продукции и значительно опережает рост себестоимости.
Часть 2. Прогноз технико-экономических показателей деятельности
предприятия
В данной части курсовой работы, на основе показателей выпуска продукции,
среднегодовой величины оборота капитала и среднегодовой стоимости ОПФ будет
проведена комплексная оценка влияния перечисленных факторов на результативный
показатель численности работников предприятия.
Таблица
24. "Исходные данные для прогноза среднемесячной численности
работников"
|
Месяц
|
Среднемесячная численность
работников, чел ( Среднегодовая стоимость ОПФ, тыс. руб. ( Среднегодовая величина оборотного капитала, тыс.
руб. ( Выпуск (реализация) продукции, тыс. руб. (Q)
|
|
|
|
|
Январь
|
1321
|
2086869
|
2827188
|
249280
|
|
Февраль
|
1326
|
2086869
|
2790046
|
272840
|
|
Март
|
1324
|
2086869
|
2951091
|
361000
|
|
Апрель
|
1361
|
2217475
|
2913037
|
425600
|
|
Май
|
1367
|
2217475
|
2998274
|
454480
|
|
Июнь
|
1456
|
2217475
|
3085562
|
854240
|
|
Июль
|
1471
|
2217475
|
3181106
|
885096
|
|
Август
|
1433
|
2217475
|
3258190
|
980780
|
|
Сентябрь
|
1411
|
2201964
|
3297904
|
924920
|
|
Октябрь
|
1395
|
2201964
|
3325963
|
510492
|
|
Ноябрь
|
1388
|
2201964
|
3361345
|
258400
|
|
Декабрь
|
1384
|
2286531
|
3405315
|
292600
|
|
Ср. знач.
|
1386
|
2186700
|
3116252
|
539144
|
На
основе исходных данных, представленных в таблице 24, через программу Excel
был проведён корреляционный анализ, с целью определения степени влияния
результирующих факторов на результативный показатель численности работников
предприятия.
Таблица
25. "Матрица линейных коэффициентов"
|
|
|
|
Q
|
|
|
1
|
|
|
|
|
|
0,674145414
|
1
|
|
|
|
|
0,603355127
|
0,731016537
|
1
|
|
|
Q
|
0,83044729
|
0,382675989
|
0,338651885
|
1
|
В
соответствии с результатами корреляционного анализа (таблица 25) можем
утверждать:
· наибольшее влияние из анализируемых технико-экономических
показателей на численность персонала ОАО «ТДСК» оказывает производственная
программа предприятия (0,83 - тесная связь);
· второе место по важности имеет материально-техническое
оснащение предприятия (0,674 - умеренная связь);
· следовательно, наименьшее влияние из анализируемых ТЭП на
численность предприятия оказывает величина оборотного капитала (0,603 -
умеренная связь).
Используя те же исходные данные, проведём регрессионный анализ и построим
уравнение множественной регрессии, на основе которого определим теоретически
возможную численность персонала в каждом месяце.
Таблица
26 "Результаты регрессионного анализа"
|
Регрессионная статистика
|
|
Множественный R
|
0,921601504
|
|
R-квадрат
|
0,849349331
|
|
Нормированный R-квадрат
|
0,792855331
|
|
Стандартная ошибка
|
22,83955346
|
|
Наблюдения
|
12
|
|
Коэффициенты
|
|
Y-пересечение
|
684,9900235
|
|
Переменная X 1
|
0,000241673
|
|
Переменная X 2
|
3,56E-05
|
|
Переменная X 3
|
0,000115163
|
Множественный коэффициент корреляции подчеркивает сильную связь между
рассматриваемыми факторами (0,921), при чем ОПФ, выпуск продукции и оборотный
капитал одновременно оказывают влияние на уровень вариации численности
персонала ОАО «ТДСК» в размере 84,9% (R-квадрат), следовательно, на неучтенные факторы приходится всего 15,1%
вариации численности работников.
Уравнение множественной регрессии имеет вид:
С помощью данного уравнения определим теоретически возможную численность
работников в каждом месяце 2011 года.
Таблица 27.
|
Месяц
|
Фактическая среднемесячная
численность работников, чел
|
|
|
Q
|
Теоретическая
среднемесячная численность работников, чел
|
|
Январь
|
1321
|
2086869
|
2827188
|
249280
|
1319
|
|
Февраль
|
1326
|
2086869
|
2790046
|
272840
|
1320
|
|
Март
|
1324
|
2086869
|
2951091
|
361000
|
1336
|
|
Апрель
|
1361
|
2217475
|
2913037
|
425600
|
1374
|
|
Май
|
1367
|
2217475
|
2998274
|
454480
|
1380
|
|
Июнь
|
1456
|
2217475
|
3085562
|
854240
|
1429
|
|
Июль
|
1471
|
2217475
|
3181106
|
885096
|
1436
|
|
Август
|
1433
|
2217475
|
3258190
|
980780
|
1450
|
|
Сентябрь
|
1411
|
2201964
|
3297904
|
924920
|
1441
|
|
Октябрь
|
1395
|
2201964
|
3325963
|
510492
|
1394
|
|
Ноябрь
|
1388
|
2201964
|
3361345
|
258400
|
1366
|
|
Декабрь
|
1384
|
2286531
|
3405315
|
292600
|
1392
|
Отклонение фактической численности работников от теоретической
численности наблюдается в каждом месяце, для наглядности отразим эти результаты
на графике.
Рисунок
10 "Отклонение фактической численности работников от теоретически
возможной численности"
В виду сезонного характера набора работников нельзя сделать прогноз
среднемесячной численности персонала методом экстраполяции на основе средних
величин, абсолютного прироста и индекса роста.
Заключение
В данной курсовой работе наглядно продемонстрированы показатели
деятельности Открытого Акционерного Общества «Тюменская Домостроительная
Компания» в 2010 и 2011 годах, подкрепленные графическим отображением.
В том числе, в рассматриваемом периоде были рассчитаны показатели
динамики производства предприятия, величины основных фондов и оборотного
капитала, а также численности персонала. Все расчеты подытожены
соответствующими выводами и графическим оформлением.
При анализе персонала предприятия были рассчитаны коэффициенты
отображающие эффективность использования рабочего времени и эффективность
использования труда. В том числе была определена средняя производительность
труда одного работника в год, в месяц, в день и в час. Так же был выявлен
средний возраст работников компании. При анализе движения работников были
определены основные источники найма и причины выбытия работников, данный анализ
содержит расчет коэффициента текучести кадров, коэффициент оборота по приему,
коэффициент оборота по увольнению и коэффициент замещения кадров.
Для расчета эффективности деятельности предприятия были сопоставлены
такие показатели как себестоимость продаж и величина выручки от реализации. Так
же были определены удельные веса различных платежей в общем объем затрат
предприятия ОАО «ТДСК».
В итоге можно утверждать, что ОАО «ТДСК» имеет высокие показатели
деятельности и тенденцию роста производства, в виду чего оно является
лидирующим предприятием на рынке жилья в городе Тюмени. Так же стоит отметить,
что для предприятия характерен сезонный тип производства. Такие выводы были
сделаны на основе показателей среднемесячных объемов производства и
среднемесячной численности персонала.
В 2011 году значительно вырос объем реализации продукции, увеличилась
производительность труда работников, пополнились основные производственные
фонды.
Список литературы
1. Устав
ОАО «ТДСК»;
. Пояснительная
записка к годовому бухгалтерскому отчету ОАО «ТДСК» за 2010 год;
. Пояснительная
записка к годовому бухгалтерскому отчету ОАО «ТДСК» за 2011 год;
. Годовой
отчет ОАО «ТДСК» за 2010 год;
. Годовой
отчет ОАО «ТДСК» за 2011 год;
Приложения
Приложение А
Виды деятельности осуществляемые ОАО «ТДСК»:
) проектирование и строительство жилых домов, объектов
социального, культурно-бытового, промышленного и сельскохозяйственного
назначения;
) производство строительных материалов и переработка отходов
производства;
) производство товаров народного потребления, заготовка сельхозпродукции
для столовой общества, а также торговля продуктами питания через столовую,
киоски и буфеты;
) проведение научно-исследовательских работ в строительстве и
производстве строительных материалов;
) проведение рекламных мероприятий и оказание справочно-информационных
услуг в области деятельности общества;
) оказание различного вида услуг населению, в том числе ремонт
квартир, домов и зданий другого назначения;
) осуществление снабженческо-сбытовой деятельности своей продукции
и товаров народного потребления;
) сдача в аренду производственных площадей и помещений,
механизмов, машин и другого имущества;
) эксплуатация грузоподъемных кранов, сосудов, работающих под
давлением, лифтов, котельных установок, монтаж и наладка приборов и устройств
безопасности;
) монтаж лифтов и грузоподъемных кранов;
11) производство электромонтажных работ;
) обучение рабочих основных профессий, связанных с эксплуатацией
объектов Госгортехнадзора путем создания структурных подразделений;
13) разработка проектов производства работ кранами, технологических
карт погрузочно-разгрузочных работ;
) изготовление съемных грузозахватных приспособлений и тары с
разработкой нормативно-технической документации;
) погрузка, транспортировка сжиженного газа в баллонах;
) монтаж и наладка лифтов;
) добыча нерудных строительных материалов;
) производство и реализация тепловой энергии;
) осуществление медицинской деятельности, в том числе оказание
платных медицинских услуг;
) осуществление риэлтерской деятельности;
) деятельность по эксплуатации электрических сетей;
) деятельность по эксплуатации тепловых сетей;
) погрузо-разгрузочная деятельность на железнодорожном транспорте;
) деятельность по эксплуатации газовых сетей;
) приемка и хранение нефти, газа и продуктов их переработки;
) эксплуатация взрывоопасных производственных объектов;
) эксплуатация пожароопасных производственных объектов;
) организация культурно-массовых и спортивно-оздоровительных
мероприятий;
) иные виды деятельности, не запрещенные законодательством
Российской Федерации.
Приложение Б
«Ввод жилья за 2010 год в разрезе объектов»
№
П/п Наименование объектов Введено 
Дата
|
Ввода
|
|
|
|
Панельное строительство
|
|
1
|
Жилой дом ГП - 57.1 жил.
Р-н «Восточный-2»
|
3 141
|
Июнь
|
|
2
|
Жилой дом ГП - 57.3 жил.
Р-н «Восточный-2»
|
7 869
|
Июнь
|
|
3
|
Жилой дом ГП - 63.1 жил.
Р-н «Восточный-2»
|
7 867
|
Июнь
|
|
4
|
Жилой дом ГП - 63.3 жил.
Р-н «Восточный-2»
|
3 659
|
Июнь
|
|
5
|
Жилой дом ГП - 49 жил. Р-н
«Восточный-2»
|
6 292
|
Июнь
|
|
6
|
Жилой дом ГП - 44 жил. Р-н
«Восточный-2»
|
18 362
|
Июнь
|
|
7
|
Жилой дом ГП - 1 мкр.№3
жил. Р-н «Тюменский»
|
14 031
|
Декабрь
|
|
8
|
Жилой дом ГП - 2 мкр.№3
жил. Р-н «Тюменский»
|
7 282
|
Декабрь
|
|
9
|
Жилой дом ГП - 3 мкр.№3
жил. Р-н «Тюменский»
|
11 593
|
Декабрь
|
|
ИТОГО:
|
|
|
Кирпичное строительство
|
|
10
|
Встроенно-пристроенное
нежилое помещение ГП - 199 жил. Р-н «Восточный-2»
|
219
|
Июнь
|
|
11
|
Жилой дом ГП - 8Б жил. Р-н
«Восточный-2»
|
1 118
|
Октябрь
|
|
12
|
Жилой дом ГП - 63.2 жил.
Р-н «Восточный-2»
|
4 151
|
Октябрь
|
|
13
|
Жилой дом ГП - 57.2 жил.
Р-н «Восточный-2»
|
4 105
|
Октябрь
|
|
14
|
Жилой дом ГП - 1А мкр.№3
жил. Р-н «Тюменский»
|
4 197
|
Декабрь
|
|
ИТОГО:
|
13 790
|
|
|
Каркасно-монолитное
строительство
|
|
15
|
Административное здание ГП
- 8А
|
404
|
Октябрь
|
|
ВСЕГО:
|
94 290
|
|
«Ввод жилья за 2011 год в разрезе объектов»
|
№ П/п
|
Наименование объектов
|
Введено  Дата
Ввода
|
|
|
Панельное строительство
|
|
1
|
Жилой дом ГП - 6 мкр.№3
жил. Р-н «Тюменский»
|
10 404
|
Февраль
|
|
2
|
Жилой дом ГП - 9 мкр.№3
жил. Р-н «Тюменский»
|
14 581
|
Февраль
|
|
3
|
Жилой дом ГП - 10 мкр.№3
жил. Р-н «Тюменский»
|
8 535
|
Май
|
|
4
|
Жилой дом ГП - 11 мкр.№3
жил. Р-н «Тюменский»
|
8 514
|
Май
|
|
5
|
Жилой дом ГП - 24 мкр.№3
жил. Р-н «Тюменский»
|
12 799
|
Май
|
|
6
|
Жилой дом ГП - 12 мкр.№3
жил. Р-н «Тюменский»
|
3 043
|
Май
|
|
7
|
2-х этажное здание ЖЭС
мкр.№3 жил. Р-н «Тюменский»
|
448
|
Июнь
|
|
8
|
Жилой дом ГП - 15 мкр.№3
жил. Р-н «Тюменский»
|
7 291
|
Июнь
|
|
9
|
Жилой дом ГП - 16 мкр.№3
жил. Р-н «Тюменский»
|
3 050
|
Июнь
|
|
10
|
Жилой дом ГП - 23 мкр.№3
жил. Р-н «Тюменский»
|
11 605
|
Июнь
|
|
11
|
Жилой дом ГП - 13 мкр.№3
жил. Р-н «Тюменский»
|
17 015
|
Июль
|
|
12
|
Жилой дом ГП - 18 мкр.№3
жил. Р-н «Тюменский»
|
12 787
|
Сентябрь
|
|
13
|
Жилой дом ГП - 21 мкр.№3
жил. Р-н «Тюменский»
|
7 287
|
Декабрь
|
|
14
|
Жилой дом ГП - 22 мкр.№3
жил. Р-н «Тюменский»
|
10 983
|
Декабрь
|
|
15
|
Жилой дом ГП - 1 Тюменская
область, г. Тюмень
|
30579
|
Декабрь
|
|
ИТОГО:
|
158 921
|
|
|
Кирпичное строительство
|
|
16
|
Жилой дом ГП - 8 мкр.№3
жил. Р-н «Тюменский»
|
4 185
|
Август
|
|
17
|
Жилой дом ГП - 11А мкр.№3
жил. Р-н «Тюменский»
|
4 221
|
Сентябрь
|
|
ИТОГО:
|
8 406
|
|
|
Каркасно-монолитное
строительство
|
|
18
|
ГП - 4 Торгово-офисное
здание
|
1 461
|
Июнь
|
|
19
|
ГП - 5 Торгово-офисное
здание
|
1 468
|
Июнь
|
|
ИТОГО:
|
2 929
|
|
|
ВСЕГО:
|
170 256
|
|