Комплексный экономический анализ хозяйственной деятельности предприятия ООО 'СибКрепМаркет'

  • Вид работы:
    Курсовая работа (т)
  • Предмет:
    Эктеория
  • Язык:
    Русский
    ,
    Формат файла:
    MS Word
    726,47 Кб
  • Опубликовано:
    2013-05-30
Вы можете узнать стоимость помощи в написании студенческой работы.
Помощь в написании работы, которую точно примут!

Комплексный экономический анализ хозяйственной деятельности предприятия ООО 'СибКрепМаркет'

ПЛАН

ВВЕДЕНИЕ       

1. АНАЛИЗ ПРОИЗВОДСТВА И РЕАЛИЗАЦИИ ПРОДУКЦИИ    

1.1 Анализ выпуска и реализации продукции

1.2 Оценка выполнения плана по выпуску продукции     

1.3 Анализ выпуска продукции предприятия по ассортименту

1.4 Анализ ритмичности и равномерности выполнения плана по выпуску продукции

1.5 Анализ качества продукции и резервов увеличения объема выпуска продукции   

2.АНАЛИЗ ОСНОВНЫХ ФОНДОВ ПРЕДПРИЯТИЯ И ИХ ИСПОЛЬЗОВАНИЯ     

2.1 Динамика среднегодовой стоимости основных фондов предприятия

2.2 Анализ структуры основных фондов предприятия    

2.3 Анализ движения основных фондов

2.4 Анализ состояния основных фондов        

2.5 Анализ использования основных фондов

2.6 Анализ резервов использования основных фондов   

3.АНАЛИЗ ИСПОЛЬЗОВАНИЯ ТРУДА И ЗАРАБОТНОЙ ПЛАТЫ

3.1 Анализ обеспеченности предприятия кадрами  

3.2 Анализ движения трудовых ресурсов

3.3 Факторный анализ производительности труда 

3.4 Анализ затрат на оплату труда

4. АНАЛИЗ ЗАТРАТ НА ПРОИЗВОДСТВО И РЕАЛИЗАЦИЮ ПРОДУКЦИИ

4.1 Анализ затрат на рубль товарной продукции   

4.2 Анализ состава и структуры затрат по экономическим элементам

4.3 Анализ факторов и резервов снижения затрат  

5.АНАЛИЗ ФИНАНСОВЫХ РЕЗУЛЬТАТОВ       

5.1 Анализ динамики прибыли    

5.2 Анализ факторов прибыли и ее использования

5.3 Анализ показателей рентабельности        

5.4 Анализ резервов увеличения прибыли и рентабельности   

6. Анализ финансового состояния предприятия      

6.1 Анализ имущества предприятия      

6.2 Анализ источников средств предприятия 

6.3. Анализ показателей финансовой устойчивости предприятия      

6.4 Анализ типа финансовой устойчивости предприятия

6.5 Анализ показателей ликвидности предприятия и его баланса

6.6 Комплексная оценка финансово-хозяйственной деятельности и состояния организации

ЗАКЛЮЧЕНИЕ

СПИСОК ИСПОЛЬЗОВАННОЙ ЛИТЕРАТУРЫ

ВВЕДЕНИЕ

производительность основной фонд затрата

В условиях многогранности и сложности экономических отношений между хозяйствующими субъектами существенно возрастают приоритетность и роль экономического анализа, основным содержанием которого является комплексное системное исследование механизма финансовой стабильности и финансовой безопасности организации.

Анализ финансово-хозяйственной деятельности - это один из главных элементов менеджмента любой организации. С помощью комплексного анализа изучаются тенденции развития, глубоко и системно анализируются факторы изменений результатов деятельности, обосновываются бизнес-планы и управленческие решения, осуществляется контроль за их выполнением, выявляются резервы повышения эффективности производства, оцениваются результаты деятельности предприятия, вырабатывается экономическая стратегия его развития. Результаты такого анализа нужны, прежде всего, внутренним пользователям (руководству, учредителям, экономическим службам), а также внешним пользователям (кредиторам, инвесторам, поставщикам, налоговым службам) для выработки рациональных управленческих решений.

Данная тема является актуально потому, что устойчивое финансовое положение предприятия является результатом умелого, просчитанного управления всей совокупностью производственных и хозяйственных факторов, определяющих результаты деятельности предприятия.

Предметом исследования курсовой работы является анализ хозяйственной деятельности предприятия.

Целью написания данной курсовой работы является:

закрепление и углубление знаний, полученных в процессе теоретического изучения курса «Комплексный экономический анализ хозяйственной деятельности»;

выработка навыков самостоятельной творческой работы и умение применять полученные знания для комплексного анализа экономических результатов деятельности предприятий;

умение пользоваться литературой, справочными и статистическими материалами.

Для достижения поставленных мною целей необходимо решить следующие задачи:

объективно оценить степень выполнения плана, динамику производства и реализации продукции;

определить экономическую эффективность использования трудовых, материальных и финансовых ресурсов;

определить влияние различных факторов на изменение величины этих показателей;

выявить внутрихозяйственные резервы увеличения выпуска и реализации продукции;

разработать мероприятия по освоению выявленных резервов.

Краткая характеристика предприятия

Общество с ограниченной ответственностью «СибКрепМаркет» зарегистрировано 28 марта 2002 г. № 218, является предприятием, основанным на коллективной форме собственности, и действует в соответствии с законодательством Российской Федерации, Уставом и Учредительным договором.

Предприятие приобрело право юридического лица с момента регистрации, имеет обособленное имущество, самостоятельный баланс, может от своего имени заключать договора, приобретать имущественные и личные неимущественные права и нести обязанности, быть истцом и ответчиком в суде.

Имеющиеся у общества средства, в том числе от распродажи имущества, после расчетов по оплате труда, выполнения обязательств перед кредиторами и бюджетом, распределяются между участниками. Разделение осуществляется путем создания на основе одного общества новых самостоятельных юридических лиц, с разделением балансов и капиталов.

Общество «СибКрепМаркет» создавалось в целях:

удовлетворения общественных потребностей в хлебе и хлебобулочных изделиях;

получения прибыли от производства и реализации хлеба и хлебобулочных изделий.

Предприятие занимается следующими видами деятельности:

производством и реализацией хлеба, хлебобулочных и кондитерских изделий;

розничной торговлей;

другими видами деятельности не запрещенными законодательством и указанными в Уставе.

Основными поставщиками сырья ООО «СибКрепМаркет» являются ОАО «Холодильник», ЗАО «Солнышко», ООО «Владимир Иванович», ООО «Метро», и т.д.

ООО «СибКрепМаркет» является клиентом Сбербанка и имеет рублевый и валютный расчетные счета.

Товары для продажи в ООО «СибКрепМаркет» поступают от производственных предприятий, оптовых организаций, от фирм, ведущих внешнюю торговлю, со складов и т. д.

Поступающие товары имеют сопроводительные документы (счета-фактуры, товарно-транспортные накладные, накладные и др.), предусмотренные условиями поставки товаров.

На данный момент численность сотрудников ООО «СибКрепМаркет» составляет 74 человек.

.АНАЛИЗ ПРОИЗВОДСТВА И РЕАЛИЗАЦИИ ПРОДУКЦИИ

Объем производства и объем реализации продукции являются взаимозависимыми показателями. В условиях ограниченных производственных возможностей и неограниченного спроса приоритет отдается объему производства продукции, который определяет объем продаж. Но по мере насыщения рынка и усиления конкуренции не производство определяет объем продаж, а, наоборот, возможный объем продаж является основой разработки производственной программы. Предприятие должно производить только те товары и в таком объеме, которые оно может реализовать.

Темпы роста объема производства и реализации продукции, повышение ее качества непосредственно влияют на величину издержек, прибыль и рентабельность предприятия. Поэтому анализ данных показателей имеет большое значение.

Основные задачи анализа:

оценка степени выполнения плана и динамики производства и реализации продукции;

определение влияния факторов на изменение величины этих показателей;

выявление внутрихозяйственных резервов увеличения выпуска и реализации продукции;

разработка мероприятий по освоению выявленных резервов.

Объем производства и реализации продукции может выражаться в натуральных, условно-натуральных, трудовых и стоимостных измерителях. Обобщающие показатели объема деятельности предприятия получают с помощью стоимостной оценки, для чего используют сопоставимые или текущие цены.

Немаловажное значение для оценки выполнения производственной программы имеют и натуральные показатели объемов производства и реализации продукции (штуки, метры, тонны и т.д.). Их используют при анализе объемов производства и реализации продукции по отдельным видам и группам однородной продукции.

Анализ начинается с изучения динамики выпуска и реализации продукции, расчета базисных и цепных темпов роста и прироста.

1.1 Анализ выпуска и реализации продукции

Таблица 1

Выпуск и реализация продукции

Показатели

Базовый период

Отчетный период

Отклонение




+, -

%

Реализованная продукция, тыс. р. - в фактических ценах (с.2110) - в сопоставимых ценах*

 55492 55492

 73328 67397

 +17836 +11905

 32,14 21,45

Товарная продукция, тыс. р. - в фактических ценах - в сопоставимых ценах*

 55759 55759

 73569 67619

 +17810 +11860

 31,94 21,27


Где реализованная продукция это выручка от оказания услуг за минусом налога на добавленную стоимость, (строка 2110). Товарная продукция включает в себя фактически реализованную продукцию и стоимость продукции, находящейся на складе предприятия или отправленной потребителю, но не оплаченной им (то есть выручка плюс готовая продукция на складе).

Для того, чтобы привести показатели в сопоставимы цены необходимо знать уровень инфляции.

По данным Росстата (использованы данные опубликованные на официальном сайте федеральной службы государственной статистики) инфляция в 2011 году составила примерно 8,8% (на том же уровне она зафиксирована и в 2010 году), таким образом, для расчетов необходимо исключить влияние инфляции. Для этого рассчитаем индекс цен:


Ip - индекс цен.

Следовательно, реализованная и товарная продукция в сопоставимых ценах будут равны:


где РП (ТП) в сопост. ценах - это реализованная (товарная) продукция в сопоставимых ценах;

РП (ТП) в факт.ценах - это реализованная (товарная) продукция в фактических ценах за отчетный период;индекс цен.


ВЫВОД: Из данных видно, что товарная продукция немного больше реализованной. Это объясняется тем, что в производстве остались остатки готовой продукции на складах.

На реализованную и товарную продукцию оказывают влияние 2 фактора: объем выпущенной (реализованной) продукции и цена товарной (реализованной) продукции. Исходя из этого видно, что если бы изменились оба фактора, то стоимость реализованной продукции увеличилась бы на 17836 тысяч рублей (или другими словами на 32,14% в отчетном году по сравнению с базисным). Если бы на продукцию влиял только первый фактор (объем), а цены остались бы на прежнем уровне, то стоимость реализованной продукции увеличилась бы на 11905 тысяч рублей (21,45%). А значит, что изменение цены влияет на продукцию в меньшей степени, а именно за счет этого реализованная продукция увеличилась на 5931 тысяч рублей (17836 - 11905 = 5931).

О товарной продукции можно сделать приблизительно такие же выводы, а именно вследствие влияния фактора объем, она увеличилась на 11860 тысяч рублей, а цены на 5950 (17810 - 11860 = 5950) тысяч рублей.

1.2 Оценка выполнения плана по выпуску продукции

Под производственной мощностью предприятия понимают максимально возможный выпуск продукции в номенклатуре и ассортименте планового года, при полном использовании производственного оборудования с учётом намечаемых мероприятий по внедрению передовой технологии производства и научной организации труда. Производственная мощность определяется в тех же единицах, в каких измеряется объём производства продукции. Широкая номенклатура приводится к одному или нескольким видам однородной продукции.

Производственная мощность зависит от ряда факторов. Важнейшие из них следующие:

количество и производительность оборудования;

качественный состав оборудования, уровень физического и морального износа;

степень прогрессивности техники и технологии производства;

качество сырья, материалов, своевременность их поставок;

уровень специализации предприятия;

уровень организации производства и труда;

фонд времени работы оборудования.

Расчёт производственной мощности предприятия ведётся по всем его подразделениям в следующей последовательности:

по агрегатам и группам технологического оборудования;

по производственным участкам;

по основным цехам и заводу в целом.

В расчете производственной мощности предприятия включается всё оборудование, закреплённое за основными производственными цехами, за исключением резервного, опытных участков и специальных участков для обучения рабочих; культурно-технический уровень кадров и их отношение к труду; достигнутый уровень выполнения норм времени.

Производственная мощность изменяется в течении года, поэтому различают входную, выходную и среднегодовую мощности.

Увеличение производственной мощности возможно за счёт:

) ввода в действие новых и расширение действующих цехов;

) реконструкции;

) технического перевооружения производства;

) организационно-технических мероприятий;

Степень использования производственных мощностей характеризуется следующими показателями:

а) коэффициент использования мощности


) коэффициент интенсивной загрузки мощности


в) коэффициент экстенсивной загрузки мощности


Изучаются динамика этих показателей, выполнение плана по их уровню и причины их изменения, такие как ввод в действие новых и реконструкция предприятий, техническое переоснащение производства, сокращение производственных мощностей.

1.3 Анализ выпуска продукции предприятия по ассортименту

Таблица 2

Выпуск продукции предприятия по ассортименту за 2011 год, тыс. руб.

Наименование услуги

Отчетный период

Выполнение плана, %

Отклонение

Факт в пределах плана

Недовыполнение плана


план

факт


Абс.

%



Производство и реализация хлеба, хлебобулочных и кондитерских изделий

20964

30456

145,28

+9492

+45,28

20964

0

Розничная торговля

21458

36951

172,20

+15493

+72,20

21458

0

Прочее (единовременные заказы)

13070

5921

45,30

-7149

-54,70

5921

7149

Итого:

55492

73328

132,14

+17836

+32,14

55492

7149


ВЫВОД: Исходя из полученных данных видно, что, несмотря, на общее перевыполнение плана по всем видам услуг по некоторым из них явное недовыполнение плана. Так, например, в 2011 году общий план был перевыполнении на 32,14%, но в тоже время по выполнению единовременных заказов план был недовыполнен на 54,7% и 11,63%. В итоге недовыполнение плана составило 7149 тысяч рублей. А это значит перевыполнение плана достигнуто перевыполнением плана по производству и реализации хлебобулочных изделий и розничной торговли.

1.4 Анализ ритмичности и равномерности выполнения плана по выпуску продукции

Коэффициент ритмичности рассчитывается по формуле:


Полученные данные заносятся в таблицу 3:

Выпуск продукции по кварталам за 2011 год, тыс. руб.

Таблица 3

Период

Отчетный  период

Выполнение плана, %

Факт в пределах плана

Коэффициент ритмичности


план

факт




1 квартал

13873

20154

145,27

13873

1

2 квартал

17325

19263

111,17

17325

1

3 квартал

11254

15441

137,20

11254

1

4 квартал

13040

18470

141,64

13040

1

ГОД

55492

73328

132,14

55492

1


ВЫВОД: Ритмичная работа является основным условием своевременного выпуска и реализации продукции. Неритмичность ухудшает все экономические показатели деятельности предприятия. Всё это приводит к ухудшению финансового положения предприятия, повышению себестоимости продукции, уменьшению прибыли.

Ритмичность производства должна рассматриваться под углом зрения обеспечения наиболее благоприятных условий для выполнения запланированного объема реализации и конечного финансового результата - прибыли.

Коэффициент ритмичности показывает, какая часть запланированного выпуска была выпущена без нарушения графика. Его рассчитывают методом «наименьшего числа».

Видно, что в 2011 году предприятие работает ритмично в течение всего года. План перевыполнен по всем кварталам, а это говорит об улучшении финансового состояния и возможности расширения объемов выпуска и реализации. Изготовление хлебобулочных изделий не является сезонным, потому что они востребованы в любое время года, поэтому запланированные и фактические значения показателя примерно равны в течение всех кварталов.

.5 Анализ качества продукции и резервов увеличения объема выпуска продукции

Таблица 4

Резервы увеличения объема выпуска продукции

Резервы

Сумма, тыс. руб.

Резервы роста товарной продукции 1.1 Сокращение остатков незавершенного производства до норматива 1.2 Ликвидация брака, повышение качества продукции 1.3 Выполнение плана по ассортименту 1.4 Увеличение объема услуг промышленного характера 1.5 Улучшение использования производственной мощности Резервы роста реализованной продукции 2.1 Увеличение товарной продукции 2.2 Сокращение остатков неотгруженной продукции 2.3 Сокращение остатков неоплаченной продукции 2.4 Улучшение организации сбыта продукции

 0 0 7149 0  0  0 13372 0

ИТОГО:

20521


ВЫВОД: В ходе поиска резервов для увеличения выпуска продукции выяснилось, что выполнение плана по всему ассортименту приведет к увеличению выручки на 7149 тысяч рублей. Сокращение остатков дебиторской задолженности улучшить финансовое состояние на 13372 тысячи рублей. Общая сумма резерва равна 20521 тысячи рублей, которую при получении необходимо направить на дальнейшее увеличение объемов выпускаемой продукции или на улучшение финансового состояния организации.

.АНАЛИЗ ОСНОВНЫХ ФОНДОВ ПРЕДПРИЯТИЯ И ИХ ИСПОЛЬЗОВАНИЯ

Любой процесс производства есть процесс преобразования предметов труда, труда, осуществляемый живым трудом при помощи средств труда. Совокупность средств труда образует основные производственные фонды, которые применяются в нескольких производственных циклах, постепенно изнашиваются и переносят свою стоимость на продукт по частям в течение всего срока службы, не теряя при этом своей натуральной формы. Основные производственные фонды состоят из машин и оборудования, передаточных устройств, транспортных средств, зданий, сооружений и так далее.

Однако в основные производственные фонды включаются не все средства труда, а лишь те из них, которые представляют собой продукты общественного труда, имеют стоимость. Но и не всякая вещь, обладающая стоимостью и являющаяся по своей натуральной форме средством производства, входит в состав основных производственных фондов. К примеру, машины или станки, которые лежат на складе как готовая продукция в ожидании реализации, входят не в основные фонды, а в фонды обращения.

Наряду с ними в народном хозяйстве функционируют и основные непроизводственные фонды - объекты длительного непроизводственного использования, сохраняющие свою натуральную форму и постепенно утрачивающие стоимость. К ним относятся фонды жилищно-коммунального хозяйства, организаций культуры, науки, здравоохранения и тому подобное. Основные непроизводственные фонды не участвуют в создании потребительных стоимостей.

От основных фондов следует отличать оборотные фонды, включающие такие предметы труда, как сырьё, основные и вспомогательные материалы, топливо, тара и так далее. Оборотные фонды потребляются в одном производственном цикле, вещественно входят в продукт и полностью переносят на него свою стоимость.

В соответствии с действующим порядком учёта к основным фондам предприятий и хозяйственных организаций не относятся:

предметы, служащие менее одного года, независимо от их стоимости;

предметы стоимостью менее ста минимальных оплат труда за единицу независимо от их сроков службы, например приборы, средства автоматизации и лабораторного оборудования, приобретённые научно-исследовательскими организациями и промышленными предприятиями;

специальные инструменты и специальные приспособления независимо от их стоимости; к ним относятся инструменты и приспособления целевого назначения, предназначенные для серийного или массового производства определённых изделий или для выполнения специального заказа;

специальная одежда, специальная обувь и постельные принадлежности независимо от их стоимости и срока службы;

оборудование и машины, находящиеся как готовые изделия на складах предприятий - изготовителей, снабженческих и сбытовых организаций; оборудование, сданное в монтаж, подлежащее монтажу, находящееся в пути и числящееся на балансе капитального строительства и так далее.

В общей классификации одни из элементов основных фондов (машины и оборудование) принимают непосредственное участие в производственном процессе и поэтому относятся к активной части основных фондов; другие (производственные здания и сооружения) обеспечивают нормальное функционирование производственного процесса и являются пассивной частью основных фондов.

.1 Динамика среднегодовой стоимости основных фондов предприятия

Таблица 5

Динамика среднегодовой стоимости основных фондов предприятия, тыс. руб.

Показатели

Базовый период

Отчетный период

Абс. отклонение, тыс. руб.

Темп роста, %

Среднегодовая стоимость основных фондов, всего

26695

34470

+7775

129,13

В том числе: - основного вида деятельности

26695

34470

+7775

129,13

- отраслей, производящих товары

-

-

-

-

- отраслей, оказывающих услуги

-

-

-

-


Среднегодовая стоимость основных фондов:


ОФ - среднегодовая стоимость основных фондов;

ОФнг - стоимость основных фондов на начало года;

ОФкг - стоимость основных фондов на конец года.

ВЫВОД: Анализируя полученные данные видно, что все основные фонды используются только для основного вида деятельности. В среднем в отчетном году по сравнению с базисным стоимость фондов увеличилась достаточно на большое количество. Практически все основные средства на предприятии собственные, но так же есть и арендованные (они занимают незначительную долю в общей сумме фондов), которые не учитываются на балансе предприятия. Переоценка стоимости не производилась, соответственно привести стоимость в сопоставимый вид с помощью коэффициентов переоценки не является необходимым.

2.2 Анализ структуры основных фондов предприятия

Таблица 7

Структура основных фондов предприятия

Группы основных фондов

На начало года

На конец года

Отклонение


тыс. руб.

уд.вес, %

тыс. руб.

уд.вес, %

тыс. руб.

уд.вес, %

Всего ОПФ

29323

100

39616

100

+10293

0

Здания

16898

57,63

23041

58,16

+6143

+0,53

Сооружения

4115

14,03

4943

12,48

+828

-1,55

Машины и оборудование

7083

24,16

10336

26,09

+3253

+1,93

Транспортные средства

1090

3,72

1142

2,88

+52

-0,84

Инструмент и инвентарь

137

0,46

154

0,39

+17

-0,07

Другие виды ОС

13

13

0,03

0

-0,01

Активная часть

8323

28,37

11645

29,39

+3322

+1,02


ВЫВОД: Данные свидетельствуют о том, что в 2011 году на начало года наибольший удельный вес в общей стоимости основных фондов занимают здания - 57,63%, далее машины и оборудование - 24,16%, на 3-ем месте располагаются сооружения - 14,03%. Таким образом, больший удельный вес в структуре основных производственных фондов занимает пассивная часть (то есть та часть, которая обеспечивает возможность проведения производственного процесса, а не та которая непосредственно с ним связана) В составе активной части наибольший вес составляют, как уже говорилось выше машины и оборудование, на втором месте располагаются транспортные средства - 3,72%.

В конце анализируемого года видно, что общая сумма основных фондов увеличилась на 10293 тысяч рублей, это достигается за счет увеличения: стоимости зданий на 6143 тысяч, сооружений - 828 тысяч рублей, машин и оборудования 3253 тысяч рублей, транспортных средств на 52 тысячи рублей. Тем не менее структура групп основных фондов не была нарушена, удельный вес каждой из них остался примерно на прежнем уровне.

2.3 Анализ движения основных фондов

Коэффициент ввода:


Коэффициент выбытия:


Коэффициент прироста:


Коэффициент компенсации:



Таблица 8

Анализ движения основных фондов в 2011 году

Группы основных фондов

Коэффициенты


ввода

выбытия

прироста

компенсации

Всего ОПФ

0,27

0,009

0,26

0,027

Здания

0,27

0,009

0,27

0,024

Сооружения

0,17

0,006

0,17

0,027

Машины и оборудование

0,32

0,008

0,32

0,018

Транспортные средства

0,09

0,049

0,05

0,505

Инструмент и инвентарь

0,12

0,007

0,11

0,056

Активная часть

0,30

0,014

0,29

0,033


ВЫВОД: Данные таблицы показывают, что коэффициент поступления составляет в 2011 году - 27% а интенсивность выбытия основных средств не составляет и одного процента (0,9%). Это говорит о том, что уровень показателей характеризующий движение основных фондов достаточно высок. В то же время, коэффициент компенсации выбытия по всей совокупности основных средств составляет 2,7%, то есть характеристики поступления основных фондов в целом значительно превосходят их выбытие, другими словами структура движения основных фондов такова, что большая часть вновь поступивших фондов идет не только на их замену, но и на экстенсивное их расширение.Коэффициент прироста по всем видам ОС составляет в 2011 году примерно 26%.

.4 Анализ состояния основных фондов

Коэффициент износа:


Коэффициент годности:


 Таблица 9

Оценка состояния основных фондов 2011 году

Показатели

На начало года

На конец года

Отклоне-ние

Первоначальная стоимость, тыс. руб.

29323

39616

+10293

Остаточная стоимость, тыс. руб.

7996

13712

+5716

Износ, тыс. руб.

21327

25904

+4577

Коэффициент износа, %

72,73

65,39

-7,34

Коэффициент годности, %

27,27

34,61

+7,34


ВЫВОД: Из приведенных в табл. 9 данных можно заключить, что степень износа основных фондов на конец 2011 года составляет 72,73%, а степень годности находится на достаточно критичном уровне и составляет 27,27%, что позволяет говорить о невысоком уровне технической годности средств труда, необходимых для производства продукции. В 2011 году основные средства, результате большого поступления новых фондов на баланс организациии выбытия старых, не сильно подверглись износу, так на конец года изношенность составляет 65,39%, что меньше на 7,34% по сравнению с началом. Степень годности увеличилась соответственно на 7,34% и теперь составляет 34,61%. Так как она еще меньше 50%, то можно рекомендовать предприятию и дальше реализовывать политику в части замещения старых, изношенных основных фондов на новые, современные.

.5 Анализ использования основных фондов

Как уже говорилось выше, по данным Росстата (использованы данные опубликованные на официальном сайте федеральной службы государственной статистики) инфляция в 2010 году составила 8,8%, таким образом необходимо исключить влияние инфляции. Для этого рассчитаем индекс цен:


Ip - индекс цен.

Следовательно, товарная продукция в сопоставимых ценах будет равна:


где ТП в сопост. ценах - это товарнаяпродукция в сопоставимых ценах;

ТП в факт.ценах - это товарнаяпродукция в фактических ценах за отчетный период;индекс цен.

Среднегодовая стоимость основных фондов:


ОФ - среднегодовая стоимость основных фондов;

ОФнг - стоимость основных фондов на начало года;

ОФкг - стоимость основных фондов на конец года.

Фондоотдача - показывает, сколько продукции приходится на каждый рубль стоимости основных фондов:


Фо - фондоотдача;

ТП - объем произведенной (реализованной) продукции;

ОФ - среднегодовая стоимость основных фондов.

Фондоемкость - показатель обратный фондоотдаче, показывает, сколько основных фондов приходится на каждый рубль произведенной продукции:


Фе - фондоемкость;

ТП - объем произведенной (реализованной) продукции;

ОФ - среднегодовая стоимость основных фондов.

Фондовооруженность - показывает, сколько основных фондов приходится на одного среднесписочного работника, и отражает обеспеченность труда средствами механизации:


Фв - фондовооруженность;

ОФ - среднегодовая стоимость основных фондов.

ССЧрабочие - среднесписочная численность рабочих.

Фондорентабельность - показывает, сколько прибыли получено на рубль стоимости основных средств:


Фр - фондорентабельность;

Прибыль до налогообложения - значение строки 2300;

ОФ - среднегодовая стоимость основных фондов.

Полученные значения сводятся в таблицу № 10.

Таблица 10

Анализ использования основных фондов

Показатели

Базовый период

Отчетный период

Абс. отклонение

Темп роста, %

Товарная продукция в сопоставимых ценах, тыс. руб.

55492

67397

+11905

121,45

Среднегодовая стоимость основных фондов, тыс. руб.

26695

34470

+7775

129,13

Численность рабочих, чел.

72

74

+2

102,78

Прибыль до налогообложения, тыс. руб.

8477

18405

+9928

217,12

Фондоотдача, к.

2,08

1,96

-0,12

94,23

Фондоемкость, к.

0,48

0,51

+0,03

106,25

Фондовооруженность, тыс. руб./чел.

370,76

465,81

+95,05

125,64

Фондорентабельность, %

31,76

53,39

+21,63

168,10


На изменение в динамике объема товарной продукции оказали влияние такие факторы как изменение фондоотдачи и стоимости основных фондов. Оценим влияние каждого из них, используя метод цепных подстановок.

Влияние фактора фондоотдача на объем товарной продукции рассчитывается по формуле:


ΔТПфо = 1,96 * 26695 - 2,08 * 26695 = 52322,2 - 55525,6 = - 3203,4 т. р.

Влияние среднегодовой стоимости основных фондов найдем исходя из формулы:

ΔТПОФ = 1,96 * 34470 - 1,96 * 26695 = 67561,2 - 52322,2 = + 15329 т. р.


ТП1 и ТП0 - товарная продукция в сопоставимых ценах за отчетный и базисный год соответственно.

ВЫВОД: Темпы роста стоимости основных средств превышающие темпы роста выпуска продукции привели к тому, что в отчетном году произошло уменьшение фондоотдачи по сравнению с предыдущим на 0,12 тысяч рублей. Это связано с тем, что дополнительный выпуск продукции повлек за собой и расширение производственной базы.

Величина фондоемкости - это показатель обратный величине фондоотдачи. Этот показатель в динамике должен уменьшаться. На данном предприятии он увеличился на 0,03 тысячи рублей в отчетном году, и составил 0,51 тысячу рублей.

Фондовооруженностьсвидетельствует о том в нужном ли объеме все работники организации обеспечены основными фондами. Чем больше значение данного показателя тем лучше. В ходе проведенного анализа выяснилось, что в 2011 году произошло увеличение данного показателя на 95,05 тысяч рублей, связано это с тем, что при небольшом движении сотрудников на баланс были поставлены основные средства большой стоимостью.

Показатель фондорентабельности позволит объяснить целесообразно ли проведенное инвестирование денежных средств в основные производственные фонды. Так выяснилось, что в 2010 году с рубля вложенного в основные средства получило 31,76% прибыли, в 2011 - 53,39%. Увеличение показателя в динамике напрямую указывает на эффективное использование источников средств формирования имущества.

2.6 Анализ резервов использования основных фондов

В заключение анализа рассчитывают резервы увеличения выпуска продукции и фондоотдачи. Ими могут быть ввод в действие не установленного оборудования, замена и модернизация его, сокращение целодневных и внутрисменных простоев, повышение коэффициента сменности, более интенсивное его использование, внедрение мероприятий НТП. При определении текущих и перспективных резервов вместо планового уровня факторных показателей учитывается возможный их уровень.

Резервы увеличения выпуска продукции за счет ввода в действие нового оборудования определяют умножением дополнительного его количества нафактическую величину среднегодовой выработки или на фактическую величину всех факторов, которые формируют ее уровень.

Сокращение целодневных простоев оборудования приводит к увеличению среднего количества отработанных дней каждой его единицей за год. Этот прирост необходимо умножить на возможное количество единиц оборудования и фактическую среднедневную выработку единицы.

Чтобы подсчитать резерв увеличения выпуска продукции за счет повышения коэффициента сменности в результате лучшей организации производства, необходимо возможный прирост последнего умножить на возможное количество дней работы всего парка оборудования и на фактическую сменную выработку. За счет сокращения внутрисменных простоев увеличивается средняя продолжительность смены, а,следовательно, и выпуск продукции. Для определения величины этого резерва следует возможный прирост средней продолжительности смены умножить на фактический уровень среднечасовой выработки оборудования и на возможное количество отработанных смен всем его парком (произведение возможного количества оборудования, возможное количество отработанных дней единицей оборудования и возможного коэффициента сменности). Для определения резерва увеличения выпуска продукции за счет повышения среднечасовой выработки оборудования необходимо сначала выявить возможности роста последней за счет его модернизации, более интенсивного использования, внедрения мероприятий НТП и т.д. Затем выявленный резерв повышения среднечасовой выработки надо умножить на возможное количество часов работы оборудования (произведение возможного количества единиц, количество дней работы, коэффициента сменности, продолжительности смены).

Резервы роста фондоотдачи - это увеличение объема производства продукции и сокращение среднегодовых остатков основных производственных фондов.

.АНАЛИЗ ИСПОЛЬЗОВАНИЯ ТРУДА И ЗАРАБОТНОЙ ПЛАТЫ

Анализ использования трудовых ресурсов, рост производительности труда необходимо рассматривать в тесной связи с оплатой труда. С ростом производительности труда создаются реальные предпосылки повышения его оплаты. В свою очередь, повышение уровня оплаты труда способствует росту его мотивации и производительности.

В связи с этим анализ расходования средств на оплату труда имеет исключительно большое значение. В процессе его необходимо осуществлять систематический контроль за использованием фонда заработной платы (ФЗП), выявлять возможности его экономии за счет роста производительности труда.

Приступая к анализу использования ФЗП, в первую очередь необходимо рассчитать абсолютное и относительное отклонение его фактической величины от плановой (базовой).

Абсолютное отклонение рассчитывается как разность между фактически использованными средствами на оплату труда и базовым ФЗГТ в целом по предприятию, производственным подразделениям и категориям работников. Поскольку абсолютное отклонение определяется без учета изменения объема производства продукции, то по нему нельзя судить об экономии или перерасходе ФЗГТ.

Относительное отклонение рассчитывается как разность между фактически начисленной суммой зарплаты и базовым фондом, скорректированным на индекс объема производства продукции. При этом следует иметь в виду, что корректируется только переменная часть ФЗП, которая изменяется пропорционально объему производства продукции. Это зарплата рабочих по сдельным расценкам, премии рабочим и управленческому персоналу за производственные результаты и сумма отпускных, соответствующая доле переменной зарплаты.

3.1 Анализ обеспеченности предприятия кадрами

Анализ обеспеченности кадрами начинается с изучения структуры и состава персонала.Работники промышленного предприятия подразделяются на две группы:

промышленно-производственный персонал.

непромышленный персонал.

К первой группе относятся работники, непосредственно участвующие в производственном процессе или обслуживающие его (рабочие, специалисты, административно-управленческий персонал).

Ко второй группе относятся работники, не связанные напрямую с основной деятельностью хозяйствующего субъекта и создающие нормальные условия для воспроизводства рабочей силы промышленно-производственного персонала (работники ЖКХ, детских учреждений, предприятий культурно-бытового обслуживания).

Структура персонала зависит от особенностей производства; номенклатуры изделий; специализации производства; масштабов производства. Удельный вес каждой категории работающих меняется с развитием техники, технологии, организации производства. Повышение организационно-технического уровня производства приводит к относительному сокращению численности служащих и росту удельного веса рабочих в общей численности работающих.

Сравнивая фактическую численность персонала с потребностью в рабочей силе (плановой численности) и численностью персонала в предыдущем периоде в целом по хозяйствующему субъекту, по группам персонала (промышленная, непромышленная), по категориям работников, определяют обеспеченность работающих, а также изменение их численности по сравнению с потребностью в рабочей силе и предыдущим периодом.

По категории обслуживающего персонала определяется абсолютное отклонение и выявляются причины изменение обслуживающего персонала.

Недостаток рабочей силы порождает отступление от установленной технологии, непроизводительные выплаты.

Излишек рабочей силы приводит к недогрузке рабочих, использованию рабочей силы не по назначению, к снижению производительности труда.

Административно-управленческий персонал анализируют на соответствие фактического уровня образования каждого работника занимаемой должности. Актуальность данного анализа в значительной степени возрастает в условиях рынка в связи с тем, что административно-управленческий персонал принимает решения, определяющие уровень финансовой устойчивости хозяйствующего субъекта.

.2 Анализ движения трудовых ресурсов

Существенной предпосылкой роста производительности труда и эффективности производства служит стабильность состава кадров. Изменение в составе рабочих по возрасту, стажу работы и образованию происходит вследствие движения рабочей силы. Движение рабочей силы и его динамика являются важнейшим объектом анализа.

Изменение численности работающих, связанное с их приемом и увольнением, независимо от причин выбытия и источников пополнения, называют оборотом рабочей силы. Для оценки качества работы с кадрами используется система показателей, характеризующих движение рабочей силы и детализирующих особенности этого оборота. Для характеристики движения рабочей силы рассчитывают и анализируют динамику следующих показателей.

Коэффициент по приему:


ССЧ - среднесписочная численность работников.

Коэффициент по выбытию:


ССЧ - среднесписочная численность работников.

Коэффициент текучести кадров:

ССЧ - среднесписочная численность работников.

Важнейшим оценочным показателем эффективности кадровой политики является коэффициент постоянства кадров. Оборот рабочей силы, возникший вследствие субъективных причин, снижает эффективность использования рабочей силы в производстве. Вновь принятых рабочих необходимо адаптировать к конкретным условиям работы на данном производстве. В данном случае возникает необходимость доучивания работников, однако в связи с увольнением работников предприятие несет потери, связанные с ранее понесенными затратами на обучение персонала и удовлетворение некоторых социальных потребностей уволившихся работников.

3.3 Факторный анализ производительности труда

Один и тот же результат процесса производства может быть получен при различной степени эффективности труда. Мера эффективности труда в процессе производства получила название производительности труда. Иными словами, производительность труда - это его результативность или способность человека производить за единицу рабочего времени определенный объем продукции.

Производительность труда определяется количеством продукции, которую производит рабочий за единицу времени (выработка), или количеством времени, затрачиваемым на изготовление единицы продукции (трудоемкость).

Производительность труда в Российской экономике, помимо того, что остается на крайне низком уровне, остается дискуссионной темой относительно причин сложившейся неблагоприятной ситуации.

Анализу производительности труда, как важнейшему экономическому показателю, традиционно отводится важное место. В процессе анализа производительности труда необходимо установить:

степень выполнения заданий, связанную с ростом производительности труда;

напряженность заданий, связанную с ростом производительности труда, и прирост выпуска продукции за счет этого фактора;

факторы, влияющие на изменение показателей производительности труда;

резервы роста производительности труда и возможности их использования.

Основные факторы, влияющие на повышение показателей производительности труда, можно условно объединить в следующие основные группы, характеризующие:

) повышение технического уровня технологических систем;

) повышение организационного уровня производства;

) совершенствование организации труда, т.е. улучшение использования живого труда (повышение квалификации кадров, образовательного уровня трудящихся, укрепление трудовой дисциплины и совершенствование системы заработной платы.

Исследование производительности труда проводится по следующим направлениям:

) оценка уровня обобщающих показателей производительности труда;

) анализ факторов среднечасовой выработки;

) оценка резервов повышения производительности труда;

) анализ трудоемкости продукции.

Для оценки уровня производительности труда применяется система обобщающих, частных и вспомогательных показателей.

Обобщающими показателями являются среднегодовая, среднедневная, среднечасовая выработка продукции на одного работающего в стоимостном выражении.

Частные показатели - это затраты времени на производство единицы продукции определенного вида (трудоемкость продукции) или выпуск продукции определенного вида в натуральном выражении за один человеко-день или человеко-час.

Вспомогательные показатели - это затраты времени на выполнение единицы определенного вида работ или объем выполненных работ за единицу времени.

Среднегодовая выработка продукции на одного работника определяется по формуле:


ССЧработников - среднесписочная численность работников.

Среднечас. выр-ка - среднечасовая выработка на одного работника.

Среднечасовая выработка продукции на одного работника:

Среднегодовая выработка 1-го работника зависит от:

Среднечасовой выработки 1-го работника;

Продолжительности рабочего дня;

Количества дней, отработанным 1 работником.

Для расчета влияния факторов на среднегодовую выработку работника она представляется в виде формулы:


ИЛИ


ЧДР- число дней работы;

ДРД - длительность рабочего дня;

Влияние фактора среднечасовая выработка определяется по формуле:


СВ - среднечасовая выработка одного рабочего;

ДРД - длительность рабочего дня;

ЧДР - число дней работы.

Влияние фактора длительность рабочего дня определяется с помощью формулы:

Влияние фактора число дней работы:


.4 Анализ затрат на оплату труда


ФОТ - фонд оплаты труда;ССЧ - среднесписочная численность.

Таблица 11

Динамика затрат на оплату труда

Показатели

Базовый период

Отчетный период

Абс. откл.

Темп роста, %

1.Фонд оплаты труда, тыс. руб.

438,2

437,4

-0,8

99,82

2.Среднесписочная численность, чел.

72

74

+2

102,78

3.Среднемесячная заработная плата, р.

6186

5911

-275

95,56


ВЫВОД: Анализ затрат на оплату труда показывает сколько в среднем в месяц получает один работник предприятия. Для наилучшего положения для сотрудников этот показатель должен расти, для собственников организации же наоборот оставаться на том же уровне или уменьшаться. Темпы заработной платы не должны превышать темпы роста производительности труда. Это будет мешать выработке работника и нарушит законы экономики предприятия. Таким образом, на конец 2011 года один сотрудник предприятия получает 5911 рублей в среднем, что на 275 рублей меньше, чем в прошлом году. Уменьшение произошло в связи с уменьшение фонда заработной платы при одновременном увеличении числа рабочих.

.АНАЛИЗ ЗАТРАТ НА ПРОИЗВОДСТВО И РЕАЛИЗАЦИЮ ПРОДУКЦИИ

Анализ себестоимости продукции, работ и услуг имеет исключительно важное значение. Он позволяет выявить тенденции изменения данного показателя, выполнения плана по его уровню, определить влияние факторов на его прирост и на этой основе дать оценку работы предприятия по использованию возможностей и установить резервы снижения себестоимости продукции.

Наиболее важным признаком для цепей анализа является деление затрат по элементам затрат, по статьям затрат, по способу отнесения на себестоимость продукции.

На основе элементов затрат составляются сметы затрат. Деление затрат по статьям себестоимости позволяет рассчитать затраты на единицу продукции или партию, составить калькуляцию.

Затраты, сгруппированные по статьям себестоимости, отличаются от затрат по её элементам тем, что они отражают затраты, которые связаны с производством и реализацией товарной продукции за данный отчётный период. Затраты же по элементам показывают все произведённые предприятием расходы ресурсов за отчётный период, включая расходы на рост остатков незавершённого производства, затраты, отнесённые за счёт будущих периодов и т. п.

Для предприятия, работающего в условиях рыночной экономики, часто имеют место экономические ситуации, связанные с колебаниями загрузки производственных мощностей, что влечёт за собой изменение производства и продаж, а это в свою очередь, существенно влияет на себестоимость продукции, а следовательно, на финансовые результаты. С этим связанно деление затрат на постоянные и переменные.

4.1 Анализ затрат на рубль товарной продукции


Все полученные данные заносятся в таблицу 12.

Таблица 12

Динамика затрат на рубль товарной продукции

Показатели

Базовый период

Отчетный период

Абс. откл.

Темп роста, %

1.Товарная продукция в действующих ценах, тыс. руб.(таблица 1)

55492

73328

+17836

132,14

2.Затраты на производство и реализацию продукции, тыс. руб. (Себестоимость)

44136

50970

+6834

115,48

3.Затраты на 1 рубль товарной продукции, руб. (2/1)

1,26

1,44

+0,18

114,29


ВЫВОД: Затраты на рубль товарной продукции увеличились на 18 копеек в отчетном году по сравнению с базисным, это является негативным фактором, так как для хорошего развития необходимо такое условие: темпы роста объема товарной продукции должны быть больше темпов роста затрат.

Снижение затрат на рубль товарной продукции достигается повышением производительности труда и качества продукции, улучшением использования производственных ресурсов, опережающим ростом товарной продукции по сравнению с затратами.

4.2 Анализ состава и структуры затрат по экономическим элементам

Таблица 13

Анализ состава и структуры затрат по экономическим элементам

Элементы затрат

Базовый  период

Отчетный  период

Абсолютное отклонение

уд.вес, %

тыс. руб.

уд.вес, %

тыс. руб.

уд.вес, %

1.Материальные затраты

38600

80,76

43836

81,07

+5236

+0,31

2.Затраты на оплату труда

3946

8,26

4266

7,89

+320

-0,37

3.Отчисления на социальные нужды

1065

2,23

1144

2,12

+79

-0,11

4.Амортизация основных фондов

688

1,44

882

1,63

+194

+0,19

5.Прочие

3496

7,31

3946

7,29

+450

-0,02

Всего:

47795

100

54074

100

+6279

0


ВЫВОД: Используя данные пояснений к бухгалтерскому балансу и отчету о прибылях и убытках (расходы по обычным видам деятельности (по элементам затрат) была составлена таблица 13.В отчетном году по сравнению с прошлым годом затраты предприятия увеличились на 6279 руб. В составе всех элементов затрат произошли некоторые изменения. Так, в отчетном году на 5236 по сравнению с прошлым годом увеличилась стоимость материальных затрат в себестоимости, а их доля увеличилась на 0,31 процентного пункта. Остальные элементы затрат организации в отчетном году также увеличились. Сумма затрат на оплату труда выросла на 320 тысяч руб., а их доля уменьшилась по сравнению с прошлым годом на 0,37%. Отчисления на социальные нужды и амортизация основных средств также возросли - на 79 тысяч рублей и 194тысячи рублей соответственно. И наконец, увеличение прочих затрат составило 450 тысяч рублей (доля в общей стоимости затрат снизилась на 0,02%).

В общем можно сказать, что в 2011 году предприятие было материалоемким, об этом говорит доля материальных затрат равная 80%.

4.3 Анализ факторов и резервов снижения затрат

Резервы снижения себестоимости представляют собой элементы затрат, за счет экономии которых могут быть снижены издержки производства. К основным источникам снижения себестоимости относятся:

снижение расхода сырья, материалов, топлива, энергии;

уменьшение размера амортизационных отчислений;

сокращение расхода заработной платы;

уменьшение административно-управленческих расходов.

Важнейшим условием снижения себестоимости продукции за счет экономии фонда оплаты труда являются опережающие темпы роста производительности труда по сравнению с темпами роста заработной платы.

Резервы роста производительности труда на предприятии многообразны: повышение технической оснащенности труда, расширение механизации и комплексной автоматизации производственных процессов, сокращение числа лиц, занятых ручным трудом (особенно на вспомогательных заготовительных и подсобных производствах), сокращение управленческого и обслуживающего аппарата и др.

Сокращение затрат на производство и реализацию продукции является материальной основой снижения цен, ведет к уменьшению издержек производства в других отраслях экономики. Немаловажное значение имеет снижение себестоимости и для уменьшения потребности в оборотных средствах. Отсюда следует необходимость проведения систематического контроля за снижением издержек производства и затрат на реализацию продукции.

Факторы снижения себестоимости на предприятии подразделяются на две группы: внутрипроизводственные и внепроизводственные.

К внутрипроизводственным факторам снижения себестоимости относятся технико-экономические факторы, на которые предприятие может оказывать воздействие в процессе управления. Это главным образом следующие группы факторов:

повышение технического уровня производства;

совершенствование организации производства и труда;

изменение объема производства.

К внепроизводственным факторам снижения себестоимости относятся факторы, на которые предприятие не может оказать непосредственное влияние. Это следующие группы факторов:

рыночные цены на сырье, материалы и оборудование;

ставки налогов и отчислений в бюджет и внебюджетные фонды;

курсы валют;

природно-климатические факторы и т. п.

В процессе анализа и планирования себестоимости продукции вышеназванные технико-экономические факторы и источники снижения себестоимости должны приниматься во внимание для выявления резервов снижения издержек производства.

.АНАЛИЗ ФИНАНСОВЫХ РЕЗУЛЬТАТОВ

Финансовый результат деятельности предприятий в конечном итоге характеризуется показателями прибыли (убытка). Известно, что без получения прибыли предприятие не может развиваться в рыночной экономике, за исключением организаций, финансируемых за счёт государства или других источников. Поэтому задача улучшения финансового результата является жизненно важной для хозяйствующего субъекта. Анализ финансовых показателей позволяет выявить возможности улучшения финансового положения и по результатам расчётов принять экономически обоснованные решения.

В процессе анализа решаются следующие задачи:

изучение данных о формировании финансового результата и использовании прибыли;

исследование динамики показателей прибыли и рентабельности предприятия;

выявление и измерение влияния основных факторов, воздействующих на финансовый результат;

выявление резервов и их использование для повышения прибыли и рентабельности предприятия.

Основными источниками информации анализа финансовых результатов являются данные бухгалтерского учёта и бухгалтерской (финансовой) отчётности.

.1 Анализ динамики прибыли

Таблица 14

Анализ динамики прибыли

Показатели

Базовый период

Отчетный период

Абс. откл.

Темп роста, %

Выручка (нетто) от продаж товаров, продукции, работ, услуг (за минусом налога на добавленную стоимость, акцизов и аналогичных обязательных платежей)

55492

73328

+17836

132,14

Себестоимость проданных товаров, продукции, работ, услуг

44136

50970

+6834

115,48

Валовая прибыль

11355

22358

+11003

196,90

Коммерческие расходы

499

524

+25

105,01

Управленческие расходы

2751

2669

-82

97,02

Прибыль (убыток) от продаж

8105

19165

+11060

236,45

Проценты к получению

56

117

+61

208,93

Проценты к уплате

330

261

-69

79,09

Доходы от участия в других организациях

1803

7

-1796

0,39

Прочие доходы

18043

30555

+12512

169,35

Прочие расходы

19200

31176

+11976

162,38

Прибыль (убыток) до налогообложения

8477

18405

+9928

217,65

Отложенные налоговые активы

47

43

-4

91,49

Отложенные налоговые обязательства

77

128

+51

166,23

Текущий налог на прибыль

1919

4409

+2490

229,76

Чистая прибыль (убыток) отчетного года

6488

13720

+7232

211,47


ВЫВОД: Анализируя отчет о прибылях и убытках в динамике за два года можно однозначно сказать, что основная деятельность предприятия является прибыльной, причем в 2011 году по сравнению с предыдущим чистая прибыль увеличилась в 2 раза. Об этом явно свидетельствуют такие показатели как валовая прибыль (+96,90%), прибыль от продаж (136,45%), прибыль до налогообложения (117,65%), чистая прибыль (+111,47). Увеличение прибыли было достигнуто за счет превышения темпов роста выручки от реализации над себестоимостью.

5.2 Анализ факторов прибыли и ее использования

Основу прибыли до налогообложения составляет прибыль от продаж. Исходя из методики формирования финансового результата можно выделить следующие факторы, оказывающие влияние на изменение значения прибыли от продаж: выручка от продажи, себестоимость, коммерческие расходы.

Влияние данных факторов оценивается следующим способом:

Фактор «выручка от реализации»


В1, В0 - выручка в отчетном и базисном периодах, тыс. руб.;

Р0 - рентабельность продаж в базисном периоде.


Фактор «себестоимость»


УС1, УС0 - доля себестоимости в выручке, %


Фактор «коммерческие расходы»


УК1, УК0 - доля коммерческих расходов выручке, %


Фактор «управленческие расходы»


УУ1, УУ0 - доля управленческих расходов в выручке, %


Оценку влияния факторов сведем в таблицу 15.

Таблица 15

Факторный анализ прибыли от продаж

Показатель

Базисный  период

Отчетный  период

Абс. отклонение

Влияние фактора


тыс. руб.

%

тыс. руб.

%



Выручка от реализации

55492

100

73328

100

+17836

+2606

Себестоимость

44136

79,54

50970

69,51

+6834

+7355

Коммерческие расходы

499

0,90

524

0,71

+25

+139

Управленческие расходы

2751

4,96

2669

3,64

-82

+968

Прибыль от продаж

8105

14,60

19165

26,14

+11060

+11060


ВЫВОД: Таким образом, видно, что на увеличение прибыли от продаж оказывают влияние 4 фактора: выручка от продаж, себестоимость, коммерческие расходы и управленческие расходы. Все четыре фактора способствуют увеличению прибыли, так как затраты в сумме выручки (в процентном соотношении) уменьшаются, то есть темпы роста выручки быстрее темпов роста всех видов расходов. Выручка от реализации оказывает положительное влияние на прибыль от продаж - она увеличилась на 2606 тысяч рублей, в результате увеличения выручки.Так как себестоимость растет более медленными темпами, чем выручка, то за счет изменения себестоимости прибыль от продаж увеличилась на 7355 тысяч рублей. Вследствие сокращениядоли коммерческих и управленческих расходов происходит увеличение прибыли на 139 и 968 тысяч рублей соответственно.

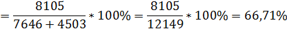
.3 Анализ показателей рентабельности

Рентабельность продаж - характеризует эффективность производственной и коммерческой деятельности: сколько прибыли имеет предприятие с рубля продаж.


Чистая рентабельность - показывает сколько чистой прибыли предприятие имеет с одного рубля продаж.


Рентабельность производства - показывает, сколько прибыли получит предприятие с одного рубля затраченного на себестоимость продукции.



Рентабельность производственных фондов - показывает, сколько прибыли от продаж получено на 1 рубль средств вложенных в основные и материальные оборотные средства.


Рентабельность капитала до налогообложения - показывает, сколько прибыли до налогообложения получено на 1 рубль вложенных в имущество предприятие.


Рентабельность собственного капитала - показывает, сколько чистой прибыли получено собственником на 1 рубль средств вложенных в предприятие.


Расчеты сводят в таблице 16.

Таблица 16

Анализ показателей рентабельности за 2011 год

Вид рентабельности

Базовый период,%

Отчетный период,%

Абс. откл.

Рентабельность продаж

14,60

26,14

+11,54

Чистая рентабельность продаж

11,69

18,71

+7,02

Рентабельность производства

18,36

37,60

+19,24

Рентабельность производственных фондов

66,71

97,16

+30,45

Рентабельность капитала до налогообложения

35,47

66,80

+31,33

Рентабельность собственного капитала

27,15

49,79

+22,64


ВЫВОД: Рентабельность в своем общем виде характеризует эффективность использования (вложения) тех или иных средств с целью извлечения максимальной прибыли. Деятельность данного предприятия, однозначно, рентабельна. А увеличение ее значений в динамике говорит об успешном ведении финансово-хозяйственной деятельности и принятии правильных управленческих решений руководством компании.

Так видно, что от продажи основного вида продукции предприятие получает 26,14% прибыли, что на 11,54% больше, чем в прошлом году. 18,71% - это количество прибыли оставшейся после уплаты налогов в распоряжении руководства. Окупаемость затрат составляет 37,60%, это значит, что с каждого рубля вложенного в создание того или иного вида продукции предприятие получает 0,38 рублей прибыли.

.4 Анализ резервов увеличения прибыли и рентабельности

Резервы роста прибыли - это количественно измеримые возможности ее увеличения за счет роста объема реализации продукции, уменьшения затрат на ее производство и реализацию, недопущения убытков от прочих видов деятельности, совершенствование структуры производимой продукции. Резервы выявляются на стадии планирования и в процессе выполнения планов. Определение резервов роста прибыли базируется на научно обоснованной методике их расчета, мобилизации и реализации. Выделяют три этапа этой работы: аналитический, организационный и функциональный.

На первом этапе выделяют и количественно оценивают резервы; на втором разрабатывают комплекс инженерно-технических, организационных, экономических и социальных мероприятий, обеспечивающих использование выявленных резервов; на третьем этапе практически реализуют мероприятия и ведут контроль за их выполнением.

При подсчете резервов роста прибыли за счет возможного роста объема реализации используются результаты анализа выпуска и реализации продукции.

Важное направление поиска резервов роста прибыли - снижение затрат на производство и реализацию продукции, например, сырья, материалов, топлива, энергии, амортизации основных фондов и других расходов.

Для выявления и подсчета резервов роста прибыли за счет снижения себестоимости может быть использован метод сравнения. В этом случае для количественной оценки резервов очень важно правильно выбрать базу сравнения. В качестве такой базы могут выступать уровни использования отдельных видов производственных ресурсов: плановый и нормативный: достигнутый на передовых предприятиях: базовый фактически достигнутый средний уровень в целом по отрасли: фактически достигнутый на передовых предприятиях зарубежных стран.

Методической базой экономической оценки резервов снижения затрат овеществленного труда является система прогрессивных технико-экономических норм и нормативов по видам затрат сырья, материалов, топливно-энергетических ресурсов, нормативов использования производственных мощностей, удельных капитальных вложений, норм и нормативов в оборудовании и др.

.АНАЛИЗ ФИНАНСОВОГО СОСТОЯНИЯ ПРЕДПРИЯТИЯ

Для успешного движения вперед предприятию необходимо знать, каково его нынешнее состояние и как исправить положение, если оно ухудшается (какие рычаги задействовать наиболее эффективно), то есть провести анализ его финансового состояния.

Анализ финансового состояния - обязательная составляющая финансового менеджмента любого предприятия (имеются в виду предприятия, которые планируют "прожить долго").

Задача такого анализа - определить, каково состояние предприятия сегодня, какие параметры его работы являются приемлемыми и как их сохранить на сложившемся уровне, а какие - неудовлетворительными и требуют оперативного вмешательства.

Превращение финансового анализа в статистический начинается с расчета бесконечного числа показателей, с порой ничего не выражающими и подчас устаревшими названиями (коэффициенты иммобилизации и трансформации).

Обсуждение проблем финансового состояния предприятия, как правило, сводится к обсуждению нюансов расчета того или иного коэффициента. Таким образом, происходит подмена целей, исходящих при решении задач финансового менеджмента, на цели, исходящие от самого расчета. Возможно, именно поэтому финансовый анализ представляется управленцам таким скучным. Без понимания основных закономерностей в экономике предприятия бесконечный строй показателей представляется ненужным. И наоборот, четкое знание этих взаимосвязей позволяет проводить качественную диагностику компании и строить эффективное управление на основании минимума показателей.

.1 Анализ имущества предприятия

Таблица 17

Анализ имущества предприятия

Показатели

Базовый период

Отчетный период

Абс. отклонение

Темп роста, %

Стоимость имущества, тыс. руб., всего

36296 100

39874 100

+3578 +/- 0

109,86

Внеоборотные активы, тыс. руб. - в % к имуществу

18040 49,70

19059 47,80

+1019 -1,90

105,65

Оборотные активы, тыс. руб. - в % к имуществу

18256 50,30

20815 52,20

+2559 +1,90

114,02

Запасы, тыс. руб. - в % к оборотным активам

4503 24,67

4369 20,99

-134 -3,68

97,02

Дебиторская задолженность, тыс. руб. - в % к оборотным активам

8719 47,76

13445 64,59

+4726 +16,83

154,20

Денежные средства и краткосрочные финансовые вложения, тыс. руб. - в % к оборотным активам

1911  10,47

156  0,75

-1755  -9,72

8,16

Прочие оборотные активы и НДС, тыс. руб. - в % к оборотным активам

3123 17,11

-278 -3,44

91,10

Просроченная дебиторская задолженность, тыс. руб. - в % к дебиторской задолженности

0

0

0

0


ВЫВОД: Имущество предприятия представлена внеоборотными и оборотными активами, большая часть из которых приходится на оборотные активы (52,20%), но в общем соотношение оборотных и внеоборотных активов практически 1 к 1. В динамике видно уменьшение доли стоимости внеоборотных активов (это связано с уменьшением стоимости долгосрочных финансовых вложений, находящихся на балансе организации).

Оборотные активы представлены группами медленно реализуемы активы (запасы - 20,99%); быстрореализуемые актив (дебиторская задолженность - 65,59%) и мгновенно реализуемыми активами (денежные средства и краткосрочные финансовые вложения - 0,75%). Наибольшее увеличение произошло по строке дебиторская задолженность, ее доля увеличилась на 16,83% и стала составлять 4369 тысяч рублей, также видно, что на балансе резко уменьшилась стоимость краткосрочных финансовых вложений - на 9,72% и их значение составило 156 тысяч рублей, вместо 1911 зафиксированных в предыдущем году.

.2 Анализ источников средств предприятия

Таблица 18

Анализ источников средств предприятия

Показатели

Базовый период

Отчетный период

Абсолютное отклонение

Темп роста, %

Стоимость имущества, тыс. руб., всего.

36296 100

39874 100

+3578 0

109,86

Собственный капитал, тыс. руб. - в % к имуществу

24528 67,58

30580 76,69

+6052 +9,11

124,67

Собственные оборотные средства, тыс. руб. - в % к собственному капиталу

6488 26,45

11521 37,67

+5033 +11,22

177,57

Заемный капитал, тыс. руб. - в % к имуществу

11768 32,42

9294 30,39

-2474 -2,03

78,98

Долгосрочные обязательства, тыс. руб. - в % к заемному капиталу

5680 48,27

4093 35,53

-1587 -12,74

72,06

Краткосрочные кредиты и займы, тыс. руб. - в % к заемному капиталу

1491 12,67

730 7,85

-761 -4,82

48,96

Кредиторская задолженность, тыс. руб. - в % к заемному капиталу

3706 31,49

3716 39,98

+10 +8,49

100,27

Прочие краткосрочные обязательства, тыс. руб. - в % к заемному капиталу

838 7,12

667 7,18

-171 +0,06

79,59


ВЫВОД: В составе источников формирования капитала преобладает собственный капитал - 76,69%. Это, безусловно, положительный фактор при данном состоянии предприятия. В составе заемного капитала преобладает краткосрочный заемный капитал, в частности кредиторская задолженность (примерно 40%). Также в 2011 году уменьшаются краткосрочные кредиты и займы которые занимали 12,67% краткосрочного заемного капитала в прошлом году. В составе долгосрочного заемного капитала в отчетном году произошли изменения, таким образом,его доля уменьшилась на 12,74%, а вот статья прочие краткосрочные обязательства увеличилась на 0,06%.

.3. Анализ показателей финансовой устойчивости предприятия

Для оценки финансовой устойчивости необходимо рассчитать следующие показатели:

Коэффициент независимости (автономии) - показывает, какая часть имущества предприятия сформирована за счет собственных источников. Рассчитывается по формуле:


где СК - собственный капитал;

ВБ - валюта баланса.


Коэффициент соотношения заемных и собственных средств - показывает, сколько заемных источников привлекало предприятие на рубль собственного капитала.


где ЗК - заемный капитал;

СК - собственный капитал.


Коэффициент долгосрочного привлечения заемных средств - показывает долю источников, привлекаемых на долгосрочной основе в общей величине источников.


где СК - собственный капитал;

ДЗК - долгосрочный заемный капитал;

ВБ - валюта баланса.


Коэффициент маневренности собственного капитала - показывает долю собственного капитала, вложенного в оборотные активы.


где СОС - собственные оборотные средства;

СК - собственный капитал.


Коэффициент обеспеченности собственными оборотными средствами - показывает долю оборотных активов, обеспеченных собственными оборотными средствами.


где СОС - собственные оборотные средства;

ОА - оборотные активы.


Коэффициент реальной стоимости основных средств в имуществе предприятия - показывает долю основных средств в стоимости имущества предприятия.


где ОС - основные средства;

ВБ - валюта баланса.

Коэффициент реальной стоимости основных и материальных оборотных средств в имуществе предприятия - показывает долю основных и материальных оборотных средств в стоимости имущества предприятия.


где ОС - основные средства;

З - запасы;

ВБ - валюта баланса.


ВЫВОД: Видно, что коэффициент независимости находится «в норме», так как он превышает 50%, а это значит, что и в 2010 и в 2011 году предприятие практически полностью финансируется за счет собственных источников. Коэффициент соотношения заемных и собственных средств как раз показывает, что заемный капитал в составе собственного составляет всего 48% и 30% соответственно в 2010 году и в 2011 году. Доля источников, привлекаемых на долгосрочной основе составляет в 2010 году 83%, в 2011 - 87%.

В оборотные активы вложено в среднем за два года 32% собственных источников, это не очень много, так как даже не достигает 50%, и соответственно это значит, что предприятие вкладывает свои собственные средства во внеоборотные активы, а часть оборотных активов финансируется за счет заемного капитала. 22% в 2010 и 34% в 2011 году занимают основные средства в общей стоимости имущества предприятия, а реальная стоимость основных и материальных средств в имуществе предприятия составляет 34% и 45% соответственно.

Давая оценку общему состоянию предприятия необходимо отметить, что оно в среднем финансово независимо и финансово устойчиво.

6.4 Анализ типа финансовой устойчивости предприятия

Данные записываются в таблицу 19

Таблица 19

Наименование показателя

На начало года

На конец года

Отклонение, +,-

Источники собственных средств (Итого по разделу III баланса)

24528

25048

+520

Внеоборотные активы (Итого по разделу I)

18040

19059

+1019

Наличие собственных оборотных средств (стр. 1-2)

6488

5989

-499

Долгосрочные обязательства (итого по разделу IV)

5680

4093

-1587

Наличие собственных и долгосрочных заемных источников (стр. 3+4)

12168

10082

-2086

Краткосрочные кредиты и займы (стр. 1510 баланса)

1491

730

-761

Общая величина собственных и заемных источников формирования запасов и затрат (стр. 5+6)

13659

10812

-2847

Запасы и затраты (стр. 1210 баланса)

4503

4369

-134

Излишек (+) или недостаток (-) собственных оборотных средств (стр. 3-8)

+1985

+1620

-365

Излишек (+) или недостаток (-) собственных и долгосрочных заемных источников формирования запасов и затрат (стр. 5-8)

+7665

+5713

-1952

Излишек (+) или недостаток (-) общей величины собственных и заемных источников формирования запасов и затрат (стр. 7-8)

+9156

+6443

-2713

Тип финансовой устойчивости (стр. 9, стр. 10, стр. 11)

1,1,1

1,1,1

-


ВЫВОД: Анализируя данные указанные в таблице можно сделать вывод о том, что предприятие относится к первому типу финансовой устойчивости - абсолютная финансовая устойчивость.Такой тип финансовой устойчивости характеризуется тем, что предприятие полностью функционирует за счет собственных средств не привлекая заемных источников.

Такое устойчивое финансовое положение свидетельствует о том, что предприятие абсолютно платеже способно и собственных средств хватит на формирование запасов исключительно собственными средствами. Излишек собственных оборотных средств говорит о том, что для формирования запасов и затрат нет необходимости привлекать долгосрочные и краткосрочные кредиты и займы.

.5 Анализ показателей ликвидности предприятия и его баланса

Проведем группировку активов и пассивов и срочности оплаты по следующим признакам:

Таблица 20

АКТИВ

А1

Наиболее ликвидные активы

Денежные средства + Краткосрочные  финансовые вложения

с. 1240 + с. 1250

А2

Быстро реализуемые активы

Краткосрочная дебиторская задолженность

с. 1230

А3

Медленно реализуемые активы

Запасы + НДС +  Прочие оборотные активы

с. 1210 + с. 1220 + с.1260

А4

Трудно реализуемые активы

Внеоборотные активы

с. 1100

ПАССИВ

П1

Наиболее срочные обязательства

Кредиторская  задолженность

с. 1520

П2

Краткосрочные пассивы

Краткосрочные кредиты и займы + Прочие краткосрочные обязательства

с. 1510 + с. 1550

П3

Долгосрочные пассивы

Долгосрочные кредиты и займы

с. 1400

П4

Постоянные пассивы

Собственный капитал

с. 1300



Таблица 21

Анализ ликвидности баланса, тыс. руб.

А

2010г

2011г


П

2010г

2011г

Платежные излишки (+) или недостатки (-)








2010г

2011г

А1

1911

156

П1

3706

3716

-1795

-3560

А2

8663

13372

П2

1491

730

+7172

+12642

А3

7682

7287

П3

5680

4093

+2002

+3194

А4

18040

19059

П4

24528

30580

+6488

+11521


Коэффициент абсолютной ликвидности - показывает какую часть обязательств предприятие может погасить с помощью денежных средств и краткосрочных финансовых вложений.


где ДС - денежные средства;

КФВ - краткосрочные финансовые вложения;

КО - краткосрочные обязательства.


Коэффициент критической ликвидности (промежуточный коэффициент покрытия) - показывает какую часть краткосрочных обязательств сможет погасить предприятие ликвидными активами при условии своевременных расчетов с дебиторами.


где ДЗ - дебиторская задолженность (в части краткосрочной).


Коэффициент текущей ликвидности - дает понять может ли предприятие реализуя свои оборотные средствам погасить краткосрочные обязательства.


Таблица 22

Показатель

Базовый период

Отчетный период

Абсолютное отклонение

Норматив

Коэффициент абсолютной ликвидности

0,31

0,03

-0,29

» 0,2

Коэффициент критической ликвидности

1,74

2,60

+0,86

» 0,8 - 1

Коэффициент текущей ликвидности

2,49

3,47

+0,98

» 2


ВЫВОД: Исходя из полученных данных можно сделать вывод о том, что коэффициент абсолютной ликвидности на начало года входит в норматив. Это говорит о том, что своими денежными средствами и краткосрочными финансовыми вложениями предприятие сможет рассчитаться только по 31% краткосрочных обязательств. К концу года ситуация меняется в результате того, что произошло резкое уменьшение краткосрочных вложений при одновременном увеличении краткосрочных обязательств. Теперь организация сможет рассчитаться по 3% обязательств.

Коэффициент критической ликвидности говорит о том, что если кредиторы единовременно выставят счета, то предприятие, реализовав свои наиболее ликвидные активы, сможет рассчитаться по 174% обязательств на начало года и 260% в конце. Значение, входит в норматив, а это напрямую указывает на хорошо организованную работу с дебиторами.

Коэффициент текущей ликвидности свидетельствует о том, что если произойдет такой случай, когда предприятию придется реализовать все свои оборотные активы для того, чтобы рассчитаться по долгам, то оно сможет это сделать и на дальнейшее бесперебойное функционирование организации средств хватит. В динамике значение данного коэффициента увеличивается за счет роста запасов и краткосрочных финансовых вложений при одновременном увеличении краткосрочных обязательств. Этот факт, несомненно, нужно расценивать как положительный.

Предприятие полностью платежеспособно, его финансовой устойчивости ничего не угрожает.

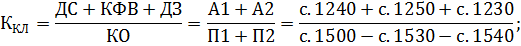
.6 Комплексная оценка финансово-хозяйственной деятельности и состояния организации

Таблица 22

Нормативная система значений

Наименование показателя

Условное обозначение

Присвоенный эталонный ранг

Чистая прибыль

ЧП

1

Прибыль от продаж

Ппр

2

Выручка от продаж

Впр

3

Сумма имущества организации

А

4

Средняя величина заемных средств за период

З

5

Средняя величина краткосрочной кредиторской задолженности

Кр

6

Средняя величина дебиторской задолженности до 12 месяцев

Дз

7

Средняя величина дебиторской задолженности свыше 12 месяцев

Дз

8


Выбранная система эталонная система рангов удовлетворяет условию соотношения темповых показателей:

Тчп>Тппр>Твпр> Та >Тз>Ткр>Тдз>Тдз

где Тчп - темп роста (снижения) чистой прибыли:

Тппр - темп роста (снижения) прибыли от продаж:

Твпр - темп роста (снижения) выучки от продаж:

Та - темп роста (снижения) среднегодовой стоимости актива:

Тз - темп роста (снижения) среднегодовой стоимости заемных средств:

Ткр - темп роста (снижения) среднегодовой величины кредиторской задолженности:

Тдз - темп роста (снижения) среднегодовой величины дебиторской задолженности до 12 месяцев:

Тдз - темп рост (снижения) среднегодовой величины дебиторской задолженности свыше 12 месяцев.

Для получения фактических рангов необходимо рассчитать относительные значения темпа роста (Iотч./баз) для каждого показателя. После того. Как будут рассчитаны роса по всем показателям, производится их ранжирование по степени убывания, т.е. наибольшему значению темпа роста присваивается значение фактического ранга равное 1, наибольшему за ним - 2 и.т.д. самому наименьшему значению темпа роста присваивается значение фактического ранга, равное 8.

Таблица 23

Наименование показателя

Код строки

За прошлый год

За отчетный год

Iотч/баз

Фактические ранги

Присвоенный эталонный ранг

Чистая прибыль

2400

6488

13720

2,11

2

1

Прибыль от продаж

2200

8105

19165

2,36

2

Выручка от продаж

2110

55492

73328

1,32

3

3

Сумма имущества организации

0,5* (1600нг + 1600кг)

35279

38085

1,08

7

4

Средняя величина заемных средств за период

0,5* (1400нг + 1500нг + 1400кг + 1500кг)

38119

42972

1,13

6

5

Средняя величина краткосрочной кредиторской задолженности

0,5 * (1520нг + 1520кг)

4706

3711

0,79

8

6

Средняя величина дебиторской задолженности до 12 месяцев

0,5 * (5500нг + 5500кг)

8443

11018

1,30

4

7

Средняя величина дебиторской задолженности свыше 12 месяцев

0,5 * (5510нг + 5510кг)

54

65

1,20

5

8


Рассчитаем коэффициент корреляции:

ВЫВОД: Полученное значение коэффициента корреляции свидетельствует о том, что между самыми важнейшими показателями деятельности компании существует сильная связь, а это значит, что в общем деятельность компании можно назвать близкой к эталонной.

ЗАКЛЮЧЕНИЕ

После проведенного комплексного экономического анализа предприятия становится возможным представлять ситуацию в организации. Так необходимо отметить, что предприятие на 77% финансируется за счет собственных средств, оно независимо от заемных источников и соответственно она составляют всего лишь 23% источников формирования имущества. Предприятию хватает собственных денежных средств и краткосрочных финансовых вложений для погашения долгов (в части норматива), а взыскание дебиторской задолженности приведет к тому, что собственные средства в 2 раза превысят обязательства. Это говорит, что на предприятии большая дебиторская задолженность.

Предприятие динамично развивается во времени, об этом говорит увеличение прибыли (исходя из анализа отчета о прибылях и убытках) и рентабельности.

Тип деятельности предприятия материалоемкий, но прочие затраты и затраты на оплату труда занимают определенный вес в сумме расходов по обычным видам деятельности (по элементам затрат).

Тип финансовой устойчивости - абсолютная финансовая устойчивость. Повторяясь, можно сказать, что это означает покрытие своих запасов исключительно собственными средствами.

В общем, данное предприятие, как и любое другое, имеет и свои минусы и плюсы. Несмотря на общее выполнение плана, увеличение выручки при том же уровне себестоимости, ритмичности производства, но увеличение выпуска продукции приводит к тому, что на предприятии необходимо обновлятьстарые основные фондына более новые.

Самое главное, что оно финансово устойчиво, а, значит, проблем с кредиторами и законом у него точно не будет, по-крайней мере в ближайшее от анализируемого время.

СПИСОК ИСПОЛЬЗОВАННОЙ ЛИТЕРАТУРЫ

Баканов М.И., Мельник М.В., Шеремет А.Д. Теория экономического анализа. - Москва. -20с.

Гиляровская Л.Т., Вехорева А.А, Анализ и оценка финансовой устойчивости коммерческого предприятия. - СПб.: Питер, 2006. - 256 с.

Гинзбург А.И. Экономический анализ: Учебное пособие. − СПб: Питер, 2009.

Грачев А.В. Анализ и управление финансовой устойчивостью предприятия:. - М.: Финпресс, 2009. - 208 с.

Донцова Л.В., Никифорова Н.А. Анализ финансовой отчетности: Учебное пособие. − М.:Издательство «Дело и сервис», 2008.

Ковалев В.В. Финансовый анализ: Методы и процедуры. − М.: Финансы и статистика, 2002.

Ковалев В.В., Волкова О.Н. Анализ хозяйственной деятельности предприятия. − М.: ПБОЮЛ Гриженко Е.М.,2006.

Савицкая Г.В. Анализ хозяйственной деятельности предприятий. - Москва, 2009. - 494с.

. Шеремет А.Д., Сайфулин Р.С. Методика финансового анализа. - Москва, 2010. -217с.

Похожие работы на - Комплексный экономический анализ хозяйственной деятельности предприятия ООО 'СибКрепМаркет'

 

Не нашли материал для своей работы?
Поможем написать уникальную работу
Без плагиата!
Без нейросетей!