Анализ финансово-хозяйственной деятельности железной дороги
Государственное образовательное учреждение
высшего профессионального образования
«ПЕТЕРБУРГСКИЙ ГОСУДАРСТВЕННЫЙ УНИВЕРСИТЕТ ПУТЕЙ СООБЩЕНИЯ»
Кафедра «Экономика транспорта
Курсовая
работа на тему
Анализ
финансово-хозяйственной деятельности железной дороги
Работу
выполнил
студентка гр.
ФМ-811
Шарипова О.М.
Работу
проверил
Зайцева И.А.
г.
Санкт-Петербург 2012 год
Введение
Экономический анализ имеет большое значение в системе управления
транспортным комплексом, в том числе в основном звене - железной дороги. Он
предшествует принятию любого решения, является обоснованием их на базе
имеющейся информации. Поэтому владение его методами необходимо всем, кто
принимает участие в управлении производством.
Основной задачей экономического анализа является познание сущности
экономических явлений, установление и количественное измерение воздействия на
уровень результативного показателя различных факторов и выявление на основе
этого резервов повышения эффективности производства.
Для изучения влияния факторов на результаты хозяйственной деятельности
применяются различные способы, выбор которых зависит от цели и глубины анализа,
объекта исследования, технических возможностей выполнения расчетов и т.д.
Цель курсового проекта - овладение методами и приемами проведения
экономического анализа хозяйственной деятельности железной дороги.
Для достижения этой цели необходимо решить следующие задачи:
· изучить методы экономического анализа;
· выполнить факторный анализ грузооборота в тарифных ткм;
· оценить влияние важнейших факторов на среднесуточную производительность
вагона;
· определить влияние факторов, влияющих на величину эксплуатационных
расходов и себестоимость перевозок;
· оценить изменение доходов за счет влияния основных факторов;
· проанализировать причины отклонения фактической прибыли от базовой
величины;
· выполнить анализ изменения уровня рентабельности дороги;
· сделать обобщающие выводы по результатам анализа.
1. АНАЛИЗ ВЫПОЛНЕНИЯ ОСНОВНЫХ ПОКАЗАТЕЛЕЙ ОБЪЕМА РАБОТЫ ДОРОГИ
Основными показателями, характеризующими работу дороги, являются:
– отправление грузов, т;
– грузооборот, ткм;
– пассажирооборот, пасс-км;
– приведенная продукция, прив.ткм.
Анализ начинают со сравнения фактических значений с базовыми. Расчеты
сводятся в табл. 2.1.
Таблица 2.1 Сравнительный анализ основных показателей объемов работы
дороги
|
Показатель
|
Базовый период
|
Фактический период
|
Отклонение от базового значения
|
|
|
|
Абсолютное
|
Относительное, %
|
|
Погружено грузов, тыс.т
|
56105
|
54086
|
-2019
|
-3,60%
|
|
Приведенная продукция, млн.ткм
|
99800
|
96100
|
-3700
|
-3,71%
|
|
Пассажирооборот, млн.пасс-км
|
9980
|
9600
|
-380
|
-3,81%
|
|
Грузооборот в экспл.ткм, млн.
|
92695
|
89180
|
-3515
|
-3,79%
|
|
Грузооборот в тарифных ткм, млн.
|
89820
|
86500
|
-3320
|
-3,70%
|
|
Коэффициент разрыва между тарифными и эксплуатационными
ткм, %
|
3,2
|
3,1
|
-0,1
|
|
Для характеристики соотношения между тарифным и эксплуатационным
грузооборотом используют коэффициент разрыва между тарифными и
эксплуатационными ткм:
=
((92695/89820)-1)*100 = 3,2%
=
((89180/86500)-1)*100 = 3,1%
Повышение
этого показателя означает увеличение эксплуатационной работы, что вызывает дополнительные
расходы на перевозки, уменьшение прибыли компании.
Для анализа изменения объемных показателей работы дороги используют
факторный анализ. В курсовом проекте предлагается выполнить анализ грузооборота
в тарифных ткм., пассажирооборота и приведенной продукции. Анализ выполняется
методом корректировок.
Величина грузооборота анализируется по формуле:

где
- количество перевезенных грузов, тыс. т;
-
средняя дальность перевозки грузов, км.
Рис. 1.1 Схема взаимосвязи показателей перевозок грузов
. Расчет грузооборота по видам сообщений и в местном сообщении по родам
груза
а) В базовом периоде
=89820 млн.ткм.
Местное
сообщение
= 24,9%*89820= 22365,2 млн.ткм
Прямое
сообщение
= 75,1%*89820= 67454,8 млн.ткм
11,6%*22365,2 = 2594,4 млн. ткм
14,9%*22365,2= 3332,4 млн. ткм
8,3%*22365,2 = 1856,3 млн. ткм
22,4%*22365,2= 5009,8 млн. ткм
42,8%*22365,1 = 9572,3 млн. ткм
б) В отчетном периоде
86500 млн.ткм
Местное
сообщение
= 24,6%*86500=21279 млн.ткм
Прямое
сообщение
= 75,4%*86500=65221 млн.ткм
11,6%* 22365,18 = 2617,3 млн. ткм
14,9%*22365,18= 3213,1 млн. ткм
8,3%*22365,18 = 1510,8 млн. ткм
22,4%*22365,18= 4766,5 млн. ткм
42,8%*22365,18 = 9171,3 млн. ткм
. Расчет индексов корректировки по количеству перевезенных грузов (для
каждого вида сообщения и по каждому роду груза отдельно):
=







.
Расчет грузооборота, скорректированного на выполненный объем перевезенных
грузов:

где
- грузооборот по базовому периоду, млн. ткм.
89820*0,955= 85795,3 млн. ткм
67454,8*0,946= 63811,7 млн. ткм
22365,2*0,962 = 21509,3 млн. ткм
= 2594,4
*0,993 = 2576,8 млн. ткм
3332,4 *0,975= 3248,5 млн.ткм
1856,3 *0,849 = 1576,6 млн. ткм
5009,8 *0,982 = 4920,3 млн. ткм
9572,3 *0,992 = 8825,7 млн.ткм
. Изменение грузооборота под влиянием изменения объема перевезенных
грузов и под влиянием средней дальности перевозки грузов:
∆
-
= 85795,3 - 89820 = -4024,7 млн. ткм
∆
-
= 86500 - 85795,3 = 704,7 млн. ткм
где
- грузооборот по фактическому периоду, млн. ткм.
Анализ грузооборота в тарифных ткм, млн. Таблица 1.2
|
Показатели
|
База
|
Индекс корректировки
|
Скорректированное значение базы
|
Факт
|
Отклонение
|
|
|
|
|
|
|
|
|
|
|
|
Всего
|
в том числе
|
|
|
|
|
|
|
за счет изменения
|
|
|
|
|
|
|
|
|
|
|
|
|
|
объема
|
средней дальности
|
|
|
|
|
|
|
перевозок грузов
|
(гр.4-гр.3)
|
|
|
|
|
|
|
(гр.3-гр.1)
|
|
|
Грузооборот всего
|
89820,0
|
0,955
|
85795,3
|
86500,0
|
-3320,0
|
-4024,7
|
704,7
|
|
в том числе
|
|
|
|
|
|
|
|
|
по сообщениям:
|
|
|
|
|
|
|
|
|
- местное
|
22365,2
|
0,962
|
21509,3
|
21279,0
|
-1086,2
|
-855,9
|
-230,3
|
|
- прямое
|
67454,8
|
0,946
|
63811,7
|
65221,0
|
-2233,8
|
-3643,1
|
1409,3
|
|
Итого
|
89820,0
|
-
|
85321,0
|
86500,0
|
-3320,0
|
-4499,0
|
1179,0
|
|
грузооборот
|
|
|
|
|
|
|
|
|
Влияние изменения структуры по видам
|
-
|
-
|
-4024,7
|
-
|
-
|
704,7
|
-3320,0
|
|
сообщения
|
|
|
|
|
|
|
|
|
Перевозки
|
22365,2
|
0,962
|
21509,3
|
21279,0
|
-1086,2
|
-855,9
|
-230,3
|
|
в местном
|
|
|
|
|
|
|
|
|
сообщении
|
|
|
|
|
|
|
|
|
всего
|
|
|
|
|
|
|
|
|
в том числе
|
|
|
|
|
|
|
|
|
по родам груза:
|
|
|
|
|
|
|
|
|
- уголь
|
2594,4
|
0,993
|
2576,8
|
2617,3
|
23,0
|
-17,6
|
40,5
|
|
- нефть
|
3332,4
|
0,975
|
3248,5
|
3213,1
|
-119,3
|
-83,9
|
-35,4
|
|
- хлебные грузы
|
1856,3
|
0,849
|
1576,6
|
1510,8
|
-345,5
|
-279,7
|
-65,8
|
|
- руда
|
5009,8
|
0,982
|
4920,3
|
4766,5
|
-243,3
|
-89,5
|
-153,8
|
|
- прочие
|
9572,3
|
0,922
|
8828,7
|
9171,2
|
-401,0
|
-743,6
|
342,5
|
|
грузы
|
|
|
|
|
|
|
|
|
Итого
|
22365,2
|
-
|
21150,9
|
21279,0
|
-1086,2
|
-2070,2
|
128,1
|
|
местные
|
|
|
|
|
|
|
|
|
перевозки
|
|
|
|
|
|
|
|
|
Влияние изменения структуры по родам груза
|
-
|
-
|
-855,9
|
-
|
-
|
-230,3
|
-1086,2
|
Вывод: За отчетный период погрузка грузов уменьшилась на 2019 тыс. тонн,
что, соответственно, способствовало уменьшению грузооборота эксплуатационного
на 3515 млн. ткм и грузооборота тарифного на 3720 млн. ткм. Уменьшился
пассажирооборот на 380 млн. пасс-км. Величина приведенной продукции уменьшилась
на 3,7%, что составляет 3700 млн. ткм. Коэффициент разрыва между тарифными и
эксплуатационными ткм увеличился на 0,9%, что говорит об увеличении
эксплуатационной работы, а как следствие, увеличение дополнительных расходов на
перевозки.
В отчетном периоде грузооборот по сравнению с базисным периодом
уменьшился на 3720 млн. ткм в большей степени за счет уменьшения грузооборота в
местном сообщении на 1086,2 млн. ткм, грузооборот в прямом сообщении уменьшился
на 2233,8 млн. ткм.
Уменьшение объема перевозок грузов повлияло также на грузооборот по видам
сообщения, а именно: уменьшение грузооборота в местном сообщении на 855,9 млн.
ткм и уменьшение грузооборота в прямом сообщении на 3643,1 млн. ткм. Увеличение
средней дальности перевозок повлияло на уменьшение грузооборота в местном
сообщении на 230,3 млн. ткм, и увеличение в прямом сообщении на 1409,3 млн.
ткм.
Рассматривая грузооборот в местном сообщении, можно сказать, что он
уменьшился на 1086,2 млн. за счет уменьшения объема перевозок грузов на 855,9
млн. ткм и уменьшение средней дальности перевозок на 230,3 млн. ткм. Из-за
уменьшения средней дальности перевозок в местном сообщении практически всем
родам груза, а именно: нефть, хлебные грузы, руда - на 83,9; 279,7; 89,5; 743,6
млн. ткм. соответственно, увеличилась средняя дальность перевозок по двух
показателям: уголь и прочие грузы и составила 40,5 и 342,5 млн. ткм.
соответственно. Уменьшился и грузооборот в местном сообщении за счет уменьшения
объемов перевозок на 2070,2 млн.ткм., несмотря на то, что средняя дальность
увеличилась на 128,1 млн.ткм.
2. Анализ обобщающих показателей использования подвижного состава в
грузовом движении
В деятельности железной дороги решающая роль принадлежит работе
подвижного состава, поэтому анализу показателей его использования придается
большое значение, т.к. с его помощью изыскиваются резервы повышения интенсивности
использования подвижного состава. К обобщающим показателям относятся
производительность вагона и производительность локомотива.
Рис.2.1 Схема взаимосвязи показателей использования грузовых вагонов
Наиболее широко для анализа показателей использования грузовых вагонов
используется метод цепных подстановок и способ долевого участия.
Аналитическая модель среднесуточной производительности вагона
представлена формулой:
где
- доля порожнего пробега вагона, %;
-
динамическая нагрузка на груженый вагон, т;
-
среднесуточный пробег вагона, км.
Анализ
производительности вагона методом цепных подстановок выполнен в таблице 2.1.
Таблица
2.1 Анализ производительности вагона, ткм
|
Номер подстановки
|
Факторы
|
|
Разность подстановок
|
|
|
1 +
|
|
|
|
|
1
|
2
|
3
|
|
|
|
1
|
297
|
1,302
|
41
|
9352,5
|
-
|
|
2
|
294
|
1,302
|
41
|
9258,1
|
-94,5
|
|
3
|
294
|
1,3
|
41
|
9272,3
|
14,2
|
|
4
|
294
|
1,3
|
42,2
|
9543,7
|
271,4
|
|
Баланс отклонений
|
|
191,2
|
191,2
|
Вывод: В отчетном периоде производительность вагона увеличилась на 191,2
тонно-км, при этом за счет уменьшения среднесуточного пробега на 3 км
производительность снизилась на 94,5 тонно-км, за счет увеличения доли
порожнего пробега на 0,15% производительность увеличилась на 14,2 тонно-км, за
счет увеличения динамической нагрузки на груженый вагон на 1,1 тонну,
производительность увеличилась на 271,4 тонно-км. Таким образом, отрицательное
влияние оказал такой фактор, как уменьшение среднесуточного пробега вагона, а
положительное влияние оказали доля порожного пробега и динамическая нагрузка на
груженый вагон.
Величина рабочего парка вагонов по базе и по факту определяется по
следующей формуле:
Используя
способ абсолютных разниц, рассчитываем отклонение фактического рабочего парка
вагонов от базового в зависимости от объема перевозок и производительности
вагона:
;
.
Проверка:
Используется
способ долевого распределения для анализа отклонений рабочего парка вагонов по
факторам, определяющим среднесуточную производительность вагона.
На
первом этапе рассчитываем коэффициент долевого распределения k по
формуле
На
втором этапе измеряем влияние на величину рабочего парка:
среднесуточного
пробега вагона
;
коэффициента
порожнего пробега
;
- динамической нагрузки на груженый вагон
.
Проверка:
258 - 39 - 742 = - 523 ваг
Вывод
В отчетном периоде рабочий парк вагонов уменьшился на 1553 вагона, в том
числе на 1030 вагонов за счет уменьшения грузооборота на 2515 млн. ткм, и на
523 вагонов за счет уменьшения производительности на 191,2 тонно-км. В свою
очередь количество вагонов снизилось на 523 вагона за счет увеличения
динамической нагрузки на груженый вагон на 1,1 тонну, парк вагонов уменьшился
на 742 вагона, за счет снижение доли порожнего пробега на 0,15%, парк
уменьшился на 39 вагонов, а за счет уменьшения среднесуточного пробега вагона
на 3 км количество вагонов увеличилось на 258 вагонов.
3. Анализ эксплуатационных расходов и себестоимости перевозок
Важной частью анализа хозяйственной деятельности железной дороги является
анализ эксплуатационных расходов и себестоимости перевозок.
Для факторного анализа эксплуатационных расходов и себестоимости
используют информацию о затратах на перевозки (Ф-6 жел), о темпах изменения
грузооборота, пассажирооборота и показателей работы подвижного состава (ЦО-1,
ЦО-5), данные по калькуляции расходов по видам перевозок, по видам тяги.
В курсовом проекте определяется влияние изменения объема перевозок и их
себестоимости на величину эксплуатационных расходов. Для анализа используем
метод корректировок.
Взаимосвязь факторов, определяющих величину эксплуатационных расходов,
представлена формулой:
где,
Э - эксплуатационные расходы, млн. руб.;
- объем
перевозок, млн. прив. ткм;
-
средняя себестоимость перевозок, коп.за 10 прив. ткм.
На
первом этапе определяем эксплуатационные расходы, скорректированные на
выполненный объем перевозок
где
Э0 - эксплуатационные расходы по базовому периоду, млн. руб.;
-
коэффициент корректировки по приведенным ткм.
=
Изменение
эксплуатационных расходов под влиянием изменения объема перевозок и
себестоимости определяется по следующим формулам:

10495-11090 = 389,0932- 984,093= -595
При анализе эксплуатационных расходов принято их увеличение (перерасход)
обозначать знаком «-», а снижение (экономию) - знаком «+».
Затем оцениваем влияние на расходы факторов, определяющих уровень
себестоимости перевозок: объема перевозок, структуры перевозок по их видам и
типам тяги, качественных показателей использования подвижного состава, нормы
затрат и цен, разрыва между тарифными и эксплуатационными тонно-километрами.
Важным условием для анализа себестоимости является предварительная
группировка эксплуатационных расходов по степени зависимости от объема
перевозок, по видам перевозок и типам тяги. Расчеты группировки сводим в табл.
3.1.
Таблица 3.1
|
Показатели
|
Удельный вес
|
Абсолютное
|
|
в общей сумме расходов, %
|
значение,
|
|
|
млн. руб.
|
|
Расходы по базовому периоду
|
100
|
10495
|
|
в том числе:
|
|
|
|
независящие от объема перевозок
|
67,5
|
7084,125
|
|
зависящие от объема перевозок:
|
32,5
|
3410,875
|
|
грузовых
|
25,3
|
2655,235
|
|
в том числе по типам тяги:
|
|
|
|
- электотяга
|
11,4
|
1196,43
|
|
- теплотяга
|
6,9
|
724,155
|
|
- расходы общие для всех типов тяги
|
7
|
734,65
|
|
пассажирских
|
7,2
|
755,64
|
|
в том числе по типам тяги:
|
|
|
|
- электротяга (без МВС)
|
2,3
|
241,385
|
|
- теплотяга
|
1,6
|
167,92
|
|
- МВС
|
1,2
|
125,94
|
|
- расходы общие для всех видов тяги
|
2,1
|
220,395
|
Оценка влияния отдельных факторов на изменение себестоимости перевозок
производится следующим образом:
. Влияние себестоимости на расходы в связи с изменением объема перевозок
,
где
- независящие от объема перевозок расходы по базовому
периоду.
.
Влияние на расходы изменений структуры перевозок по их видам:
где
- базовое значение зависящих от объема перевозок
расходов.
.
Влияние на расходы изменения соотношения между тарифными и эксплуатационными
ткм:
,
где
- базовое значение зависящих расходов в грузовом
движении.
.
Влияние на расходы изменения структуры перевозок по типам тяги:
где
- изменение расходов за счет влияния изменения
структуры перевозок по типам тяги соответственно в грузовом и пассажирском
движении:
а)
по грузовым перевозкам:
= 
,
где
- базовые значения зависящих расходов, приходящихся
соответственно на теплотягу, электротягу и общие для всех типов тяги.
б)
по пассажирским перевозкам:
=
-
+
,
где

-
базовые значения зависящих расходов, приходящихся соответственно на теплотягу,
электротягу, МВС и общие для всех типов тяги.
.
Влияние на расходы группы факторов, характеризующих использование подвижного
состава:
=
,
где
- изменение расходов за счет влияния группы факторов,
характеризующих использование подвижного состава соответственно в грузовом и
пассажирском движении.
а)
=
;
б)
=
,
где
,
-
базовые значения расходов, зависящих от объема перевозок, пересчитанных на
выполненный пробег подвижного состава, млн. руб.
.
Влияние на расходы изменения населенности пассажирского вагона:
=
.
.
Влияние на расходы изменения цен на материалы, топливо, электроэнергию и
отклонений фактических удельных затрат от учтенных в плане норм:
+
.
Проверка:
,093=-262,6379+0,4615+2,5417+144,0152-2236,2705-
,3282+1404,125=-984,093
Таблица 3.2 Оценка влияния на расходы себестоимости отдельных факторов
|
Наименование факторов
|
Результаты оценки влияния факторов
|
|
на расходы, млн. руб.
|
на себестоимость перевозок, коп. за 10 пр.ткм
|
|
А
|
1
|
2
|
|
Изменение расходов всего
|
-595,00
|
-
|
|
Объем перевозок (без учета изменения себестоимости по этому
фактору)
|
389,09
|
-
|
|
Себестоимость перевозок
|
-984,09
|
-10,24
|
|
в том числе:
|
|
|
|
-объем перевозок
|
-262,64
|
-2,73
|
|
-структура перевозок по видам
|
0,46
|
0,005
|
|
-коэффициент разрыва между тарифными и эксплуатационными
ткм
|
2,54
|
0,03
|
|
-структура перевозок по типам тяги
|
144,02
|
1,50
|
|
-качественные показатели использования подвижного состава
|
-2236,27
|
-23,27
|
|
-населенность пассажирского вагона
|
-36,33
|
-0,38
|
|
-удельные затраты трудовых и материальных ресурсов, цены на
материалы, топливо и электроэнергию
|
1404,13
|
14,61
|
Вывод
Величина эксплуатационных расходов в отчетном периоде увеличилась,
перерасход составил 595 млн. руб. Увеличение эксплуатационных расходов
произошло в большей степени под влиянием снижения себестоимости перевозок на
984,09 млн. руб., то есть произошел значительный перерасход, а так же под
влиянием увеличения объема перевозок на 389,09 млн. руб., то есть произошел
перерасход.
На увеличение эксплуатационных расходов в части себестоимости значительно
повлияли следующие факторы: изменение объема перевозок, которым было вызвано увеличение
эксплуатационных расходов на 262,64 млн. руб., а также изменение качественных
показателей использования подвижного состава, которым было вызвано увеличение
расходов на 2236,37 млн. руб. и населенность пассажирских вагонов на 36,33 млн.
руб. Остальные факторы, такие как структура перевозок по видам сообщения,
коэффициента разрыва между тарифными и эксплуатационными ткм,, структура
перевозок по тиам тяги, удельные затраты трудовых и материальных ресурсов, цены
на мматериало, топливо и электроэнергию, влекли за собой увеличение расходов на
0,46; 2,54; 144,02; 1404,13 млн. руб. соответственно, а также уменьшение
себестоимости на 0,005; 0,03; 1,5; 14,61 коп.за 10 прив. ткм. соответственно.
4. Анализ доходов железной дороги
Доходы от основной деятельности - важнейший показатель, темп роста
которого характеризует степень повышения экономической эффективности
производства.
Жлезные дороги получают доходы от перевозки грузов, пассажиров, багажа и
почты; за выполнение начальной и конечной операций по грузовым перевозкам; за
выполнение подсобно-вспомогательной деятельности.
В курсовой работе выполняется анализ доходов от перевозок. Исходная
информация для анализа доходов дороги содержится в отчетных формах: БО-11
«Отчет о производственно-финансовой деятельности железной дороги», ЦО-12 «Отчет
о перевозке грузов, их пробегах и полученном за них доходе», ЦО-22 «Отчет о
перевозке пассажиров и доходе от этих перевозок».
В процессе экономического анализа необходимо выявить динамику доходов и
оценить влияние важнейших факторов на их величину. Схема анализа доходов
железной дороги приведена рис. 4.1
Рис.4.1 Схема анализа доходов дороги от перевозок
Для анализа структуры и динамики доходов используется следующая
аналитическая таблица.
Таблица 4.1 Анализ структуры доходов и их динамики
|
Вид доходов
|
Доходы по базе, млн. руб.
|
В % к итогу
|
Доходы по факту
|
В % к итогу
|
Изменение
|
|
|
|
|
|
Доходов, млн. руб. (гр. 3 - гр. 1)
|
Структура доходов, % (гр. 4 - гр. 2)
|
|
|
|
|
|
|
|
|
|
|
|
|
|
|
|
А
|
1
|
2
|
3
|
4
|
5
|
6
|
|
Доходы от грузовых перевозок
|
10728,87
|
89,56
|
10900,16
|
89,62
|
171,30
|
0,06
|
|
Доходы от пассажирских перевозок
|
1250,08
|
10,44
|
1262,00
|
10,38
|
11,91
|
-0,06
|
|
Всего доходы от перевозок
|
11978,95
|
100,00
|
12162,16
|
100,00
|
183,21
|
0,00
|
Схема причинно-следственной зависимости показателей доходов от перевозки
грузов и пассажиров представлена на рис. 4.2 и анализируется по следующей
формуле:
=
=
+ 
=
+ 
,
где
- сумма доходов от перевозок, млн. руб.;
-
грузооборот тарифный, млн. ткм;
-
пассажирооборот, млн. пасс-км;
,
- средняя доходная ставка за 10 тар. ткм и за 10
пасс-км, коп;
,
- доходная ставка соответственно по каждому роду
груза в гру зовом движении и по каждому виду сообщения в пассажирском движении.
а)
в базовом периоде:
=0,19*53,144+0,16*126,421+0,23*55,845+0,16*118,421+0,26*220,508=119,45
коп/10 ткм
=
= 10728,87 млн. руб.
=
0,81*145,843+0,03*160,941+0,16*102,494=125,26 коп/10 пасс-км
=
= 1250,08 млн. руб.
Σ
= 10728,87+1250,08 =11978,95 млн.руб.
б)
в отчетном периоде
=
0,17*57,421+0,18*128,787+0,21*60,101+0,19*123,421+0,25*227,996 =
,01коп/10
ткм
=
= 10900,16 млн. руб.
=0,81*138,565+0,04*178,005+0,15*80,667=
131,46 коп/10 ткм
=
= 1262 млн.руб.
=10900,16+1262=
12162,16 млн.руб.
рентабельность
железный дорога себестоимость
Рис.4.2 Система взаимосвязи показателей доходов от перевозок грузов и
пассажиров
Факторный анализ доходов от перевозок выполняется способом корректировок,
результаты расчетов сводим в таблицу 4.2.
Анализ средней доходной ставки выполняется способом структурных сдвигов.
При оценке влияния на доходы от перевозок грузов структурных изменений
предварительно рассчитывается подстановка по формуле:
.
Влияние
изменений структуры перевозок по родам грузов на среднюю доходную ставку
определяется следующим образом:
.
Изменение
величины доходов от перевозок грузов за счет изменения структуры перевозок по
родам грузов будет рассчитываться по формуле:
.
Влияние
изменений доходной ставки по каждому роду груза на среднюю доходную ставку
определяется следующим образом:
.
Изменение
величины доходов от перевозок грузов за счет изменения доходной ставки по
каждому роду грузов будет рассчитываться по формуле:
.
Грузовые
перевозки:
=
0,17*53,144+0,18*126,421+0,21*55,845+0,19*118,421+0,25*220,508 = 121,14 коп/10
ткм
= 121,14
- 119,45 = 1,7 коп/10 ткм
=
= 146,72 млн.руб.
=126,01 -
121,14= 4,87 коп/10 ткм
=
= 421,15 млн.руб.
Пассажирские
перевозки:
=
0,81*128,434+0,04*160,941+0,15*102,494 = 131,67 коп/10 пасс-км
= 131,67
- 125,26= 6,41 коп/10 пасс-км
=
= 1264,07 млн.руб.
= 131,46
- 131,67 = -0,22 коп/10 пасс-км
=
= - 2,08 млн. руб.
Анализ
доходов от перевозок, млн. руб. Таблица 4.2
|
Показатель
|
Доходы за базовый период
|
Индекс изменения объема перевозок, %
|
Доходы скорректированные на объем перевозок
|
Доходы за отчетный период
|
Изменение доходов за отчетный период
|
|
|
|
|
|
Всего (гр. 4-1)
|
в том числе в связи
|
|
|
|
|
|
|
с изменением объема перевозок (гр.3-1)
|
средней доходной ставки (гр.4-3)
|
|
Всего доходов от перевозок
|
11978,95
|
0,963
|
11534,84
|
12162,16
|
183,21
|
-444,11
|
627,32
|
|
Доходы от перевозок грузов
|
10728,87
|
0,963
|
10332,30
|
10900,16
|
171,30
|
-396,57
|
567,87
|
|
Доходы от перевозок пассажиров
|
1250,08
|
0,962
|
1202,48
|
1262,00
|
11,91
|
-47,60
|
59,51
|
|
Итого по грузовым и пассажирским перевозкам (стр. 2+3)
|
11978,95
|
-
|
11534,78
|
12162,16
|
183,21
|
-444,17
|
627,38
|
|
Влияние изменения структуры перевозок (стр.1-4)
|
0
|
-
|
0
|
0
|
0
|
0
|
0
|
Таблица 4.3 Результаты анализа доходов дороги
|
Факторы
|
Изменение доходов под влиянием фактора, млн.руб.
|
Доля влияния каждого фактора в общем изменении доходов за
отчетный период, %
|
|
|
|
|
1.Грузооборот, тар. Ткм
|
-396,57
|
-28,6%
|
|
2.Доходные ставки по родам грузов
|
421,15
|
30,4%
|
|
3.Структура перевозок по родам грузов
|
146,72
|
10,6%
|
|
4.Итого по грузовым перевозкам (стр. 1+2+3)
|
171,30
|
12,4%
|
|
5.Пассажирооборот, пасс-км
|
-47,60
|
-3,4%
|
|
6.Доходные ставки по видам сообщений
|
-2,08
|
-0,1%
|
|
7.Структура перевозок по видам сообщений
|
1264,07
|
91,2%
|
|
8.Итого по пассажирским перевозкам (стр. 5+6+7)
|
1214,40
|
87,6%
|
|
9. Структура перевозок по видам движения
|
0,00
|
0,0%
|
|
10.Всего по факторам (стр.4+8+9)
|
1385,69
|
100,0%
|
Вывод:
В отчетном периоде доходы от перевозок увеличились, по сравнению, с
базисным на 1385,69 млн. руб. Причиной послужило увеличение доходов по грузовым
перевозкам на 171,3 млн. руб., доля влияния которого в общем изменении доходов
равна 12,4%, а также за счет уменьшения пассажирооборота на 47,6 млн. руб., его
доля влияния в общем изменении доходов равна 3,4%. Увеличение доходов по
грузовым перевозкам произошло под влиянием изменения доходных ставок по родам
грузов, удельный вес которых в общем увеличение доходов составляет 30,4% и
благодаря которой доходы снизились на 421,15 млн. руб.
Изменение дохода уменьшилось под влиянием фактора грузооборот тарифный на
396,57 млн. руб., а его доля уменьшилась на 28,6%. А показатель структура
перевозок по родам грузов повлиял положительно, доходы увеличились на 1264,07
млн. руб., доля составила 91,2 %.
Увеличение доходов по пассажирским перевозкам произошло под влиянием
изменения следующих факторов: доходные ставки по видам сообщений и структура
перевозок по видам сообщения доходы составили -2,08 и 1264,07 млн. руб. их доля
составила 0,1% и 87,6%. Пассажирооборот, наоборот, повлиял отрицательно,
уменьшение дохода составило 47,6 млн. руб., а доля составила 3,4%.
5. Анализ прибыли от перевозок
Финансовые результаты деятельности железной дороги характеризуются суммой
полученной прибыли и уровнем рентабельности.
Прибыль железная дорога получает от перевозок, а также от других видов
деятельности. Основными источниками при анализе прибыли являются финансовый
отчет Формы №2 «Отчет о финансовых результатах и их использовании», а также
соответствующие планы экономического и социального развития предприятия.
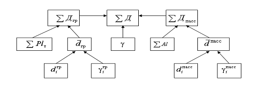
Рис.5.1 Схема факторного анализа прибыли
В курсовой работе проводится анализ балансовой прибыли, включающую в себя
прибыль от эксплуатационной деятельности и подсобно-вспомогательной
деятельности. Среди факторов, влияющих на величину прибыли можно выделить
факторы (х), которые влияют только на доходы (Д), факторы (y), которые влияют только на расходы
(Э), и факторы (z), влияющие и на
расходы, и на доходы. Поэтому анализ прибыли выполняется путем обобщения
результатов исследования причин изменения расходов (табл. 4.3) и доходов (табл.
5.3):
;
;
Расчеты
и результаты анализа сводим в табл. 5.1. Проверка:
∆Пб=Пб1-Пбо=∆Пб(ΣPlпр)+∆Пб(с)+∆Пб(
)+Пб(ПВД)
-1481,79=2602,16-4083,95=-55,02-984,09+627,32-1070=-1481,79
Таблица 5.1 Анализ балансовой прибыли, млн. руб.
|
Показатели
|
База
|
Факт
|
Отклонение от базы
|
|
|
|
Всего
|
в том числе за счет изменения
|
|
|
|
|
Объема перевозок
|
Себестоимости перевозок
|
в том числе по факторам
|
Средней доходной ставки
|
в том числе по факторам
|
Прибыли от ПВД
|
|
|
|
|
|
|
объем перевозок
|
структура по видам перевозок
|
коэффициент разрыва между тарифн. и экспл. ткм
|
структура перевозок по типам тяги
|
Населенность пасс. вагона
|
удельные затраты трудовых и материальных ресурсов, цены на
материалы, топливо и э/э
|
|
|
|
|
|
|
|
|
|
|
|
|
|
|
|
|
|
доходной ставки за 10 тарифных ткм
|
доходной ставки за 10 пассажиро-км
|
структура по видам перевозок
|
|
|
1.Доходы от перевозок
|
11978,95
|
12162,16
|
183,21
|
-444,11
|
0
|
0
|
0
|
0
|
0
|
0
|
0
|
0
|
627,32
|
567,87
|
59,51
|
0
|
0
|
|
2.Расходы от перевозок
|
10495
|
11090
|
595
|
-389,09
|
984,09
|
262,64
|
-0,46
|
-2,54
|
-144,02
|
2236,27
|
36,33
|
-1404,13
|
0
|
0
|
0
|
0
|
0
|
|
3.Прибыль от перевозок (стр.1-2)
|
1483,95
|
1072,16
|
-411,79
|
-55,02
|
-984,09
|
-262,64
|
0,46
|
2,54
|
144,02
|
-2236,27
|
-36,33
|
1404,13
|
627,32
|
567,87
|
59,51
|
0
|
0
|
|
4.Прибыль от ПВД
|
2600
|
1530
|
-1070
|
|
|
|
|
|
|
|
|
|
|
|
|
|
-1070
|
|
5.Балансовая прибыль (стр.3+4)
|
4083,95
|
2602,16
|
-1481,79
|
-55,02
|
-984,09
|
-262,64
|
0,46
|
2,54
|
144,02
|
-2236,27
|
-36,33
|
1404,13
|
627,32
|
567,87
|
59,51
|
0
|
-1070
|
|
6.Удельный вес фактора в общем изменении прибыли
|
-
|
-
|
100%
|
4%
|
66%
|
18%
|
0%
|
0%
|
-10%
|
151%
|
2%
|
-95%
|
-42%
|
-38%
|
-4%
|
##
|
72%
|
Вывод:
Балансовая прибыль в отчетном периоде уменьшилась на 1481,79 млн. руб.
под влиянием следующих факторов: за счет изменения объема перевозок, прибыль
снизилась на 55,02 млн. руб.; за счет изменения себестоимости перевозок прибыль
уменьшилась на 984,09 млн. руб., в том числе: за счет значительного влияния таких
факторов как: изменение объема перевозок, что повлекло снижение прибыли на
262,64 млн. руб., изменение структуры перевозок по видам перевозок, отчего
прибыль увеличилась на 0,46 млн. руб., а также изменение структуры перевозок по
видам тяги прибыль увеличилась на 144,02 млн. руб.; изменение качества
использования подвижного состава, что способствовало уменьшению балансовой
прибыли на 2236,27млн. руб.
Также балансовая прибыль увеличилась на счет снижения прибыли от ПВД на
1070 млн. руб.
Факторы способствующие увеличению балансовой прибыли: изменение средней
доходной ставки - балансовая прибыль увеличилась на 627,32 млн. руб., в том
числе за счет изменения доходной ставки за 10 тарифных ткм - увеличилась на
567,87 млн.руб., изменения доходной ставки за 10 пассажиро-ткм - увеличилась на
59,51 млн.руб., а изменения структуры перевозок по видам сообщения не повлияли
прибыль, т.к. она составила 0,0 млн.руб.
6. Анализ рентабельности хозяйственной деятельности железной дороги
Обобщающим показателем эффективности хозяйственной деятельности железной
дороги является уровень рентабельности, который определяется отношением
балансовой прибыли к среднегодовой стоимости основных фондов и материальных
оборотных средств
,
где
- рентабельность деятельности железной дороги, %;
-
балансовая прибыль, млн. руб.;
ОФ
- среднегодовая стоимость основных фондов, млн. руб.;
ОС
- средняя сумма оборотных средств, млн. руб.
R0=
=
R1=
Анализ
начинается с расчета рентабельности за базовый и фактический периоды, и
определения отклонения фактической рентабельности по сравнению с базой. При
факторном анализе рентабельности используется следующая аналитическая формула:
где
- фондоотдача (съем продукции с 1 руб. среднегодовой
стоимости основных фондов), руб./руб.;
п
- удельная прибыль (прибыль, приходящаяся на 10 прив. ткм), руб./10 прив. ткм.
Влияние
на рентабельность изменения фондоотдачи можно найти способом абсолютных разниц:
,
∆R(s)=
где
- изменение прибыли за счет изменения объема
перевозок, млн. руб.;
-
прибыль в базисном периоде, млн. руб.;
-
среднегодовая стоимость основных фондов соответственно за базисный и
фактический периоды, млн. руб.
Изменение
рентабельности по факторам, определяющим удельную прибыль, можно определить по
формуле:
,
∆R(n)=
где
- изменение балансовой прибыли без учета изменения
прибыли за счет объема перевозок.
Для
расчета изменений рентабельности по факторам, определяющим удельную прибыль
(т.е. по факторам, характеризующим уровень доходной ставки, себестоимость
перевозок и прибыль от ПВД), используются результаты оценки изменений прибыли
по этим факторам:
,
где
- изменение прибыли за счет изменения i-го
фактора
Проверка:
∆R=R1-R0=12,76-19,73=
-6,7
∆R=R(s)+R(n)=
0,02+(-7,26)=-6,7
Таблица
6.1 Анализ уровня рентабельности
|
Факторы
|
Оценка влияния факторов
|
|
на прибыль, млн. руб.
|
на рентабельность, %
|
|
А
|
1
|
2
|
|
1. Фондоотдача
|
-
|
0,83
|
|
2. Прибыль, приходящаяся на 10 пр. ткм
|
-1426,77
|
-7,53
|
|
в том числе влияние изменений:
|
|
|
|
в части влияния себестоимости
|
-984,09
|
-4,82
|
|
объема перевозок (в части влияния данного фактора на
себестоимость перевозок);
|
-262,64
|
-1,29
|
|
структуры перевозок по их видам;
|
0,46
|
0,00
|
|
структуры перевозок по типам тяги;
|
144,02
|
0,71
|
|
коэффициента разрыва между тарифными и эксплуатационными
ткм;
|
2,54
|
0,01
|
|
качественных показателей использования подвижного состава;
|
-2236,27
|
-10,96
|
|
населенности пассажирского вагона;
|
-36,33
|
-0,18
|
|
норм удельных затрат трудовых и материальных ресурсов, цены
на материалы, топливо и электроэнергию;
|
1404,13
|
6,88
|
|
в части влияния средней доходной ставки
|
627,32
|
3,08
|
|
доходной ставки за 10 тарифных ткм;
|
567,87
|
2,78
|
|
доходной ставки за 10 пасс-км;
|
59,51
|
0,29
|
|
структуры перевозок по их видам;
|
0
|
0,00
|
|
в части влияния прибыли от ПВД
|
-1070
|
-5,25
|
|
Всего изменение рентабельности (стр. 1 + стр. 2)
|
-
|
-6,70
|
Вывод:
Снижение рентабельности составляет 6,7% за счет уменьшенияя балансовой
прибыли - на 7,53%, а также за счет изменения фондоотдачи, из-за которой
увеличение рентабельности равно 0,83%.
В составе прибыли приходящейся на 10 приведенных ткм факторами,
повлиявшими на увеличение рентабельности, являются: снижение объема перевозок,
за счет которого рентабельность уменьшилась на 1,29%, качества использования
подвижного состава, за счёт которого произошло снижение рентабельности на
10,96%, снижение населенности пассажирского вагона (рентабельность уменьшилась
на 0,18%), а также изменение прибыли от ПВД, которое привело к снижению
рентабельности на 5,25%. А фактором повлиявшим на увеличение является структура
перевозок по типам тяги, рентабельность увеличилась на 0,71%.
Заключение
Основными показателями результатов деятельности железной дороги и её
эффективности являются балансовая прибыль и рентабельность, поэтому в целом по
деятельности железной дороге можно сказать, что наблюдается отрицательная
тенденция в отчетном периоде.
За отчетный период погрузка грузов снизилась на 2019 тыс. тонн, что,
соответственно, способствовало снижению грузооборота эксплуатационного на 3515
млн. ткм и грузооборота тарифного на 3320 млн. ткм. Уменьшился пассажирооборот
на 380 млн. пасс-км. Величина приведенной продукции уменьшилась на 3,7%, что
составляет 3700 млн. ткм. За счет увеличения эксплуатационного грузооборота
произошло увеличение рабочего парка вагонов в отчетном периоде на 1235 вагонов
и на 610 вагонов за счет уменьшения производительности на 215,1 тонно-км.
Величина эксплуатационных расходов в отчетном периоде увеличилась, перерасход
составила 595 млн. руб. Изменение эксплуатационных расходов произошло в большей
степени под влиянием изменения себестоимости перевозок на 984,09 млн. руб.,
т.е. произошел перерасход, а объем перевозок увеличился на 389,09 млн. руб.,
т.е. произошла экономия.
В отчетном периоде доходы от перевозок увеличились, по сравнению с
базисным, на 183,21 млн. руб. Причиной послужило увеличение доходов по грузовым
перевозкам на 171,3 млн. руб., доля влияния которого в общем изменении доходов
равна 12,4%, а также за счет увеличения пассажирооборота на 11,91 млн. руб.,
его доля влияния в общем изменении доходов равна 3,4%.
Балансовая прибыль в отчетном периоде уменьшилась на 1481,79 млн. руб., в
том числе за счет изменения объема перевозок - на 55,02 млн. руб.; за счет
уменьшения себестоимости перевозок - на 984,09 млн. руб. Также балансовая
прибыль уменьшилась на счет изменения прибыли от ПВД на 1070 млн. руб.
Рентабельность по сравнению с базовым периодом уменьшилась на 6,7% из-за
изменения удельной прибыли на 7,53%. В свою очередь на удельную прибыль
оказывают влияние ряд факторов, и это также отражается на изменении
рентабельности. Использование подвижного состава снизило рентабельность на
10,96% в части влияния удельной прибыли. Фактором, снизившим рентабельность в
части удельной прибыли является увеличение доходной ставки за 10 тарифных ткм,
что повлияло на увеличение рентабельности на 2,78%, а также увеличение норм
удельных затрат трудовых и материальных ресурсов, цены на материалы, топливо и
электроэнергию, что позволило снизить рентабельность на 6,88%.