Основные показатели работы железной дороги, факторы, влияющие на итоги производственной деятельности, в частности на финансовые результаты
Основные
показатели работы железной дороги, факторы, влияющие на итоги производственной
деятельности, в частности на финансовые результаты
Введение
В настоящие время, когда
предприятия приобретают все большую самостоятельность и несут полную
ответственность за результаты своей хозяйственной деятельности перед
работниками, банком и кредиторами, значение анализа финансово-хозяйственной
деятельности предприятия становится необходимостью.
Анализ финансово-хозяйственной
деятельности-это процесс, при помощи которого оценивается прошлое и текущее
финансовое положение предприятия.
Анализ финансово-хозяйственной
деятельности необходим предприятию для оценки финансового состояния
организаций, с которыми оно вступает в экономические отношения. Анализ финансово-хозяйственной
деятельности предприятия носит комплексный характер вследствие
обоснованияуровня параметров, дающих объективную и точную картину его
финансовых результатов, эффективности использования экономических ресурсов и
величины производственного потенциала.
Анализ финансово -
хозяйственной деятельности характеризуется многочисленными аспектами, широта
которых обусловлена многогранностью экономической жизни предприятия. В связи с
этим набор принимаемых во внимание факторов эффективности производственно-хозяйственной
деятельности постоянно меняется по мере того, как под воздействием внешних и
внутренних обстоятельств возникают новые ситуации. Исходя из этого, можно
сказать, что конкретный перечень показателей, ресурсов и сфер деятельности, которые
должны быть подвергнуты анализу, меняется по мере изменения условий
функционирования предприятия.
Целью работы является изучение системы
взаимосвязи показателей железной дороги, приобретение практических навыков в
выполнении аналитических расчетов по оценке влияния различных факторов
(показателей) на итоги производственной деятельности, в частности на финансовые
результаты, экономическая интерпретация полученных в результате анализа данных
и определение направления поиска резервов, улучшения экономической деятельности
дороги.
Для реализации поставленной
цели обозначены и решены следующиезадачи:
1. Проведен
анализ объемов перевозок качественных и количественных показателей
эксплуатационной работы;
2. Сделан
анализ объемов перевозок и качества эксплуатационной работы;
3. Выполнен
анализ финансовых результатов.
Таблица 1. Исходные данные
|
Показатели
|
Базис
(план)
|
Факт
(отчет)
|
|
Приведенные
тонно-километры, млн
|
103110
|
98022
|
|
Тарифные
тонно-километры, млн
|
92800
|
88220
|
|
Количество
перевезенных пассажиров, млн
|
103,1
|
98,0
|
|
Количество
погруженных и отправленных тонн, тыс.
|
58330
|
54897
|
|
Структура
погрузки в вагонах по родам грузов, %
|
|
|
|
Уголь
|
21
|
20
|
|
Нефть
|
14
|
14
|
|
Хлебные
|
18
|
18
|
|
Лесные
|
22
|
23
|
|
Прочие
|
25
|
25
|
|
Статистическая
нагрузка по родам грузов, т/ваг
|
|
|
|
Уголь
|
62
|
62
|
|
Нефть
|
40
|
40
|
|
Хлебные
|
50
|
44
|
|
Лесные
|
42
|
40
|
|
Прочие
|
44
|
42
|
|
Структура
перевозки грузов по видам сообщений,%
|
|
|
|
Местное
|
21,4
|
23,8
|
|
Прямое
|
78,6
|
76,2
|
|
Средняя
дальность перевозки грузов в прямом сообщении, км
|
372
|
370
|
|
Структура
перевозки грузов в местном сообщении, %
|
|
|
|
Уголь
|
12,9
|
12,0
|
|
Нефть
|
15,5
|
15,2
|
|
Хлебные
|
7,9
|
8,0
|
|
Лесные
|
20,2
|
20,9
|
|
Прочие
|
43,5
|
43,9
|
|
Доля
порожнего пробега вагонов, %
|
30,4
|
28,7
|
|
Тонно-километры
эксплуатационные, млн
|
94934
|
90514
|
|
Вес
тары вагона, т
|
23,1
|
22,8
|
|
Среднесуточный
пробег вагона, км
|
300
|
296
|
|
Средний
вес пробега брутто,т
|
3600
|
3280
|
|
Дальность
перевозки грузов в местном сообщении , км
|
|
|
|
Уголь
|
192
|
192
|
|
Нефть
|
186
|
185
|
|
Хлебные
|
160
|
164
|
|
Лесные
|
150
|
152
|
|
Прочие
|
175
|
181
|
|
Динамическая
нагрузка на груженный вагон, т
|
42,3
|
41,6
|
|
Груженный
рейс вагона, км
|
338
|
329
|
|
Доля
вспомогательного линейного пробега в общем, линейном пробеге, %
|
9,8
|
8,4
|
|
Среднесуточный
пробег локомотива, км
|
545
|
538
|
|
Эксплуатационные
расходы, млн руб.
|
603
|
575
|
|
В
т. ч. зависящие от объема перевозок, млн руб.
|
257
|
235
|
|
Структура
перевозок в тарифных т-км по родам грузов, %
|
|
|
|
Уголь
|
18
|
19
|
|
Нефтегрузы
|
19
|
16
|
|
Лесные
грузы
|
20
|
23
|
|
Руда
|
17
|
16
|
|
Прочие
|
26
|
26
|
|
Доходная
ставка на 10 т-км по родам грузов, коп.
|
|
|
|
Уголь
|
22,0
|
22,03
|
|
Нефтегрузы
|
278,2
|
278,3
|
|
Лесные
грузы
|
120
|
120,13
|
|
Руда
|
68,2
|
68,22
|
|
Прочие
|
234,7
|
234,71
|
|
Структура
перевозок в пассажиро-километрах по видам сообщений, %
|
|
|
|
Прямое
|
81
|
80
|
|
Местное
|
3
|
6
|
|
Пригородное
|
16
|
14
|
|
Доходная
ставка на 10 пассажиро-километров по видам сообщений, коп.
|
|
|
|
Прямое
|
150,9
|
150,9
|
|
Местное
|
210,04
|
210,01
|
|
пригородное
|
47,7
|
47,7
|
1. Общие методические
указания по приёмам анализа
Для анализа причин отклонения отчётной величины
от плановых показателей исходную информацию вводим в таблицу 1.
Таблица 1 - Исходные данные
|
План
|
Факт
|
+/-
|
%
|
|
Эксплуатационные
тонно-километры, млн.
|
90514
|
89180
|
-1334
|
98,52620
|
|
Динмаческая
нагрузка
|
41,6
|
42,2
|
0,6
|
101,44231
|
|
Вагоно-километры
|
2175,8173
|
2113,2701
|
-62,5472
|
97,12535
|
Если изучаемый фактор (субфактор) находится в
прямой связи с результативным показателем и требуется определить абсолютные
значения отклонений отчётной величины результативного показателя от его
планового уровня под влиянием данного фактора (субфактора), то целесообразно
расчёты по оценке его влияния выполнить методом разниц. Например, при
аналитической формуле взаимосвязи:


- объём работы железной дороги;

-пробег гружёных вагонов;

- динамическая нагрузка вагона.
Расчёт влияния субфактора
(количественный показатель) на
результативный показатель 
необходимо выполнить по формуле:


Расчёт влияния качественного
показателя (
) - по формуле:


Влияние обоих факторов - по формуле:

Правильность аналитических расчётов
может быть проверена по формуле равенства отклонений, в рассматриваемом случае
- по формуле:
Проверка выполнена успешно
Вывод: На изменение результирующего
показателя влияют два фактора: работа вагона и динамическая нагрузка вагона. Не
смотря на увеличение динамической нагрузки произошло снижение эксплуатационных
тонно-километров в связи с уменьшением вагоно-километров. Для увеличения
эксплуатационных тонно-километров необходимо снизить долю порожнего пробега.
При оценке влияния на результативный
показатель количественного показателя (фактора, субфактора) качественный всегда
принимается в базовом (плановом) значении, а при оценке влияния качественного
показателя (фактора, субфактора) количественный всегда принимается в
фактическом значении.
Часто результат сопоставления
базисных (плановых) и отчётных данных под влиянием отдельных факторов требуется
выразить относительным числом. Такая оценка производится с помощью
относительных чисел.
Результативный показатель
представляется в виде двухмерное модели, в нашем примере:
Для выявления влияния на
результативный показатель 
первого фактора 
(количественного) нужно из процента
выполнения плана (темпа роста) по этому фактору вычесть 100:
Влияние второго фактора на
показатель 
определяется как разность между
процентами выполнения плана по результативному показателю и по первому фактору:
Проверка выполняется по формуле:
Проверка выполнена успешно.
2.
Методические указания по выполнению отдельных расчётов
.1 Анализ
объёмов перевозок и качества эксплуатационной работы
Для измерения объёма перевозок и
качества эксплуатационной работы заполним таблицу 2.
Таблица 2 - Исходная информация для анализа
причин отклонения от плана отчётной величины показателя «среднесуточная
производительность грузового вагона»
|
№
п/п
|
Показатель
|
Единицы
измерения
|
План
|
Отчёт
|
Отклонение
+/-
|
%выполнения
плана
|
|
1
|
Результативный
показатель: среднесуточная производительность грузового вагона
|
т-км/ваг.
|
9567,6768
|
9543,6923
|
-23,9845
|
99,74932
|
|
2
|
Сложные
субфакторы: Эксплуатационные тонно-километры Вагонокилометры гружёного
пробега Вагоно-километры общего пробега
|
млн.
т-км млн. ваг.-км млн. ваг.-км
|
90514
2175,8173 2800,2769
|
89180
2113,2701 2747,2511
|
-1334
-62,5472 -53,0258
|
98,52620
97,12535
|
|
3
|
Первичные
(глубинные) факторы: Среднесуточный пробег вагона Динамическая нагрузка
гружёного вагона Коэффициент порожнего пробега вагонов
|
км
т -
|
296
41,6 0,287
|
294
42,2 0,3
|
-2
0,6 0,013
|
99,32432
101,44231 104,52962
|
Формула расчёта результативного показателя:
где 
- среднесуточная производительность
грузового вагона (план или отчёт), т-км/ваг.;

- динамическая нагрузка гружёного
вагона (план или отчёт), т.;

- среднесуточный пробег вагона
(план или отчёт), км;

- коэффициент порожнего пробега
вагонов (план или отчёт).
Формулы расчёта субфакторов:
где 
- вагоно-километры гружёного
пробега, (план или отчёт), ваг.-км;

- эксплуатационные тонно-километры
гружёного пробега, (план или отчёт), т-км;

- вагоно-километры общего пробега,
(план или отчёт), ваг.-км;
Выполним аналитические расчёты по
оценке влияния отдельных факторов на величину результативного показателя.
Аналитическая модель:
Анализ осуществляем методом цепных
подстановок в табличной форме:
Таблица 3 - Анализ методом цепных
подстановок
|
№
п/п
|
Факторы
|
Нв
|
Разность
подстановок
|
|
Sв
|
1+αгр
|
|
|
|
|
1
|
296
|
1,287
|
41,6
|
9567,6768
|
|
|
2
|
294
|
1,287
|
41,6
|
9503,0303
|
-64,6465
|
|
3
|
294
|
1,3
|
41,6
|
9408,0
|
-95,0303
|
|
4
|
294
|
1,3
|
42,2
|
9543,6923
|
135,6923
|
|
Баланс
отклонений
|
-23,9845
|

;

;

;
Проверка:
Проверка выполнена успешно.
Рассчитаем долю влияния каждого из
факторов на изменение среднесуточной производительности вагона по формулам:
Выполнить балансовую проверку по
формулам:
перевозка
эксплуатационный вагон нагрузка
Для наглядности выполнения анализа
построим диаграмму отклонения среднесуточной производительности вагона и схему
графической взаимосвязи факторов:
Рис. 1. Примерная диаграмма факторов
Вывод: на изменение 
составило -23,9845 повлияло
снижение сложныхсубфакторов:
1. Эксплуатационные тонно-километры -1334;
. Вагоно-километры гружёного пробега
-62,5472;
. Вагоно-километры общего пробега
-53,0258.
А также изменение глубинных факторов:
. Среднесуточный пробег вагона -2;
. Динамическая нагрузка гружёного вагона
0,6
. Коэффициент порожнего пробега 0,013
2.2 Анализ
эксплуатационных расходов
Для анализа эксплуатационных расходов исходную
информацию вводим в таблицу 4.
Таблица 4 - Исходные данные по анализу
эксплуатационных расходов
|
Показатель
|
Единица
измерения
|
План
|
Факт
|
Отклонение
+/-
|
%
выполнения
|
|
Приведённые
т-км
|
т-км
|
98022
|
96100
|
-1922
|
98,03922
|
|
Общая
сумма расходов
|
млн.
руб.
|
575
|
570
|
-5
|
99,13044
|
|
в
т.ч. зависящие от объёма перевозок;
|
млн.
руб.
|
235
|
238
|
3
|
101,27660
|
|
независящие
от объёма перевозок
|
млн.
руб.
|
340
|
332
|
-8
|
97,64706
|
|
Себестоимость
|
руб./10т-км
|
0,05866
|
0,05931
|
0,00065
|
101,10808
|
На основе исходных данных рассчитываем
себестоимость по формуле:
где 
и 
- эксплуатационные расходы по плану
и по отчёту.
Анализ эксплуатационных расходов и
себестоимости перевозок следует вести в следующем порядке:
а) Определим сумму расходов, не
зависящих от объёма перевозок по плану и по отчёту:
где
- общая сумма эксплуатационных
расходов,

- сумма зависящих расходов.
б)Рассчитаем отклонение общей суммы
эксплуатационных расходов под влиянием объёма перевозок в приведённых
тонно-километрах: изменение объёма перевозок, умноженное на плановый (базисный)
уровень себестоимости.
где 
- изменение объёма перевозок;

- плановая величина себестоимости.
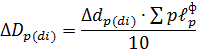
в) Рассчитаем отклонение общей суммы
эксплуатационных расходов под влиянием изменения среднего уровня себестоимости
перевозок: как произведение изменения уровня себестоимости на фактический
(отчётный) уровень объёма перевозок.
где ΔС -
изменение себестоимости;

- фактическая величина приведённых
тонно-километров.
г) Построим баланс отклонений: общее изменение
расходов должно равняться сумме их отклонений по факторам объема перевозок и
себестоимости:
д) Рассчитаем индексы эксплуатационных расходов,
приведенных т.км и себестоимости перевозок:
;
;
.
Условие оптимальности, обеспечивающее снижение
себестоимости перевозок:
Условие
>
- не выполняется;
условие 
- не выполняется;
условие
<1 - выполняется.
При данных обстоятельствах снижение
себестоимости не выполняется по приведённым тонно-километрам и себестоимости.
Отклонение себестоимости в процентах
от плана:
(знак «+» будет означать завышение
себестоимости против плана, «-» соответственно снижение себестоимости.
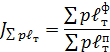
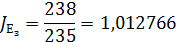
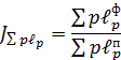
Рассчитаем индексы зависящих и независящих
расходов:
;
.
Необходимо сопоставить полученные
индексы с индексом
<
,012766>0,9803922 - не соответствует экономии
эксплуатационных расходов и снижению себестоимости;
,9764706<09803922 - соответствует экономии
эксплуатационных расходов и снижению себестоимости.
Также нам следует рассчитать индексы
себестоимости в части зависящих и независящих расходов:
;
.
Вывод: снижение себестоимости не наблюдается в
части зависящих расходов. В части независящих расходов идёт снижение
себестоимости.
2.3 Анализ финансовых
результатов
Для анализа доходов от перевозок составим
таблицу 5
Таблица 5 - Исходная информация для анализа
причин отклонения от плана отчётной величины доходов от перевозок
|
Показатели
|
Ед.
изм.
|
План
|
Факт
|
Отклоне
ние
|
%
выполнения плана
|
|
Общие
доходы от перевозок
|
млн.
руб.
|
14453,718
|
14428,9333
|
-24,7847
|
99,828524
|
|
Доходы
от грузовых перевозок
|
млн.
руб.
|
13081,438
|
13120,1557
|
-38,7177
|
100,295974
|
|
Доходы
от пассажирских перевозок
|
млн.
руб.
|
1372,28
|
1308,7776
|
-63,5024
|
95,37249
|
|
Грузооборот
|
т-км
|
88220
|
86500
|
-1720
|
98,05033
|
|
Пассажирооборот
|
пас-км
|
9802
|
9600
|
-202
|
97,9392
|
Анализ доходов от перевозок
выполняется в несколько этапов
.3.1 Расчетная формула результатного показателя
,
где
- общие доходы от перевозок;
- доходы от грузовых перевозок;
- доходы от пассажирских перевозок.
Для упрощения постановки и решения
аналитической задачи в составе доходов от грузовых и пассажирских перевозок
рассматриваются лишь доходы от движенческих операций - перемещения грузов и
пассажиров и не учитываются другие виды доходов - от начальных и конечных
операций, выполнения других технологических операций, от перевозок багажа,
грузобагажа, почты, прочих доходов и дополнительных сборов. Не учтенные в
данной работе виды доходов могут рассматриваться как отдельные составляющие
доходов от перевозок и анализироваться без пофакторной детализации.
2.3.2 Расчетные
формулы субфакторов
, где
- грузооборот;
- средняя доходная ставка по
грузовым перевозкам, руб. на 10 тонно-километров.
, где

- пассажирооборот;
- средняя доходная ставка по
пассажирским перевозкам, руб. на 10 пассажиро-километров.
, где
- структура грузооборота по родам
грузов;
- доходная ставка за 10 т-км. по
родам грузов.
По пассажирским перевозкам:
2.3.3 Расчёт дохода
произвести на основе исходных данных в таблице 6
Для заполнения колонки 2 таблицы 6 рассчитать
процент выполнения плана по объёму перевозок:
Таблица 6 - Анализ выполнения плана доходов от
перевозок, млн. руб.
|
Показатели
|
Измерители
для корректировки дохода
|
Процент
выполнения плана по объёму перевозок
|
Доходы
по плану
|
Плановые
доходы, пересчитанные На выполненный объём работы (3гр*2гр/100%)
|
Фактические
доходы
|
Отклонение
фактических доходов по перевозкам от плановых (5гр-3гр)
|
В
том числе от влияния
|
|
|
|
|
|
|
|
Объём
перевозок (4гр-3гр)
|
Доходной
ставки и структуры перевозок (5гр-4гр)
|
|
А
|
1
|
2
|
3
|
4
|
5
|
6
|
7
|
8
|
|
1.
Всего доходов от перевозок
|
Приведенные
т-км, млн
|
98,039216
|
14453,718
|
14170,3118
|
14428,9333
|
-24,7847
|
-283,4062
|
258,6215
|
|
2.
Доходы от грузовых перевозок
|
Тарифные
т-км, млн
|
96,303719
|
13081,438
|
12597,9113
|
13120,1557
|
38,7177
|
-483,5267
|
522,2444
|
|
3.
Доходы от перевозок пассажиров
|
Пассажиро-км,
млн
|
97,939196
|
1372,28
|
1344
|
1308,7776
|
-63,5024
|
-28,28
|
-35,2224
|
|
4.
Итого по грузовым и пассажирским перевозкам
|
-
|
-
|
14453,718
|
13941,9113
|
14428,9333
|
-24,7847
|
-511,8067
|
-984,07655
|
|
5.
Влияние структурных изменений по видам перевозок
|
-
|
-
|
-
|
228,4005
|
-
|
-
|
228,4005
|
-228,4005
|
2.3.4 Расчет влияния на
изменения дохода по грузовым перевозкам отдельных факторов: структуры перевозок
по родам грузов (γi)и их
доходных ставок (diг)
Для анализа используется метод оценки влияния
структурных изменений.
Выполняем проверку:
Проверка выполнена успешно.
Отклонения доходов от грузовых
перевозок по факторам средней доходной ставки, структуры перевозок:
2.3.5 Расчет влияние на
изменение дохода по пассажирским перевозкам отдельных факторов: структуру
перевозок по сообщениям и их доходных ставок
Выполняем проверку:
Проверка выполнена успешно.
Отклонения доходов от
пассажирских перевозок по факторам средней доходной ставки, структуры
перевозок:
2.3.6
Результаты анализа доходов представить в сгруппированном виде (табл. 7) с
определением доли влияния каждого фактора в общем, изменении дохода
Таблица 7 - Результат анализа
доходов
|
Факторы
|
Изменение
доходов под влиянием данного фактора (+/--) млн. руб.
|
Доля
влияния каждого фактора в общем, изме- нении дохода за отчетный период(+/--),
%
|
|
1.
Грузооборот, тарифные т - км (см. таблицу 6)
|
-539,9804
|
997,87924
|
|
2.
Доходные ставки по родам грузов (см. п. 2.3.4)
|
-1,4705
|
2,71747
|
|
3.
Структура перевозок по родам грузов (см. п. 2.3.4)
|
295,3975
|
-545,8921
|
|
4.
Итого по грузовым перевозкам (стр. 1+2+3)
|
-246,0534
|
454,704617
|
|
5.
Пассажирооборот, пас - км (см. таблица 6, стр3, ст.7)
|
-28,28
|
52,261203
|
|
6.
Доходные ставки по видам сообщения (см. п. 2.3.5)
|
0,536
|
-0,990523
|
|
7.
Структура перевозок по сообщениям (см. п. 2.3.5)
|
-35,2224
|
65,0907
|
|
8.
Итого по пассажирским перевозкам (стр. 5+6+7)
|
-62,9664
|
116,361378
|
|
9.
Структура перевозок по видам движения (см. таблица 6, стр.5)
|
254,907
|
-471,066
|
|
10.
Всего по факторам (стр. 4+8+9)
|
-54,1128
|
100
|
· Анализ прибыли от перевозок
По результатам анализа доходов и расходов по
перевозкам выполнить пофакторный анализ общей суммы прибыли дороги от перевозок
в таблице 8.
Таблица 8 - Анализ прибыли от перевозок, млн.
руб.
|
Показатели
|
План
|
Отчет
|
План,
скорректированный на объем работ,(гр. 1* индекс объема работ)
|
Отклонение
от плана (гр. 2- гр. 1)
|
В
том числе за счет
|
|
|
|
|
|
Объема
перевозок (гр. 3- гр. 1)
|
Качественных
показателей и структуры (гр. 2- гр. 3)
|
|
Доходы
|
15981,028
|
14428,69105
|
15667,6746
|
-1552,357
|
-313,3534
|
-1238,9836
|
|
Расходы
|
570
|
575
|
558,82353
|
5
|
-11,17647
|
16,17647
|
|
Прибыль
|
15411,028
|
13853,69105
|
15108,85113
|
-1557,337
|
-302,17693
|
Вывод: доходы в отчётном периоде по сравнению с
плановым уменьшаются под влиянием качественных показателей на 1552,337
миллионов рублей. Расходы увеличиваются также из-за изменения качественных
показателей на 5 миллионов рублей. В итоге прибыль уменьшается на 1557,337
миллионов рублей.
Заключение
В данной работе были изучены и проанализированы
основные показатели работы железной дороги, факторы, влияющие на итоги
производственной деятельности, в частности на финансовые результаты.
Деятельность данного предприятия является не
эффективной, так как имеются отрицательные изменения результативных
показателей: уменьшение доходов на 1166,0024 млн. руб., снижение прибыли от
перевозок на 1180,0024млн. руб.
Это произошло в результате изменения факторов,
влияющих на эти показатели: снижение грузооборота на 3260 млн. т - км ,
понижение пассажирооборота на 362 млн. пас - км, структуры перевозок по видам
движения, структуры перевозок по сообщениям, структуры перевозок по родам
грузов.
Для повышения достигнутых результатов
эффективности и экономического роста предприятию необходимо повысить
среднесуточную производительность вагона за счет снижения динамической нагрузки
и сокращения порожнего пробега вагонов.
Список использованной
литературы
1.
Анализ хозяйственной деятельности железных дорог. Учебник для ВУЗов изд. 2. Под
ред. д.э.н. профессора Н.Г. Винниченко.-М.: Транспорт, 2012. -335с.
.
Анализ хозяйственной деятельности предприятий железнодолрожного транспорта.
Учебник для техникумов ж.-д. транспорта. Под ред. к.э.н. Н.Я. Клеща. - М.:
Транспорт, 2013. -232с.
.
Теория экономического анализа. М.И. Баканов, А.Д. Шеремет. - М.: Финансы и
статистика, 2010. -288с.
.
Экономика железнодорожного транспорта. Учебник для ВУЗов. Под ред. д.э.н.,
профессора М.Ф. Трихункова. - М.: Транспорт, 2009.