Машини постійного струму
Міністерство освіти і науки
України
Одеський національний
політехнічний університет
Кафедра “Електроніки та МСТ”
Розрахункова-графічна робота
Варіант №01
Виконав: студент гр.ЕМ-053
Шершенюк C.
Перевірив: Бойко А.О.
Одеса 2007р.
Завдання до
РОЗРАХУНКОВО-ГРАФІЧНОЇ РОБОТИ
з дисципліни «Електроніка та МСТ »
для студентів напряму 6.0922 “Електромеханіка”
1.
Накреслити
схему з'єднань силового ланцюга трифазного тиристорного перетворювача, який
працює на навантаження з противо - ЕРС. (Вигляд схеми відповідно варіанту
задано в таблицях 1 та 2).
2.
Розрахувати
і побудувати зовнішні характеристики трифазного тиристорного перетворювача у
випрямному і інверторному режимах по трьом точкам: Id = 0, Id
= Id гр, Id = Idn. В інверторному режимі
визначити максимально - припустимий струм з умови безпечної роботи. (Електричні
параметри тиристорних перетворювачів та номера квадрантів для побудови
зовнішніх характеристик задано в таблиці 2).
3.
Розрахувати
і побудувати регулювальну характеристику трифазного тиристорного перетворювача,
який працює на активно - індуктивне навантаження. (Табл. 2)
4.
При
струмі Id = Idn побудувати діаграми миттєвих значень
струму і напруги id = f(t) і ud = f(t). (Режим роботи
тиристорного перетворювача задано в таблиці 3).
5.
Накреслити
функціональну схему аналогової або цифрової СІФУ тиристорного перетворювача.
Скласти опис її роботи (табл. 4).
6.
Описати
принцип дії трифазного автономного інвертора напруги з постійними кутами
провідності ключів. Відповідно до алгоритму роботи вентилів скласти
еквівалентні схеми підключення фаз навантаження до джерела напруги. Накреслити
діаграми миттєвих значень напруги і струму для однієї з фаз при з'єднанні
навантаження за схемою “зірка” або “трикутник”, l = 180 ел. град. (Вигляд
з’єднання та значення фазового кута навантаження приведено в табл. 5).
7.
На
прикладі однієї з фаз показати принцип формування напруги на навантаженні АІН
при застосуванні ШІМ.
8.
Привести
функціональну схему перетворювача частоти з ланкою постійного струму. Дати пояснення
до схеми.
Вигляд схеми тиристорного перетворювача: М -мостова
реверсивна схема;
Електричні параметри тиристорного перетворювача:
Керування
- СПІЛЬНЕ; Напруга Uф, = 127В; T, = 0.2 ОмT, =
0.28 Омd, = 0.03 Гнdn, = 60 А
a = b = 45 ел. град
d = 2 ел. град
Квадрант
3,4.
Режими роботи тиристорного перетворювача: В - випрямляючий режим роботи;
Вид СІФУ: Д - дискретна СУФУ.
Вигляд єднання фаз навантаження і значення фазового кута
навантаження: з/20
Пункт 1
Рис.1. зустрічно - рівнобіжна мостова схема реверсивного ТП.
Пункт 2
Выпрямительный режим:
= 2,34*127
= 297.18 В
Т.1 :
= 2,34*127*cos45 - 60*0,231 +5 =165.095 В
Rп =2* Rт + (p/2П)*Xт = 2*0,2+(6/2П)*0,28 = 0.667 Ом
Т.2: Id = 0 A
=205.138
Инверторный
режим:
Т.
1:
В
Rп = 0.667 Ом
Т. 2:
Id = 0 A
=215.138
Максимальный
допустимый ток:
=
=>
=
.
Пункт 3
Регулювальна характеристика трифазного тиристорного
перетворювача, який працює на активно - індуктивне навантаження
|

|
|
|
0
|
297.18
|
|
30
|
257.365
|
|
60
|
148.59
|
|
90
|
0
|
|
120
|
- 148.59
|
|
150
|
-257.365
|
|
180
|
-297.18
|
Пункт 4
Діаграми миттєвих значень струму і напруги id =
f(t) і ud = f(t). Випрямляючий режим роботи
,
де g - кут комутації.
g =
5.369 эл. град.
Рис. 5: Схема цифрової (дискретної) СІФУ тиристорного перетворювача.
БП - Блок питания;
В - выпрямитель;
ВУ - входное устройство;
ФИ - формирователь импульса;
ДН - датчик напряжения;
ИОН
- источник опорного напряжения;
СС
- схема сравнения;
СИ
- счётчик импульса;
ПРУ
- пересчётное распределительное устройство;
ГЭЧ
- генератор эталонной частоты;
АЦП
- аналоговый цифровой преобразователь.
Регулируемым
параметром является Uвых, информация о котором поступает с датчика
напряжения ДН. Разность напряжений ДН и ИОН в виде непрерывного сигнала
поступает на вход АЦП, который осуществляет преобразование сигнала в цифровую
форму (двоичный код). Число Кi от АЦП поступает на один из входов СС. На другой вход
СС поступает сигнал от счётчика импульсов СИ. СИ производит подсчёт количества
импульсов, поступающих от ГЭЧ. Начало счёта и сброс числа, записанного в СИ,
определяется моментом поступления импульсов от ВУ, которое осуществляет
синхронизацию работы счётчика с сетевым напряжением. Так, при поступлении от ВУ
импульса, происходит сброс числа, записанного в СИ, что соответствует началу
отсчёта времени. В этот же момент счётчик начинает считать импульсы,
поступающие от ГЭЧ.
Каждое
число Ki ,
записанное в СИ, определяет интервал времени, отсчитываемого с момента
=0. Когда числа, поступающие в АЦП и СИ, станут
равными, с выхода СС поступает импульс, дающий команду на формирование
импульсов управления тиристорами, которое осуществляется формирователем
импульсов ФИ.
Распределение
импульсов по тиристорам производится от пересчётного распределяющего устройства
ПРУ, синхронизированного импульсами ВУ.
При
поступлении очередного импульса от ВУ снова начинается отсчёт импульсов в СИ.
До тех пор пока число, записанное в нем, не совпадёт с числом, записанным в
АЦП, и от схемы СС не поступит команда на формирование импульсов управления
тиристорами другой фазы.
Согласно
принципу действия, рассмотренной СУ, угол
определяется
числом, записанным в СИ и АЦП. Отклонение выходного напряжения от заданного
значения будет приводить к соответствующему изменению этого числа, а
следовательно и угла
.
Пункт
6
Принцип дії трифазного автономного інвертора напруги з
постійними кутами провідності ключів
Рис. 6.1. Схема трифазного мостового
автономного інвертора напруги
Параметри вихідної напруги і струму інвертора залежать від
способу з'єднання фазних обмоток машини і алгоритму перемикання ключів.
Найчастіше використовують два виду алгоритмів, при яких кут провідності
транзисторів l залишається постійним і складає 180 ел. град. (симетричне керування) або
120 ел. град. (несиметричне керування).
Розглянемо процеси, що протікають в інверторі при l = 20 ел. град. і з'єднанні
фазних обмоток двигуна в “трикутник” і “зірку”.
На рис. 6.1. показані діаграми провідного стану
транзисторів інвертора, з яких видно, що керуючі імпульси тривалістю 180 ел.
град. подаються зі зрушенням 60 ел. град. Імпульси на протилежні транзистори
(VT1, VT2; VT3, VT4; VT5, VT6) надходять у протифазі. У кожен момент часу
проводять завжди три транзистори. Наприклад, на інтервалі 0-
проводять транзистори VT1, VT4, VT5, а інші
VT2, VT3, VT6 вимкнуті. На інтервалі
-
ввімкнути транзистори VT1, VT4, VT6 і т.д. Тому що
тривалості провідного і ввімкненого стану кожного транзистора рівні, таке
керування інвертором називається симетричним.
При з'єднанні навантаження в “трикутник” (рис. 6.2) і
при симетричному керуванні в кожен момент часу до джерела живлення підключені
тільки дві фази навантаження, а третя замкнута накоротко. Розглянемо процес
формування напруги на навантажені на прикладі фази А.
На інтервалі 0-
проводять транзистори VT1, VT4, VT5 (рис. 6.3). До
фаз A та B прикладена напруга джерела живлення, а фаза С замкнута накоротко
транзисторами VT1 і VT5 (рис. 5.4,а). На інтервалі
-
відбувається вимкнення транзистора VT5 і починає
проводити транзистор VT6.
На інтервалі
-
замкнута
накоротко фаза В, а до фаз A і C прикладена напруга джерела живлення Ud
(рис. 6.4,б). У наступний проміжок
фаза A закорочена транзисторами VT1, VT3, а напруга
на ній дорівнює нулю (рис. 6.4,в).
На інтервалі
транзистор VT1 замикається, фаза А підключається до
джерела живлення за допомогою транзисторів VT2, VT3. Вихідна напруга фази А
змінює знак і залишається постійною до моменту
.
На інтервалі
³
³
фаза А знову замикається накоротко транзисторами VT2,
VT4. У момент
у схемі виявляються ввімкнутими транзистори VT1, VT4,
VT5, а навантаження підключається до джерела живлення і процеси формування
напруги на навантаженні
повторюються.
Як видно з рис. 6.3, фазна напруга на навантаженні має
прямокутну форму тривалістю в 120 ел. град. і паузою 60 ел. град. Напруги на
інших фазах (B, C) формуються аналогічні напрузі на фазі A і зрушені до
на 120 ел. град. і 240 ел. град., відповідно. Миттєві
значення фазних струмів можна визначити при рішенні двох диференціальних
рівнянь, записаних для інтервалів 0 £
£ 2p3 і
0£
£ p3.
У зв'язку з цим кожний з фазних струмів буде мати дві складові :
струм, споживаємий від джерела
живлення та
струм, який викликаний ЕРС
самоіндукції і протікає по короткозамкнутої фазі, минаючи джерело живлення. На
рис. 6.5,а показана форма фазної напруги на навантажені
, а на рис. 6.5,б -6.5,г
криві струмів і напруг в інших фазах.
Як видно з рис. 6.5,е,ж, струм
,
споживаний від джерела живлення, пульсує c частотою, яка перевищує частоту
вихідної напруги в шість разів. Під час 1/6 періоду ланцюг лінійного струму є
загальним з ланцюгом джерела живлення. Миттєве значення струму
знаходиться при підсумовуванні струмів
усіх фаз.
Середня величина струму
, а також форма фазних і лінійних струмів залежить від
коефіцієнта потужності навантаження c. При
високих значеннях c (суцільні криві на рис.
6.5,б-д) реактивний струм навантаження не повертається в джерело
живлення, а цілком споживається фазами навантаження. Наприклад, на інтервалі
фаза С замкнута і струм у ній протікає в колишньому
напрямку. У перший момент після перемикання транзисторів VT5 і VT6 струм у фазі
С зберігає колишній напрямок і проходить: через фазу А, транзистори VT3, VT5
(діод VD5) . Таким чином, реактивний струм фази С складає частина струму фази
А, а це обумовлює споживання меншого струму від джерела живлення (рис. 6.5,е).
При зниженні коефіцієнта потужності навантаження c зростає запас електромагнітної енергії, накопиченої у
фазі С. Це приводить до збільшення реактивного струму у фазі А у порівнянні зі
складової струму, споживаного від джерела живлення. У цьому випадку залишок
електромагнітної енергії повертається в джерело живлення через діоди VD2 і VD5,
струм iп змінює свій знак (пунктирні криві на рис. 6.5,б- 6.5,д,ж).
Граничне величина c між зазначеними
режимами визначається струмом фази, яка була замкнута перед ввімкненням на
джерело живлення (фаза С).
Якщо в момент часу Wt4
величина реактивного струму ірс менше струму фази A він цілком
замикається через фазу A, не повертаючись до джерела живлення. При цьому
величина ЕРС самоіндукції менше напруги джерела живлення
. Зі зменшенням значень коефіцієнта потужності
навантаження c зростає ЕРС самоіндукції. Коли її величина
перевищує напругу джерела живлення
,
значення реактивного струму ірс фази С стає більше струму фази А, а
реактивний струм протікає через джерело живлення зустрічно його напрузі.
Граничне значення c знаходиться з умови
рівності реактивного струму фази С і струму фази А в момент часу Wt = Wt4
; (6.1)
. (6.2)
При виконанні нерівності (6.1) реактивний струм навантаження цілком
передається від фази до фази. Якщо виконується друга нерівність (6.2)
струм в ланцюзі джерела в момент комутації транзисторів змінює напрямок. У
цьому випадку лише частина реактивної потужності фази, яка перемикається,
віддається іншій фазі, а інша частина повертається до джерела живлення.
При l = 180 ел. град. навантаження завжди зв'язане
з джерелом живлення, і тому форма кривої вихідної напруги автономного інвертора
не залежать від коефіцієнтапотужності навантаження при з'єднанні її в
“трикутник” або “зірку”.
При з'єднанні навантаження в “зірку” у будь-який момент часу до
джерела живлення підключаються усі три фази навантаження (рис. 6.2).
При цьому кожна фаза з'єднана послідовно з двома іншими, з'єднаними паралельно,
або паралельно з іншою фазою і послідовно з третьою (рис. 6.6).
Процес формування фазної
і лінійної
напруг
розглядається на інтервалах, як у випадку з’єднання фаз у “трикутник”. Форма
напруги фази А на навантаженні приведена на рис. 6.7.
Криві напруг
,
фаз
B, C аналогічні зображенню
на
рис. 6.7, але зрушені на 120 ел град. і 240 ел. град,
відповідно. Вони представляють собою багатоступінчасті криві, симетричні щодо
осі Wt.
Лінійна напруга
може бути побудована як різниця фазних напруг
і
.
Форми кривих фазної напруги при з'єднанні навантаження в “трикутник”
і лінійної напруги при з’єднані в “зірку”
, збігаються. Криві лінійних струмів аналогічні
зображеним на рис. 6.5,д. У даному випадку справедливі співвідношення 6.1 і
6.2, а також характер електромагнітних процесів, що протікають при виконанні
цих нерівностей (суцільна і пунктирна криві на рис. 6.5,д-ж).
Рис. 6.4. Діаграми провідного стану транзисторів і формування напруги на
навантаженні при з’єднані фаз у “трикутник”
Рис 6.5. Діаграми миттєвих значень напруги та струмів
Пункт 7
На прикладі однієї з фаз показати принцип роботи формування
напруги на навантаженні АІН при застосуванні ШІМ
Значно поліпшити гармонійний склад напруги на навантаженні можливо при
використанні широтно-імпульсної модуляції (ШИМ) вихідної напруги інвертора. При
широтно-імпульсній модуляції формування кривої вихідної напруги здійснюється
шляхом багаторазового перемикання транзисторів з високою частотою
, яка називається несущою, або частотою комутації
(рис. 7.а). Тривалість імпульсів несущої частоти змінюється з кожним періодом
відповідно до закону напруги керування (модулюючої напруги).
Це досягається при порівнянні опорної (пилкоподібної) напруги несущої
частоти з кривою модулюючої напруги
,
частота якої визначає частоту вихідної напруги. У момент рівності напруг
і
(точки
а, б на рис. 7. а,б) відбуваються перемикання транзисторів.
При двохполярній ШИМ (рис. 7.а) транзистори протилежних пліч VT1, VT2 і
VT3, VT4 перемикаються в кожен період несущої частоти.
При однополярній ШИМ (рис. 7.б) транзистори VT1, VT2 комутирують при
формуванні позитивних, a VT3, VT4 - негативних напівперіодів вихідної напруги.
Однополярна ШИМ має кращий гармонійний склад вихідної напруги в порівнянні з
двохполярною. При пилкоподібній опорній напрузі відбувається модуляція одного з
фронтів імпульсів несущої частоти (рис. 7.a,6). Така ШИМ називається
однобічною. Якщо як опорна напруга використовуються напруга з імпульсами
трикутної форми, відбувається модуляція обох фронтів, і ШИМ називається
двобічною.
Позначимо час ввімкнутого стану транзисторів VT1, VT2 - t1, а
транзисторів VT3, VT4 - t2 (рис. 7.а). Тоді значення напруги на навантаженні,
усереднене за період несущої частоти, дорівнює
(7.1)
трифазний тиристорний перетворювач струм
Характер кривої
визначається видом модулюючої напруги, відповідно до
якого змінюються значення
і
.
На практиці використовуються різні закони зміни модулюючої напруги
- синусоїдальний, трапецеїдальний, трикутний,
прямокутний і т.д.
Найменший зміст вищих гармонійних у вихідній напрузі має місце при
синусоїдальній ШИМ. У цьому випадку
,
(7.2)
де
- відносне значення глибини модуляцій; Uу макс
- максимальне значення модулюючої напруги, яке в загальному випадку, дорівнює
відповідній величині максимальної напруги несущої частоти
;
-
частота вихідної напруги.
Підставляючи (7.2) в (7.1) одержимо
,
(7.3)
З (7.3) видно, що змінюючи значення амплітуди і частоти модулюючої
напруги, можна здійснювати регулювання амплітуди і частоти вихідної напруги
АІН. При роботі автономного інвертора з ШИМ на обмотку двигуна, струм у
навантаженні
близький до синусоїдального (рис. 7.а).
Рис. 7. Діаграми роботи АІН при використанні
широтно-імпульсної модуляції
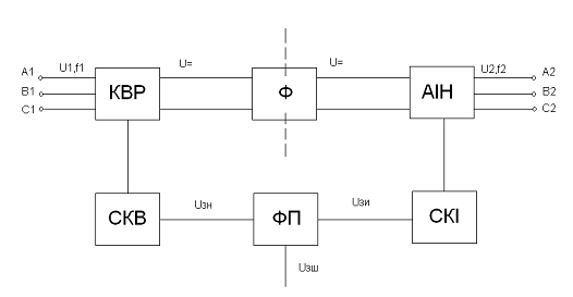
Пункт 8: Приведемо функціональну схему перетворювача частоти з ланкою
постійного струму.
КВР(УВР) - управляемый
выпрямитель реверсивный
Ф
- фильтр
АIH -
автономный инвертор напряжения
СКВ(СУВ или СИФУ) - система управления выпрямителем
СКI(СУИ) - система управления инвертором
ФП - функциональный
преобразователь
Схема
выпрямителя выбирается из условий обеспечения требований по регулированию его
выходного напряжения, влиянию на источник переменного напряжения допустимому
уровню пульсаций Ud. Как правило, это мостовая, прежде нулевая схема.
Если
нагрузка может работать в генераторном режиме, то схемы выполняются
реверсивными.
В
качестве фильтров используют, как правило, Г-образные RC-фильтры.
Фильтр должен обеспечивать улучшение формы Ud, а также при
применении УВ с односторонней проводимостью, фильтр должен обеспечивать функции
приёмника энергии, накопленной в индуктивностях нагрузки.
АI -
как правило, автономный инвертор напряжения с 6 ключами. При управлении ключами
используется широкая импульсная модуляция (ШИМ).