Проектирование технологического процесса механической обработки детали 'фланец'
Введение
Данная курсовая работа является составной частью инженерных
методов проектирования. Современные тенденции развития машиностроительного
производства ориентированы на широкое применение прогрессивных конструкционных
и инструментальных материалов, упрочняющей технологии, на комплексную
автоматизацию на основе применения станков.
В курсовой работе приведено решение задач, связанных с
проектированием технологии изготовления детали «фланец» в условиях
крупносерийного производства.
При выполнении работы принятие решений по выбору вариантов
технологических процессов, оборудования, оснастки, методов получения заготовок
производится на основании технико-экономических расчетов, что дает возможность
предложить оптимальный вариант.
1. Техническое задание на проектирование
.1 Разработать прогрессивный технологический процесс
механической обработки на базе современных средств технологического оснащения.
.2 Назначить (рассчитать) режимы обработки нормы времени
на 1-2 операции.
.3 Спроектировать (выполнить расчеты и чертежи)
специального режущего инструмента и средства измерения.
.4 Тип производства - крупносерийное.
2. Характеристика детали «Фланец»
2.1
Назначение, условие работы изделия
Фланец - плоское или прямоугольное кольцо
с равномерно расположенными отверстиями для болтов и шпилек, служащие для
прочного и герметичного соединения труб, СВЧ волноводов и трубопроводной
арматуры, присоединения их друг к другу, к машинам, аппаратам и ёмкостям, для
соединения валов и других вращающихся деталей (фланцевое соединение). Фланцы
используют попарно (комплектом).
Фланцы могут быть элементами трубы,
фитинга, вала, корпусной детали и т.п. Фланцы в виде отдельных деталей чаще
всего приваривают или привинчивают к концам соединяемых деталей. Форма
уплотнительной поверхности фланца в трубопроводах зависит от давления среды,
профиля и материала прокладки. Гладкие уплотнительные поверхности с прокладками
из картона, резины и паронита применяются при давлениях до 4 МПа (40 бар),
поверхности с выступом на одном фланце и впадиной на другом с
асбо-металлическими и паронитовыми прокладками - при давлениях до 20 МПа (200
бар), фланец с конической уплотнительной поверхностью - при давлениях выше 6,4
МПа (64 бар).
Фланцы изготавливаются по нормативным
документам: плоские фланцы - ГОСТ 12820-81; воротниковые фланцы - ГОСТ
12821-81, также воротниковые фланцы могут изготавливаться по стандартам DIN
2633, с конструкциями и размерами по DIN 2633; свободные фланцы на приварном
кольце - ГОСТ 12822-80.
2.2
Краткая конструкторско-технологическая характеристика
Деталь фланец относится к деталям типа тел вращения, включает
в себя внешние и внутренние цилиндрические поверхности, торцы, фаски, пазы и
отверстия, внутренние канавки. Их геометрическая форма и размеры не вызывают
значительной трудности для обработки на металлорежущих станках. Класс детали
71.
Указанная на чертежах точность - 14 квалитет - может быть
обеспечена путем тонкого точения или шлифования.
К точным поверхностям фланца относятся: наружная
цилиндрическая поверхность.
Наружная цилиндрическая поверхность, Æ 131,2h14
может быть выполнена с отклонением - 0,2
мм и + 0,5 мм а предельные размеры: наибольший - 131,2-0,2=131 мм; наименьший
131,2+0,5=131,7 мм.
К поверхностям заданы требования по шероховатости.
Шероховатость задана параметром Rа со значением 1,6 мкм на наружных поверхностях
(пов. 4,7), со значением 3,2 мкм на, со значением 6,3 мкм на фаску, со
значением 12,5 мкм на отверстие. На плоские поверхности, отверстия, внутреннюю
цилиндрическую поверхность шероховатость не задана, т.е. на эти поверхности
распространяется знак, приведенный в правом верхнем углу чертежа и
обозначающий, что эти поверхности не обрабатываются.
В правой части чертежа записаны технические требования. Эти
требования относятся к размерам, у которых не указаны допуски изготовления.
Допуски для них берут из таблиц допусков и посадок для отверстий -
, для валов по
, для остальных -
.
К отверстиям относят: по размеру Æ51, Æ12.
Допуски для них берут по Н14 и Н7.
Для размера Æ40 -
мм.
2.3
Характеристика материала
В качестве материала для изготовления детали используется
сталь 45 ГОСТ 1050-88, сталь конструкционная углеродистая качественная.
Таблица 1 - Химический состав в% материала сталь 45
|
С
|
Si
|
Mn
|
Ni
|
S
|
P
|
Cr
|
Cu
|
As
|
|
0.42-0.5
|
0.17-0.37
|
0.5-0.8
|
До 0.25
|
До 0.04
|
До 0.035
|
До 0.25
|
До 0.25
|
До 0.08
|
Никель сообщает стали коррозионную стойкость, высокую
прочность и пластичность, увеличивает прокаливаемость. Сера является вредной
примесью. Она увеличивает истираемость стали, понижает сопротивление усталости
и уменьшает коррозионную стойкость. Фосфор также является вредной примесью.
Хром - наиболее дешевый и распространенный элемент. Он повышает
твердость и прочность, незначительно уменьшая пластичность, увеличивает
коррозионную стойкость; содержание больших количеств хрома делает сталь
нержавеющей и обеспечивает устойчивость магнитных сил. Медь увеличивает
антикоррозионные свойства.
Таблица 2 - Физические свойства материала сталь 45
|
T
|
E 10-5
|
r
|
|
Град
|
МПа
|
кг/м3
|
|
20
|
2.00
|
7826
|
Таблица 3 - Механические свойства при Т=20oС
материала сталь 45
|
Сортамент
|
Размер
|
σв
|
σT
|
δ5
|
ψ
|
KCU
|
|
мм
|
МПа
|
МПа
|
%
|
%
|
кДж / м2
|
|
Поковки
|
100 - 300
|
470
|
245
|
19
|
42
|
σв - Предел кратковременной
прочности;
σT - Предел
пропорциональности (предел текучести для остаточной деформации);
δ5 - Относительное
удлинение при разрыве;
ψ - Относительное сужение;-
Ударная вязкость;
Т - температура;
Е - Модуль упругости.
3. Проектирование детали
3.1
Проектирование отливки
Определение классификационных индексов:
- Определение массы отливки
(предварительный расчет)
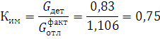
Gдет=0,83 кг
Ким ср=0,75
тогда по градации данной отливке
можно присвоить индекс G2.
- Определение степени сложности отливки:
тогда данная деталь имеет степень
сложности С5.
Определение средней точности детали:
тогда средняя
точность Т4.
Таблица 4 - Классификационные
индексы
|
Тип
производства
|
Материал
отливки
|
Группа по
назначению
|
Степень
сложности
|
Масса отливки
|
Средняя
точность
|
|
КС
|
МЛ2
|
А
|
С5
|
G2
|
Т4
|
Рассмотрен наиболее эффективный способ литья: литье по
выплавляемым моделям.
Спроектируем отливку получаемую литьем по выплавляемым
моделям
Определение класса точности размеров отливки и рядов
припусков:
Класс точности размеров 5
Ряд припусков 2
Установление предельных отклонений смешения и коробления (∆):
Предельное отклонение смешения (∆с) от номинального
положения элементов отливки по плоскости разъема равно ±0,5 мм.
Степень коробления определяется в зависимости от коэффициента
«удлиненности» отливки:
- Назначение
уклонов:
L=12,1 мм α=0о20
L=10,1 мм α=0о20
L=22,2 мм α=0о15
- Установление радиусов закруглений:
Наружные - Rн=2 мм
Внутренние - Rв=3 мм
Назначение допусков, основных и дополнительных припусков,
расчет линейных размеров, установление предельных отклонений.
Таблица 5 - Допуски, основные и дополнительные припуски,
предельные отклонения на деталь и отливку
|
Деталь
|
Отливка
|
Припуск, мм
|
Размеры отливки
с предельными отклонениями, мм
|
|
Размер по
чертежу
|
Тд, мм
|
z, мкм
|
То, мм
|
Rz, мкм
|
∆max мм
|
осн.
|
доп
|
Общий
|
|
|
ф130
|
20
|
0,64
|
20
|
0,16
|
1,3
|
0
|
1,3
|
ф132,6±0,32
|
|
ф70
|
0,19
|
20
|
0,56
|
20
|
0,1
|
1,2
|
0
|
1,2
|
Ф72,4±0,28
|
|
ф51
|
0,74
|
20
|
0,5
|
20
|
0,1
|
1,2
|
0
|
1,2
|
Ф48,6±0,25
|
|
ф70
|
0,74
|
20
|
0,56
|
20
|
0,1
|
1,2
|
0
|
1,2
|
Ф67,6±0,28
|
|
ф10,25
|
0,18
|
20
|
0,36
|
20
|
0,1
|
1
|
0
|
1
|
Ф8,25±0,18
|
|
20
|
0,52
|
20
|
0,4
|
20
|
0,1
|
1,1
|
0
|
1,1
|
22,2±0,2
|
|
12
|
0,43
|
10
|
0,36
|
20
|
0,1
|
1
|
0
|
1
|
12,1±0,18
|
|
4
|
0,3
|
0,24
|
20
|
0,1
|
0,5
|
2
|
0,5
|
3±0,12
|
Определение фактического Ким:
3.2
Проектирование поковки
Определение классификационных индексов:
- Определение массы поковки
(предварительный расчет)
Gдет=0,83 кг
Ким ср=0,62
тогда по градации данной поковки
можно присвоить индекс G1.
- Определение степени сложности поковки:
Таблица 6 - Классификационные
индексы
|
Тип
производства
|
Материал
отливки
|
Степень
сложности
|
Масса отливки
|
Конфигурация
|
|
КС
|
М2
|
С4
|
G1
|
К1
|
Рассмотрен наиболее эффективный
способ поковки: штамповка на высокоскоростных молотах в закрытых штампах.
Спроектируем поковку получаемую
на высокоскоростных молотах
- Назначение
штамповочных уклонов:
α=0о30, β=2о
- Установление радиусов закруглений:
Наружные - Rн=1 мм
Внутренние - Rв=2 мм
Назначение допусков, основных и дополнительных припусков,
расчет линейных размеров, установление предельных отклонений.
Таблица 7 - Допуски, основные и дополнительные припуски,
предельные отклонения на деталь и поковку
|
Деталь
|
Припуск, мм
|
Размеры поковки
с предельными отклонениями, мм
|
|
Размер по
чертежу
|
Тд, мм
|
Rz, мкм
|
осн.
|
доп
|
Общий
|
|
|
ф130
|
0,1
|
20
|
0,6
|
0
|
0,6
|
ф 131,2±
|
|
ф70
|
0,19
|
20
|
0,6
|
0
|
0,6
|
ф 71,2±
|
|
ф51
|
0,74
|
20
|
0,6
|
0,6
|
ф 49,8±
|
|
ф70
|
0,74
|
20
|
0,6
|
0
|
0,6
|
ф 68,8±
|
|
20
|
0,52
|
20
|
0,5
|
0,1
|
0,6
|
21,2±
|
|
12
|
0,43
|
10
|
0,6
|
0,1
|
0,7
|
11,9±
|
|
4
|
0,3
|
20
|
0,5
|
0,1
|
0,6
|
2,8±
|
Дополнительные припуски на размеры (ф130, ф51, ф70) не
назначаем, так как на них припуски назначаются при поковке в открытых штампах.
Оформление чертежа поковки, разработка ТТ
Чертеж поковки получаемой на высокоскоростных молотах
Определение фактического Ким:
3.3
Технико-экономический анализ
Таблица 8 - Характеристика рассматриваемых заготовок
|
Виды и методы
получения заготовок
|
Вариант (осн,
доп)
|
Масса, кг
|
|
Литье по
выплавляемым моделям
|
Осн.
|
1,106
|
|
ВСШ
|
Доп.
|
1,33
|
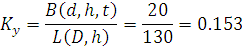
Анализ на металлоемкость (определение Ким скв)
Основной вариант:
Ким скв= К2*К3=0,56*0,75=0,42
Дополнительный вариант:
Ким скв= К1*К2*К3=0,79*0,85*0,76=0,51
Расчеты Зпр по каждому варианту заготовки.
Таблица 9 - Основные исходные данные для расчета Зпр
|
Вид заготовки,
степень сложности
|
Gдет кг
|
Gзаг кг
|
Gопт кг
|
Gупмо, кг
|
К1
|
К2
|
α
|
β
|
С употх,
р/кг
|
Кск,
р/кг
|
|
Литье по
выплавляемым моделям, С5
|
0,83
|
1,10
|
41,7
|
-
|
0,56
|
0,92
|
0,95
|
0,69
|
81,69
|
|
ВСШ, С4
|
0,83
|
1,33
|
11,2
|
25,2
|
0,79
|
0,85
|
0,87
|
0,95
|
0,69
|
73,35
|
Литье:
ВСШ:
Анализируя Зпр, приходим к выводу, что ВСШ лучше, так как
дешевле.
4.
Технологический процесс
|
№ оп.
|
Наименование
|
Переходы
|
Операционный
эскиз
|
Оборудование
|
|
05
|
Токарная
|
01. Подрезать
торец в размер ø71,2
под углом 15о и размер 21,2. 02. Обточить наружную поверхность в
размер 21,2, 11,9. 03. Обточить наружную поверхность предварительно в размер ø71,2
14 квалитет. 04. Обточить
наружную поверхность окончательно в размер ø71,2 11 квалитет.
|
|
Токарно-винторезный
станок 16К20. Трехкулачковый патрон. Резец расточной 2140-0081 ГОСТ 18882-73
|
|
10
|
Токарная
|
01. Подрезать
торец в размер ø68,8 и
2,8 под угом 45о. 02. Обточить поверхность в размер ø68,8.
|
|
Токарно-винторезный
станок 16К20. Трехкулачковый патрон. Резец расточной 2140-0081 ГОСТ 18882-73
|
|
15
|
Сверлильная
|
01. Сверлить 4
отверстия под резьбу М12. 02. Зенкеровать 4 отверстия под резьбу М12.
|
|
Станок
вертикально-сверлильный сЧПУ 2Р135Ф-1. Сверло с коническим хвостовиком
2301-0409 ГОСТ 2092. Штангенциркуль - I, ГОСТ 166-89
|
5.
Расчет режимов резания
Обработка металлов осуществляется при определенных условиях.
Совокупность показателей, характеризующих условия протекания процесса резания,
принято называть режимами резания. Обработку металлов резанием необходимо вести
на таких режимах, при которых наиболее полно используется мощность станка и
стойкость режущего инструмента, обеспечивается высокое качество обработки,
наибольшая производительность и создаются безопасные условия работы.
К основным показателям относятся скорость резания Vр,
подача s и глубина резания.
Скоростью резания Vр (м/мин) называется окружная
скорость (м/мин) наиболее удаленных от оси вращения инструмента точек режущего
лезвия.
Подачей s называется путь, проходимый заготовкой относительно
инструмента (или наоборот) в единицу времени. Измеряется подача в миллиметрах
за одну минуту (мм/мин) или за один оборот заготовки или инструмента (мм/об).
Глубина резания t - толщина слоя материала заготовки (мм),
срезаемого за один рабочий ход.
5.1
Исходные данные для расчета режимов резания
Материал детали - сталь 45 ГОСТ 1050-88.
Станок вертикально-сверлильный с ЧПУ 2Р135Ф2-1.
Паспортные данные станка:
) Наибольший диаметр сверления 35 мм.
) Число вращения шпинделя 45-2000 об/мин.
) Мощность электродвигателя привода главного движения
3,7 кВт.
Характеристика режущего инструмента:
Сверло с коническим хвостовиком 2301-0409 ГОСТ 2092, имеющий
параметры:
d=12 мм,
L=260 мм,
l=180 мм.
Назначаем глубину резания t=6 мм.
Назначаем подачу S=0,25 мм/об.
Назначаем стойкость резца Т=45 мин.
5.2
Сверление
Определяем скорость резания при сверлении по формуле:
где Cv=7; D=12 мм, m=0.20, q=0.4, y=0.7; Kv - общий поправочный
коэффициент, учитывающий фактические условия резания:
Где:
Kиv=1 - коэффициент на
инструментальный материал,
Klv=1 - коэффициент учитывающий глубину сверления.

мм/мин,
Определяем частоту вращения инструмента:
Определяем действительную скорость резания Vд, мм/мин:
5.3
Зенкерование
Определяем скорость резания при зенкеровании по формуле:
где Cv=16.3; D=12 мм, m=0.3, q=0.3, x=0.2, y=0.5; Kv - общий поправочный
коэффициент, учитывающий фактические условия резания:
Где:
Kмv=0,96 - коэффициент на
обрабатываемость материала,
Kиv=1 - коэффициент на инструментальный
материал,
Klv=1 - коэффициент учитывающий глубину сверления.

мм/мин,
Определяем частоту вращения инструмента:
Определяем действительную скорость резания Vд, мм/мин:
.
Заключение
В ходе выполнения курсовой работы выполнен следующий объем
работ:
− Проведен анализ детали «фланец».
− Выбран и экономически обоснован рациональный
способ получения заготовки - штамповка на высокоскоростных молотах.
− Спроектирован технологический процесс.
Рассчитаны режимы резания на все сверлильные операции.
Список литературы
фланец материал поковка резание
1. Справочник
технолога-машиностроителя. В 2-х т. Т. 2/ Под ред. А.Г. Косиловой и Р.К.
Мещерякова. - 4-е изд., перераб. и доп. - М.: Машиностроение, 1986. 496 с., ил.
. А.А.
Панов Обработка металлов резанием. Изд-во Машиностроение - 1, 2004 г.