Аналіз протитуберкульозних лікарських засобів

  • Вид работы:
    Курсовая работа (т)
  • Предмет:
    Медицина, физкультура, здравоохранение
  • Язык:
    Украинский
    ,
    Формат файла:
    MS Word
    211,03 Кб
  • Опубликовано:
    2013-03-01
Вы можете узнать стоимость помощи в написании студенческой работы.
Помощь в написании работы, которую точно примут!

Аналіз протитуберкульозних лікарських засобів

План

1. Актуальність теми і мета курсової роботи.

. Загальна характеристика протитуберкульозних засобів, їх класифікація.

. Лікарські засоби, похідні ізонікотинатної кислоти: ізоніазид, фтивазид, салюзид, салюзид розчинний, метазид, етіонамід, протіонамід. Методи їх синтезу, властивості, аналіз за аналітико-функціональними групами в молекулах, застосування в медицині, побічні дії.

. Лікарські засоби, похідні п-аміносаліцилової кислоти: натрію п-аміносаліцилат, бепаск. Методи їх синтезу, властивості, аналіз за аналітико-функціональними групами в молекулах, застосування в медицині, побічні дії.

. Протитуберкульозні антибіотики: стрептоміцину сульфат і його солі, рифампіцин, циклосерин, флориміцину сульфат. Методи одержання, властивості, аналіз, застосування в медицині, побічні дії.

. Протитуберкульозні лікарські засоби з різних хімічних груп: етамбутол, піразинамід, тіоацетамід, солютизон. Методи одержання, властивості, аналіз, застосування в медицині, побічні дії.

. Висновки

1. Актуальність теми і мета курсової роботи

Туберкульо́з (від лат. tuberculum - горбок), також cухоти - інфекційна хвороба, яка викликається мікобактеріями туберкульозу і характеризується утворенням специфічних гранульом в різноманітних органах та тканинах (найчастіше у легенях) і поліморфною клінічною картиною.

Сьогодні у світі налічується 50 - 60 мільйонів хворих на туберкульоз, щороку захворює 7−10 мільйонів, помирає 3 мільйони осіб. Одна хвора людина може інфікувати за рік 10-15 людей.

Туберкульоз є соціальною проблемою, що відбиває насамперед соціально-економічний рівень життя населення країни, а також ступінь розвитку охорони здоров'я. Всесвітня організація охорони здоров'я постійно стежить за ситуацією за епідемічними та соціально значущим захворюванням у світі. Особливо пильна увага приділяється туберкульозу. В останнє десятиліття ВООЗ була розроблена і з успіхом застосовується в світі так звана стратегія DOTS. Суть DOTS (Directly Observed Treatment Short-course) - строго контрольоване лікування коротким курсом хіміотерапії. «DOTS є найбільш ефективним і доступним шляхом для того, щоб зупинити поширення туберкульозу в світі», - пише доктор Арахових Кохі, директор Глобальної програми боротьби з туберкульозом (Global TB Programme).

Ситуація з туберкульозом в Україні в останні роки викликає серйозне занепокоєння: з 1995 року в нашій країні офіційно зареєстрована епідемія туберкульозу, вона постійно прогресує. За 1999-2000 роки захворюваність усіма формами туберкульозу збільшилася на 4,8%. Сьогодні в Україні налічується понад 650 тис. хворих на туберкульоз, що становить майже 1,5% усієї чисельності населення країни. З них у 123 тис. - активна форма туберкульозу. За статистикою в Україні щодня реєструється 82 нових хворих на туберкульоз, 30 хворих помирає.

Проблема лікування туберкульозу повинна бути піднята на рівень першочергових загальнодержавних завдань. В законі України від 5 липня 2001 р. № 2586-III «Про боротьбу із захворюванням на туберкульоз» та Указі Президента України від 20 серпня 2001 р. № 643/2001 «Про Національну програму боротьбі із захворюванням на туберкульоз на 2002-2005 роки» зазначено, що одним з пріоритетних напрямків організації боротьби з туберкульозом має стати підвищення ефективності лікування із застосуванням високоефективних засобів хіміотерапії.

Вираженою активністю щодо M. tuberculosis має значну кількість препаратів, різних за походженням, хімічною структурою і механізмом дії. Протитуберкульозні лікарські препарати не тільки пригнічують розмноження і розвиток мікобактерій туберкульозу, а й приводять їх до загибелі.

До протитуберкульозних лікарських засобів відносяться синтетичні (ізоніазид, етамбутол, натрію пара-аміносаліцілат, бепаск, етіонамід, протіонамід, піразинамід), антибіотики (рифампіцин, циклосерин, канаміцин, флоримицин, стрептоміцин) та фторхінолони (Ломефлоксацин).

Антибіотики і фторхінолони, що застосовуються для лікування туберкульозу, характеризуються широким спектром дії, а синтетичні препарати - вузьким, тобто діють тільки на мікобактерії туберкульозу.

Головною проблемою в лікуванні туберкульозу є швидкий розвиток стійкості збудника до протитуберкульозних препаратів при монотерапії. У кожному конкретному випадку необхідно визначати чутливість мікобактерій до протитуберкульозних препаратів. У разі виявлення резистетності до одних препаратів застосовують альтернативні препарати, до яких зберігається чутливість. Найбільшу проблему хіміотерапії туберкульозу сьогодні представляють полірезистентні штами мікобактерій, тобто штами, стійкі до двох і більше протитуберкульозних препаратів, особливо до ізоніазиду і рифампіцину.

Сучасне лікування туберкульозу є комбінованим, тобто включає в себе застосування декількох препаратів одночасно, що віддаляє або попереджає розвиток стійкості.

. Загальна характеристика протитуберкульозних засобів, їх класифікація

Класифікація протитуберкульозних засобів за ефективністю:

. Найефективніші протитуберкульозні засоби:

а) гідразид кислоти ізонікотинової, його похідні - ізоніазид, флуренізид, фтивазид, салюзид;

б) антибіотики - похідні рифаміцину (рифампіцин, рифампін, рифадин).

. Протитуберкульозні засоби середньої активності:

а) антибіотики (стрептоміцину сульфат, канаміцин, флориміцину сульфат, циклосерин,амікацин);

б) тіоаміди кислоти ізонікотинової (етіонамід, протіонамід, піразинамід);

в) похідні амінобутанолу (етамбутол);

г) похідні фторхінолону (офлоксацин, ломефлоксацин).

3. Протитуберкульозні засоби з незначною активністю:

а) похідні кислоти пара-аміносаліцилової - ПАСК (натрію пара-аміносаліцилат - ПАСК-натрій);

б) похідні тіосемикарбазону (тіоацетазон).

В 1994 р. ВООЗ запропонувала третю класифікацію ПТБ ЛЗ, що проявляють на МБТ бактерицидну дію:

група. основні або 1 ряду: ізоніазид, рифампіцин, піразинамід, стрептоміцин, етамбутол.

група. Резервні або 2 ряду (бактеріостатична дія): фтивазид, салюзид, метазид, канаміцин, флориміцин, тіацетазон, флуренізід, салютизон, капреоміцин, протіонамід, етіонамід

група. Помірний вплив на МБТ: офлоксацин, таревід, цпрофлоксацин, ципробай, спорфлоксацин, максаквін, циклосерин, ПАСК.

Основні протитуберкульозні препарати та рекомендовані дози*

Препарати

Рекомендовані дози в мг/кг


Щоденно

Три рази на тиждень

Ізоніазід (H)

5 (4 -6)

10 (8 - 12)

Рифампіцин (R)

10 (8 - 12)

10 (8 - 12)

Піразинамід (P)

25 (20 - 30)

35 (30 - 40)

Стрептоміцин (S)

15 (12 - 18)

15 (12 - 18)

Етамбутол (E)

15 (15 - 20)

30 (20 - 35)

Рифапентін (Rp)**

-

-

Примітка: *Всі протитуберкульозні препарати необхідно приймати один раз на день, приблизно за 30 хвилин до їди (рифампіцин до їди).

** Рифапентін (препарат пролонгованої дії) приймають в дозі 10 мг/кг (0,45-0,6 г) на один прийом в інтенсивну фазу 2 рази на тиждень, в підтримуючу - 1 раз на тиждень.

Наявні препарати та комбінація основних протитуберкульозних препаратів

Препарат

Форма

Доза

Окремі препарати

Ізоніазід (H)

Таблетки, ампули, сироп

100 мг, 200 мг, 300 мг, 10%-5,0

Рифампіцин (R)

150 мг, 300 мг

Піразинамід (P)

Таблетки

400 мг, 500 мг

Етамбутол (E)

Таблетки

400 мг

Стрептоміцин (S)

Порошок для ін’єкцій у флаконі

1 г

Рифапентін (Rp)

Капсули

150 мг

Комбіновані протитуберкульозні препарати з фіксованими дозами

Ізоніазід + ріфампіцин

Таблетки

75 мг + 150 мг 150 мг + 150 мг

Ізоніазід + етамбутол

Таблетки

150 мг + 400 мг

Ізоніазід + ріфампіцин + піразинамід

Таблетки

75 мг + 150 мг + 400 мг

Ізоніазід + ріфампіцин + піразинамід + етамбутол

Таблетки

75 мг + 150 мг + 400 мг + 275 мг


3. Лікарські засоби, похідні ізонікотинатної кислоти: ізоніазид, фтивазид, салюзид, салюзид розчинний, метазид, етіонамід, протіонамід. Методи їх синтезу, властивості, аналіз за аналітико-функціональними групами в молекулах, застосування в медицині, побічні дії

У гідразида ізонікотинової кислоти і його похідних (гідразонів), на відміну від аналогічних похідних нікотинової кислоти, була виявлена висока протитуберкульозна активність. Гідразиди - це продукти взаємодії гідразинів з кислотами, а гідразони - гідразинів з альдегідами (кетонами).


Роботи в області синтезу та дослідження гідразидів і гідразонів як протитуберкульозних засобів були початі в 1951 р. під керівництвом М.Н. Щукіної. Синтезовано близько 10 різних сполук, з яких застосовують ізоніазид, фтивазид, метазид та ін.

Ізоніазид одержують, перетворюючи ізонікотинову кислоту в хлорангідрид, а потім в етиловий ефір. Останній сполучають з гідразином.


Ізоніазид (гідразид ізонікотинової кислоти) - вихідний продукт для отримання інших похідних ізонікотинової кислоти.

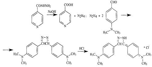
Фтивазид синтезують взаємодією ваніліну з ізоніазидом:


Етіонамід синтезують з 2-етилпіридину за схемою:


Синтез протіонаміду відрізняється тільки тим, що в якості вихідного продукту беруть 2-пропілпіридин.- ізоніазид - гідразид ізонікотинової кислоти:


Білий кристалічний порошок, гіркий на смак. Легко розчинний у воді, важко - в спирті, не розчиняється в ефірі.

Реакції ідентифікації:

1.      При нагріванні ізоніазиду в сухій пробірці з безводним Na2CO3 виникає запах піридину;

2.      2. При взаємодії розчину ізоніазиду в етанолі з 1-хлор-2,4-динітрохлорбензолом при наявності КОН виникає буро-червоне забарвлення (реакція на піридиновий цикл);

3. При нагріванні з аміачним розчином срібла нітрату виділяється металічне срібло (наявність залишку гідразину):


. Сульфат міді осаджує мідну сіль ізоніазиду у вигляді голубого осаду, який розчиняється при нагріванні у воді з утворенням смарагдово-зеленого розчину внаслідок гілролізу і оксидації гідразиду сіллю міді, при цьому розчин стає брудно- жовтим і спостерігається виділення пухирців азоту і утворення Cu2O:


Гідразин, який утворюється при лужному гідролізі ізоніазиду, вводять у реакцію з п-диметиламінобензальдегідом при наявності кислоти - виникає жовто-оранжеве забарвлення хіноїдної структури:


. З лужним розчином нітропрусиду натрію виникає інтенсивне оранжеве забарвлення, яке переходить у вишневе, а потім у жовте при підкисленні хлоридною кислотою

Кількісне визначення ізоніазиду проводять взаємодією з 0.1 М розчином йоду при 35-40 ºС і наявності NaHCO3 за схемою:


Надлишок йоду відтитровують у кислому середовищі 0.1 М розчином Na2S2O3.

Ізоніазид володіє високою бактеріостатичною активністю відносоно бактерій туберкульозу, пригнічуючи синтез міконової кислоти в бактеріальній стінці, а також руйнуючи цитоплазму та її гранулярну субстанцію, утворену ДНК.

Призначають ізоніазид всередину, інтравенозно, внутрім’язово, внутрікавернозно. Перорально призначають дорослим і дітям в добовій дозі 5-15 мг на 1 кг маси тіла в 1-3 прийоми після їжі. Ін’єкційно застосовують при поширених формах туберкульозу легень, великому бактеріовиділенню, неможливості прийому прийому всередину. Вводять 10% розчин.

Побічні дії - головний біль, головокружіння, нудота, рвота, болі в області серця, шкірні алергічні реакції. Можливі ейфорія, порушення сну, рідко- психоз. Для попередження побічних ефектів призначають піридоксин, глутамінову кислоту, тіамін.- фтивазид - гідрат 3-метокси-4-оксибензиліденізонікотиноїлгідразону


Жовтий порошок з запахом ваніліну, без смаку. Дуже мало розчинний у воді, мало - в спирті, легко - в неорганічних кислотах і лугах.

Реакції ідентифікації:

. При нагріванні з хлоридною кислотою виникає запах ваніліну:


. При взаємодії розчину ізоніазиду в етанолі з 1-хлор-2,4-динітрохлорбензолом при наявності КОН виникає буро-червоне забарвлення (реакція на піридиновий цикл);

. Реакція утворення осаду фосформолібдату фтивазиду. Осад розчиняється в лугах з утворенням інтенсивно-зеленого забарвлення. Нагрівання його з камфорою та концентрованою сірчаною кислотою - фіолетового забарвлення (реакція на ванілін);

Додавання розчину лугу до спиртового розчину фтивазиду веде до утворення оранжево-жовтого забарвлення, інтенсивність якого при додаванні НСl спочатку зменшується, а потім посилюється внаслідок утворення четвертинної солі за схемою:


Кількісне визначення фтивазиду проводять титруванням його розчину в суміші оцтової кислоти і хлороформу 0.1 М розчином перхлоратної кислоти при наявності кристалічного фіолетового:


Приймають всередину по 500 мг 2-3 рази на день для лікування туберкульозу. Порівняно з ізоніазидом повільніше всмоктується з ШКТ. Краще переноситься хворими, може призначатися при поганій переносимості ізоніазиду.- салюзид - 2-карбокси-3,4-диметоксибензиліденізонікотиноїлгідразон:


Дрібнокристалічний порошок жовто-зеленого кольору. Мало розчинний у воді, нерозчинний в ефірі, легко - лугах і неорганічних кислотах. За хіміотерапевтичними властивостями не відрізняється від фтивазиду. Є складовою частиною препарату стрептосалюзид. Стрептосалюзид - стрептоміцинова сіль салюзиду. В 1 г препарату міститься 406 мг стрептоміцину і 459 мг салюзиду. Призначається внутрішньом'язово, інтратрахеально і в інгаляціях з розрахунку 15 ... 20 мг / кг на добу, але не більше 0,5 г дітям і 0,75 підліткам.solubile - салюзид розчинний - диетиламонієва сіль 2-карбокси-3,4-диметоксибензиліденізонікотиноїлгідразона моногідрат:


Білий зі слабким жовтуватим відтінком кристалічний порошок. Легко розчинний у воді, важко - в спирті.

Призначають 5% водний розчин для ін’єкцій в кавернозні вузли, при туберкульозі верхніх дихальних шляхів, туберкульозних гнійних серозитах, туберкульозному ураженні очей. Його рекомендовано комбінувати з іншими протитуберкульозними засобами.- Метазид - 1,1-метилен-біс-ізонікотиноїлгідразид:


Білий або білий з кремуватим відтінком кристалічний порошок. Практично не розчиняється у воді. За протитуберкульозної активності близький до фтивазид. Приймають всередину. Доза для дорослих зазвичай 0,5 г 2 рази на день, добову дозу дають в 2 - 3 прийоми. Вищі дози для дорослих всередину: разова 1 г, добова 2 г. Препарат звичайно добре переноситься. При тривалому застосуванні можливі такі ж ускладнення, як при прийомі інших похідних гідразиду ізонікотинової кислоти.- етіонамід - 2-етил-4-тіокарбамоїл-4-піридин:


Етіонамід був синтезований в 1952 р. Протитуберкульозний препарат II ряду. Діє на ізоніазидостійкі штами бактерій. Жовтий кристалічний порошок із слабким або помірним запахом сірки. Не гігроскопічний. Практично не розчиняється у воді і ефірі; важко розчинний в етиловому та метиловий спирт, пропіленгліколі; розчинний в ацетоні, дихлоретані; вільно розчинний в піридині.

Реакції ідентифікації:

. При нагріванні з хлоридною кислотою виділяються пари сірководню, які забарвлюють в чорний колір папір, просочений розчином ацетату свинцю:


. При нагріванні з розчином лугу виділяється аміак:


Утворений сульфід-іон виявляють за допомогою розчину нітропрусиду натрію - червоно-фіолетове забарвлення.

. Після нагрівання до плавлення в сухій пробірці етіонаміду і 2,4-динітрохлорбензолу, охолодження і додавання спиртового розчину КОН з’являється червоно-оранжеве забарвлення (реакція на піридиновий цикл).

Кількісне визначення етіонаміду проводять методом неводного титрування, використовуючи в якості розчинника льодяну оцтову кислоту і титранта і 0.1 М розчин перхлоратної кислоти (індикатор кристалічний фіолетовий)

Побічні дії етіонаміду

З боку нервової системи та органів чуття: неврологічні та психічні порушення - головний біль, парестезія, судоми, зниження концентрації уваги, сплутаність свідомості, сонливість або безсоння, слабкість, депресія, галюцинації, збудження, психоз, периферичний неврит, неврит зорового нерва.

З боку органів травного тракту: анорексія, металевий присмак у роті, стоматит, гіперсалівація, відрижка з тухлим запахом, нудота, блювання, біль в епігастральній ділянці, діарея, метеоризм, порушення функції печінки (гепатотоксичність аж до розвитку гепатиту).

З боку серцево-судинної системи і крові (кровотворення, гемостаз): тахікардія, ортостатична гіпотензія, порушення кровотворення (тромбоцитопенія).

Алергічні реакції: шкірний висип, кропив'янка, ексфоліативний дерматит.

Інші: гінекомастія, дисменорея, імпотенція, гіпотиреоїдизм, епізоди гіпоглікемії у хворих на цукровий діабет, гіповітаміноз B6, зниження маси тіла, артралгія, фотосенсибілізація.- Протіонамід - тіоамід a-пропілізонікотинової кислоти:


Жовтий кристалічний порошок, практично нерозчинний у воді, розчинний в спирті. Температура плавлення 140-143 ºС.

Ідентифікація та кількісне визначення аналогічне етіонаміду.

Аналогічний етіонаміду, проте краще переноситься. Приймають після їжі. При застосуванні препарату можливі шлунково-кишкові розлади, шкірні реакції, тахікардія, слабість, парестезії, однак ці побічні реакції менш виражені, ніж у етіонаміду.

. Лікарські засоби, похідні п-аміносаліцилової кислоти: натрію п-аміносаліцилат, бепаск. Методи їх синтезу, властивості, аналіз за аналітико-функціональними групами в молекулах, застосування в медицині, побічні дії

Лікарські речовини - похідні п-аміносаліцилової кислоти

Солі п-аміносаліцилової кислоти (ПАСК) належать до протитуберкульозних лікарських засобів.

У 1946 році лікар Леман виявив здатність ПАСК затримувати ріст мікобактерій. Виявилося, що ПАСК є антиметаболітом ПАБК, необхідної для нормального клітинного обміну мікоорганізмів. Ізомерні аміно-саліцилові кислоти не мають бактеріостатичної дії. Якщо замінити водень в аміно- або гідроксильній групі на метильну групу, то утворюються сполуки з більш низькою активністю, ніж ПАСК. При заміщенні -ОН-групи на аміногрупу або на хлор активність зберігається. Активність повністю зникає при заміні карбоксильної групи на сульфогрупу. Етиловий ефір ПАСК у дослідах на тваринах показав вищу активність, ніж кислота. Кальцієва сіль N-бензоїльного похідного ПАСК (бепаск) - краще переноситься хворими, ніж ПАСК.

Натрію п-аміносаліцилат (Nаtrіі рага-аmіnоsаlісуlаs) - Натрієва сіль п-аміносаліцилової кислоти:


Добування. м-Нітрофенол відновлюють, карбоксилюють за методом Кольбе, а потім нейтралізують отриману п-аміносаліцилову кислоту:

протитуберкульозний лікарський ізонікотинатний синтез

Властивості. Білий, іноді з ледь жовтуватим або рожевим відтінком дрібнокристалічний порошок. Водні розчини при стоянні темніють. Легко розчинний у воді, важко розчинний у спирті. Nа-ПАСК розкладається при температурі 80 °С, тому розчин не можна стерилізувати методом нагрівання.

Ідентифікація:

Þ Реакція на первинну ароматичну аміногрупу:


Þ З розчином феруму (III) хлориду - фіолетово-червоне забарвлення

Þ Субстанція дає реакції на натрій.

Þ УФ-спектрофотометрія; встановлюють відношення оптичних густин при певних довжинах хвиль.

Кількісне визначення:

1.Нітритометрія із зовнішнім індикатором (йодкрохмальний папір), S = 1.

2.Ацидиметрія, пряме титрування, S = 1.

3.Броматометрія, S = 1,5.

4.Йодохлорометрія, S = 1/2.

Застосування. Протитуберкульозний засіб. За туберкулостатичною активністю ПАСК поступається ізоніазиду і стрептоміцину, тому її комбінують з більш активними протитуберкульозними засобами.

Призначають ПАСК всередину у вигляді порошку, таблеток (драже) або гранул дорослим по 9-12 г на добу (3-4 г 3 рази на день), дітям - по 0,2 г / кг на добу в 3-4 прийоми (добова доза не більше 10 г). Приймають через 1/ 2-1 години після їжі, запивають молоком, лужною мінеральною водою, 0,5-2% розчином гідрокарбонату натрію.

При внутрішньовенному введенні вдається отримати високі концентрації натрію пара-аміносаліцілати в крові, у зв'язку з чим хіміотерапевтичний ефект посилюється.

При необхідності призначають розчин натрію пара-аміносаліцілати одночасно з розчином ізоніазиду.

Розчин застосовують у хворих активними прогресуючими формами туберкульозу, головним чином хронічного фіброзно-кавернозного туберкульозу легенів (форми туберкульозу, при яких в органах і тканинах утворюються неспадающій порожнини), раніше безуспішно лікувалися поєднаннями протитуберкульозних препаратів.

Побічні дії:

При застосуванні ПАСК можуть спостерігатися побічні явища. Найбільш часто відзначаються шлунково-кишкові розлади: погіршення (або втрата) апетиту, нудота, блювота, болі в животі, пронос або запор. Ці явища звичайно зменшуються при зниженні дози або короткочасному перерві в лікуванні, вони менш виражені при правильному (рівномірному триразовому) режимі харчування, а іноді при прийомі препарату у вигляді гранул. Краще, ніж звичайні таблетки, переносяться таблетки натрію пара-аміносаліцілатy, розчинні в кишечнику.

При застосуванні натрію пара-аміносаліцілатy можуть також спостерігатися алергічні реакції: дерматити (запалення шкіри) типу кропив'янки або пурпури (множинних дрібних крововиливів в шкіру і слизові оболонки), енантеми (висипу, що виникають на слизових оболонках тіла), гарячкова реакція (різке підвищення температури тіла ), астматичні явища, болі в суглобах, еозинофілія (збільшення числа еозинофілів в крові) та ін. В окремих випадках можливі збільшення і болючість печінки. В залежності від характеру та вираженості алергічних явищ прийом препарату слід тимчасово чи повністю припиняти; призначають протигістамінні препарати, кальцію хлорид, кислоту аскорбінову, а при тривалих алергічних реакціях - кортикостероїдні гормони.

У процесі лікування необхідно систематично досліджувати сечу і кров і перевіряти функціональний стан печінки дозах . У великих ПАСК надає антитиреоїдну (зменшує функції щитовидної залози) дію; при тривалому застосуванні може спостерігатися забогенний ефект (дія, спрямована на збільшення обсягу щитовидної залози). Цю особливість ПАСК потрібно враховувати, якщо у хворих на туберкульоз є гіпофункція (знижена функція) щитовидної залози.

- БЕПАСК - Кальцію п-бензоїламіносаліцилат.


Одержання:


Властивості. Білий, іноді з жовтуватим відтінком порошок. Практично не розчинний у воді, важко і повільно розчинний в 95 %-ному етиловому спирті, розчинний в метиловому спирті з утворенням ледь каламутних розчинів.

Ідентифікація:

ÞРеакція на іони кальцію після попереднього нагрівання лікарської речовини з кислотою хлористоводневою розведеною.

ÞРеакція на фенольний гідроксил з розчином феруму (III) хлориду у середовищі метанолу - з'являється фіолетове забарвлення.

Кількісне визначення. Комплексонометрія. Субстанцію попередньо спалюють і прожарюють в муфелі, залишок розчиняють у кислоті хлористоводневій і титрують розчином натрію едетату. У кінці титрування додають розчин натрію гідроксиду і індикатор - мурексид, S = 1.

Застосування.

За механізмом дії Бепаск близький до натрієвої солі пара-аміносаліцилової кислоти, похідним якої він є. В організмі від препарату повільно відщеплюється ПАСК (пара-аміносаліцилова кислота), яка і має лікувальний ефект; при застосуванні Бепаск створюється більш постійна концентрація ПАСК в крові.Прінімают Бепаск всередину по тим же показанням, що і ПАСК, особливо при поганій переносимості ПАСК (при диспепсичних явищах / розладах травлення /), а також при необхідності обмеження введення в організм іонів натрію.

Спосіб застосування:

Добова доза для дорослого 9-12 г (по 3 г 3-4 рази на день), для виснажених хворих (маса тіла менше 50 кг) - 6г. Запивають молоком або лужними водами.

Дітям призначають по 0,2 г на 1 кг маси тіла на добу (в 3 прийоми) в загальній добовій дозі не більше 10 г.

Побічні дії:

Бепаск добре переноситься, іноді спостерігаються диспепсичні явища, алергічні реакції (шкірні висипання, свербіж), запаморочення, болі в області серця. При виражених побічних явищах дозу тимчасово зменшують або припиняють прийом препарату.

. Протитуберкульозні антибіотики: стрептоміцину сульфат і його солі, рифампіцин, циклосерин, флориміцину сульфат. Методи одержання, властивості, аналіз, застосування в медицині, побічні дії

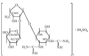
Стрептоміцину сульфат - Streptomycini sulfas - N-метил-a-L-глюкозамідо-b-2-стрептозидострептидин:


Глікозид стрептоміцин складається з аглікону - стрептидину і цукрової частини - дисахариду стрептобіозаміну.

Стрептоміцину сульфат - порошок або пориста маса білого або майже білого кольору, без запаху, гіркувата на смак; гігроскопічна. Легко розчинний у воді, практично не розчинний в спирті, хлороформі й ефірі. Стійкий у слабокислому середовищі, але легко руйнується в розчинах кислот і лугів при нагріванні. Дози обчислюють у ваговому вираженні або в одиницях дії (ОД); 1 ОД дорівнює 1 мкг хімічно чистого стрептоміцину основи.

Стрептоміцину сульфат має широкий спектр антимікробної дії. Антибіотик активний відносно мікобактерій туберкульозу, а також більшості грамнегативних (кишкова паличка, паличка Фрідлендера, паличка інфлюенци, збудника чуми, туляремії, бруцельозу й деяких грамопозитивних (стафілококи) мікроорганізмів; менш активний відносно стрептококів, пневмококів. Не діє на анаероби, риккетсії й віруси. Діє стрептоміцин бактерицидно. Ефект пов'язаний з придушенням синтезу білка на рівні рибосом у мікробній клітці. При прийомі усередину стрептоміцин погано всмоктується й майже повністю виводиться через кишечник. При внутрім'язовому введенні всмоктується добре.

Максимальна концентрація в плазмі крові спостерігається через 1-2год. Після однократного введення терапевтичної дози зберігається вкрові протягом 6 - 8 год. Виводиться з організму головним чином нирками. При нормальній видільній функції нирок в організмі не накопичується при повторному введенні. Однак при порушенні функції нирок виділення вповільнюється, концентрація в організмі підвищується й можуть розвиватися побічні (нейротоксичні) явища.

Стрептоміцину сульфат застосовують у якості основного протитуберкулезного препарату для лікування, головним чином, уперше виявленого туберкульозу легень і туберкульозних уражень інших органів. Застосовуютьстрептоміцину сульфат внутрім’язово, а також у вигляді аерозолів, інтратрахеально, внутрікавернозно (у дорослих). При внутрім'язовому введенні разова доза для дорослих 0,5 - 1,0 г, добова - 1г. Вища добова доза - 2 г. Хворим з масою тіла менш 50 кг і особам старше 60 років вводять зазвичай не більше 0,75 г у добу. Добова доза для дітей і підлітків 15 - 20 мг на 1 кг маси тіла, але не більше 0,5 г у добу- дітям і 1 г - підліткам. При лікуванні туберкульозу, добову дозу звичайно вводять однократно, при поганий переносимости її можна розділитина 2 введення. Тривалість лікування залежить від форми й фази захворювання (3 місяці і більше).

При лікуванні стрептоміцином (і його похідними) можуть спостерігатися різні токсичні й алергійні реакції: лікарська лихоманка, дерматит і інші алергійні явища, запаморочення, головний біль, серцебиття, альбумінурія, гематурія; у зв'язку із придушенням мікрофлори кишечника може з'явитися понос. Найбільш серйозними ускладненнями є ураження VIII пари черепних нервів і пов'язані із цим вестибулярні розлади й порушення слуху (ототоксичність). При тривалому застосуванні більших доз може розвитися глухота. Лікування стрептоміцином повинне проводитися під ретельним лікарським наглядом; в процесі лікування необхідно стежити за функцією VIII пари черепних нервів, вестибулярного й слухового апаратів, функцією нирок, формулою крові. При нейротоксичних ускладненнях призначають кальцію пантотенат, тіамін, піридоксин, піридоксальфосфат. При виникненні алергійних реакцій необхідно припинити введення препарату й провести десенсибілізуючу терапію.

Стрептоміцину сульфат не можна приймати одночасно з антибіотиками з ототоксичною дією [канамицин, флориміцин, гентаміцин, мономіцин], а також з фуросемідом і курареподібними препаратами. Неприпустиме змішування стрептоміцину сульфату в одному шприці з антибіотиками пеніцилінового ряду й цефалоспоринами. Форма випуску: у флаконах по 0,25, 0,5 і г.- Рифампіцин - -1,2-дигідро-5,6,9,17,19-пентагідрокси-2,4,12,16,18,20,22-гептаметил-23-метокси-2,7-{епоксипентадека[1,11,13]трієноіміно}нафто[2,1-b]фуран-21-іл ацетат:


Кристалічний порошок цегляного кольору. Практично нерозчинний у воді, мало розчинний у спирті. Чутливий до дії світла, кисню і вологи повітря.

Рифампіцин є антибіотиком широкого спектра дії. Він активний відносно мікобактерій туберкульозу і лепри, діє на грампозитивні (особливо стафілококи) та грамнегативні (менінгококи, гонококи) коки, менш активний щодо грамнегативних бактерій.

Ріфампіцин добре всмоктується зі шлунково-кишкового тракту. Максимальна концентрація в крові досягається через 2-2,5 години після прийому всередину.

При внутрішньовенному краплинному введенні максимальна концентрація рифампіцину спостерігається до кінця інфузії (вливання). На терапевтичному рівні концентрація препарату при прийому всередину і внутрішньовенному введенні підтримується протягом 8-12 год, відносно високочутливих збудників - протягом 24 год. Рифампіцин добре проникає в тканини і рідини організму і виявляється в терапевтичних концентраціях у плевральному ексудаті (накопичується між оболонками, оточуючими легені, багатої білком рідини), мокротинні, вмісті каверн (порожнин у легенях, що утворилися внаслідок змертвіння тканини), кісткової тканини. Найбільша концентрація препарату створюється у тканинах печінки і нирок. З організму виводиться з жовчю і сечею.

Стійкість до рифампіцину розвивається швидко. Перехресної стійкості з іншими антибіотиками не спостерігається.

Показання до застосування: Основним показанням до застосування є туберкульоз легенів та інших органів. Крім того, препарат застосовують при різних формах лепри і запальних захворюваннях легенів і дихальних шляхів: бронхіти (запаленні бронхів), пневмонії (запаленні легенів), - викликаються полірезистентними (стійкими до більшості антибіотиків) стафілококами, при остеомієліті (запаленні кісткового мозку та прилеглої кісткової тканини ); інфекціях сечо-і жовчовивідних шляхів; гострої гонореї та інших захворюваннях, викликаних чутливими до рифампіцину збудниками.

У зв'язку з швидким розвитком стійкості мікроорганізмів рифампіцин призначають при нетуберкульозних захворюваннях тільки в тих випадках, якщо неефективні інші антибіотики.

Спосіб застосування: Рифампіцин приймають всередину натщесерце (за 1/2-1 год до їди) або вводять внутрішньовенно краплинно (тільки дорослим).

Для приготування розчину розводять 0,15 г рифампіцину в 2,5 мл стерильної води для ін'єкцій, енергійно струшують ампули з порошком до повного розчинення, отриманий розчин розводять в 125 мл 5% розчину глюкози. Вводять зі швидкістю 60-80 крапель на хвилину.

При лікуванні туберкульозу середня добова доза для дорослих всередину 0,45 г 1 раз на день. У хворих (особливо в період загострення) з масою тіла вище 50 кг добова доза може бути збільшена до 0,6 г. Середня добова доза для дітей старше 3 років - 10 мг / кг (але не більше 0,45 г на добу) 1 раз в день. При поганій переносимості рифампіцину добова доза може бути розділена на 2 прийоми.

Внутрішньовенне введення рифампіцину рекомендується при гостропрогресуючих і поширених формах деструктивного туберкульозу легень (туберкульозу легенів, викликаного з порушенням структури легеневої тканини), тяжких гнійно-септичних процесах (мікробному зараження крові з подальшим утворенням гнійників в тканинах), коли необхідно швидко створити високу концентрацію препарату в крові і якщо прийом препарату внутрішньо утруднений або погано переноситься хворим.

При внутрішньовенному введенні добова доза для дорослих становить 0,45 г, при тяжких швидко прогресуючих формах - 0,6 г і вводиться в 1 прийом. Препарат внутрішньовенно вводять протягом 1 міс. і більше з подальшим переходом на прийом всередину в залежності від переносимості препарату. Загальна тривалість застосування рифампіцину при туберкульозі визначається ефективністю лікування і може досягати 1 року.

При лікуванні туберкульозу рифампіцином (внутрішньовенно) у хворих з цукровим діабетом рекомендується на кожні 4-5 г глюкози (розчинника) вводити 2 ОД інсуліну.

Монотерапія (лікування одним препаратом) туберкульозу рифампіцином часто супроводжується розвитком стійкості збудника до антибіотика, тому його слід поєднувати з іншими протитуберкульозними засобами (стрептоміцин, ізоніазид, етамбутол), до яких збережена чутливість мікобактерій туберкульозу (збудників туберкульозу). .

Побічні дії:

Лікування рифампіцином повинні проводитися під ретельним лікарським наглядом. Можливі алергічні реакції (різного ступеня тяжкості), хоча спостерігаються вони відносно рідко; крім того, диспепсичні явища (розлади травлення), дисфункція (порушення функції) печінки і підшлункової залози. При тривалому прийомі препарату необхідно періодично досліджувати функцію печінки і проводити аналізи крові (у зв'язку з можливістю розвитку лейкопенії / зниження рівня лейкоцитів у крові /).

При швидкому внутрішньовенному введенні може знизитися артеріальний тиск, а при тривалому введенні - розвинутися флебіт (запалення вени).

Препарат зменшує активність непрямих антикоагулянтів (засобів, що гальмують згортання крові), пероральних гіпоглікемічних засобів (приймаються через рот лікарських засобів, що знижують рівень цукру в крові), препаратів наперстянки. При одночасному прийомі антикоагулянтів і рифампіцину при скасуванні останнього доза антикоагулянтів повинна бути зменшена.

Препарат має яскравий коричнево-червоний колір. Він забарвлює (особливо на початку лікування) сечу, мокротиння, слізну рідину в оранжево-червонуватий колір.- Циклосерин - (R)-4-Аміно-3-ізоксазолідинон:


Застосування Циклосерину: туберкульоз легень (активна форма), позалегеневий туберкульоз (включаючи захворювання нирок) - у складі комбінованої терапії; гострі інфекції сечовивідних шляхів.

Побічні дії Циклосерину:

З боку нервової системи та органів чуття: головний біль, тремор, дизартрія, запаморочення, судоми, сонливість, напівнепритомний стан, сплутаність думок, порушення орієнтації, що супроводжується втратою пам'яті, психоз із суїцидальними спробами, зміна характеру, підвищена дратівливість, агресивність, парез, гіперрефлексія , парестезія, напади клонічних судом, кома.

З боку серцево-судинної системи і крові (кровотворення, гемостаз): застійна серцева недостатність (при дозах 1000-1500 мг / добу), мегалобластна анемія.

Інші: збільшення рівня амінотрансфераз в сироватці (особливо у літніх хворих із захворюваннями печінки), алергічні реакції (свербіж).

Флориміцину сульфат - Florimycini sulfas


Антибіотик, продуки життєдіяльності променистих грибів Streptomyces floridae.

Порошок білого кольору. Без запаху, злегка гіркуватий на смак. ЛР у воді.

За хіміотерапевтичними властивостями близький до канаміцину.Є резервним препаратом при лікуванні туберкульозу. Застосовують внутрім’язево. Вводять повільно.щоденно по 0,5 г 2 рази на день протягом 6 днів, на 7-й перерва.

У дітей флориміцину сульфат потрібно застосовувати з обережністю - вплив на слух. Його не можна поєднувати з стрептоміцином і іншими ототоксичними речовинами.

При застосуванні може з’являтися головний біль, алергічний дерматит, білок в сечі. У хворих з порушеною функцією нирок може посилюватися токсична дія. Для послаблення нейротоксичного і алергічного впливу використовують кальцію пантотенат.

Протипокази: ураження пари черепно-мозкових нервів і порушення функції нирок.

5.Протитуберкульозні лікарські засоби з різних хімічних груп: етамбутол, піразинамід, тіоацетамід, солютизон. Методи одержання, властивості, аналіз, застосування в медицині, побічні дії

- Етамбутол - (+) - N,N’- етилен-біс-(2-амінобутан-1-ола)


Білий кристалічний порошок. Легко розчинний у воді.

Фармакологічна дія: Володіє бактеріостатичній (перешкоджає розмноженню бактерій) активністю щодо мікобактерій туберкульозу (збудника туберкульозу); в тому числі і щодо штамів, стійких до інших протитуберкульозних препаратів.

Спосіб застосування:

Всередину, 1 раз в день (після сніданку), первинним хворим, які раніше не брали протитуберкульозні препарати, - по 15 мг / кг; хворим, раніше брали протитуберкульозні препарати, - по 25 мг / кг. Курс лікування - 2 міс. Потім препарат призначають у підтримуючих дозах - 15 мг / кг раз на добу.

Побічні дії: можливі погіршення зору, алергічні реакції. При прийомі етамбутола можуть посилюватися кашель, збільшуватися кількість мокротиння, диспепсичні явища., депресія, парестезії, шкірний висип. В процесі лікування необхідний систематичний контроль за гостротою зору, рефракцією, кольоровідчуттям і іншими показниками стану ока.- Піразинамід - амід піразинкарбонової кислоти:


Білий кристалічний порошок. Розчинний у воді при нагріванні.

За туберкулостатичною активністю сильніший за ПАСК, проте слабший за ізоніазид, стрептоміцин. Препарат добре проникає в осередки туберкульозного ураження. Його активність не знижується у кислому середовищі казеозних (творожістоподобних) мас, у зв'язку з чим його часто призначають при казеозних лімфаденітах (запаленні лімфатичних вузлів, заповнених творожістоподобной масою), туберкуломах (пухлинах, що викликаються туберкульозним запаленням) і казеозно-пневмонічних процесах (запальному захворюванні легенів з утворенням в них творожістоподобной маси).

При лікуванні одним піразинамідом можливо швидкий розвиток до нього стійкості мікобактерії туберкульозу, тому його, як правило, комбінують з іншими протитуберкульозними препаратами (ізоніазид, стрептоміцин та ін.) Препарат особливо ефективний у хворих з вперше виявленим деструктивним туберкульозом (туберкульоз легень, що протікає з порушенням структури легеневої тканини).

Спосіб застосування: Добова доза піразинаміду для дорослих 1,5-2,0 г, при добрій переносимості до 2,5 г на добу. Приймають внутрішньо після їди по 1 г 2 рази (рідше по 0,5 г 3-4 рази) на день. Добова доза для хворих старше 60 років і з масою тіла до 50 кг - 1,5 г. Дітям призначають із розрахунку 0,02-0,03 г (20-30 мг) на 1 кг маси тіла на добу (добова доза не більше 1,5 г).

Побічні дії: При лікуванні піразинамідом можуть виникати алергічні ракііі: дерматити (запалення шкіри), еозинофілія (збільшення числа еоеінофілов в крові), гарячкові реакції (різке підвищення температури тіла) та ін Можливі також диспептичні явища (розлади травлення), погіршення апетиту, головний біль, зрідка - підвищена збудливість.

неспокій. При тривалому застосуванні може надавати токсичну дію на печінку.

В процесі лікування піразинамідом необхідно стежити за функцією печінки, проводячи біохімічні проби (тимолова проба, визначення рівня білірубіну, дослідження глутаміношавелевокіслой аміноферази сироватки крові та ін.) При виявленні змін функції печінки припиняють прийом препарату. Для зменшення токсичної (повреждающего) дії піразинаміду рекомендується призначення метіоніну, глюкози, вітаміну Вр.

Є дані про затримку в організмі під впливом піразинаміду сечової кислоти і можливості появи в суглобах болю подагричного характеру. Доцільно тому визначати вміст сечової кислоти в крові.- Тіоацеазон - тіосемікарбазон пара-ацетамінобензальдегіду:


Світло-жовтий дрібнокристалічний порошок, гіркий на смак. Практично нерозчинний у воді, важко розчинний у спирті.

Тіоацетазон володіє бактеріостатичної (перешкоджає розмноженню бактерій) активністю щодо мікобактерій туберкульозу (збудника туберкульозу) і збудника лепри. Однак у зв'язку з відносно високою токсичністю його застосовують обмежено: призначають зазвичай в поєднанні з ізоніазидом, фтивазид, пара-аміносаліцилової кислотою, стрептоміцином і іншими протитуберкульозними препаратами для підвищення терапевтичного ефекту і зменшення можливості появи резистентних (стійких) форм мікобактерій туберкульозу. Поєднувати з етіонамідом не рекомендується у зв'язку з перехресною стійкістю (стійкістю до основних і допоміжних засобів лікування туберкульозу) мікобактерій.

Показання до застосування: Застосовують головним чином при туберкульозі слизових і серозних оболонок (оболонок тіла, що вистилають внутрішні органи), лімфаденітах (запаленні лімфатичного вузла), скрофулодерма (туберкульозі шкіри), специфічних свищах (каналах, що з'єднують порожнини тіла або повні органи із зовнішнім середовищем, або між собою, утворилися в результаті запального процесу, викликаного міко-бактеріями туберкульозу). При туберкульозному менінгіті (запаленні оболонок мозку внаслідок туберкульозу) не призначають. У ряді випадків тіоацетазон надає лікувальну дію при лепрі, найбільш ефективний в ранніх стадіях захворювання.

Спосіб застосування: Препарат приймають всередину після їжі; запивають склянкою чаю, води, молока. Добова доза для дорослих 0,1-0,15 г (0,05 г 2-3 рази на день), для хворих старше 60 років і масою тіла менше 50 кг - по 0,1 г на добу. Дітям призначають по 0,0005-0,001 г (0.5-1,0 мг) на 1 кг маси тіла на добу (не більше 0,05 г на добу).

При лікуванні туберкульозних емпієма (скупчення гною в будь-якому органі або порожнини організму внаслідок запального процесу, викликаного мікобактеріями туберкульозу) іноді застосовують 1% стерильну суспензія тіоацетазон (в олії, гліцерині, ізотонічному розчині натрію хлориду).

Побічні дії: При лікуванні тіоаіетазоном можливі головний біль, нудота, дерматити (запалення шкіри), погіршення апетиту. У рідкісних випадках при великих дозах розвиваються альбумінурія (білок у сечі), гепатит (запалення тканини печінки), іноді лейкопенія (зниження рівня лейкоцитів в крові), тромбоцитопенія (зменшення кількості тромбоцитів у крові), агранулоцитоз (різке зниження числа гранулоцитів в крові), анемія (зниження вмісту гемоглобіну в крові). Можуть з'явитися альбумінурія, циліндрурія (виділення з сечею великої кількості білкових "зліпків" з ниркових канальців, як правило, свідчить про захворювання нирки), ураження печінки.



Кристалічний порошок жовтувато-зеленуватого кольору. Важко розчинний у воді, практично нерозчинний у спирті.

Володіє бактеріостатичній (перешкоджає розмноженню бактерій) активністю щодо мікобактерії туберкульозу (збудників туберкульозу), у тому числі штамів, стійких до основних протитуберкульозних препаратів.

Показання до застосування: Туберкульоз верхніх дихальних шляхів, бронхів і легенів, хронічний фіброзно-кавернозний туберкульоз (форма туберкульозу, при якій в органах і тканинах утворюються неспадающій порожнини), для підготовки до хірургічного лікування хворих з хронічним фіброзно-каверношим туберкульозом.

Спосіб застосування: Інгаляції (у вигляді аерозолю), інгратрахеально (в порожнину трахеї), інтрагортанно (в порожнину гортані), інтрабронхнально (в порожнину бронхів). На одне введення дорослим 2-3 мл 1-2% розчину, дітям - 1% розчину. Інгаляції проводять 1-2 рази на день протягом 1-2 міс. Тривалість сеансу - 7-10-12 хв. Інтратрахеально вводять 2-5 мл 1-2% розчину за допомогою спеціальногао гортанного шприца.

Побічні дії: Подразнення дихальних шляхів, кашель.

Висновки

Туберкульо́з (від лат. tuberculum - горбок), також cухоти - інфекційна хвороба, яка викликається мікобактеріями туберкульозу і характеризується утворенням специфічних гранульом в різноманітних органах та тканинах (найчастіше у легенях) і поліморфною клінічною картиною. Вираженою активністю щодо M. tuberculosis має значну кількість препаратів, різних за походженням, хімічною структурою і механізмом дії. Протитуберкульозні лікарські препарати не тільки пригнічують розмноження і розвиток мікобактерій туберкульозу, а й приводять їх до загибелі.

До протитуберкульозних лікарських засобів відносяться синтетичні (ізоніазид, етамбутол, натрію пара-аміносаліцілат, бепаск, етіонамід, протіонамід, піразинамід), антибіотики (рифампіцин, циклосерин, канаміцин, флоримицин, стрептоміцин) та фторхінолони (Ломефлоксацин).

Антибіотики і фторхінолони, що застосовуються для лікування туберкульозу, характеризуються широким спектром дії, а синтетичні препарати - вузьким, тобто діють тільки на мікобактерії туберкульозу.

Головною проблемою в лікуванні туберкульозу є швидкий розвиток стійкості збудника до протитуберкульозних препаратів при монотерапії. У кожному конкретному випадку необхідно визначати чутливість мікобактерій до протитуберкульозних препаратів. У разі виявлення резистетності до одних препаратів застосовують альтернативні препарати, до яких зберігається чутливість. Найбільшу проблему хіміотерапії туберкульозу сьогодні представляють полірезистентні штами мікобактерій, тобто штами, стійкі до двох і більше протитуберкульозних препаратів, особливо до ізоніазиду і рифампіцину.

Сучасне лікування туберкульозу є комбінованим, тобто включає в себе застосування декількох препаратів одночасно, що віддаляє або попереджає розвиток стійкості.

Похожие работы на - Аналіз протитуберкульозних лікарських засобів

 

Не нашли материал для своей работы?
Поможем написать уникальную работу
Без плагиата!
Без нейросетей!