Расчет параметров железобетонных конструкций
Введение
Железобетонные конструкции являются базой
современной строительной индустрии. Их применяют: в промышленном, гражданском и
сельскохозяйственном строительстве - для зданий различного назначения; в
транспортном строительстве - для метрополитенов, мостов, туннелей; в
энергетическом строительстве - для гидроэлектростанций, атомных реакторов; в
гидромелиоративном строительстве - для плотин и ирригационных устройств; в
горной промышленности - для надшахтных сооружений и крепления подземных
выработок и т. д. Такое широкое распространение в строительстве железобетон
получил вследствие многих его положительных свойств: долговечности,
огнестойкости, стойкости против атмосферных воздействий, высокой
сопротивляемости статистическим и динамическим нагрузкам, малых
эксплуатационных расходов на содержание зданий и сооружений и др. Почти
повсеместное наличие крупных и мелких заполнителей, в больших количествах
идущих на приготовление бетона, делает железобетон доступным к применению
практически на всей территории страны.
По способу возведения различают: железобетонные
конструкции сборные, изготовляемые преимущественно на заводах стройиндустрии и
затем монтируемые на строительных площадках; монолитные, полностью возводимые
на месте строительства; сборно-монолитные, в которых рационально сочетается
использование сборных железобетонных элементов заводского изготовления и
монолитных частей конструкций.
В настоящее время сборные железобетонные
конструкции в наибольшей степени отвечают требованиям индустриализации
строительства, хотя следует отметить, что и монолитный бетон с каждым годом
получает все большее признание.
1. Расчетные данные
Размеры в плане, м : 18×24
Высота, м : 4,8
Класс бетона : В25
Класс арматуры : А-III
Расчетное сопротивление грунта
,кПа
:250
Объемная масса грунта
,
кН/м³
: 17
Расчетный угол внутреннего трения
,
градус : 35
Временная нагрузка на призме разрушения V,
кН/м²
: 30
Резервуар проектируем в г. Красноярске.
Данные для проектирования.
Бетон тяжелый класса В25.
Расчетное сопротивление бетона сжатию
=14,5
МПа. Нормативное сопротивление бетона сжатию
=1,05
МПа. Начальный модуль упругости бетона
=30000
МПа.
Арматура:
Класс арматуры А-III.
Расчетное сопротивление растяжению
=365МПа.
Модуль упругости арматуры
=210000 МПа.
2. Проектирование ригелей
.1 Расчетные пролеты и нагрузки
Расчетные средние пролеты ригеля принимаем
равными расстоянию между осями колонн,
=6,0
м.
Расчетный пролет крайних ригелей
=5,8
м.
Мы имеем ригель таврового сечения полками вниз.
Передача нагрузки от перекрытия происходит через торцовые ребра ребристых
панелей или нижнюю поверхность пустотных, поэтому нагрузка считается равномерно
распределенной.
Определим величину нагрузок на 1 пог. м ригеля,
т.е. В=6 м.
Снег: расчетная снеговая нагрузка
равна 
=180 кг/м²×10 м/с²=1800 Н/м²=1,8 кН/м²;
тогда расчетная погонная нагрузка: 
=1,8 кН/м²×6 м=10,8 кН/м;
Грунт: нормативная нагрузка
находится по формуле ×
b=17 кН/м³×0,4
м=6,8
кН/м²,
где
b - толщина
слоя грунта; коэффициент надежности равен 1,3; расчетная нагрузка 
=5,1 кН/м²×1,3=6,63
кН/м²; тогда
расчетная погонная нагрузка 
=6,63кН/м²×6 м=39,78 кН/м
;
Утеплитель: 
=
× b=4 кг/м³×0,01
м=0,044
кН/м³×0,1
м=0,044
кН/м²,
где

- плотность утеплителя, а b - толщина
слоя утеплителя; коэффициент
надежности равен 1,2; расчетная
нагрузка 
=0,044 кН/м²×1,2=0,04
кН/м²; расчетная
погонная нагрузка 
=0,04 кН/м²×6 м=0,264 кН/м
;
Гидроизоляция: 
=
× b=1000 кг/м³×0,01
м=10
кН/м³×0,01
м=0,1
кН/м²,
где

- плотность рубероида (по СП
«Тепловая защита зданий»), а b - толщина слоя рубероида;
коэффициент надежности 1,2; расчетная нагрузка 
=0,1 кН/м²×1,2=0,12
кН/м²; расчетная
погонная нагрузка 
=0,12 кН/м²×6 м=0,72 кН/м
;
Плита: по ГОСТ 27215-87 масса плиты
2,4 т; коэффициент надежности 1,1; 2,4 т×1,1=2,64×10 кН=26,4 кН; 
=26,4кН/9 м²=2,9 кН/м²; расчетная
погонная нагрузка 
=2,9 кН/м²×6 м=17,6 кН/м
;
Ригель: по ГОСТ масса ригеля равна
4,4 т; коэффициент надежности 1,1; 4,4 т×1,1=4,84×10 кН=48,4 кН;
расчетная погонная нагрузка 
=48,4 кН/ 6 м=8,07 кН/м .
Все данные для удобства занесем в
таблицу.
Таблица №1
|
Вид нагрузки
|
Нормативная нагрузка ,
кН/м²
|
Коэффициент надежности
|
Расчетная нагрузка ,
кН/м²
|
Расчетная погонная нагрузка ,
кН/м
|
|
снег
|
|
|
1,8
|
10,8
|
|
грунт
|
6,8
|
1,3
|
6,43
|
38,61
|
|
утеплитель
|
0,044
|
1,1
|
0,04
|
0,264
|
|
гидроизоляция
|
0,1
|
1,2
|
0,12
|
0,72
|
|
плита
|
|
1,1
|
2,9
|
17,58
|
|
ригель
|
|
|
|
8,067
|
|
Всего
|
|
|
|
90,471
|
2.2 Определение усилий в сечениях
ригеля от расчетных нагрузок в табличной форме
Исходные данные заносим в программный комплекс «SCAD».
Полученные схема загружения, значения изгибающих моментов и поперечных сил
заносим в виде таблицы 2.
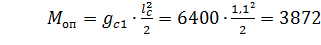
Изгибающие моменты на гранях колонны:
=М - Q×
/2)=312,87
- 309,2×(0,4/2)=251,03
кН×м.
Высоту сечения ригеля определим по опорному
моменту при граничном значении относительной высоты сечения сжатой зоны:
𝜉=0,35;
=0,289;
=
=
=
0,4361 м=43,61 см,
где
- расчетное
сопротивление бетона сжатию, МПа,
-
запас по материалу,
- ширина сечения
ригеля.
Высота получилась меньше заданной (80 см), при
дальнейших расчетах будем использовать данную высоту сечения ригеля, при этом
будет запас прочности, который мы можем использовать и при производстве работ
уменьшить марку бетона.
Тогда высота сечения сжатой зоны
,
где а - расстояние от растянутой грани сечения до центра тяжести растянутой
арматуры.
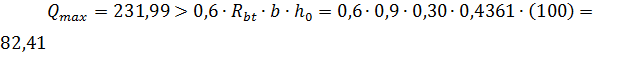
Проверим прочность наклонной полосы между
наклонными трещинами по условию:
Q≤0,3
,
где
=1+5
;
=1-
=1-0,01×14,5=0,885;
для тяжелого бетона
=0,01.
Проверим значение величины коэффициента
М/
=21599000/14,5×100×30×49,61²×0,9=0,29
0,44,
где М - максимальный момент в пролете.
Окончательно принимаем сечение ригеля:
=30×80
см.
2.4 Подбор сечений продольной
арматуры по изгибающим моментам
В пролетах (
=215,99
кН
м)
=
/
21599000/14,5×100×30×43,61²×0,9=0,29.
По значению
найдем
𝜁=0,824(определяем
по приложению методички).
Определим площадь сечения продольной арматуры:
=
/
𝜁
=21599000/365×100×0,824×43,61=16,47
см².
По сортаменту арматуры принимаем 2
Ø 28 А III
(
=12,32
см²), 2 Ø 18 А III (
=5,09
см²), Σ
=17,41 см².
Количество верхней арматуры вычислим по величине
опорного изгибающего момента.
На опоре
=251,03
кН
м)
=
/
=25103000/14,5×100×30×43,61²×0,9=0,34.
По значению
найдем
𝜁=0,78.
Определим площадь сечения продольной арматуры:
=
/
𝜁
=25103000/365×100×0,947×43,61=20,22
см².
Принимаем по сортаменту 2
Ø 28, А III (
=12,32
см²) и 2 Ø 25, А III (
=9,82
см²); общая площадь
=22,14 см².
2.5 Расчет прочности наклонных
сечений по поперечной силе
На средней опоре: Q=309,2
кН.
Расчет ж/б элементов с поперечной арматурой на
действие поперечной силы для обеспечения прочности по наклонной трещине должен
производится по наиболее опасному наклонному сечению из условия:
Вычислим проекцию расчетного наклонного сечения
на продольную ось С по формуле:
где
;
-
коэффициент, учитывающий влияние вида бетона.
Н
см.
;
.
Диаметр поперечных стержней устанавливаем из
условия сварки с продольной арматурой диаметром 28 мм и принимаем равным
=8
мм (
=0,503
см²)
класса
А-I,
=225
МПа, число каркасов два
=1,01 см².
Шаг поперечных стержней
=150
мм, поскольку h=496
450
и
=150=
h/5=10 см.
кН
- поперечная арматура требуется по расчету.
1,1783 МПа
м
0,0945МПа
м
Следовательно, диаметр продольной арматуры
подобран верно.
Поперечная сила, воспринимаемая арматурой:
кН.
Проекция наклонной трещины:
см
Поперечная сила, воспринимаемая бетоном:
кН.
Проверка прочности:
кН,
кН;
Следовательно, прочность обеспечена.
Принимаем шаг поперечных стержней на приопорных
участках длиной l/4-S=150
мм, в средней части пролета S=3
h/4=
32см.
.6 Построение эпюры арматуры
Пролеты. Рабочая арматура принята 2
Ø 28, А III
+ 2 Ø 18, А III;
=17,41
см².
по
конструктивным требованиям не менее 50 % от сечения продольной рабочей арматуры
в пролете должно быть доведено до опор.
Обрываем 2 Ø 28,
А III.
Определим изгибающий момент, воспринимаемый всем
сечением арматуры в пролете:
;
;
𝜉=
;
;
кН
м.
Изгибающий момент, воспринимаемый арматурой 2
Ø 18, А III;
=5,09
см²:
ригель арматура нагрузка сечение
;
𝜉=
;
;
кН
м.
Арматура 2 Ø 18,
А III +
2 Ø 28, А III
,
=17,41
см².
𝜉=
;
;
кН
м.
Арматуру 2 Ø 28,
А III;
=12,32
см²
.
;
𝜉=
;
;
кН
м.
Арматура 2 Ø 25,
А III +
2 Ø 28, А III
,
=22,14см².
;
𝜉=
;
;
кН
м.
Арматура 2 Ø 25, А
III,
=9,82см².
;
𝜉=
;
;
кН
м.
2.7 Определение длины заделки
стержней рабочей арматуры за места теоретического обрыва
В целях экономии арматурной стали часть
продольных стержней обрываем согласно изменению огибающей эпюры моментов.
Сечение ригеля, в котором отдельные растянутые стержни не нужны, называют
местом теоретического обрыва. Обрываемые стержни заводят за место
теоретического обрыва на длину заделки
,
определяемую по формуле:
где
-
диаметр обрываемого стержня.
Площадь поперечной арматуры 2 Ø8
А-I
Принимаем большее из полученных значений. Эпюру
моментов считаем симметричной.
2.8 Проектирование опорного стыка
Расчет опорного стыка проводим на действие
усилий от опорного изгибающего момента М=265,54 кН×
м
и поперечной силы Q=231,99 кН.
Растягивающее усилие N
воспринимается стальными стыковыми стержнями, сжимающее - бетоном между торцом
ригеля и колонной и сварными швами между закладными деталями консоли колонны и
ригеля.
Бетон класса В25,
;
стыковые стержни из арматуры класса А-III,
;
сварной шов выполняется электродами Э-42,
,
толщина закладных пластин
. Определим площадь
сечения надопорных стыковых стержней при величине а=1,5 см;
;
соответствует
;
Принимаем арматуру 4Ø28
А-III;
.
Суммарная длина сварных швов соединительных
стержней при
и
При четырех стыковых стержнях и двусторонних
швах длина шва с учетом непровара
по конструктивным требованиям.
Длина шва крепления нижних закладных деталей
ригеля к стальной пластине консоли:
по металлу шва
по металлу границы оплавления
;
где
;
-
сила трения;
- коэффициент
трения стали о сталь.
Принимаем большее значение
.
При этом
Длина шва с каждой стороны с учетом непровара
Вылет консоли с учетом зазора между ригелем и
колонной принимаем 20 см, размер закладной детали 15 см.
2.9 Особенности расчета прочности
ригеля таврового сечения с полкой в растянутой зоне
При проектировании ригеля таврового сечения
необходимо дополнительно рассчитывать свесы полок на действие местных нагрузок
от панелей перекрытия.
Расчет полки ригеля. Определим нагрузку на полку
ригеля на 1 пог. м:
Эксцентриситет приложения нагрузки:
см.
Изгибающий момент в полке:
Вычислим коэффициент:
По
определим
коэффициент
.
Площадь сечения арматуры:
Примем арматуру 4 Ø 6,
В1 (шаг 250 мм);
.
Полки ригеля армируем сварными каркасами К-2,
гнутыми по профилю полок.
Рассчитываемый железобетонный резервуар имеет
жесткую конструктивную схему. Колонны каркаса работают только на восприятие
вертикальных нагрузок от перекрытий.
Ввиду незначительного влияния и для сокращения
объема вычислений не учитываем изгибающие моменты, возникающие в сечениях
колонн при неравномерном загружении ригелей.
Сечения колонн назначаем квадратные с размерами
40×40
см.
3.1 Определение расчетных усилий
Грузовая площадь, с которой собирается нагрузка
от каждого перекрытия и покрытия на колонну,
.
Т.к. расчетную схему с прикладываемой к ней
распределенной нагрузкой мы считали в программе SCAD,
то возьмем оттуда значение максимальной силы, действующей на колонну:
(см.
рисунок выше).
3.2 Расчетные схемы и длины колонн
Колонну рассчитываем как стойку, жестко
защемленную в фундаменте и шарнирно-неподвижно опертую на уровне перекрытия.
Расчетная длина этой колонны
.
Класс бетона колонн В25 (
=14,5
МПа). Арматура в колоннах класса А-III;
=365
МПа;
.
3.3 Расчет колонн на прочность
По
и
отношению длительной нагрузки к общей нагрузке, принимаемому в данном курсовом
проекте равным 1, находим
и
(по
таблице методички).
Определим
,
предварительно задав
:
где
Требуемая площадь продольной арматуры
Т.к. площадь продольной арматуры получилась
меньше 0, конструктивно принимаем минимальный диаметр
4 Ø 12, А-III;
.
Поперечные стержни в колоннах резервуара Ø8, А-I
с шагом
.
3.4 Расчет сборных элементов колонны
резервуара на усилия в период транспортирования и монтажа
Рассмотрим сборный элемент колонны, длиной во
весь резервуар.
Исходные данные:
длина сборного элемента колонны - 535 см;
размеры поперечного сечения - 40×40
см;
продольная рабочая арматура колонны 4 Ø
12, А-III;
;
=365
МПа; a=a’=4
см. Класс бетона В25 (
=14,5 МПа).
Подъем сборного элемента колонны при монтаже
осуществляется стропом.
В период транспортирования колонны опираются на
подкладки, установленные на расстоянии 1 м (1/5 от длины колонны) от торцов
элемента. В момент подъема сборный элемент, захваченный за консоли на
расстоянии 1 м от верхнего торца, нижним шарнирно-неподвижно опирается на
горизонтальную площадку.
Расчетный собственный вес погонного метра
колонны при коэффициенте динамичности
:
где
-
удельный вес бетона.
Расчетный собственный вес погонного метра
колонны при коэффициенте динамичности
:
Нагрузка от собственного веса колонны в
начальный момент подъема из-за незначительного угла
к
горизонту принимается равной
.
Изгибающие моменты в характерных сечениях
колонны равны:
при транспортировании:
при монтаже:
Вычислим изгибающий момент, воспринимаемый
сечением колонны при симметричном армировании (
где
Прочность сечений обеспечена, т.к.
3.5. Расчет консоли колонн
Исходные данные:
расчетная сила, передаваемая ригелем на консоль
колонны:
класс бетона колонны - В25 (
=14,5
МПа;
;
=1,05
МПа)
Сопряжение ригеля с колонной - обетонированное,
зазор между ригелем и гранью колонны равен 5 см.
Обетонирование сопряжения производится до
приложения нагрузки на смонтированный ригель.
Назначим продольную и поперечную арматуру
консоли из стали класса
А-III
(
=365
МПа;
=290
МПа);
закладные детали из прокатной стали.
Определим вылет консоли из условия обеспечения
ее прочности на смятие в месте опирания ригеля:
С учетом зазора требуемая длина вылета консоли
принимаем
вылет консоли кратным 5 -
. По конструктивным
соображениям принимаем вылет консоли 25 см.
Находим требуемую рабочую высоту консоли в
сечении у грани колонны:
Полная расчетная высота консоли у грани колонны
(при а=3,5 см):
Получили минимальную рабочую высоту консоли,
равную
которая
может выдерживать воспринимаемую нагрузку. Далее, с учетом запаса, будем
принимать расчетную высоту консоли
,
а рабочую высоту консоли
Определим необходимое количество рабочей
арматуры по изгибающему моменту, увеличенному на 25 % в сечении у грани
консоли:
Принимаем 2 Ø 18,
А-III;
.
Поперечное армирование консолей выполняем в виде
отгибов и горизонтальных стержней, поскольку
Поперечная сила, воспринимаемая бетоном консоли:
Отгибы по расчету не требуются - устанавливаем
конструктивно.
Армирование горизонтальными хомутами выполняем
из арматуры Ø 10, А-III
с шагом 10 см, что не более h/4=36,5/4=9
см и 15 см.
4. Проектирование фундамента
4.1 Расчет фундамента на
продавливание
В данном курсовом проекте мы проектируем низкий
фундамент, т.е. у которого стакан заглублен в плитную часть или у которого
расстояние от дна стакана до плитной части меньше расстояния от грани колонны
до грани подколонника.
Расчет плитной части низкого фундамента на
продавливание колонной обязателен в каждом конкретном случае, т.к. этим
расчетом проверяется принятая высота фундамента.
Проверка фундамента по прочности на
продавливание колонной от дна стакана производится от действия только
продольной силы
из условия:
где
-
расчетная продольная сила в уровне торца колонны, определяемая по формуле:
где
-
коэффициент, учитывающий частичную передачу продольной силы
на
плитную часть фундамента через стенки стакана за счет сцепления бетона колонны
с фундаментом.
но
не
должно быть меньше 0,85;
где
-
расчетное сопротивление бетона замоноличивания стакана, принимается по СНиП
2.03.01-84 с учетом соответствующих коэффициентов условий (обычно применяется
бетон В12,5 с
);
-
площадь боковой поверхности колонны в пределах ее заделки в стакан, м²;
-
расчетная нагрузка в уровне обреза фундамента, кН;
где
-
рабочая высота пирамиды продавливания, равная расстоянию от дна стакана до
плоскости расположения растянутой арматуры;
Приступаем к расчету.
;
;
Итак,
.
Это говорит о том, что на плитную часть фундамента продольная сила
передает
только 32,6 % от всей своей нагрузки. Но, в условии сказано, что коэффициент
должен быть не менее 0,85. Значит принимаем далее
:
м;

Условие выполняется, следовательно, высота
фундамента подобрана правильно.
4.2 Подбор арматуры
Фундаменты считаем с помощью программы «SCAD».
Данные, необходимые для расчета:
класс бетона В25;
объемная масса грунта - 17 кН/м³;
- расчетный угол внутреннего трения - 35 град.;
нагрузка на фундамент - 608,81 кН (из которых
вес колонны 20 кН)
класс арматуры А-III.
Получаем: нижняя арматурная сетка С-1 выполнена
стержнями Ø10 мм с шагом 200×200
мм.
Верхнюю арматурную сетку между колоннами в
данном курсовом не проектируем.
Подколонник армируем двумя сетками С-2, принимая
продольную арматуру конструктивно Ø10 АIII
с шагом 100 мм.
Стенки стакана армируем сетками С-3, диаметр
принимаем Ø8 АI
с шагом 150 мм.
Библиографический список
1. Расчет неразрезного ригеля и
колонны многоэтажного здания: методические указания к курсовому проекту для
специальностей 270102, 270106, 270112 / КрасГАСА. Красноярск, 2005. 44с.
2. Проектирование фундаментов
неглубокого заложения: методические указания к курсовому проекту для студентов
специальностей 270102, 270105, 270114, 270115. Красноярск: СФУ, 2008. 62 с.
. Байков В. Н., Сигалов Э. Е.
Железобетонные конструкции: Общий курс: Учеб. для вузов. - 5-е изд., перераб. и
доп. - М.: Стройиздат. 1991. - 767 с.:ил.
. Ухов С. Б., Семенов В. В.,
Знаменский В. В., Тер-Мартиросян З. Г., Чернышев С. Н. Механика грунтов,
основания и фундаменты: Учеб. пособие для строит. спец. вузов - 4-е изд., стер.
- М.: Высш. шк., 2007. - 566с.:ил.
. ГОСТ 27215-87. Плиты
перекрытий железобетонные ребристые высотой 400 мм для производственных зданий
промышленных предприятий. Технические условия.
. ГОСТ 28984. Модульная
координация размеров в строительстве. Основные положения.
. СНиП 2.01.07-85. Нагрузки и
воздействия.
. СТО 4.2-07 2008. Система
менеджмента качества. Общие требования к построению, изложению и оформлению
документов учебной и научной деятельности.