|
81012141618202224262830323436
|
|
|
|
|
|
|
|
|
|
|
|
|
|
|
|
|
φtет
|
1,0
|
0,98
|
0,96
|
0,93
|
0,89
|
0,85
|
0,81
|
0,77
|
0,73
|
0,68
|
0,64
|
0,59
|
0,54
|
0,49
|
0,44
|
2. Расчет предела
огнестойкости железобетонных плит
Определяем нормативную нагрузку:

кН/м
Определяем максимальный
изгибающий момент от действия нормативной нагрузки:
кНм.
Определяем толщину
защитного слоя бетона до центра арматуры, мм:
мм
Определяем среднее
расстояние до оси арматуры:
мм,
где А
= (S=ПR2)
352 мм2 (приложение 6).
Определяем высоту
рабочей зоны бетона:
мм
Определяем рабочую
(полезную) высоту сечения:
h0
= h-а = 220 -24 = 196 мм.
Определяем расчетное
сопротивление сжатого бетона: для бетона класса В20 нормативная прочность
бетона R
=11,0
МПа (приложение 9);
МПа,
где γв
- коэффициент надежности по бетону.
По приложению 10 для
арматуры класса A-VI определяем нормативное сопротивление растяжению Rsn = 295 МПа.
Определяем расчетное
сопротивление:
МПа
где γs
- коэффициент надежности по арматуре.
Определяем площадь
сечения арматуры:
.
Находим xtem, предполагая, что xtem<
.
Определяем напряжение в
сечении растянутой арматуры:
.
Определяем коэффициент
снижения прочности стали:
Из приложения 5 при γS, tem
= 0,55 для арматуры класс A-II определяем ts,cr=623,5 °С.
Определяем значение
функции Гаусса:
Находим значение
Гауссового интеграла ошибок методом интерполяции (приложение 2) х=0,48.
Определяем
теплофизические характеристики бетона.
Средний коэффициент
теплопроводности при t
= 450 °С (приложение 11)
1,14-0,00055*t
=1,14-0,00055∙450=0,8925
Вт/(м ° С).
Средний коэффициент
теплоемкости при t = 450 °С (приложение 9)
= 710+0,84
=710+0,84∙450=1088 Дж/(кг° С).
Определяем приведенный
коэффициент температуропроводности:
где 50,4 - влияние
испарения воды в бетоне при нагреве; ωв
- влажность бетона; рос - плотность бетона.
Определяем предел
огнестойкости плиты со сплошным сечением:
где у - расстояние от
нормали обогреваемой поверхности до расчетной точки (
);
К=36,39 с1/2 (таблица 1.4, методом интерполяции); К
-
коэффициент, зависящий от плотности сухого бетона (таблица 1.5).
С учетом пустотности
плиты ее фактический предел огнестойкости находится путем умножения найденного
значения на коэффициент 0,9. Тогда Поф=130,2*0,9=117 мин.
3. Расчет предела
огнестойкости железобетонных балок
Дано. Однопролетная
свободно опертая балка пролетом 5,58 м. Сечение балки b х h = 520х450 мм;
расстояние от края конструкции до центра арматуры а = 40 мм; c1 = 60 мм; c2 = 150 мм; тяжелый бетон класса В30 на
известняковом щебне; рабочая арматура 4 стержня диаметром 14 A-V расчетная нагрузка qp =50 кН м, средняя плотность бетона 2250
кг/м3, влажность 2,5%.
Определяем нормативную
нагрузку:
Определяем
конструктивные параметры балки
,
где a = 30 мм => AS1=616
мм2 (приложение 8)
Определяем рабочую
(полезную) высоту сечения:
Для арматуры класса A-V с определяем нормативное сопротивление растяжению Rsn =
788 МПа (приложение 10).
Определяем расчетное
сопротивление растяжению арматуры:
где
s - коэффициент надежности по арматуре.
Для бетона класса В30
определяем нормативную прочность бетона R
=22,0
МПа.
Определяем расчетное
сопротивление сжатого бетона:
,
где
в-коэффициент
надежности по бетону.
Изгибающийся момент от
действия нормативной нагрузки равен:
.
Для выполнения дальнейших
расчетов задаемся интервалами времени:
Для времени
=
0 несущая способность балки равна:
Для времени τ2
=1,0 ч по приложению 12 находим размеры сжатой зоны за счет потери прочности
наружными слоями бетона (tcr
= 650 °С для бетона на известняковом щебне):

(приложение 7).
Тогда
где
875,56*616*1=539344,96
H
Примечание: для балок с
арматурой в один ряд
Высота сжатой зоны
бетона составит:
Несущая способность
балки составит:
26,51•106•504•10-3∙40•10-3•(410•10-3-
,5•40•10-3)==208,4
кН∙м.
Для времени τ3
=2,0 ч по приложению 10 находим размеры сжатой зоны за счет потери прочности
наружными слоями бетона (tcr=650
°С для бетона на гранитном щебне):
520 - 2∙16 = 488
мм.
По координатам
расположения стрежней арматуры определяем их температуру (приложение 3) t1 =t4 =700;
t2 =t3 =440.
Этим значениям температур соответствует коэффициент снижения прочности
арматурной стали (приложение 5)
Тогда
где
875,56*106*(308*10-6*0,06+308*
*10-6*0,8)=231918,33 H;.
Высота сжатой зоны
бетона составит:
Несущая способность
балки составит:
26,51•106•488•10-3∙17,9*10-3•(370•10-3-
,5•17,9*10-3)=
83608,4 Н∙м =83,608 кН∙м
Строим график снижения
несущей способности балки (график 1).
Определяем фактический
предел огнестойкости балки
4. Расчет предела
огнестойкости железобетонных колонн
Железобетонная колонна
расчетная длина 10 = 5,7 м, размером сечения 500x500 мм, бетон класса В15, средняя плотность бетона в сухом
состоянии на известняковом заполнителе составляет р
= 2250 кг/м3. Весовая влажность - ω=2%.
Арматура класса А - III 4 стержня
диаметром 18 мм. Толщина защитного слоя бетона до края арматуры a
=40
мм. Расчетная нагрузка Np=4200
кН.
Определяем нормативную
нагрузку:
,
железобетонный
огнестойкость балка строительный
где 1,2 - усредненный
коэффициент надежности по нагрузке.
По приложению 10 для
арматуры класса A-III определяем нормативное сопротивление растяжению Rsn =390 МПа.
Определяем расчетное
сопротивление:
,
где γS
- соответствующий коэффициент надежности по арматуре.
Определяем суммарную
площадь арматуры (приложение 8) AS,tot=1018 мм2.
Бетон класса В15, по
приложению 9 определяем нормативное сопротивление сжатию бетона: Rbn = 11 МПа.
Определяем расчетное
сопротивление бетона:
где γв
- коэффициент надежности по бетону.
Определяем
теплофизические характеристики бетона (приложение 11):
Вт/(м° С),
/Дж/(кг°
С).
Определяем приведенный
коэффициент температуропроводности бетона:
Для дальнейших расчётов
задаёмся интервалами времени τп,
равными
= 0;
τ2 = 1 ч; τ3
= 2 ч.
Для
=0;
несущая способность колонны будет равна:
где φtem = 0,83 - коэффициент продольного изгиба, учитывающий длительность
нагружения и гибкость бетона, принят методом интерполяции по таблице 3 в
зависимости от отношения
.
Для τ2
=1 ч определяем критерий Фурье: 14022
,
где К= 37 с0,5
- коэффициент, зависящий от средней плотности бетона (таблица 1.4).
,
где x = y = 0,5h-al -0,5d
= 0,5*0,5-0,04-0,5*0,018 = 0,201 м - расстояние от центра конструкции до
расчетной точки.
Из приложения 3 находим
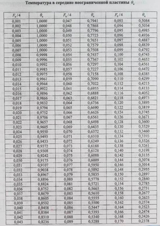
относительную избыточную температуру в неограниченной пластине θх=θу=
0,85.
Определяем температуру в
расчетной точке:
=1250 - (1250-tH)θx=1250 - (1250-20)•0,85=204,5° С.
Температура арматурных
стержней при обогреве колонны с четырех сторон будет равна:
где tB =2203° С - изменение температуры
при стандартном температурном режиме, определяется по формуле:
tB
=345lg (0,133τ + 1) + tH = 345lg (0,133
• 4200 +1) + 20 = 2203° С.
По приложению 5 методом
интерполяции находим значение коэффициента снижения прочности арматуры А-III γ
=1,0.
Для определения размеров
ядра бетонного сечения необходимо найти значение
.
Величина θЦ
- температура в средней неограниченной пластине находится из приложения 5:
=1250 -
(1250-20)*1,0=20° С
При критической
температуре бетона на известняковом заполнителе
=600
°С
Из приложения 1 при Fox = 0,0053 и
=
0,528 находим
=
0,09, тогда:
Несущая способность
колонны при τn=τ2=1,0
ч будет равна:
где φtem=0,975 - коэффициент продольного изгиба, учитывающий длительность
нагружения и гибкость бетона, принят методом интерполяции по таблице 3 в
зависимости от отношения
.
Для τ3
=2,0 ч определяем критерий Фурье:
где К=37 с0,5
- коэффициент, зависящий от средней плотности бетона (таблица 1.4).
,
где x = y = 0,5h-al -0,5d
= 0,5*0,5-0,04-0,5*0,018 = 0,201 м - расстояние от центра конструкции до
расчетной точки.
Из приложения 3 находим
относительную избыточную температуру в неограниченной пластине θх=θу=0,67.
Определяем температуру в
расчетной точке:
= 1250 - (1250-tH)θx = 1250 - (1250-20) • 0,67 = 425,9° С.
Температура арматурных
стержней при обогреве колонны с четырех сторон будет равна:
где tB =2442° С - изменение температуры
при стандартном температурном режиме, определяется по формуле:
tB
=345lg (0,133τ+1)+tH=345lg
(0,133•8400+1)+20=2442° С.
По приложению 5 методом
интерполяции находим значение коэффициента снижения прочности арматуры А - III γ
=0,09.
Для определения размеров
ядра бетонного сечения необходимо найти значение
:
.
Величина θЦ
- температура в средней неограниченной пластине находится из приложения 2:
=1250 - (1250-20)*1=20°
С.
При критической
температуре бетона на известняковом заполнителе
=600
°С
Из приложения 1 при Fox = 0,0106 и
=
0,528 находим
=
0,18, тогда
Несущая способность
колонны при τn=τ3
= 2,0 ч будет равна:
где φtem= 0,936 - коэффициент продольного изгиба, учитывающий длительность
нагружения и гибкость бетона, принят методом интерполяции по таблице 3
зависимости от отношении
.
По результатам строим
график снижения несущей способности колонны в условиях пожара (график 2).
Определяем фактический
предел огнестойкости:
5. Определение степени
огнестойкости здания по рассчитанным пределам огнестойкости строительных
конструкций
Таблица 5.1
|
Степень огнестойкости здания
|
Предел огнестойкости строительных конструкций, не менее
|
|
Несущие элементы здания
|
Наружные ненесущие стены
|
Перекрытия междуэтажные (в т. ч. чердачные и над подвалами)
|
Элементы бесчердачных покрытий
|
Лестничные клетки
|
|
|
|
|
Настилы (в том числе с утеплителем
|
Фермы, балки, прогоны
|
Внутренние стены
|
Марши и площадки лестниц
|
|
I
|
R 120
|
Е 30
|
REI 60
|
RЕ 30
|
R 30
|
RЕI 120
|
R 60
|
|
II
|
R 90
|
Е 15
|
RЕI 45
|
RЕ 15
|
R 15
|
RЕI 90
|
R 60
|
|
III
|
R 45
|
Е 15
|
RЕI 45
|
RЕ 15
|
R15
|
RЕI 60
|
R 45
|
|
IV
|
R 15
|
Е 15
|
RE 15
|
R15
|
REI 45
|
R
15
|
|
V
|
не нормируется
|
Согласно нормативной документации
СНиП 21-01-97* огнестойкость железобетонной плиты равна I степени огнестойкости (71 мин.),
предел огнестойкости железобетонной балки относится к I степени огнестойкости (более 2 ч.)
и предел огнестойкости железобетонной колонны более 2 ч.
Из выше изложенного, здание
построенное из настоящих элементов, относится к I степени огнестойкости.
Заключение
По заключению данных работ
преследуются следующие цели.
. Пожарно-техническая классификация
зданий, сооружений, строений и пожарных отсеков применяется для установления
требований пожарной безопасности к системам обеспечения пожарной безопасности
зданий, сооружений и строений в зависимости от их функционального назначения и
пожарной опасности.
. Степень огнестойкости зданий,
сооружений, строений и пожарных отсеков, классы их функциональной и
конструктивной пожарной опасности указываются в проектной документации на
объекты капитального строительства и реконструкции.
Список литературы
1. Федеральный Закон №123-ФЗ «Технический регламент о
требованиях пожарной безопасности»
. СНиП 21-01-97 «Пожарная безопасность зданий и сооружений»
. Расчет пределов огнестойкости железобетонных конструкций:
Методическое пособие / В.В. Смирнов [и др.]; под общ. ред. О.А. Мокроусовой. -
Екатеринбург: УрИ ГПС МЧС России, 2011. - 58 с
. СНиП 52-01-2003 «Бетонные и железобетонные конструкции. Основные
положения».
Приложение 1
Приложение 2
Приложение 3
Приложение 4