Описание процесса доставки груза в международном сообщении

  • Вид работы:
    Курсовая работа (т)
  • Предмет:
    Транспорт, грузоперевозки
  • Язык:
    Русский
    ,
    Формат файла:
    MS Word
    702,65 Кб
  • Опубликовано:
    2013-03-12
Вы можете узнать стоимость помощи в написании студенческой работы.
Помощь в написании работы, которую точно примут!

Описание процесса доставки груза в международном сообщении

МИНИСТЕРСТВО НАУКИ И ОБРАЗОВАНИЯ РФ

САНКТ-ПЕТЕРБУРГСКИЙ ГОСУДАРСТВЕННЫЙ АРХИТЕКТУРНО-СТРОИТЕЛЬНЫЙ УНИВЕРСИТЕТ

Факультет автомобильно-дорожный

Кафедра организации перевозок, управления и

безопасности на автомобильном транспорте

 

Курсовая работа

Описание процесса доставки груза в международном сообщении

КР 49.05.00.000

Работу выполнил

студент группы 1-ОП-V

Лебедев А.Д.

Преподаватель к.т.н.,

доц. Попова О.В.

 



Введение

Курсовая работа нацелена на описание процесса доставки груза в международном сообщении с использованием двух и более видов транспорта. В частности, курсовая работа включает:         описание поставки товара по базисному условию; распределение обязанностей между участниками перевозочного процесса в соответствии с заключаемыми ими договорами; выбор рациональной транспортно-технологической схемы доставки груза, с расчетом показателей времени и стоимости, описание транспортно-экспедиционных операций на всем пути следования от грузоотправителя до грузополучателя для выбранной транспортно-технологической схемы.

1. Исходные данные

 

Вариант

Код условия

Условие

9

DAF

Доставлено до границы (название места назначения)


Вид груза и его характеристики

Вариант

Вид груза

Масса единицы груза, т

Габаритные размеры, м

Объем всей партии по договору*, ед.

2

Канцелярская продукция в ящиках

0,1

1,6*0,8*0,9

150

* - Объем всей партии груза должен быть доставлен получателю в соответствии с договором разовой поставки

Страна отправления или назначения

Вариант

Страна*

17 - 1

Польша - Российская Федерация

* - место (город) расположения склада грузоотправителя или грузополучателя

Дополнительные исходные данные:

1) Погрузка (выгрузка) груза у грузоотправителя или грузополучателя: в контейнер - 8,3 $/ч (включая постановку (снятие) контейнера на ТС); в автомобиль (железнодорожный вагон) - 9,2 $/ч.

) Перевозка: в контейнере - 11 $/км, конвенциональным способом - 20$/км (на автомобильном транспорте); в контейнере - 7 $/км, конвенциональным способом - 15 $/км (на железнодорожном и морском транспорте).

) Терминальные операции: погрузка (выгрузка) груза - 35$/контейнер (если груз контейнерный), 9,5 $/т - если груз конвенциональный.

) Таможенное оформление: контейнерный груз - 200 $/контейнер, конвенциональный груз - 30 $/т.

Базисные условия поставки

Условия договора купли-продажи, которые определяют обязанности продавца и покупателя по доставке товара и устанавливают момент перехода права собственности, риска случайной гибели или повреждения товара от продавца к покупателю, называются базисными.

Таким образом, базисные условия определяют, кто (продавец или покупатель) организует перевозочные и экспедиционные работы, связанные с доставкой груза, и кто из них несет связанные с этим процессом расходы.

Для того чтобы систематизировать возможные виды поставки товара и унифицировать обязанности сторон в каждом варианте, Международная торговая палата в 1936 г. впервые опубликовала международные правила толкования базисных условий под названием «Инкотермс», которые в дальнейшем дополнялись и совершенствовались.

«Инкотермс» - свод международных правил толкования наиболее часто используемых условий поставки во внешней торговле, которые группируются по предметному признаку и условно обозначаются определенными терминами. Использование «Инкотермс» позволяет устранить различия в интерпретации этих терминов в практике контрактной работы в различных странах.

Главная цель «Инкотермс» - четкое определение условий договора в отношении обязательств продавца по доставке товаров покупателю и унификация обязанностей сторон договора.

DAF - Delivered At Frontier

Поставка до границы Российской Федерации.

Термин "Поставка до границы" означает, что продавец выполнил поставку, когда он предоставил неразгруженный товар, прошедший таможенную очистку для экспорта, но еще не для импорта на прибывшем транспортном средстве в распоряжение покупателя в названном пункте или месте на границе до поступления товара на таможенную границу сопредельной страны. Под термином "граница" понимается любая граница, включая границу страны экспорта. Поэтому, весьма важно точное определение границы путем указания на конкретный пункт или место.

Однако, если стороны желают, чтобы продавец взял на себя обязанности по разгрузке товара с прибывшего транспортного средства и нес все риски и расходы за такую разгрузку, то это должна быть четко оговорено в соответствующем дополнении к договору купли-продажи.

Данный термин может применяться при перевозке товара любым видом транспорта, когда товар поставляется до сухопутной границы. Если поставка будет иметь место в порту назначения, на борту судна, либо на пристани, то следует применять термины DES или DEQ.

Основные обязанности продавца. К ним относятся следующие:

• доставить товар в указанный пункт в распоряжение перевозчика, определенного покупателем;

• предоставить экспортную лицензию и оплатить экспортные налоги и пошлины, если таковые требуются;

• представить документ, подтверждающий передачу товара перевозчику.

Основные обязанности покупателя. К ним относятся следующие:

• определить перевозчика;

• заключить договор на перевозку товара и оплатить фрахт (когда требуется помощь продавца в заключении договора перевозки, продавец может действовать на риск и за счёт покупателя).

2. Разработка технологии доставки груза

Варианты транспортировки груза зачастую играют решающую роль при принятии решения грузовладельцем о целесообразности конкретной внешнеторговой сделки. Это объясняется тем, что доля транспортной составляющей в цене товара в среднем составляет 10-12%, а по некоторым товарам достигает 50% и выше. Поэтому выбор рациональной транспортно-технологической схемы (ТТС) доставки груза является важным резервом снижения общей стоимости товара. Для разработки и реализации ТТС целесообразно привлекать специалиста (экспедитора), который знает состояние транспортного рынка, специфику перевозок и т.д.

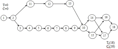
Рис.1. Доставка груза.

Выбор ТТС доставки включает в себя следующие этапы:

. Выбор видов транспорта, которыми будет осуществляться доставка груза (доски в пакетах), и последовательность их использования в сочетании с различными технологиями доставки (в контейнерах, на поддонах, конвенциональным способом и т.д.).

Выбираем два варианта доставки груза из Польши (г.Варшава) в Россию (г. Санкт-Петербург):

I вариант: а/м - м - а/м.

Груз погружается на а/м на складе ГО (г. Варшава) и следует до порта г. Гдыня (Польша). В порту перегружается на паром и следует по морю до г. Санкт-Петербурга (РФ). В Санкт-Петербурге груз перегружается на а/м и следует на СВХ. Там перегружается в тентовый а/м и следует до ГП в СПб(РФ). доставка груз путь транспортный

II вариант: а/м - ж/д - а/м

Груз погружается на а/м на складе ГО (г.Варшава) и следует до ж/д г. Варшава (Польша). На ж/д станции перегружается на состав и следует по железной дороге до СВХ города СПб (РФ). Там перегружается в тентовый а/м и следует до ГП в СПб(РФ).

III вариант: а/м - ж/д - а/м

Груз погружается на а/м на складе ГО (г.Варшава) и следует до ж/д г. Варшава (Польша). На ж/д станции перегружается на состав и следует по железной дороге до СВХ города СПб (РФ). Там перегружается в контейнер и устанавливается на а/м, после чего следует до ГП в СПб(РФ).

Все три способа изображены на рис.1 доставки груза.

Груз - канцелярская продукция в ящиках - будет доставляться по ж/д и морю конвенциональным способом, а на а/м конвенциональным способом или в контейнерах. Для перевозки канцелярской продукции в ящиках конвенциональным способом я выбрал седельный тягач МАЗ-544008-060-030 и тентовый полуприцеп Mega.

Технические характеристики

Колесная формула

4х2

Допустимая полная масса автомобиля, кг

18750

Допустимая полная масса автопоезда

44000

Допустимая нагрузка на переднюю ось, кг

7250

Допустимая нагрузка на заднюю ось, кг

11500

Допустимая нагрузка на седло

10550

Масса снаряженного автомобиля, кг

8050

Максимальная скорость, км/ч

100

Высота ССУ

1250

Габаритная длина

 

Двигатель

ЯМЗ-7511.10(E-2)

Мощность двигателя. кВт (л.с.)

294(400)

Коробка передач

ZF 16S1650

Число передач КП

16

Передаточное число ведущих мостов

3.86

Подвеска

Передняя: параболическая малолистовая рессорная; Задняя: параболическая малолистовая рессорная

Размер шин

315/80R22.5

Топливный бак, л

500

Тип кабины

Длинная с высокой крышей, двумя спальными местами


Тентовый полуприцеп

Технические данные

Габаритная длина

14600 мм

Габаритная ширина

2550 мм

Габаритная высота

4000 мм

Высота седельно-сцепного устройства

950мм

Внутренняя высота

2910мм

Внутренняя длина

14520 мм

Внутренняя ширина

2470мм

Внутренний объем

97,9м3


Грузоподъёмность 27900 кг (27,9 т)


Для перевозки канцелярской продукции в ящиках в контейнерах я выбрал 40-футовый контейнер с размерами 12032х2352х2385 мм, грузоподъемностью 26,6 т.


Полуприцеп-контейнеровоз СЗАП 9908:

ТЕХНИЧЕСКИЕ ДАННЫЕ

Габаритная длина12410 мм


Габаритная ширина

2500 мм

Габаритная высота

1400 мм

Высота седельно-сцепного устройства

950мм


Грузоподъёмность 30480 кг (30,48 т)

Технология доставки груза.

-2: Оформление документов и погрузка конвенционального груза на автомобильный транспорт в пункте отправления (Варшава) - 9,5 $/т * 15 т = 142,5$ погрузка груза осуществляется в течении часа, тогда общая стоимость будет: 142,5 $ + 9,2 $/ч = 151,7 $;

Оформление документов и погрузка груза занимают 1 день.

2-3: Доставка автомобильным транспортом до порта в городе Гдыня, расстояние до порта составляет 310 км, доставка будет равна - 20$/км * 310км * 2 а/м = 12400 $;

Доставка до порта со средней скоростью автомобиля 60 км/ч, составит 6 часов (0,25 дня).

3-4: Оформление документов и погрузка груза на судно в пункте отправления (порт Гдыня) - 9,5 $/т * 15 т = 142,5 $;

Предположим, что оформление документов и погрузка в порту с учетом простоя в очереди занимает 2 дня.

4-5: Экспортная таможенная очистка конвенционального груза в порту (Гдыня) - 35 $/т * 15 т = 525 $;

Предположим, что экспортная таможенная очистка с учетом простоя в очереди составляет 1,5 дня.

5-6: Доставка морским транспортом до порта в Санкт-Петербурге: расстояние от пункта отправления из порта Гдыня до порта в Санкт-Петербурге 1100 км, следовательно доставка будет равна: для конвенциальной перевозки: 15 $/км * 1100 км = 16500 $.

Предположим, что доставка груза из порта Лиссабона до порта в Санкт-Петербурга со средней скоростью судна 60 км/ч составит 1 день.

6-7: Разгрузка груза в порту Санкт-Петербурга - 9,5 $/т * 15 т = 142,5 $;

Разгрузка судна займет 1 день.

7-8: Оформление документов и погрузка груза на автомобиль в порту Санкт-Петербурга - 9,5 $/т * 15 т = 142,5 $;

Оформление документов и погрузка груза займут 1 день.

8-9: Доставка автомобильным транспортом до СВХ в городе СПб - 20$/км * 58км * 2а/м = 2320 $;

Предположим, что доставка груза до СВХ в СПб со средней скоростью автомобиля 60 км/ч составит 1 час (0,04 дня).

9-10: Разгрузка груза на СВХ в пункте назначения (СВХ, СПб) - 9,5 $/т * 15 т = 142,5 $;

-Разгрузка автомобиля займет 1 день.

10-14: Импортная таможенная очистка груза в пункте назначения собственными силами (РФ) - 30 $/т * 15 т = 450 $;

Предположим, что импортная таможенная очистка с учетом простоя в очереди займет 2 дня.

10-15: Импортная таможенная очистка груза в пункте назначения с привлечением таможенного брокера (РФ) - 30 $/т * 15 т * 2дня + 135 = 1035$ (135 $ - за работу брокера, 15% от стоимости таможенной очистки);

Предположим, что импортная таможенная очистка с учетом простоя в очереди займет 1,5 дня.

14-16, 15-16: Оформление документов и погрузка конвенционального груза на автомобиль в пункте назначения (РФ) - 9,5 $/т * 15 т = 142,5 $;

Оформление документов и погрузка груза займут 1 день.

14-17, 15-17: Оформление документов и погрузка контейнеров на автомобиль в пункте назначения (РФ) - 35 $/шт * 5шт = 175 $;

Оформление документов и погрузка груза займут 1 день.

16-18: Доставка автомобильным транспортом до места назначения и выгрузка на склад ГП (РФ) - 20 $/км * 41 км * 2 а/м + 9,2 * 24ч = 1860,8$;

Предположим, что доставка груза и его выгрузка займет 1 день.

17-18: Доставка автомобильным транспортом до места назначения и выгрузка на склад ГП (РФ) - 20 $/км * 41 км * 5 а/м + 8,3 * 24ч = 4299,2$;

Предположим, что доставка груза и его выгрузка займет 1 день.

2-11: Доставка автомобильным транспортом до Ж/Д терминала (Варшава) - 20 $/км * 32 км * 2 а/м = 1280$;

Доставка до железной дороги займет 1,5 часа (0,06 дня).

11-12: Оформление документов и погрузка груза на Ж/Д транспорт (Варшава) - 9,5 $/т * 15 т = 142,5 $;

Оформление документов и погрузка груза займут 1 день.

12-13: Доставка Ж/Д транспортом до СВХ в пункте назначения (СПб) - 15 $/км * 1170 км = 17550$;

Доставка Ж/Д транспортом до СВХ в пункте назначения (СПб) со средней скоростью поезда 90 км/ч займет 15 час (0,63 дня).

13-10: Разгрузка груза на СВХ в пункте назначения (СПб) - 9,5 $/т * 15 т = 142,5 $; - Разгрузка автомобиля займет 1 день.

Структурная таблица комплекса работ входящих в процесс доставки груза

№ работы

Характеристика работы

Стоимость, $

Время, дн.

1

2

Оформление документов и погрузка конвенционального груза на автомобильный транспорт в пункте отправления (Варшава)

151,7

1

2

3

Доставка автомобильным транспортом до порта в городе Гдыня

12400

0,25

3

4

Оформление документов и погрузка груза на судно в пункте отправления (порт Гдыня)

142,5

2

4

5

Экспортная таможенная очистка конвенционального груза в порту (Гдыня)

525

1,5

5

6

Доставка морским транспортом до порта в Санкт-Петербурге

16500

1

6

7

Разгрузка груза в порту Санкт-Петербурга

142,5

1

7

8

Оформление документов и погрузка груза на автомобиль в порту Санкт-Петербурга

142,5

1

8

9

Доставка автомобильным транспортом до СВХ в городе Санкт-Петербурге

2320

0,04

9

10

Разгрузка груза на СВХ в пункте назначения (СВХ, СПб)

142,5

1

10

14

Импортная таможенная очистка груза в пункте назначения собственными силами (РФ)

450

2

10

15

Импортная таможенная очистка груза в пункте назначения с привлечением таможенного брокера (РФ)

1035

1,5

14 15

16 16

Оформление документов и погрузка конвенционального груза на автомобиль в пункте назначения (РФ)

142,5

1

14 15

17 17

Оформление документов и погрузка контейнеров на автомобиль в пункте назначения (РФ)

175

1

16

18

Доставка автомобильным транспортом до места назначения и выгрузка на склад ГП (РФ)

1860,8

1

17

18

Доставка автомобильным транспортом до места назначения и выгрузка на склад ГП (РФ)

4299,2

1

2

11

Доставка автомобильным транспортом до Ж/Д терминала (Варшава)

1280

0,06

11 12  13

12 13  10

Оформление документов и погрузка груза на Ж/Д транспорт (Варшава) Доставка Ж/Д транспортом до СВХ в пункте назначения (Санкт-Петербург) Разгрузка груза на СВХ в пункте назначения (СПб)

142,5 17550 142,5

1 0,63 1


Расчеты параметров для различных ТТС

)        С1 = 151,7 + 1280 + 142,5 + 17550 + 142,5 + 450 + 142,5 + 1860,8

= 21720 $;

Т1 = 1 + 0,06 + 1 + 0,63 + 1 + 2 + 1 +1 = 7,69 дн.;

)        С2 = 151,7 + 1280 + 142,5 + 17550 + 142,5 + 450 + 175 + 4299,2

= 24190,9 $;

Т2 = 1 + 0,06 + 1 + 0,63 + 1 + 2 + 1+ 1 = 7,69 дн.;

)        С3 = 151,7 + 1280 + 142,5 + 17550 + 142,5 + 1035 + 142,5 + 1860,8

= 22305 $;

Т3 = 1 + 0,06 + 1 + 0,63 + 1 + 1,5 + 1 + 1 = 7,19 дн.;

)        С4 = 151,7 + 1280 + 142,5 + 17550 + 142,5 + 1035 + 175 + 4299,2

= 24775,9 $;

Т4 = 1 + 0,06 + 1 + 0,63 + 1 + 1,5 + 1 + 1 = 7,19 дн.;

)        С5 = 151,7 + 12400 + 142,5 + 525 + 16500 + 142,5 + 142,5 + 2320 + 142,5 + 450 + 142,5 + 1860,8 = 34920 $;

Т5 = 1 + 0,25 + 2 + 1,5 + 1 + 1 + 1 + 0,04 + 1 + 2 + 1 + 1 = 12,79 дн.;

)        С6 = 151,7 + 12400 + 142,5 + 525 + 16500 + 142,5 + 142,5 + 2320 + 142,5 + 450 + 175 + 4299,2 = 37390,9 $;

Т6 = 1 + 0,25 + 2 + 1,5 + 1 + 1 + 1 + 0,04 + 1 + 2 + 1 + 1 = 12,79 дн.;

)        С7 = 151,7 + 12400 + 142,5 + 525 + 16500 + 142,5 + 142,5 + 2320 + 142,5 + 1035 + 142,5 + 1860,8 = 35505 $;

Т7 = 1 + 0,25 + 2 + 1,5 + 1 + 1 + 1 + 0,04 + 1 + 1,5 + 1 + 1 = 12,29 дн.;

)        С8 = 151,7 + 12400 + 142,5 + 525 + 16500 + 142,5 + 142,5 + 2320 + 142,5 + 1035 + 175 + 4299,2 = 37975,9 $;

Т8 = 1 + 0,25 + 2 + 1,5 + 1 + 1 + 1 + 0,04 + 1 + 1,5 + 1 + 1 = 12,29 дн.;

Результат расчета параметров для различных ТТС

№ ТТС

Схема доставки

Время Т, дн.

Стоимость С, $

1

1,2,11,12,13,10,14,16,18

7,69

21720

2

1,2,11,12,13,10,14,17,18

7,69

24190,9

3

1,2,11,12,13,10,15,16,18

7,19

22305

4

1,2,11,12,13,10,15,17,18

7,19

24775,9

5

1,2,3,4,5,6,7,8,9,10,14,16,18

12,79

34920

6

1,2,3,4,5,6,7,8,9,10,14,17,18

12,79

37390,9

7

1,2,3,4,5,6,7,8,9,10,15,16,18

12,29

35505

8

1,2,3,4,5,6,7,8,9,10,15,17,18

12,29

37975,9


Выбор варианта доставки груза производится по критериям времени и стоимости доставки.

Вывод:

По критерию времени, выбираем для перевозки груза перевозку из Варшавы в Санкт - Петербург, по железной дороге с импортной таможенной очисткой груза в пункте назначения с привлечением таможенного брокера.

По критерию стоимости, выбираем конвенциональную перевозку груза из Варшавы в Санкт - Петербург, по железной дороге с импортной таможенной очисткой груза в пункте назначения собственными силами.

Относительные значения параметров для различных ТТС

№ ТТС

Схема доставки

Время Т, дн.

Стоимость С, $

1

1,07

1

2

1,2,11,12,13,10,14,17,18

1,07

1,11

3

1,2,11,12,13,10,15,16,18

1

1,03

4

1,2,11,12,13,10,15,17,18

1

1,14

5

1,2,3,4,5,6,7,8,9,10,14,16,18

1,78

1,61

6

1,2,3,4,5,6,7,8,9,10,14,17,18

1,78

1,72

7

1,2,3,4,5,6,7,8,9,10,15,16,18

1,71

1,64

8

1,2,3,4,5,6,7,8,9,10,15,17,18

1,71

1,75


Выбор варианта доставки груза производится по критериям принятия решения в условиях неопределенности. Для принятия решения используем критерий Лапласа, который опирается на принцип, что все рассматриваемые критерии полагаются равновесными.

Применение критерия требует однородности данных, то есть значения параметров «время» и «стоимость» должны быть одной размерности. Поэтому перед определением наилучшего варианта необходимо перейти от абсолютных величин к относительным показателям, приняв минимальное или максимальное значение в каждом столбце, например, к единице, а остальные выразив в долях от единицы.

Для принятия решения рассчитываем среднее арифметическое значение для каждого варианта доставки:

n

Mj(R) = (1/n)∑ Vji

i=1

где R - возможные варианты доставки Vji - результат при выборе j-го действия и реализации i-го состояния, n - количество используемых критериев, i - критерии доставки, j - варианты доставки.

А затем среди всех Mj(R) выбирают минимальное значение которое и будет соответствовать оптимальной стратегии:

W = min {Mj(R)},

где W - значение параметра, соответствующее оптимальной стратегии (варианту доставки груза).

№ ТТС

Схема доставки

Критерий Лапласа

1

1,2,11,12,13,10,14,16,18

1,03

2

1,2,11,12,13,10,14,17,18

1,09

3

1,2,11,12,13,10,15,16,18

1,01

4

1,2,11,12,13,10,15,17,18

1,07

5

1,2,3,4,5,6,7,8,9,10,14,16,18

1,69

6

1,2,3,4,5,6,7,8,9,10,14,17,18

1,75

7

1,2,3,4,5,6,7,8,9,10,15,16,18

1,67

8

1,2,3,4,5,6,7,8,9,10,15,17,18

1,73

Вывод:

По критерию Лапласа для данной перевозки выбираем конвенциональную перевозку груза из Варшавы в Санкт - Петербург железнодорожным транспортом с импортной таможенной очисткой груза в пункте назначения с привлечением таможенного брокера.

 

Схема движения груза для ТТС

- оформление сопроводительных документов; 2 - погрузка на АТС; 3 - перевозка на АТС; 4 - выгрузка на СВХ; 5 - складские операции; 6 - таможенная очистка по экспорту; 7 - погрузка на железную дорогу; 8 - перевозка по железной дороге; 9 - выгрузка на СВХ, оформление документов; 10 - таможенная очистка по импорту; 11 - погрузка на АТС; 12- - перевозка на АТС; 13 - выгрузка груза из АТС и сдача получателю.

Окончательная стоимость транспортной составляющей с учетом вознаграждения экспедитора (10 % от стоимости доставки груза) будет равна:

для конвенциональной перевозки груза: 22305 + 22305 * 0,1 = 24535,5 $.

3. Распределение обязанностей

Правовые взаимоотношения между участниками процесса доставки груза


. - Договор купли-продажи на условиях DAF Польша (Варшава), по которому продавец обязуется передать товар в собственность покупателя после прохождения экспортных формальностей и доставки до границы государства пункта доставки, но до прохождения таможенной очистки по импорту этой страны и обеспечить покупателя документами, которые давали бы ему возможность принять товар, а последний, в свою очередь, взять на себя доставку товара с названной границы согласно договору и иметь все импортные лицензии, и оплатить пошлины.

, 3. - Договор транспортной экспедиции, который носит характер поручения (комиссии), заключенный между экспедитором и грузоотправителем или грузополучателем соответственно.

, 5. - Договор автомобильной перевозки по территории Польши и РФ соответственно.

, 7. - Договор на осуществление транспортно-экспедиционных операций с грузом на территории железнодорожного терминала (внутреннее экспедирование) в Польше и РФ соответственно.

, 9. - Договор между железнодорожным экспедитором и железной дорогой, по которому экспедитору предоставлено право осуществлять внутреннее экспедирование на территории железнодорожного терминала в Польше и РФ соответственно.

, 11. - Договор таможенных услуг.

, 13. - Договор перевозки.

, 15. - Договор с таможенным брокером на выполнение «таможенной очистки груза» по экспорту или импорту соответственно.

Основные обязанности продавца. К ним относятся следующие:

• доставить товар в указанный пункт в распоряжение перевозчика, определенного покупателем;

• предоставить экспортную лицензию и оплатить экспортные налоги и пошлины, если таковые требуются;

• представить документ, подтверждающий передачу товара перевозчику.

Основные обязанности покупателя. К ним относятся следующие:

• определить перевозчика;

• заключить договор на перевозку товара и оплатить фрахт (когда требуется помощь продавца в заключении договора перевозки, продавец может действовать на риск и за счёт покупателя).

Экспедитор в Польше:

·        заключает договор перевозки с ж/д перевозчиком;

·        заключает договор перевозки с а/м перевозчиком;

·        заключает договор таможенных услуг ;

·        получает экспортную лицензию;

·        производит таможенное оформление груза на экспорт;

·        получает разрешение на ввоз груза на ж/д станцию;

·        присутствует при погрузо-разгрузочных операциях;

·        получает от грузоотправителя документы на груз;

·        готовит документы для отправки груза по железной дороге.

·        контролирует процесс перевозки груза;

·        предоставляет всю необходимую информацию грузоотправителю по его требованию о ходе перевозки.

Экспедитор в РФ:

·        присутствует при погрузо-разгрузочных операциях;

·        получает груз со склада временного хранения;

·        получает разрешение ж/д станции на вывоз груза.

·        заключает договор с а/м перевозчиком;

Таможня:

·        производит оформление таможенных документов;

·        назначает необходимые сборы;

·        проверяет наличие экспортной лицензии и выдает экспортную грузовую таможенную декларацию;

Железнодорожный перевозчик:

·        по договору железнодорожной перевозки обязан доставить груз на станцию назначения.

Автомобильный перевозчик в Польше:

·        предоставляет транспортное средство на склад грузоотправителя;

·        по договору перевозки доставляет груз со склада грузоотправителя на станцию отправления.

Перевозчик в РФ:

·        по договору перевозки доставляет груз со станции назначения на склад грузополучателя;

4. Транспортно-экспедиционные операции на всём пути следования от грузоотправителя до грузополучателя

Схема транспортно-экспедиционных операций для ТТС на условиях поставки DAF Польша (Варшава)


ТЭО при отправлении груза железнодорожным транспортом:

1-      договор на ТЭО;

2-      заявка на перевозку груза (3 экземпляра заявки);

3-      заявка на перевозку с отметкой об её принятии, либо об её отказе;

4-      уточнение количества предъявляемого к перевозке груза с целью определения количества вагонов, которые надо подать;

5-      занесение данных согласно пункту 4 в учётную карточку выполнения заявки, которая подписывается начальником ж/д станции и ГО;

6-      разрешение на завоз груза на станцию;

7-      заполнение ГО (экспедитором) ж/д накладной;

8-      завоз груза на склад ж/д станции отправления;

9-      ж/д накладная на груз + комплект таможенных документов, предусмотренных правилами перевозок;

10-    проверка оператором склада соответствия груза, данным ж/д накладной + визуальная проверка целостности упаковки и маркировки;

11-    занесение данных о грузе в книгу приёма груза к отправлению, составление предварительного вагонного листа;

12-    нанесение на груз ж/д маркировки;

13-    передача вагонных листов в товарный отдел;

14-    ж/д накладная и документы на груз;

15-    расчёт сборов, которые надлежит уплатить ГО или экспедитору ГО + стоимость ж/д перевозки;

16-    составление дорожной ведомости;

17-    выдача грузовых квитанций экспедитору;

18-    проставление штампа в ж/д накладной о времени приёма груза к перевозке;

19-    подбор документов на грузы к вагонным листам и передача их техническому отделу;

20-    ознакомление грузчиков с порядком погрузки;

21-    подача и постановка вагонов для предстоящей погрузки;

22-    погрузка груза в вагон;

23-    нанесение на вагон пломбы, нанесение разметки, формирование поезда;

24-    передача машинисту натурного листа и документов на вагоны.

ТЭО прибытия груза на железнодорожном транспорте:

25 -договор на ТЭО;

- доверенность на получение груза;

-уведомление ГП о прибытии в его адрес груза (за 12 часов до прибытия);

-приём и осмотр вагонов прибывших и документов по натурному листу;

-расформирование составов и подача вагонов по фронтам под выгрузку;

-проверка оператором терминала перевозочных документов, проставленных в дорожных ведомостях вагонных листах, даты и времени прибытия поезда на станцию;

-дорожные ведомости и накладные и регистрация их в книге прибытия грузов;

-вагонные листы по которым будет производится выгрузка;

-выгрузка и передача груза на склад;

-отметка приёмо-сдаточных в вагонном листе, время выгрузки и месте расположения на складе;

- вагонные листы;

- проставление штампов в ж/д накладных и дорожных ведомостях, штамп о времени выгрузки груза;

- расчёт за перевозку, оплата платежей и сборов;

- экспедитор расписывается в дорожной ведомости ;

- ж/д накладная с отметкой о времени выдачи груза;

- отправка груза в адрес получателя;

- извещение ГП о номерах АТС и ожидаемой дате и времени их прибытия + ж/д накладная.

5. Анализ случая повреждения груза (авария)



При перевозке груза из Варшавы до ж/д терминала (Варшава) -в случае плохих дорожных условий (гололёд) произошло ДТП, автомобиль МАЗ-544008-060-030 перевернулся и загорелся (груз сгорел полностью).

Т.к. авария произошла на территории Польши (Варшава), то ответственность за груз по условию DAF по договору транспортной экспедиции несет экспедитор грузоотправителя. ГП на основании договора КП предъявляет претензию ГО, ГО на основании договора ТЭО - экспедитору, экспедитор на основании коммерческого акта - перевозчику (на сумму гибели груза). За утрату груза в пути экспедитор возмещает клиенту ущерб в размере, не превышающем 2 расчетные единицы за 1 кг общей массы. Факт утраты, фиксируется получателем при приемке и оформляется специальным уведомлением.

Факт утраты фиксируется получателем при приемке и оформляется специальным уведомлением.

В течение 6 месяцев со дня, следующего за днем, когда груз должен быть выдан получателю, грузоотправитель предъявляет экспедиторской компании претензии. К претензии прилагаются документы, обосновывающие правомерность ее предъявления, количество и стоимость утраченного груза.

Экспедитор должен рассмотреть претензию в течение 30 календарных дней и дать письменный ответ о ее удовлетворении либо об отказе.

Срок давности по искам, связанным с ТЭО, составляет 1 год. Срок исковой давности начинается в день, следующий за днем выдачи груза экспедитором, а в случае, если груз не был выдан, в день, следующий за последним днем, когда груз должен был быть выдан экспедитором.

Заключение

В данной курсовой работе был описан процесс доставки груза в международном сообщении по условию базисной доставки DAF с использованием двух видов транспорта. По проведенным расчетам, была выбрана транспортно-технологическая схема доставки груза железнодорожным и автомобильным транспортом. Из расчетов видно, что по критерию Лапласа и для контейнерной перевозки, и для конвенциональной перевозки нужно брать перевозку груза из Польши (Варшава) в Санкт-Петербург, РФ железнодорожным транспортом с импортной таможенной очисткой груза в пункте назначения с привлечением таможенного брокера. Так же в работе указаны правовые взаимоотношения между участниками процесса доставки груза и схема транспортно-экспедиционных операций для ТТС на условиях поставки DAF.

 

Список литературы

1.   Сханова С.Э., Попова О.В., Горев А.Э. Транспортно-экспедиционное обслуживание: Учебное пособие для студ. высш. учеб. заведений. - М.: Издательский центр «Академия», 2005. 432 с.

2.      Методические указания к выполнению курсовой работы.


Не нашли материал для своей работы?
Поможем написать уникальную работу
Без плагиата!
Без нейросетей!