Экономико-математическая модель оценки целесообразности проведения конкурсных торгов

  • Вид работы:
    Контрольная работа
  • Предмет:
    Менеджмент
  • Язык:
    Русский
    ,
    Формат файла:
    MS Word
    720,21 Кб
  • Опубликовано:
    2013-02-28
Вы можете узнать стоимость помощи в написании студенческой работы.
Помощь в написании работы, которую точно примут!

Экономико-математическая модель оценки целесообразности проведения конкурсных торгов

Содержание

Введение

Экономико-математическая модель оценки целесообразности проведения конкурсных торгов при осуществлении государственных закупок

Выводы

Список источников

Введение

экономический тендерный государственная закупка

Тема контрольной работы «Экономико-математическая модель оценки целесообразности проведения конкурсных торгов» по дисциплине «Экономико-математическое моделирование».

Цель работы - проанализировать преимущества и недостатки применения тендерных процедур в сфере государственных закупок и предложить экономико-математическую модель оценки целесообразности проведения конкурсных торгов при осуществлении государственных закупок.

Экономико-математическая модель оценки целесообразности проведения конкурсных торгов при осуществлении государственных закупок

Государственные закупки являются неотъемлемой и существенной частью современной экономики. Объем госзакупок в странах Европейского Союза составляет 13,5% совокупного ВВП стран-участниц, или около 1 трлн. евро ежегодно в денежном эквиваленте. В Украине в 2010 г. их объем составил 335 млрд. грн.

Для проведения государственных закупок в Украине, как и в других странах мира, широко используются конкурсные механизмы, то есть тендерные процедуры.

Целью их применения является экономия государственных средств за счет уменьшения закупочных цен в результате привлечения как можно более широкого круга поставщиков. Опосредованными преимуществами проведения конкурсных торгов являются обеспечение прозрачности этого процесса, развитие конкурентной среды в экономике, предотвращение коррупционных действий и злоупотреблений и т. д. Но их организация требует от заказчика торгов и предприятий-участников значительных расходов средств и времени. Очевидно, что при сравнительно небольших объемах государственных закупок расходы на проведение тендерных процедур могут нивелировать пользу от снижения закупочных цен. Законодательство в Украине и других странах предписывает необходимость их проведения лишь в тех случаях, когда объем закупок превышает определенный стоимостный уровень, установление которого требует должного обоснования. Вызывает интерес вопрос, при каких именно условиях в проведении тендерных процедур есть экономический смысл. Ответ на него требует разработки экономико-математической модели целесообразности организации конкурсных торгов, что и является целью данной работы.

Рассмотрим вкратце сферу применения конкурсных процедур в Украине и других странах.

Правила проведения государственных закупок в Украине регулируются соответствующим законом, ст. 2 которого устанавливает обязательное использование механизма конкурсных торгов при проведении "закупок товаров, работ и услуг, которые полностью или частично осуществляются за счет государственных средств, при условии, что стоимость предмета закупки товара (товаров), услуги (услуг) равна или превышает 100 тыс. грн., а работ - 300 тыс. грн.".

Целесообразно сравнить эти нормы с законодательными стандартами развитых стран мира.

В США выполнение государственных закупок регламентируется " Положением о федеральных закупках" (Federal Acquisition Regulation - FAR), устанавливающим целый ряд стоимостных границ, превышение которых постепенно усложняет процедуру закупки. Чаще всего применяется "порог микрозакупок" (micropurchase threshold) и "порог упрощенных закупок" (simplified acquisition threshold). Порог микрозакупок составляет 3 тыс. дол.; эта категория не требует от заказчика ни публикаций о закупке, ни обоснований выбора поставщика. Закупки от 3 тыс. до 100 тыс. дол. могут происходить по упрощенной процедуре; в этом случае организация конкурсных торгов не обязательна, но заказчик должен доказать, что цена закупки является разумной и справедливой. В ряде случаев (например, когда закупки повторяются на регулярной основе) порог упрощенных закупок может быть увеличен до 5 млн. дол., а в ситуациях, связанных с национальной безопасностью, военными операциями или ликвидацией последствий аварий и стихийных бедствий, - до 11 млн. дол.

В странах ЕС государственные закупки регулируются целым рядом межгосударственных соглашений и законодательных актов Европейской Комиссии. Одним из основополагающих принципов осуществления государственных закупок в ЕС, наряду с прозрачностью и недискриминацией участников, является так называемый принцип "de minimis", согласно которому использование сложных, затратных и достаточно бюрократичных процедур не уместно при решении тривиальных задач. В сфере государственных закупок этот принцип устанавливает стоимостные пороговые значения, в рамках которых для проведения закупок не нужны конкурсные процедуры (табл. 1).

Таким образом, значения "de minimis", которые устанавливаются украинским законодательством, на порядок ниже соответствующих европейских и американских норм. Это может свидетельствовать о чрезмерной бюрократизации процесса государственных закупок в Украине. Хотя ВВП в Украине значительно меньше, чем в США и странах ЕС, но это еще не означает, что уровень расходов на проведение тендерных процедур также пропорционально меньше. Учитывая огромный объем и общественное значение государственных закупок в Украине, необходимо экономическое обоснование целесообразности использования конкурсных процедур.

Таблица 1

Пороговые значения "de minimis" при осуществлении государственных закупок в странах ЕС

Категория закупок

Порог (тыс. евро)

Соответствующая директива ЕС

Товары, услуги, проектирование при заказе центральными государственными учреждениями

 125

2004/18/ЕС, ст. 7(a), 67(1 )(а)

Товары, услуги, проектирование при заказе другими государственными учреждениями.

 193

2004/18/ЕС, ст. 7(b), 67(1 )(Ь)

Услуги, которые субсидируются государством более чем на 50% Коммунальные услуги.

 193 387

2004/18/ЕС, ст. 8(b) 2004/17/ЕС, ст. 16(a), 61

Строительство больниц, школ, стадионов и других гражданских сооружений.

4845

2004/17/ЕС, ст. 16(b); 2004/18/ЕС, ст. 7(c), 8(a)

Концессии на гражданское строительство и другие гражданские работы

4845

2004/18/ЕС, ст. 56, 63(1)


Применение любой процедуры экономически целесообразно, если ожидаемый выигрыш превышает издержки на ее реализацию. Рассмотрим сначала источники экономии средств от организации конкурсных торгов. Они возникают за счет привлечения к участию в процессе закупок широкого круга поставщиков.

Конкуренция между ними дает заказчику потенциальную возможность получить объект закупки по лучшей цене, но денежная оценка этого эффекта не очевидна.

Во-первых, необходимо выбрать базу для сравнения. Логично считать, что при отсутствии торгов подавляющее большинство закупок будет осуществляться по среднерыночным ценам.

Во-вторых, следует учесть стратегические интересы поставщиков, которые заключаются в максимизации собственной прибыли и могут привести к завышению ценовых предложений по сравнению с приемлемыми для них минимальными ценами.

Наконец, нужно определить значение ожидаемого ценового эффекта от участия в торгах нескольких поставщиков и выбора заказчиком наилучшего предложения.

Для оценки этого эффекта рассмотрим следующую математическую модель. Обратимся к случаю, когда выбор объекта закупки осуществляется исключительно по ценовому критерию.

Допустим, что на рынке существует М потенциальных поставщиков товаров (работ, услуг), которые закупаются. Минимальную цену, по которой i-й поставщик согласен реализовать товар заказчику торгов, обозначим как

pt(i = 1,….М) и будем в дальнейшем называть резервированной ценой. Если такие цены совпадают у всех существующих поставщиков, то тендерная процедура не нужна.

Следовательно, проведение закупок с помощью конкурсного механизма целесообразно лишь тогда, когда существует определенное варьирование цен у разных поставщиков. Если бы эти значения были известны заказчику торгов, то, очевидно, оптимальным было бы выбрать поставщика с минимальной ценой. Но, как правило, заказчику не известны ни настоящие резервированные цены участников, ни их личности (то есть какие именно поставщики возьмут участие в торгах). Поэтому, с его точки зрения, значения pt следует считать случайными величинами.

Предположим, что резервированные цены разных поставщиков являются независимыми, одинаково распределенными, случайными величинами с функцией распределения F(x) = Р(pt <х), где Р(А) обозначает вероятность события А (это предположение является типичным для экономической теории аукционов).

Если бы выбор поставщика осуществлялся на рынке произвольным образом, тогда ожидаемая цена закупки рт - от market) равнялась бы математическому ожидаемому случайной величины pt:

 


Выбор поставщика по тендерной процедуре предоставляет заказчику возможность выбрать из поступивших предложений наилучшее, то есть с наименьшей ценой. Взаимосвязь между резервированными ценами поставщиков и их тендерными предложениями зависит от схемы проведения торгов и является достаточно сложным вопросом, который был предметом интенсивных исследований экономической теории и теории игр в течение последних 50 лет.

Приведем сжатый обзор полученных теоретически результатов, важных для дальнейшего изложения материала.

По действующему законодательству, конкурсные торги в Украине реализуются по схеме реверсивного аукциона наилучшей цены с закрытыми предложениями.

В мировой практике государственных закупок также широко используются классические "английские" аукционы на снижение цены с открытыми предложениями участников. Именно в таком формате проводятся электронные торги, внедрение которых в Украине ожидается в ближайшее время. На таком аукционе торги останавливаются, когда остается лишь один участник. Для этого победителю необходимо предложить цену, которая ниже, чем у предпоследнего участника аукциона. Для участников есть смысл оставаться в торгах, пока текущая цена превышает резервированный уровень. Поэтому, если пренебречь дискретностью ценовых шагов, цена закупки будет равняться второй снизу среди резервированных цен участников аукциона. У. Викри заметил, что иным способом тот же результат можно получить на аукционе с закрытыми предложениями, если контракт с победителем будет заключен по второму по величине из предоставленных предложений. Он доказал также, что, согласно такой схеме, наилучшей (доминирующей) для участников будет "откровенная" стратегия, то есть представление предложений на уровне собственной резервированной цены. На аукционах наилучшей цены с закрытыми предложениями (победитель получает контракт по цене, равной его предложению) "откровенная" стратегия, очевидно, не может быть оптимальной, потому что приводит к нулевому выигрышу их участников. Следовательно, предложения будут превышать резервированные цены. Важнейшим результатом теории аукционов является так называемая теорема об эквивалентности дохода, которая устанавливает, что (при определенных технических предположениях) ожидаемый результат заказчика во всех указанных типах аукционов будет одинаковым. Опираясь на эти два результата, приходим к выводу, что для оценки цены закупки необходимо найти распределение второй снизу резервированной цены участников торгов.

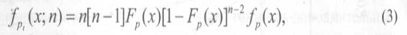
Из теории вероятностей известно, что плотность распределения k-й порядковой статистики укп вектора у = (у1,….. уп) независимых одинаково распределенных случайных величин задается формулой:


где F(x) и f(x) - соответственно, закон и плотность распределения компонент вектора у.

Исходя из сделанных ранее предположений, при участии в торгах п участников цена закупки pt (t - от tender) будет второй порядковой статистикой вектора 1...,рп). Следовательно, по формуле (2) ее плотность распределения составит:


а ожидаемая цена закупки будет равняться:


Для некоторых популярных в эконометрике распределений (равномерного, экспоненциального, экстремальных значений) интеграл в формуле (4) вычисляется аналитически.

В других случаях (в частности, для нормального распределения) расчеты можно осуществить с использованием стандартных численных методов.

На рис. 1 изображена плотность распределения цены закупки для стандартного равномерного U(0; 1) и нормального N(μ = 1/2; σ = 1/6) распределений резервированных цен отдельных поставщиков.

В первом из этих случаев Fp(x) = х, f(x) = 1, и непосредственная подстановка этих функций в формулу (3) приводит к выводу о том, что цена закупки будет иметь β-распределение с параметрами: α = 2; β = п - 1. Для нормального закона плотность распределения цены закупки невозможно получить в аналитической форме, но численные расчеты не представляют трудностей.

Как видно из графиков, увеличение количества участников торгов смещает плотность распределения цены закупки влево, в область более низких цен.

Рис. 1. Плотность распределения цены закупки для равномерного (a) U(0; 1) и нормального (б) N(1/2; 1/6) распределений цен отдельных поставщиков в зависимости от количества участников торгов



Рис. 2. Математическое ожидание цены закупки при использовании тендерных процедур в зависимости от количества участников торгов

Также стоит отметить, что предельный эффект от привлечения дополнительного участника уменьшается с увеличением их общего количества.

Ожидаемый ценовой выигрыш заказчика торгов вследствие применения тендерных процедур ∆р будет равняться разнице между величинами рm и рt(n):

 


чтобы получить полный выигрыш, ожидаемую ценовую разницу (5) следует умножить на объем закупки.

Далее рассмотрим издержки, связанные с проведением тендерных процедур.

Издержки заказчика торгов состоят из следующих элементов:

подготовка тендерной документации;

подготовка и размещение объявления о проведении конкурсных торгов;

время, которое члены комитета по конкурсным торгам потратили на рассмотрение поступивших предложений;

подготовка протоколов раскрытия и оценки тендерных предложений;

предоставление ответов и разъяснений участникам торгов;

возможные расходы на проведение повторных торгов и др.

Участники торгов несут издержки, связанные главным образом с подготовкой и представлением тендерных заявок. Также конкурсные торги часто предусматривают тендерное обеспечение в форме денежного взноса, который свидетельствует о серьезности намерений участников. Хотя он и возвращается участнику, однако следует учитывать временную стоимость средств, предоставленных как тендерное обеспечение. Обозначим общий объем издержек заказчика как F, а в расчете на одного участника - как v.

Возможны два подхода к оценке целесообразности проведения торгов. С точки зрения заказчика, торги имеют смысл, когда:


где оператор математического ожидания берется по количеству участников торгов, которое в большинстве случаев тоже следует считать случайной величиной.

Но при этом издержки участников торгов не учитываются. Следует заметить, что они в определенной мере компенсируются лишь победителю торгов. С общественной точки зрения, целесообразно принять во внимание издержки и заказчика торгов, и их участников.

Условие целесообразности проведения торгов в этом случае примет следующий вид:

 

qM[p(n)]>F + vM[n]. (7)

Как свидетельствует формула (7), полные издержки на проведение торгов растут линейно с увеличением количества их участников, тогда как дополнительный выигрыш от привлечения большего числа поставщиков постепенно уменьшается. Поэтому существует оптимальное, с общественной точки зрения, количество участников торгов.

Предложенная модель дает возможность проводить численные эксперименты, при помощи которых можно определить ожидаемый экономический эффект от применения тендерных процедур в каждом конкретном случае.

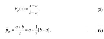
Проиллюстрируем схему расчетов на примере, когда цены отдельных поставщиков равномерно распределены на интервале [а; b]. Функция распределения для равномерной случайной величины имеет вид:


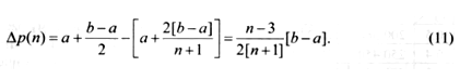
а ее математическое ожидание (соответственно, и среднерыночная цена) составляет:

Ожидаемую цену закупки легко вычислить по формулам (3) и (4), воспользовавшись правилом интегрирования по частям.

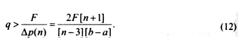
После упрощений получим:


Из сравнения формул (9) и (10) следует, что для получения на торгах закупочной цены на среднерыночном уровне в них должны принять участие трое поставщиков, что само по себе представляет интерес.

По данным Министерства экономического развития и торговли Украины, в 2008 г. среднее их количество во время проведения конкурентных процедур составило 2,9 участника на один объявленный тендер, что в рамках сделанных предположений свидетельствует о сомнительной эффективности сектора государственных закупок даже без учета издержек на проведение тендеров.


В соответствии с формулой (5), ожидаемый ценовой выигрыш заказчика торгов составит:


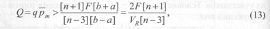
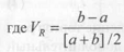
Рассмотрим вопрос о предельных объемах закупок, которые оправдывают использование тендерных процедур по критерию (6). Будем считать, что п > 3, а количество участников торгов заранее известно заказчику. Тогда, согласно формуле (6), должно выполняться неравенство


Чтобы оценить нужные объемы закупок не в абсолютных, а в стоимостных единицах, умножим обе части формулы (12) на среднерыночную цену рт:

- коэффициент осцилляции резервирования цен.

По критерию (7) аналогично получим:


Для количественных расчетов по этим формулам необходимо провести оценку параметров F, v и VR. Коэффициент осцилляции цен зависит от конкретного рынка. Прямое вычисление издержек заказчика (F) и участников (v) требует слишком многих предположений, но оценку этих величин можно осуществить по косвенным признакам.

В Украине существует достаточно оживленный рынок консалтинговых услуг по подготовке тендерной документации для заказчиков и участников торгов.

Логично считать, что цены на эти услуги в определенной мере отображают издержки организаций на самостоятельную подготовку необходимых документов. На время написания данной статьи цена на полный цикл информационного сопровождения конкурсной процедуры для заказчиков торгов составляла почти 10 тыс. грн., а для участников - около 2000 грн. Подставив эти значения в формулы (13) и (14), можно получить предельные объемы закупок по критериям (6) и (7). Результаты таких расчетов сведены в табл. 2.

 

Таблица 2

Расчетные предельные объемы закупок при равномерном распределении резервированных цен в зависимости от ожидаемого количества участников торгов (n) и коэффициента осцилляции распределения резервированных цен (VR) * (тыс. грн.)

        n VR

4

5

6

0,5

200/360

120/240

93/205

0,4

250/450

150/300

117/257

0,2

500/900

300/600

233/513

0,1

1000/1800

600/1200

467/1027

* Элементы таблицы представлены в виде х/у где х - предельное значение по критерию (6), а у - по критерию (7).

При нормальном и других распределениях резервированных цен поставщиков предельные значения оказываются еще выше, поскольку, как следует из рис. 2, при нормальном распределении ожидаемая цена закупки снижается медленнее по сравнению с равномерным. Поэтому расчеты по формулам (13) и (14) следует рассматривать как нижнюю границу для экономически оправданного объема закупок.

На рис. 3 приведены расчеты экономического эффекта от применения тендерных процедур по сравнению с закупками по среднерыночным ценам при разных предположениях относительно распределения резервированных цен поставщиков. Расчеты осуществлялись (при использованных ранее значениях параметров) по формуле


Рис. 3. Экономический эффект от применения тендерных процедур в зависимости от количества участников торгов при разных распределениях цен отдельных поставщиков Параметры: F= 10000 грн.; v = 2000 грн.; g = 200000.

Для равномерного распределения выражение для Е можно получить в явном виде на основе формулы (11); для нормального - расчеты были выполнены численно.

Чтобы оценить робастность формул (13) и (14) к предположениям относительно формы распределения резервированных цен поставщиков, рассмотрим пример.

Изберем в качестве объекта закупки бензин марки А-95. На этом рынке в Украине присутствуют 44 поставщика. Эмпирическая плотность распределения цен на бензин А-95 показана на рис. 3, а его численные характеристики - в табл. 3.

Рис. 4. Эмпирическая плотность распределения цен на бензин марки А-95

Таблица 3

Численные характеристики распределения цен на бензин марки А-95

Характеристика

Значение

Минимум, ртіп Максимум, ртах

10,90


11,65

Среднее значение, рm Размах, R Коэффициент осцилляции, VR Среднеквадратическое отклонение, σ

11,37


0,75


0,066


0,226

Количество наблюдений, М

44


Визуально гистограмма на рис. 4 не похожа ни на одно из известных аналитических распределений.

Поэтому для оценки ожидаемой цены закупки целесообразно использовать метод Монте-Карло.

Имитационные эксперименты были проведены следующим образом. При помощи генератора псевдослучайных величин выбираем 4 участников тендеров по схеме без повторений, а в качестве цены закупки - вторую наилучшую цену участников. По результатам большого количества имитационных экспериментов можно получить эмпирическое распределение цен закупки и рассчитать его статистические характеристики. 500 таких экспериментов по описанной схеме дадут следующие результаты:

ожидаемая цена закупки для 4 участников рt(4) равняется 11,3041; стандартное отклонение - 0,1742;

-процентный доверительный интервал для ожидаемой цены закупки - [10,9628; 11,6455];

ожидаемый ценовой выигрыш заказчика торгов ∆р(4) - 0,06859 грн./л;

критический объем закупок в абсолютных единицах по критериям (6) и (7) при F= 10000 грн. и v = 2000 грн. - соответственно, 145880 л и 262439 л;

критический объем закупок в стоимостных единицах при тех же предположениях составляет, соответственно, 1658 тыс. грн. и 2985 тыс. грн.

В то же время расчеты по формулам (13) и (14) дают следующие критические объемы закупок: 1516 тыс. грн. и 2729 тыс. грн., с относительной погрешностью для истинных значений около 8%.

Таким образом, формулы (13) и (14) можно использовать для приблизительной оценки критического объема закупок.

Выводы

На основе рассмотренной модели можно сделать следующие выводы.

. Экономический выигрыш от проведения торгов непосредственно связан со степенью варьирования цен на конкретном рынке. При незначительной дисперсии ценовых предложений отдельных поставщиков использование тендеров приносит существенный выигрыш заказчику лишь при очень больших объемах государственного заказа. Поэтому целесообразно устанавливать значения "de minimis" более дифференцированно, учитывая специфику конкретной отрасли экономики.

. Для создания на торгах конкурентной среды с ожидаемой ценой закупки на среднерыночном уровне необходимо участие в них как минимум 3 поставщиков. Основная доля выигрыша от снижения закупочных цен реализуется при участии в торгах 3-6 поставщиков. Расходовать средства на привлечение большего количества участников нецелесообразно.

. При реалистичных значениях стоимостных параметров проведение торгов дает заметный эффект, если стоимость закупок существенно превышает нормы "de minimis", установленные в украинском законодательстве.

В работе проанализированы преимущества и недостатки применения тендерных процедур в сфере государственных закупок. Предложена экономико-математическая модель оценки целесообразности проведения конкурсных торгов при осуществлении государственных закупок.

 

Список источников

1.      Воvіs С. Н. EU Public Procurement Law. Cheltenham. "Edward Elgar Publishing", 2007, 488 p.

2.      "Український тиждень" (<http://www.tyzhden.ua/News/20837>).

.        Закон України "Про здійснення державних закупівель" № 2289-VI від 1 червня 2010 р. (<http://www.rada.gov.ua/cgi-bin/laws/main.cgi>).

4.      Federal Acquisition Regulation (<http://www.acquisition.gov/far>).

.        European Commission: Public Procurement.

.        Viскгеу W. Counter Speculation, Auctions, and Competitive Sealed Tenders. "Journal of Finance Economics" № 16, 1961, p. 8-37.

.        Klemperer P. Auctions: Theory and Practice (The Toulouse Lectures in Economics). Princeton University Press, 2004, 256 p. (<http://www.paulklemperer.org/index.htm>).

8.      Проект закону про внесення змін до Закону України "Про здійснення державних закупівель" (щодо впровадження процедури "електронний реверсивний аукціон") № 8633 від 6 червня 2011 р. (<http://www.rada>. gov.ua/pls/zweb_n/webproc4_l?pD511=40598).

.        Riley J., Samuelson W. Optimal Auctions. "American Economic Review" № 71, 1981, p. 381-392; Myerson R. Optimal Auction Design. "Mathematics of Operations Research", Vol. 6(1), 1981, p. 58-73.

.        Weisstein Е. Order Statistic. New York.

11.    Звіт щодо функціонування системи державних закупівель за 2008 рік www.me.gov.ua/control/uk/publish/printable_article?art_id= <http://www.me.gov.ua/control/uk/publish/printable_article?art_id=> 132528).

.        <http://www.tender-consult.at.ua>

.        Цены на 28.04.2012 г. (<http://www.biz.liga.net/tek/oil/a-95.htm>).

Похожие работы на - Экономико-математическая модель оценки целесообразности проведения конкурсных торгов

 

Не нашли материал для своей работы?
Поможем написать уникальную работу
Без плагиата!
Без нейросетей!