Эффективность деятельности предприятия на рынке транспортных услуг

  • Вид работы:
    Курсовая работа (т)
  • Предмет:
    Эктеория
  • Язык:
    Русский
    ,
    Формат файла:
    MS Word
    829,83 Кб
  • Опубликовано:
    2013-02-28
Вы можете узнать стоимость помощи в написании студенческой работы.
Помощь в написании работы, которую точно примут!

Эффективность деятельности предприятия на рынке транспортных услуг

Московский Автомобильно-Дорожный Государственный Технический Университет (МАДИ)

Кафедра «Экономика автомобильного транспорта»

Курсовой проект

По дисциплине: «Экономика предприятия»

Выполнил: Бутырнов С.В.

Проверил: Ляско В.И.






Москва 2011

Содержание

Задание на курсовую работу

. Прогноз динамики изменения объема перевозок предприятия

. Определение удельной себестоимости перевозок, размера тарифа и прибыли предприятия при реализации запланированного объема перевозок базового года

.1 Суточные показатели работы одного автомобиля

.2 Годовые показатели работы одного автомобиля

.2.1 Расчет годовых переменных затрат

.2.2 Расчет годовых постоянных затрат за 2011

.3 Годовые показатели работы по парку автомобилей

.4 Расчет годовые текущих затрат на перевозку в базовом 2011 г

.4.1 Расчет годовых переменных затрат

.4.2 Расчет годовых постоянных затрат

.5 Расчет удельной себестоимости цены перевозки, годового объема доходов, балансовой и чистой прибыли в базовом 2011году

. Прогноз динамики изменения тарифов, в зависимости от объемов перевозки

. Мероприятия по снижению себестоимости на 2012 год

. Расчет удельной себестоимости цены перевозки, годового объема доходов, балансовой и чистой прибыли в 2012 году

.1      Расчет технико - эксплуатационных показателей работы подвижного состава в 2012 году

.1.1 Суточные показатели работы одного автомобиля

.1.2 Годовые показатели работы одного автомобиля

.1.3 Годовые показатели работы по парку автомобилей

.2 Расчет годовых переменных затрат

.2.1 Расчет годовых постоянных затрат за 2012

. Построение графиков безубыточности предприятия на 2011-2012г.с определением порогов рентабельности по годам

. Операционный анализ

Вывод

Список использованной литературы

Задание на курсовую работу

Таблица№1 «Исходные данные для расчетов»

Показатели

Усл. обозн.

Ед. изм.

Значение

1

Годовой объем перевозок за ретроспективный период:





1986 год

Q

тыс.т.

320


1991 год



370


1996 год



450


2001 год



500


2006 год



560


2011 год





2012 год




2

Время в наряде

Tн

час

10

3

Техническая скорость

Vт

км/час

25

4

Грузоподъёмность ПС

q

тонн

15


С прицепом



30

5

Коэффициент выпуска автомобиля на линию

-

0,86

6

Коэффициент использования пробега

β

-

0,65

7

Коэффициент использования грузоподъемности

γ

-

0,6

8

Длина ездки с грузом

lег

км

15

9

Время простоя под погрузкой/разгрузкой

tп/р

час

0,6

10

Дни календарные

Дк

дни

365

11

Цена за литр топлива

Цт

руб

28,6

12

Норма расхода топлива на 100 км.

Н100км

л/100км

35

13

Мощность автомобиля

Мдвиг

л.с.

240

14

Цена 1 единицы ПС

Ца

руб

2500000

15

Цена 1 прицепа

Цп

руб

1500000

16

Рентабельность

R

%

16

17

Курс доллара на 12.12.11


Руб/$

31,41

18

Тариф на перевозку





1) 1986 год

руб37,69




2) 1991 год

1991руб35,18




3) 1996 год

руб33,92




4) 2001 год

руб32,67




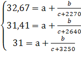
5) 2006 год

руб31,41




Перевозимый груз (коэффициент грузоподъемности равен 0,6) соответствует 3му классу груза, следовательно, можно выбрать МАЗ 6312

Технические характеристики МАЗ 6312

Колесная формула

6х4

Мощность двигателя, кВт (л.с.)

330 л.с

Грузоподъемность, кг

15075

Контрольный расход топлива, л/100 км при V = 60 км/ч

35

Основной применяемый прицеп

МАЗ 931010-3020

1. Прогноз динамики изменения объёма перевозок предприятия на 2011 - 2012 год

Для прогнозирования изменения объема перевозок используется метод экстраполяции. Экстраполяция - метод статистического анализа, который позволяет переносить тенденции и связи, которые сложились в прошлом, на текущий период и перспективу.

Таблица №2 «Динамика изменения объемов перевозок грузов (тыс.т)»

Предприятие

1986

1991

1996

2001

2006

АТП№2

320

370

450

500

560

АТП№3

500

560

640

690

750

АТП№4

250

300

380

420

450

АТП№5

180

210

290

350

400

АТП№6

150

190

240

310

480

По всему рынку

1400

1630

2000

2270

2640


Необходимо найти долю, которую составляет мое предприятие на общем рынке:

Таблица №3 «Доля объемов перевозок АТП №2 на рынке»

ГОД

1986

1991

1996

2001

2006

%

23

23

23

22

21


Для того, чтобы спрогнозировать изменения объёмов перевозок мы применяем метод экстраполяции данных. Конкретно в данной работе будет использоваться метод экстраполяции данных с использованием полиномиальной линии тренда 3-ей. Общий вид уравнения будет выглядеть так:

Qt =a0 x t0 + a1 x t1 + a2 x t2 + a3 x t3 , где

t - это период времени (из исходных данных он равен пяти годам). То есть, например, для периода времени с 1986 по 1991 год t будет равен 1,с 1991 по 1996 год t будет равен 2 и так далее;

Q - суммарный объём перевозок грузов по всем предприятиям;

a0, a1, a2, a3 - параметры полиномиальной функции.

Теперь, чтобы спрогнозировать динамику изменения объёмов перевозок предприятия на 2011 по 2012 годы необходимо найти параметры полиноминальной функции (a0, a1, a2, a3)

Таблица №4 «Значение периода времени t для каждого года».

Год

1986

1991

1996

2001

2006

2011

2012

2013

2014

2015

2016

T

1

2

3

4

5

6

6,2

6,4

6,6

6,8

7

Чтобы найти прогнозируемый объём перевозок грузов по рынку в 2016 году на основе имеющихся данных, построим полиномиальную линию тренда 3-ей степени с прогнозом на 2 периода вперед:


Из графика видно, что для всего рынка объем перевозок в 2016 году составит 3250 тыс. тонн.

Составим и решим систему уравнений:

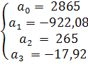
После того, как мы нашли параметры уравнения мы можем написать уравнение динамики изменения объёмов перевозок:

 = 2865-922,08*t + 265*t2 -17,92*t3

Теперь рассчитаем прогнозируемые суммарные объёмы перевозок по всем предприятиям на рынке на 2011 - 2012 гг. (в тыс.т.):

Чтобы определить объем перевозок нашего предприятия необходимо умножить суммарный объем перевозок по всему рынку предприятий за 2011 год на долю, которую перевозит наше предприятие. В 2011 году мы сохраняем долю перевозок в 21%, а в 2012 году мы решаем увеличить ее до 23%.



2.      Определение себестоимости перевозок, размера тарифов, прибыли предприятия при реализации запланированного объема перевозок базового года

Определение себестоимости перевозок.

Для решения данной задачи необходимо произвести расчёт технико-эксплуатационных показателей на базовый год, после чего, исходя из полученных результатов, следует определить размер постоянных и переменных затрат. После этого определим величину общих издержек, а затем величину себестоимости единицы продукции.

2.1 Расчет технико-эксплуатационных показателей ПС на 2011 год

.1.1 Суточные показатели работы одного автомобиля

Объём перевозок:


Грузооборот:

= 59,1*15 = 886,5 т.км

Суточный пробег:

.1.2 Годовые показатели работы одного автомобиля

Объём перевозок:


Грузооборот:

= 278272,35 т.км

Автомобиле - часы работы:


Общий пробег


2.1.3 Годовые показатели работы по парку автомобилей

Объём перевозок:

Qгод = 629471 т.

Грузооборот:


Общий пробег:

 =

Автомобиле - часы работы:


Списочное количество автомобилей:


Количество водителей:


 подготовительно-заключительное время работы (18 мин или 0,3 часа на автомобиле-день работы);

=

=8 часов по законодательству РФ;

= дней работы в месяц, принимается равным 20;

=11,количество рабочих месяцев в год.

Для удобства составим сводную таблицу технико - эксплуатационных показателей ПС предприятия:

Таблица №5 Технико - эксплуатационные показатели ПС»

№ п/п

Показатели

Условные обозначения

Единицы измерения

Значение

Суточные показатели работы единицы ПС

1

Суточный объём перевозок

т

59,1

2

Суточный грузооборот

ткм

886,5

3

Суточный общий пробег

км

151,52

Годовые показатели работы единицы ПС

4

Годовой объём перевозок

т

18551,49

5

Годовой грузооборот

ткм

278272,35

6

Годовой общий пробег

км

47562,13

7

Автомобиле-часы работы за год

  

АЧр

3139

8

Годовой объём перевозок

т

629471

9

Годовой грузооборот

ткм

9442065

10

Годовой общий пробег

км

1614028,21

11

Автомобиле-часы работы за год

  

АЧр

106509,48

12

Списочное количество автомобилей

шт

34

13

Потребное количество водителей

чел

62


2.2 Годовые показатели работы одного автомобиля

.2.1 Расчет годовых переменных затрат

На Автомобильном транспорте к переменным затратам обычно относят:

·        Затраты на топливо для эксплуатации ПС т)

·        Затраты на смазочные и обтирочные материалы см)

·        Затраты на восстановления износа и ремонт шин ш)

·        Затраты на техническое обслуживание и ремонт ПС ТОиР)

В данной работе в качестве ПС будем использовать бортовой автомобиль МАЗ 6312, 2009 года выпуска, стоимостью на 2011 год составляет 2 500 000 руб. за 1 автомобиль.

1)      Затраты на топливо (Зт)

Для бортовых автомобилей годовые затраты на топливо рассчитываются по формуле:

 , где

Нткм - норма расхода топлива в литрах на 100 ткм транспортной работы, для дизельных двигателей (Нткм =1,3 л/100 ткм);

Нкм - временная линейная норма расхода топлива в литрах на 100 км пробега для единицы ПС (Нкм = 35 л/100 км);

Цл - цена одного литра топлива, Цл ДТ = 28 руб. 75 коп.;

1,05 - коэффициент, учитывающий повышение расхода топлива в зимнее время и на внутригаражные нужды.

)        Затраты на смазочные и обтирочные материалы (Зсм)

Затраты на смазочные и обтирочные материалы для ПС учитываются в процентном соотношении от затрат на топливо для ПС. В среднем затраты на смазочные и обтирочные материалы составляют 1 ~ 3% от затрат на топливо. В данной работе будем считать, что затраты на смазочные и обтирочные материалы составляют 2% от затрат на топливо.

)        Затраты на восстановление износа и ремонт шин (Зш)

Затраты на восстановление износа и ремонт шин можно определить как произведение потребного количества шин в год на стоимость одной шины.

Для бортовых автомобилей потребное количество шин Nш в год можно определить по следующей формуле:

 , где

nш - количество шин на единице ПС( в данном случае на автомобиле МАЗ 6312 устанавливается 6 шин);

Lш - ходимость одной шины в км.(устанавливается заводом производителем).

Для используемого ПС выберем шины Goodride SV308 295/30 R22

Lш = 90000 км, Цш = 25000 руб. за шину.


)        Затраты на ТО и Р ПС (ЗТОиР)

Затраты на ТО и Р ПС рассчитываются исходя из индивидуальной нормы расходов на ТО и Р по конкретному виду ПС на 1000 км пробега, т.е. данные затраты зависят от пробега ПС. Индивидуальный норматив затрат на ТО и Р ПС устанавливается по формуле:


Расходы на ТО и Р можно подразделить на 3 основных составляющих

)        расходы на запчасти

)        расходы на материалы

)        расходы на заработную плату ремонтных рабочих.

Норматив затрат на ТО и Р распределяется на эти 3 подгруппы затрат в процентном соотношении:

Нзч - 50% от Н, Нм - 15% от Н, Нрр - 35% от Н

Индивидуальная норма затрат на ТО и Р будет равна:

Теперь мы можем определить норматив на каждый из показателей затрат на ТО и Р:

Нзч = 2102,52 руб./1000 км

Нм = 630,75 руб./1000 км

Нрр = 1471,76 руб./1000 км

Необходимо заметить, что на затраты по ТО и Р ПС также влияет категория эксплуатации ТС. В данной работе автомобили моего предприятия перевозят грузы по Московской области. Поэтому категории эксплуатации ПС присвоим класс 1, то есть коэффициент, учитывающий категорию эксплуатации ПС (по положению о ТО и Р) будет равным 1.

Итого затраты на ТОиР ПС будут выглядеть так:

Таблица №6 «Сводная таблица переменных затрат по предприятию»

№ п/п

Статья переменных затрат

Сумма, руб.

Удельный вес, %

1

Затраты на топливо (Зт)

65,95%

2

Затраты на смазочные и обтирочные материалы (Зсм)

1,32%

3

Затраты на восстановление износа и ремонт шин (Зш)

8,55%

4

Затраты ТО и Р ПС (ЗТОиР)

7 611 322,41

24,18%

ИТОГО переменных затрат

31 475 179,36

100,00%

.2.2 Расчет годовых постоянных затрат за 2011

) Расходы на заработанную плату водителям (повременная форма оплаты труда):


Где Счас- часовая тарифная ставка водителя (руб/час)

АЧргод- отработанное время всеми водителями, час.

,347- коэффициент, учитывающий начисления на з/п:


)        Затраты на электроэнергию

3)      Затраты на отопление

4)      Затраты на водоснабжение

 руб.

5)      Канцелярские расходы .

6)      Затраты на оплату труда административно-управленческого персонала.

На данном предприятии необходимо наличие следующих сотрудников административно-управленческого персонала: (рабочих месяцев в году-11)

Административно управленческий персонал предприятия

Администрация

Количество человек

ЗП в месяц, руб

Зп в год, руб

Директор

1

52 000

624 000

Диспетчер

3

58 000

696 000

Гл. бухгалтер

1

45 000

540 000

Бухгалтер

1

27 000

324 000

Главный механик

1

39 000

468 000

Механики

4

67 000

804 000

Врачи из поликлиники

6

73 000

876 000

Охранники

5

85 000

1 020 000

Уборщица

2

21 000

252 000

Итого

24

467 000

5 604 000

С учетом налогов (34%)

7 548 588


С учетом сменного графика нам необходимы 3 диспетчера.

Для осмотра врачом одного водителя потребуется примерно 5 минут. Чтобы выпустить всех на линию в течении 30 минут, нам потребуется:

*5/30=6 врачей.

Т.к. они нам необходимы только с утра, то мы будем приглашать врачей из соседней поликлиники.

На проверку 1 машины нужно около 20 минут. Механики работают в ночную смену 3 часа. На проверку всех машин нам нужно:

*20/180=4 механика

Главный механик работает днём, на случай возникновения неполадок во время смены.

7)      Затраты на амортизацию

А) Подвижного состава


На - норма амортизации.

Тпи - срок полезного использования = 10 лет;

Ца - начальная стоимость единицы подвижного состава = 2 500 000 руб.

Б) Оборудования.


Цоб - цена оборудований

Цоб=20%* (Ца сп) = 0,20 *2500000*34 =17 000 000 руб.

Тпи - срок полезного использования = 15 лет;


В) Зданий.


Цзд - цена здания

Цзд= (Цпссп) * 0,3

Тпи - срок полезного использования = 100 лет;


Итого затраты на амортизацию:

 +  +  = 9 998 185,71 руб.

8)      Транспортный налог

ТН = Асп * М * ставка

М - мощность автомобиля = 330 л.с.

Ставка = 143 руб. за л.с.

ТН = 143 * 330 * 34 = 1 604 460 руб.

9)      ОСАГО (страховая премия рассчитана с помощью интернет калькулятора)

5576,85*34 = 189 612,9 руб.

10) Налог на имущество :

, где

ОС- остаточная стоимость имущества.



ИТОГО:

Затраты

Сумма, руб.

Удельный вес, %

Расходы на ЗП водителей

46,47

Расходы на электроэнергию

0,25

Расходы на отопление

0,29

Расходы на водоснабжение

1,22

Канцелярские расходы

0,05

Расходы на оплату труда административно-управленческого персонала

7 548 588

17,79

Расходы на амортизацию ПС

20,03

Расходы на амортизацию зданий

0,86

Расходы на амортизацию оборудования

2,67

Транспортный налог

1 604 460

3,77

ОСАГО

189 612,9

0,46

Налог на имущество

6,14

Итого постоянных расходов:

42 434 790,37

100,00%

С2011 = Спер + Спост = 31 475 179,36+42 434 790,37 = 73 909 969,73 руб.

.3 Расчёт себестоимости перевозок, размера тарифа и прибыли предприятия

Себестоимость 1 тонны продукции

т =

т2011 = ;

Расчёт цены перевозки (тарифа)

 = Sт * (1+R)

2011 = 117,42*(1+0,16) = 136,21 руб/т

Расчёт годового объема доходов от перевозок

Дгод =  *Q

Дгод2011 =136,21*629471 = 85 740 244,91 руб.

Расчёт годового объема балансовой прибыли

Пб= Дгод -

Пб2011 = 85 740 244,91 - 73 909 969,73 = 11 830 275,18 руб.

Расчёт чистой прибыли

ЧП = Пб - Пб*0,2

ЧП = 11 830 275,18 - 2 366 055,04 = 9 622 434,41 руб.

3.      Прогноз динамики изменения тарифов, в зависимости от объемов перевозки

Прогноз размера тарифа на 2011г.

Определим тариф на планируемый 2011 год. Для этого построим график динамики изменения себестоимости и определим уровень тарифа на 2011 год.


На основании графика изменения тарифов мы можем сделать вывод, что для обеспечения конкурентоспособности нашего предприятия тариф в 2016 году должен составлять 31 руб за перевозку одной тонны груза.

На основе графика динамики изменения тарифа по годам рассчитаем тариф на 2012 год. Для этого решим систему уравнений следующего вида:

У = τi; х = Qi

 =>  => =>

(1,26(2270+с)(2640+с))/370=(0,41(2640+с)(3250+с))/610=>

,6(2270+с)=151,7(3250+с)

,9с= -1251697

с= -2029,01

b=501,42;

а=30,59.

Решив систему, получилось следующее уравнение:

Если подставить в уравнение значение Q в 2012 году равное 704 690 тонн мы получим, что наш тариф за 2012 год будет равен 30,21 руб/т. А себестоимость 1 перевозимой тонны при заданном тарифе и рентабельности 16% составит 26,06 руб.

 = Sт * (1+R)т === 26,06 руб.

Если сохранить себестоимость 2011 года, а объем перевозок 2012, то получим расходы в 84 168 174 руб.

,42 * 704 690=82 744 699,8 руб.

Но для получения запланированного тарифа в 30,21 руб. в 2012 нам необходим размер расходов на уровне 18 364 221 руб.

26,06 * 704 690=18 364 221 руб.

Чтобы достичь снижения себестоимости нам необходимо разработать ряд мероприятий для оптимизации затрат предприятия.

себестоимость прибыль безубыточность рентабельность

4.      Стратегия замены подвижного состава

Для снижения себестоимости 1 тонны транспортной продукции, мы решаем увеличить общую грузоподъёмность парка подвижного состава. Для этого мы покупаем прицепы МАЗ 931010-3020 грузоподъёмностью 15 тонн. Покупка прицепов приведет к снижению затрат на топливо, амортизацию подвижного состава, на заработную плату водителям.


Нам нужно докупить 15 прицепов грузоподъёмностью 15 тонн по цене 1 500 000 руб. за штуку.

Спок.пр.=15*1 500 000 = 22 500 000 руб.

Мы будем продавать 19 автомобилей (34-15=19) по цене

Дпрод.авт. = 19*2 200 000 = 41 800 000 руб.

Из-за смены подвижного состава будем менять оборудование. Старое будет продано : Дпрод.об.=16 000 000 руб.

Новое оборудование будем покупать: Спок.об.=12 000 000 руб.

Увеличение времени в наряде до 16 часов

Для увеличения объемов перевозок предприятие решает перейти на 2-х сменный режим работы подвижного состава и увеличить время в наряде до 16 часов, т.е. водители будут работать в 2 смены по 8 часов.

Переходим на нового поставщика топлива с ценой 22 руб за литр.

5.      Определение удельной себестоимости перевозок, размера тарифа, прибыли предприятия при реализации запланированного объёма на перспективный период

5.1    Расчет технико - эксплуатационных показателей работы подвижного состава в 2012 году

.1.1 Суточные показатели работы одного автомобиля

Объём перевозок:


Грузооборот:

= 135,65 * 15 = 2034,75 т.км

Суточный пробег:

.1.2 Годовые показатели работы одного автомобиля

Объём перевозок:


Грузооборот:

= 690 695,85 т.км

Автомобиле - часы работы:


Общий пробег


5.1.3 Годовые показатели работы по парку автомобилей

Грузооборот:


Общий пробег:

 =

Автомобиле - часы работы:


Списочное количество автомобилей:


Количество водителей:


 подготовительно-заключительное время работы (18 мин или 0,3 часа на автомобиле-день работы);

=

=8 часов по законодательству РФ;

= дней работы в месяц, принимается равным 20;

=11,количество рабочих месяцев в год.

Для удобства составим сводную таблицу технико - эксплуатационных показателей ПС предприятия:

Таблица №5 Технико - эксплуатационные показатели ПС»

№ п/п

Условные обозначения

Единицы измерения

Значение

Суточные показатели работы единицы ПС

1

Суточный объём перевозок

т

135,65

2

Суточный грузооборот

ткм

2034,75

3

Суточный общий пробег

км

173,91

Годовые показатели работы единицы ПС

4

Годовой объём перевозок

т

46 046,39

5

Годовой грузооборот

ткм

690 695,85

6

Годовой общий пробег

км

59 033,75

7

Автомобиле-часы работы за год

  

АЧр

5431

Годовые показатели работы по парку ПС

8

Годовой объём перевозок

т

704 690

9

Годовой грузооборот

ткм

10 570 350

10

Годовой общий пробег

км

903 448,72

11

Автомобиле-часы работы за год

  

АЧр

83 117,28

12

Списочное количество автомобилей

шт

15

13

Потребное количество водителей

чел

48


5.2 Расчет годовых переменных затрат

Затраты на топливо (Зт)

Для бортовых автомобилей годовые затраты на топливо рассчитываются по формуле:

Нткм - норма расхода топлива в литрах на 100 ткм транспортной работы, для дизельных двигателей (Нткм =1,3 л/100 ткм);

Нкм - временная линейная норма расхода топлива в литрах на 100 км пробега для единицы ПС (Нкм = 35 л/100 км);

Цл - цена одного литра топлива, Цл ДТ = 25 руб;

Gп/п - масса пустого прицепа.

1,05 - коэффициент, учитывающий повышение расхода топлива в зимнее время и на внутригаражные нужды.

Затраты на смазочные и обтирочные материалы (Зсм)

Затраты на смазочные и обтирочные материалы для ПС учитываются в процентном соотношении от затрат на топливо для ПС. В среднем затраты на смазочные и обтирочные материалы составляют 1 ~ 3% от затрат на топливо. В данной работе будем считать, что затраты на смазочные и обтирочные материалы составляют 2% от затрат на топливо.

Затраты на восстановление износа и ремонт шин (Зш)

Затраты на восстановление износа и ремонт шин можно определить как произведение потребного количества шин в год на стоимость одной шины.


Для бортовых автомобилей потребное количество шин Nш в год можно определить по следующей формуле:

 , где

nш - количество шин на единице ПС( в данном случае на автомобиле МАЗ 6312 устанавливается 6 шин);

Lш - ходимость одной шины в км.(устанавливается заводом производителем).

Для используемого ПС выберем шины Goodride SV308 295/30 R22

Lш = 90000 км, Цш = 25000 руб. за шину.

Для прицепа выберем шины


Затраты на шины общие = 1 505 747,87 + 1 422 931,73 = 2 928 679,6 руб.

)        Затраты на ТО и Р ПС (ЗТОиР)

Затраты на ТО и Р ПС рассчитываются исходя из индивидуальной нормы расходов на ТО и Р по конкретному виду ПС на 1000 км пробега, т.е. данные затраты зависят от пробега ПС. Индивидуальный норматив затрат на ТО и Р ПС устанавливается по формуле:

Нзч - 50% от Н, Нм - 15% от Н, Нрр - 35% от Н

Индивидуальная норма затрат на ТО и Р будет равна:

Теперь мы можем определить норматив на каждый из показателей затрат на ТО и Р:

Нзч = 1639,95 руб./1000 км

Нм = 508,18 руб./1000 км

Нрр = 1185,76 руб./1000 км

Итого затраты на ТО и Р ПС будут выглядеть так:

Таблица №6 «Сводная таблица переменных затрат по предприятию»

№ п/п

Статья переменных затрат

Сумма, руб.

Удельный вес, %

1

Затраты на топливо (Зт)

66,53%

2

Затраты на смазочные и обтирочные материалы (Зсм)

1,33%

3

Затраты на восстановление износа и ремонт шин (Зш)

14,9%

4

Затраты ТО и Р ПС (ЗТОиР)

3 383 731,66

17,24%

ИТОГО переменных затрат

19 637 741,41

100,00%

.2.1 Расчет годовых постоянных затрат за 2012

) Расходы на заработанную плату водителям (повременная форма оплаты труда):


Где Счас- часовая тарифная ставка водителя (руб/час)

АЧргод- отработанное время всеми водителями, час.

,347- коэффициент, учитывающий начисления на з/п:


)        Затраты на электроэнергию

3)      Затраты на отопление

4)      Затраты на водоснабжение

 руб.

5)      Канцелярские расходы .

Затраты на оплату труда административно-управленческого персонала

На данном предприятии необходимо наличие следующих сотрудников административно-управленческого персонала: (рабочих месяцев в году-11)

Администрация

Количество человек

ЗП в месяц, руб

Зп в год, руб

Директор

1

52 000

624 000

Диспетчер

5

100 000

1 200 000

Гл. бухгалтер

1

45 000

540 000

Бухгалтер

1

27 000

324 000

Главный механик

1

39 000

468 000

Механики

7

75 000

900 000

Врачи из поликлиники

3

43 000

516 000

Охранники

5

85 000

1 020 000

Уборщица

2

21 000

252 000

Итого

26

487 000

5 844 000

С учетом налогов (34%)

7 830 960


Нам нужны 5 диспетчеров, с учётом сменного графика.

На осмотр врачом одного водителя уходит примерно 5 минут. Чтобы выпустить всех на линию в течении 30 минут, нам потребуется:

*5/30=3 врача.

Мы будем приглашать врачей из соседней поликлиники.

На проверку 1 машины нужно около 20 минут. Механики работают в течении часа перед выпуском автомобиля на линию. На проверку всех машин нам нужно:

15*20/60=7 механиков.

Главный механик работает днём, на случай возникновения неполадок во время смены. Охранников берём 5 человек, с учётом сменного графика. 2 работают с утра и 1 ночью.

6)      Затраты на амортизацию А) Подвижного состава


На - норма амортизации.

Тпи - срок полезного использования = 10 лет;

Ца - начальная стоимость единицы подвижного состава = 2 500 000 руб.

Б) Оборудования.


Цоб - цена оборудований

Цоб=20%* (Ца сп) = 0,20 *(2 500 000 * 15 +1 500 000 * 15) =12 000 000 руб.

Тпи - срок полезного использования = 15 лет;

В) Зданий.

Итого затраты на амортизацию:

 +  +  = 7 164 658,71 руб.

7)      Транспортный налог

ТН = Асп * М * ставка

М - мощность автомобиля = 330 л.с.

Ставка = 143 руб. за л.с.

ТН = 143 * 330 * 15 = 707 850 руб.

8)      ОСАГО (страховая премия рассчитана с помощью интернет калькулятора)

(5576,85 + 1620)*15 = 107 952,75 руб.

10) Налог на имущество :

, где

ОС- остаточная стоимость имущества.


ИТОГО:

Затраты

Сумма, руб.

Удельный вес, %

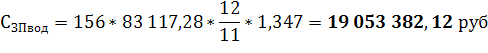
Расходы на ЗП водителей

19 053 382,12


Расходы на электроэнергию


Расходы на отопление


Расходы на водоснабжение


Канцелярские расходы


Расходы на оплату труда административно-управленческого персонала

7 830 960


Расходы на амортизацию ПС

6 000 000


Расходы на амортизацию зданий

364 285,71


Расходы на амортизацию оборудования

800 400


Транспортный налог

707 850


ОСАГО

107 952,15


Налог на имущество

2 113 885,71


Итого постоянных расходов:

37 746 785,27



Так как мы продали 19 грузовиков, то у нас появилась возможность сдавать в аренду свободную на стоянке площадь. Пока еще не проданные грузовики будут в течение 90 дней находиться на стоянке. Мы предполагаем за счет аренды покрыть часть расходов.

Арендная плата = 37 746 785,27/365/324 =319 руб./м2в сутки.

Сделаем арендную плату 300 руб./ м2в сутки.

Площадь стоянки составляет 1224 м2 (34 автомобиля по 36м2). Наши автомобили занимают площадь 900 м2 (15 автомобилей по 60м2). Сдаваемая площадь 324 м2 (1224 - 900).

Доход от сдачи в аренду на 275 дней площади автомобильной стоянки составит:

Дар=324*275*300=26 730 000 руб.

Общий внереализационный доход составит:

800 000+16 000 000+26 730 000=84 530 000 руб.

Таким образом, расходы предприятия составили:

С=Сгод+Спок приц.+Спок.обор= 57 384 526+ 22 500 000+ 12 000 000 =91 884 526 руб.

Покрываем общие расходы частью внереализационных доходов

Сп= 2511817,94-2087057,94=424760

Расчёт себестоимости перевозок, размера тарифа и прибыли предприятия

Себестоимость 1 тонны продукции

т =

т2012 = ;

Расчёт цены перевозки (тарифа)

 = Sт * (1+R)

2012 = 1,97*(1+0,17) = 2,3 $/т

Расчёт годового объема доходов от перевозок

Дгод =  *Q

Дгод2012 =2,3*932000 = 2148166,8 $.

Так же к годовому доходу предприятия нужно отнести доходы от продажи части автомобильного парка, сдачи в аренду площади стоянок и продажи оборудования: Дгод= 2148166,8 +1843283,8=3991450,6 $

Расчёт годового объема балансовой прибыли

Пб = Дгод + Дохпред 2часть-

Пб2012 = 2148166,8 + 3431287,2- 1843283,8 =3736170,2 $.

Расчёт чистой прибыли

ЧП = Пб - Пб*0,2

ЧП =3736170,2 *0,8 = 2988936,1 $.

. Построение графиков безубыточности предприятия на 2011-2012г. с определением порогов рентабельности по годам

График безубыточности - график, показывающий, какой уровень дохода от продаж должен быть достигнут, чтобы полностью покрыть постоянные и переменные издержки.

7. Операционный анализ на 2011 - 2012 год


Ключевыми элементами операционного анализа любого предприятия служат: операционный рычаг, порог рентабельности, запас финансовой прочности предприятия.


2011, руб.

2012, руб.

Доход

5390888

3991450,6

ТС

4607597,1

2551613,8

VС

3717670,2

1943286,36

FC

889926,9

608327,47


Для определения силы воздействия операционного рычага применяют отношение так называемой валовой маржи к прибыли

1. Валовая маржа, МВ

МВ = Дгод - VC

МВ2011 = 1673217,8 $

МВ2012 = 2048164,3 $

МВ - результат от реализации продукции после возмещения переменных затрат. В зарубежной практике показатель валовой маржи называют суммой покрытия или вклада. Одной из основных задач финансового менеджмента является максимизация валовой маржи, поскольку именно она является источником покрытия постоянных издержек и определяет величину прибыли. Эта цифра показывает, сколько зарабатывает компания, учитывая ее затраты на производство товаров или сервисов. Маржа валовой прибыли является хорошим индикатором, показывающим, насколько прибыльной является компания на фундаментальном уровне.

2. Коэффициент валовой маржи, Кмв

Кмв = МВ / Дгод

Кмв2011 = 0,31

Кмв2012 = 0,51

Если рассматривать долю валовой маржи в доходах, можно определить долю постоянных издержек в доходах предприятия. Т.о, чем ниже доля валовой маржи в доходах, тем успешнее будет работа нашего предприятия

3. Порог рентабельности, ПР

ПР = FC / Кмв

ПР2011 = 2870731,9 $

ПР2012 = 1192798,9 $

Порог рентабельности - эта такая выручка от реализации, при которой предприятие уже не имеет убытков, но еще не имеет и прибыли. Вычислив порог рентабельности, получаем пороговое (критическое) значение объема производства - ниже этого количества предприятию производить не выгодно. Пройдя порог рентабельности, фирма имеет дополнительную сумму валовой маржи на каждую очередную единицу товара. Наращивается и масса прибыли.

4. Запас финансовой прочности, ЗФП

ЗФП = Дгод - ПР

ЗФП2011 = 2520156,1 $

ЗФП2012 = 2798651,7 $

ЗФП показывает, какое снижение доходов сможет выдержать предприятие без серьезной угрозы для его финансового положения. Чем больше доля ЗФП в доходе предприятия, тем лучше. Запас финансовой прочности показывает превышение фактической выручки от реализации над порогом рентабельности. Чем больше эта величина, тем более устойчивым в финансовом плане является предприятие.

5. Прибыль балансовая, Пб

Пб = ЗФП∙Кмв

Пб2011 = 781248,4 $

Пб2012 = 1427312,3$

БАЛАНСОВАЯ ПРИБЫЛЬ - прибыль, рассчитываемая как разница между выручкой от реализации продукции (работ, услуг) и материальными затратами, амортизацией и заработной платой, отражаемая в бухгалтерском балансе. Она же - общая прибыль.

6. Сила воздействия операционного рычага, Fор

ор = МВ / Пб

ор2011 = 2,14ор2012 = 1,43

Действие операционного рычага проявляется в том, что любое изменение выручки от реализации всегда влечет за собой более сильное изменение прибыли. Чем больше уровень постоянных издержек, тем больше сила воздействия операционного рычага. Указывая на темпы падения прибыли с каждого рубля снижения выручки, сила воздействия операционного рычага свидетельствует об уровне предпринимательского риска данного предприятия.

Сила воздействия операционного рычага указывает на степень предпринимательского риска, на сколько изменится прибыль при изменении объема продукции: чем ниже Сила воздействия операционного рычага, тем ниже предпринимательский риск. В практике желательно иметь силу воздействия операционного рычага на уровне 1,5 единицы, что будет означать достаточно низкую величину постоянных издержек и относительно высокий запас финансовой прочности фирмы.

7. Сила воздействия финансового рычага, Fфр

ор = (Пб+%К) / Пб

фр2011 = 1фр2012 = 1

Финансовый рычаг служит для оценки силы воздействия привлекаемых средств.

8.Сопряженный эффект:

СЭ=Fор*Fфр

СЭ2011= 2,14

СЭ2012= 1,43

Показатели

2011 год

2012 год

Объём перевозок

тонн

867000

932000

Тариф

$

6,22

2,3

Удельная себестоимость

$

5,31

1,97

Переменные расходы

$

3717670,2

1943286,36

Постоянные расходы

$

889926,9

608327,47

Доходы

$

5390888

3991450,6

Объём прибыли

$

783290,9

3736170,2

Чистая прибыль

$

626632,7

2988936,1

Численность водителей

Чел.

149

93

Количество автомобилей

Шт.

80

20

Сила воздействия операционного рычага

-

2,14

1,43



Выводы

В данной работе была определенна эффективность деятельности предприятия на рынке транспортных услуг в базовом (2011г.) и в перспективном (2012 г.) годах. Для этого были выполнены следующие этапы.

Во-первых, мы определили плановые показатели объема перевозок на 2011 г. для всего рынка транспортных услуг в целом (методом экстраполяции данных за ретроспективный период). Затем, мы определили долю нашего предприятия в общем рынке и, решив систему уравнений, нашли планируемые объемы перевозок для предприятия на 2011-2012 гг.

На втором этапе были рассчитаны технико-эксплуатационные показатели работы парка автомобилей для базового 2011 года. На основании этих показателей мы рассчитали себестоимость перевозок, размер тарифа, прибыль предприятия при реализации запланированного объема перевозок на 2012 г.

На следующем этапе, построив график динамики изменения тарифа и решив систему уравнений, был определён тариф на 2012 год. Т.к. тариф в 2012 по сравнению с 2011 годом снизился, то предприятие, для того чтобы достичь полученного значения тарифа, приняло решение снизить себестоимость перевозок путём увеличением общей грузоподъёмности автомобилей за счёт добавления полуприцепов, увеличения времени в наряде. Помимо этого предприятие продало неиспользуемое оборудование; площади для хранения подвижного состава были сданы в аренду.

Далее были рассчитаны технико-эксплуатационные показатели работы парка подвижного состава, но уже на перспективный 2012 год. После этого были определены издержки предприятия. Для достижения планового тарифа, было принято решение списать часть издержек на полученный от замены подвижного состава доход. После этого были рассчитаны себестоимость перевозок, тариф, доход, балансовая и чистая прибыль предприятия. Затем для анализа рентабельности и безубыточности предприятия, на основе сделанных ранее расчётов, были построены графики безубыточности для 2011 и 2012 гг. Предприятие будет рентабельным, если его общие издержки не превышают доходов.

На последнем этапе выполнения работы для сравнения эффективности работы предприятия в базовом и перспективном годах был проведён операционный анализ.

Список использованной литературы

1.      Билибина Н.Ф. Методические указания к курсовому проекту «Расчет основных показателей работы подвижного состава и оценка эффективности его использования», Москва, 2006

.        Ляско В.Т., Федоренко А.И. «Экономика предприятия», Москва 2010

.        «Методические указания к справочным и нормативным материалам для планирования работы автомобильного транспорта», Москва, 1987 год

.        Краткий автомобильный справочник НИИ АТ

.        Ресурсы internet.

Похожие работы на - Эффективность деятельности предприятия на рынке транспортных услуг

 

Не нашли материал для своей работы?
Поможем написать уникальную работу
Без плагиата!
Без нейросетей!