Анализ транспортных услуг в РФ
Федеральное агентство по образованию
Брянский Государственный Технический
Университет
Кафедра «Экономика, организация
производства, управление»
КУРСОВАЯ РАБОТА
по дисциплине: Статистика
на тему: Анализ транспортных услуг
в РФ
Выполнила:
Студентка гр.10-ФК2
Петухова В.Ю.
Проверила: к.э.н., доц.
Новикова А.В.
Брянск 2012
Аннотация
В данной курсовой работе было проведено статистическое исследование рынка
транспортных услуг РФ. Основная цель работы - закрепление и углубление
теоретических знаний, практических умений и навыков, их применение для расчета
и анализа основных показателей рынка транспортных услуг, полученных в процессе
изучения статистики, а также развитие способности к обобщению результатов,
которые будут получены из имеющихся статистических данных.
Курсовая работа состоит из двух частей:
· первая часть посвящена изучению теоретических основ транспортных услуг:
виды и функции, показатели (грузооборот, пассажирооборот и др.) деятельности,
перспективы ее развития.
· во второй части произведен расчет и анализ основных
показателей транспортных услуг на основе изученных статистических приемов и
методов, таких как сводка и группировка, расчет абсолютных, относительных и
средних величин, расчет показателей динамики, выравнивание динамического ряда и
т.д.
Оглавление
Введение
Глава 1. Теоретические основы изучения рынка транспортных
услуг
.1 Формирование рынка транспортных услуг
.2 Структура, особенности рынка транспортных услуг
.3 Классификация, функции рынка транспортных услуг
.4 Проблемы и перспективы развития рынка транспортных услуг
Глава 2. Расчет и анализ показателей рынка транспортных услуг
РФ
2.1
Группировка
2.2 Расчет средних величин
.3 Относительные величины
2.4
Показатели вариации
.5
Ряды динамики
2.6 Выборочное наблюдение
.7 Индексный метод
2.8
Корреляционно-регрессионный анализ
Заключение
Список используемой литературы
Приложения
Введение
Для эффективного управления рынком транспортных услуг, принятия решений
по его дальнейшей организации необходимы данные, комплексно отражающие развитие
данной отрасли под действием различных внешних факторов. В условиях рыночной
экономики является важным достижение оптимального соотношения затрат к качеству
обслуживания потребителя услуг. Последнего привлекают минимальные сроки
доставки, максимальная сохранность груза, удобства по приему и сдаче грузов и
возможность получения достоверной информации о тарифах, условиях перевозки и
местоположения груза, и тогда он готов нести соответствующие затраты.
Деятельность транспорта должна основываться на потребностях клиента.
Потребителя не интересуют затраты предприятия транспорта на осуществление
обслуживания. С ужесточением требований потребителей к качеству товаров
потребности производителей в своевременной и надежной доставке все больше
повышаются [1, 264].
Актуальность данного исследования заключается в количественных
показателях, соответствующих раскрытию структуры рынка транспортных услуг. Так
как транспорт представляет собой не просто одну из отраслей хозяйства страны,
но и одно из наиболее существенных условий успешного функционирования всей
экономики, оказывающее активное воздействие на формирование территориальных
пропорций развития производства страны и регионов, то его изучение является
важной задачей для статистики.
Целью данной работы является проведение статистического анализа рынка
транспортных услуг в Российской Федерации, учитывая особенности его
формирования и функционирования. Для достижения поставленной цели работы надо
решить следующие задачи: изучить теоретическую сущность и систему показателей,
соответствующую данной теме; проанализировать соответствующие показатели
развития;- Объектами
учета в статистике рынка транспортных услуг являются перевозки пассажиров и
грузов различными видами транспортов.
На основе этого предметом исследования в данной работе являются такие
показатели деятельности транспорта, как пассажирооборот и грузооборот, густота
путей сообщения.
Глава 1.
Теоретические основы изучения рынка транспортных услуг
.1 Формирование рынка транспортных услуг
С позиций системного подхода транспорт представляет сложную адаптивную
экономическую систему, состоящую из взаимосвязанных в едином процессе
транспортного обслуживания региональных материальных и людских потоков. Можно
утверждать, что начиная с 1970-х годов происходит органическое срастание
грузового транспорта с производством и процессом распределения, превращение его
в звено единой системы "производство - транспорт-распределение -
сбыт". Россия находится на новом этапе своего развития - этапе становления
ее нового общественного устройства. Дальнейшее развитие РФ на этом этапе во
многом зависит от величины ее экономического потенциала.
По мере ослабления плановых начал возникла необходимость перехода
экономики страны к рыночным отношениям. Экономика России как материальная база
проводимого общественного переустройства представляет собой сложный комплекс
отраслей.
Одной из наиболее важных отраслей экономики России, где необходимо
применение инновационных методов в управлении, является транспорт.
Кардинально изменившаяся за последнее десятилетие структура внутренних и
внешних грузопотоков, постепенное преодоление последствий системного кризиса
90-х и выход на траекторию устойчивого экономического роста потребовали
уточнения приоритетов развития транспортной системы России и новой стратегии
повышения конкурентоспособности и эффективности транспортной отрасли.
В течение многих лет транспортная инфраструктура развивалась без должной
координации между отдельными видами транспорта и развитием производительных
сил, что вело к прямым потерям от реализации несвоевременных или неэффективных
проектов и не позволяло добиться системного эффекта в работе транспорта.
В первую очередь преимущественное развитие получает автомобильный
транспорт, т.к. именно он является связующим элементом между всеми остальными
видами транспортами и потребителями транспортных услуг. Кроме этого,
строительство транспортных артерий других видов транспорта невозможно без
участия автомобильного. Но автомобильный транспорт состоит как минимум из двух
технических элементов: дороги и автомобиля, развитие которых находится в
постоянном диалектическом единстве и взаимообусловленности. При этом, первичным
является автомобильная дорога.
Дорожное хозяйство также включается в транспортный комплекс.
Особенность заключается в том, что автомобильные дороги используются
транспортными, промышленными, строительными, сельскохозяйственными и другими
организациями, а также населением бесплатно. Их износ не включается в
себестоимость перевозок, а возмещается путем непосредственного финансирования
затрат на выполнение ремонтных работ на автодорогах по установленным налоговым
ставкам через дорожные фонды.
Поэтому в дорожном хозяйстве отсутствует прямая зависимость между
размером средств, направляемых на содержание, ремонт и строительство автомобильных
дорог, и мерой потребления дорог автомобильным транспортом, как это имеет место
в процессах воспроизводства в других отраслях народного хозяйства [2, 28].
Одним из первых мероприятий Министерства транспорта Российской Федерации
по формированию системы регулирования транспортной деятельности на территории
республик в условиях перехода к рынку стало создание Российской транспортной
инспекции (РТИ) - органа, призванного осуществлять лицензирование транспортных
и сервисных предприятий, входящих в транспортно-дорожный комплекс республики,
контролировать выполнение транспортного законодательства и требований,
налагаемых выданными лицензиями, а также осуществлять ряд других функций,
связанных с обеспечением нормального функционирования рынка транспортных услуг.
Первоначальной задачей подразделений РТИ было лицензирование транспортной
деятельности. При этом за процессом лицензирования не просматривались, да и не
могли просматриваться основные функции органов РТИ:
ограничение либо стимулирование притока транспорта в те или иные сектора
регионального рынка транспортных услуг;
определение дополнительных льгот и формирование особых условий для
предприятий и предпринимателей, осуществляющих социально значимые перевозки;
применение к транспортным предприятиям санкций при нарушении требования
лицензирования и др.
Транспортный комплекс состоит из большого количества взаимосвязанных
отраслей и представляет собой особую транспортную отрасль производства,
обладающую общностью законов развития, однородностью производственных процессов
и назначением создаваемой продукции.
А функционирование экономики Российской Федерации в рыночных условиях
выдвигает перед автомобильным транспортом ряд проблем по адаптации к рыночной
экономике. Характерными чертами функционирования автотранспорта в условиях
рыночной экономики являются такие объективные обстоятельства, как:
·
новые
экономические условия работы автомобильного транспорта и потребителей его
услуг,
·
формирование
рынка услуг транспорта,
·
усиление
конкуренции между предприятиями транспорта и различными видами транспорта.
Без учета требований рынка не может нормально развиваться ни одно
предприятие. Конечной целью любого предприятия транспорта, функционирующего в
условиях рынка, является получение прибыли на основе производства услуги,
необходимого потребителю.
До 90-х годов понятие услуга транспорта не использовалось в практике
планирования и организации работы автомобильного транспорта. Исключением
являлось такая сфера деятельности, как транспортно-экспедиционное обслуживание,
где это понятие является общепринятым.
Такой подход был обусловлен традиционным рассмотрением автомобильного
транспорта наравне с производственными отраслями. Услуги транспорта относятся к
услугам, завершающим и (или) предваряющим процесс материального производства.
Услуги транспорта определяются как подвид деятельности транспорта, направленный
на удовлетворение потребностей потребителей и характеризующийся наличием
необходимого технологического, финансового, информационного, правового и ресурсного
обеспечения. Под услугой, следовательно, подразумевается не только собственно
перевозка груза, но и любая операция, не входящая в состав перевозочного
процесса, но связанная с его подготовкой и осуществлением.
К услугам автомобильного транспорта относятся:
·
перевозка грузов,
почты;
·
услуги
погрузочно-разгрузочные (погрузка, выгрузка, перегрузка, внутри складские
операции);
·
услуги по
хранению грузов;
·
услуги по
подготовке к перевозке перевозочных средств;
·
предоставление
перевозочных средств на условиях аренды, проката;
·
услуги
транспортно-экспедиционные и дополнительные, выполняемые при перевозке грузов,
багажа и др. по обслуживанию предприятий, организаций, населения;
·
перегон новых и
отремонтированных перевозочных средств и т.п.
Удельный вес услуг транспорта по мере развития экономики, как правило,
возрастает либо стабилизируется. Подобная ситуация прослеживается практически
во всех странах. Таким образом, в условиях рынка качество определяется как тот
уровень потребительских свойств и надежности услуги, который нужен рынку
(потребителю) и который производители способны обеспечить по приемлемой цене. В
условиях рыночной экономики является важным достижение оптимального соотношения
затрат к качеству обслуживания потребителя услуг. Деятельность транспорта
должна основываться на потребностях клиента. Потребителя не интересуют затраты
предприятия транспорта на осуществление обслуживания [3, 341].
За последние два десятилетия прошлого века и начало нынешнего столетия
удельный вес расходов на транспорт в развитых странах существенных изменений не
претерпел. В абсолютном выражении расходы на транспорт продолжали
увеличиваться. Следовательно, качественных изменений в предпочтениях
потребителей в отношении транспорта в настоящее время не происходит - потребности
в услугах данного типа у реципиентов сложились на оптимальном уровне,
соответствующем высокой степени удовлетворения.
Развитие конкурентного рынка транспортных услуг потребует создания
условий для превышения уровня предложения высококачественных транспортных услуг
над спросом, а также обеспечения публичности и информационной открытости рынка
по ценам и качеству услуг. Это обеспечит потребителям возможность свободного
выбора транспортных услуг, заставит работать механизм "цена - качество",
сделает цену и качество предметом конкуренции. Такой механизм обеспечит
постоянное повышение производительности транспортных компаний, что будет
способствовать их самоокупаемости. Механизм "цена - качество"
позволит стимулировать исследование участниками рынка спроса на различные
категории услуг и проводить анализ уровня конкурентов, повышать качество
предоставляемых транспортных услуг, находить оптимальный баланс между их ценой
и качеством. Все это создает условия для дальнейшего повышения эффективности
работы и роста конкурентоспособности национальных транспортных компаний и
российской транспортной системы в целом.
Государственная политика формирования конкурентного рынка транспортных
услуг предусматривает административные и экономические методы.
Административные методы должны обеспечивать регулирование деятельности
естественных монополий, доступа владельцев транспортных средств, а также
экспедиторов и перевозчиков к профессиональной деятельности с использованием
механизмов лицензирования или декларирования (уведомление об обязательствах
участника рынка).
Экономические методы формирования конкурентного рынка транспортных услуг
предусматривают реализацию механизмов налоговой, тарифной и инвестиционной
политики.
Экономические методы должны стимулировать создание экспедиторско-перевозочных
и транспортных фирм всех видов и уровней в области грузовых и пассажирских
перевозок, которые могли бы обеспечить конкурентоспособные транспортные услуги
в области грузовых и пассажирских перевозок. В частности, целесообразно рассмотреть
механизм стимулирования создания достаточно крупных транспортных компаний,
способных инвестировать средства в освоение высокоэффективных транспортных
технологий и современные транспортные средства. Необходимо обеспечить
государственную поддержку повышения конкурентоспособности национальных
транспортных компаний.
В условиях быстро увеличивающихся межстрановых товаропотоков и
перемещения людей резко возрастает значение всех видов транспорта. Торговля
транспортными услугами охватывает практически все страны и является одним из
катализаторов происходящей глобализации. Совершенствование транспортной
инфраструктуры и уменьшение расходов на перевозки под влиянием НТП позволяет
интенсифицировать торгово-экономическое сотрудничество между географически
отдаленными регионами, ведет к снижению издержек пространственной организации
международных хозяйственных систем. В процессе углубления интеграции России в
мировую экономику нельзя недооценивать роль отечественного транспорта.
Транспортная отрасль имеет исключительно важное значение для развития
экономики и внешнеэкономических связей нашей страны. С одной стороны, транспорт
- это ключевой инфраструктурный компонент внешней торговли товарами, а с другой
- крупная и растущая статья торговли услугами, обеспечивающая около четверти
всего российского внешнеторгового оборота в сфере услуг. Россия обладает
благоприятными естественно-географическими условиями для наращивания
международных транспортных операций, что является важной предпосылкой для
получения значительного экономического эффекта от этих операций. Но они не
обеспечивают в полной мере международную конкурентоспособность российского
транспорта. Для укрепления позиций России на мировом рынке необходимы создание
современной транспортной инфраструктуры и коренная организационная перестройка
всей транспортной системы нашей страны.
Занимая центральную часть Евразийского континента, Россия объективно
играет роль геополитического моста в отношениях между странами Запада и
Востока. Ее одновременное присутствие в Европе и Азии влияет на содержание
экономических, политических, культурных процессов в данных частях света.
Занимая огромное пространство, имея выходы к морям, используя большую
территорию для международного транзита, а также обладая системой космической,
воздушной, морской навигации, Россия благодаря этому владеет и уникальными
возможностями участия в международной интеграции и воздействия на глобальные
процессы.
Транзит позволяет эффективно использовать резервы провозных возможностей
национальных транспортных систем, стимулирует их воспроизводство и
совершенствование. Как следствие этого - активно развивается транспортное
машиностроение и обеспечивающие его отрасли.
В общем случае использование национального трубопроводного транспорта,
электропередающих систем для транспортировки газа, нефтепродуктов и
электроэнергии из одной страны в другую через территорию Российской Федерации,
также является существенным элементом транзитного потенциала страны. Транзит
следует рассматривать не только как часть бизнеса вносящая свой вклад в ВВП, но
важный элемент международного позиционирования страны. Россия имеет свою нишу в
мировом транзитном бизнесе.
.2 Структура, особенности рынка транспортных услуг
Новые экономические условия расширили понятие «услуга транспорта».
Сегодня под транспортной услугой подразумевается не только собственно перевозка
грузов или пассажиров, а любая операция, не входящая в состав перевозочного
процесса, но связанная с его подготовкой и осуществлением.
К услугам транспорта относят:
· перевозку грузов и пассажиров;
· погрузочно-разгрузочные работы;
· хранение грузов;
· подготовку перевозочных средств;
· предоставление перевозочных средств на условиях аренды или
проката;
· перегон (доставку) новых и отремонтированных транспортных
средств;
· транспортно-экспедиционные услуги;
· прочие услуги.
В общих взаимосвязях транспорта с другими подсистемами народного
хозяйства особенно важно выявление сдвигов в видовой структуре транспорта и
видовой структуре перевозок. При изучении структурных сдвигов на самом
транспорте в видовом аспекте наиболее ощутима социально-пространственная роль
его автомобильной составляющей; именно автомобильный транспорт наиболее
приближен к повседневным потребностям и действиям людей.
Дело в том, что средства транспорта, ориентированные главным образом на
дальние магистральные связи и перевозки, обеспечивают в основном
ресурсно-производственную сферу функционирования общества. Под влиянием
автотранспорта меняются формы расселения, ежедневные передвижения населения.
Автотранспорт все в большей степени становится социально-техническим средством
самоорганизации населения и хозяйства.
В условиях перехода к рыночным отношениям и продолжающегося спада
производства важно понять, какие процессы структурообразующего характера
происходят в целом на транспорте, какова взаимосвязь автотранспортной
составляющей с народным хозяйством.
Под структурой транспорта понимается состав, количественные соотношения и
формы взаимосвязи отдельных отраслей и производств. Показателями отраслевой
структуры являются: число самостоятельных отраслей; соотношение всех видов
транспорта в общем объеме перевозок грузов всего транспортного комплекса;
удельный вес отраслей транспорта; доля пассажирского и грузового транспорта.
В практике планирования и учета отраслевая структура транспорта
определяется путем нахождения удельного веса отраслей в общем объеме
транспортного производства. Структура транспортного комплекса страны
формируется под воздействием многих факторов, важнейшими из которых являются:
1. научно-технический прогресс;
2. планируемые темпы развития всего
транспорта и отдельных его отраслей;
3. концентрация, специализация,
кооперирование и комбинирование производства;
4. рост материального благосостояния и
культурного уровня трудящихся;
5. общественно-исторические условия, в
которых идет развитие транспорта;
6. международное разделение труда;
7. укрепление позиций России на мировом
рынке.
Специализация транспорта выражается в расщеплении существующих отраслей и
создании новых производств, с однородной продукцией или услугой, а также в
разделении труда между предприятиями данной отрасли.
На заре существования ж/дорог, путевое развитие станций и перегонов,
локомотивный парк, а также в значительной степени обслуживающий персонал не
были специализированы по видам деятельности. Однако зачатки специализации в
некоторых звеньях транспорта имелись уже в тот период. Чем дальше развивался
ж/д транспорт, тем явственнее выступает специализация основных его элементов,
тем дольше идет эксплуатационно-техническая их дифференциация. С течением
времени ж/д транспорт в своей организации, технологии и техническом оснащении
все дальше и дальше отходит от своего первоначального состояния, специализация
все больше распространяется на еще не охваченные ей области транспорта. Если
выйти за пределы ж/д транспорта и посмотреть на транспортную систему в целом,
то внутри нее также все яснее становится специализация отдельных видов
транспорта, отчетливее разграничиваются сферы наиболее эффективного
использования ж/д, автомобильного, водного, воздушного и трубопроводного
транспорта.
Поскольку перевозочный процесс в очень редких случаях начинается и
заканчивается в пределах какого-либо одного вида транспорта, постольку в
транспортной системе одновременно со специализацией происходит кооперирование
деятельности разных видов транспорта.
За счет специализации транспортная система обретает большую
производительности, а за счет кооперирования - большую пластичность,
устойчивость в изменяющихся условиях и, следовательно большую экономичность.
Чередование принципиально разных фаз в развитии транспортной системы -
специализации и кооперирования - при отсутствии достаточно определенной
закономерности в продолжительности отдельных фаз по времени и глубине
происходящих изменений крайне затрудняет формализацию процессов развития
транспорта в целом и отдельных его частей [5,128-129].
Для использования в перевозках одного или сочетания нескольких видов
транспорта необходимо тщательно исследовать различные факторы, выявляющие как
преимущества какого-либо варианта транспортного обслуживания, так и
ограничивающие область взаимозаменяемости видов транспорта, где выбор варианта
основан на технико-экономических расчетах.
Таким образом, особенностями рынка транспортных услуг являются:
· невещественный характер транспортной продукции, как и всякой услуги
(невозможность накопить «про запас», совпадение процессов производства и
реализации и т. п.);
· пространственная разъединенность полигонов реализации
транспортных услуг, их не взаимозаменяемость, что ограничивает внутриотраслевую
(на одном виде транспорта) конкуренцию;
· всеобщность и массовость транспортного рынка в обществе, его
монополизм;
· роль железнодорожного транспорта на транспортном рынке в
значительной мере зависит от его универсальности, производительности,
размещения коммуникаций, уровня технической оснащенности, провозной и
пропускной способности, стоимости, удобства и безопасности перевозок. Эти
показатели характеризуют объем и качество предложений транспортных услуг;
· спрос же на них по грузовым перевозкам формируют общественно
необходимые потребности в материальном обмене. Соотношение спроса и предложения
на транспортные услуги по видам транспорта определяет уровень участия каждого
из них в работе транспортной системы и одновременно является стимулом их
развития.
.3 Классификация, функции рынка транспортных услуг
Существует различная классификация транспортных услуг. По признаку
взаимосвязи с основной деятельностью предприятий услуги бывают перевозочные
(т.е. включающие в том или ином виде элемент перевозки) и не перевозочные
услуги. По виду потребителя, которому предоставляется услуга, различают внешние
(предоставляемые нетранспортным предприятием) и внутренние (предоставляемые
другим предприятием транспорта). По характеру деятельности, связанной с
предоставлением определенной услуги, выделяют технологические, коммерческие,
информационные и т.д.
Научно обоснованная классификация отраслей транспорта имеет важное
значение для правильного планирования производства и обеспечения определенной
пропорциональности в его развитии. В основу классификации отраслей транспорта
положены следующие принципы:
·
экономическое
назначение предоставляемой услуги;
·
характер
функционирования продукции транспорта в процессе производства;
·
характер
воздействия на предмет труда и др.
Наиболее важным принципом классификации отраслей является экономическое
назначение предоставляемой услуги. В соответствии с этим весь транспорт делится
на внешний и внутренний.
Так как транспорт используется для осуществления не только внешних
перевозок, но и для внутренних перевозок, т.е. перевозок внутри производства,
то кроме транспорта общего пользования имеется в народном хозяйстве транспорт
внутрипроизводственный или ведомственный. Транспортный комплекс
Российской Федерации включает: автомобильный, морской, внутренний водный,
железнодорожный, авиационный и другие виды транспорта. У каждого вида
транспорта есть своя специфика в отношении его использования для перевозок
грузов.
В процессе материального производства транспорт удовлетворяет потребности
отраслей народного хозяйства в перевозках различного типа:
внутрипроизводственных, межотраслевых внутри региона, межрегиональных,
перевозках работников и т. д.
Виды транспорта подразделяются на водный (морской речной),
наземный (железнодорожный, автомобильный, трубопроводный) и воздушный. Все виды
транспорта, кроме трубопроводного, используются для перевозки грузов и
пассажиров. Эти виды транспорта относятся к традиционным. Нетрадиционные виды
транспорта включают в себя пульпопроводы (Навалочный груз измельчается и вместе
с водой перекачивается по трубам), пневмотранспорт, транспорт на магнитной
подушке.
Межрайонные и внутрирайонные перевозки грузов и пассажиров обуславливают
деление транспорта региона на магистральный и внутрирайонный [3,352].
Функции транспорта:
· Одна из основных функций - стимулирующая. Стимулирование
экономического роста реализуется посредством инвестиций в транспортный
комплекс.
· Дистрибутивная - обеспечение физического движения товарных
потоков в мировой экономической системе.
· Интеграционная функция транспорта реализуется посредством
формирования единой сети транспортных маршрутов.
· Выполняет также структурообразующую функцию - участвует в
формировании отраслевой структуры мирового производства и межотраслевых
пропорций.
· Социальная функция транспорта - предоставление равного
доступа всем членам общества к социально-экономической инфраструктуре через
повышение степени транспортной доступности.
Так называемая «единая транспортная система» России характеризуется
такими чертами, как:
) неравномерность развития различных видов транспорта;
) крайне неравномерное размещение транспортной сети по отдельным
регионам;
) слабая взаимозависимость и взаимодействие отдельных видов транспорта
при выполнении перевозок (грузов и пассажиров);
) высокий уровень монополизации рынка транспортных услуг в сочетании с
административным давлением на экономических агентов, что расчленяет единую
транспортную систему.
1.4 Проблемы и перспективы развития рынка транспортных услуг
Приоритеты транспортной политики должны строится на следующих принципах:
·
ускорение
включения России в существующую систему международного разделения труда путем
поощрения отраслей и предприятий, производящих реально и потенциально
конкурентоспособную на мировом рынке продукцию;
·
поощрение отраслей
и предприятий, приводящих к появлению на рынке принципиально новых товаров
(работ, услуг) и товаров с улучшенными потребительскими и эксплуатационными
характеристиками, позволяющими расширить позиции на существующих товарных
рынках и завоевать новые;
·
поощрение вывода
и конверсии мощностей, сокращение производства, ликвидации предприятий в
неперспективных отраслях на основе общегосударственных, отраслевых и
региональных программ;
·
гармонизация
государственных стандартов РФ с международными стандартами, и, прежде всего,
стандартами Европейского Союза;
·
совершенствование
нормативно-правовой базы транспортной политики;
·
регулирование цен
(тарифов) на продукцию (услугу) естественных монополий.
Важная роль отводится развитию инфраструктуры транспортного комплекса,
обеспечивающей повышение качества услуги.
Пропорциональность в развитии производства и транспорта - это
соответствие пропускных и провозных способностей транспортной системы региона
его потребности в перевозках грузов и пассажиров.
Особенности территориального размещения производства и потребления,
уровень специализации и комплексного развития хозяйства экономических районов
определяют особенности транспортно-экономических связей, их масштабы и
направление. Состав и последовательность обоснования развития и размещения
транспорта региона включает:
·
анализ
территориальной организации хозяйства с выявлением особенностей
производственного профиля экономического района, его места в межрайонном
разделении труда, сложившихся транспортно-экономических связей;
·
определение
межрайонных, внешнеторговых и внутрирайонных транспортно-экономических связей,
грузовых и пассажирских потоков на расчетный период;
·
распределение
перевозочной работы между видами транспорта с учетом технико-экономических
особенностей и сфер экономически целесообразного их использования в конкретных
условиях данного района;
·
сопоставимый
анализ размеров предстоящих перевозок и наличия провозной и пропускной
способности транспортных линий данного направления с выявлением избыточных по
сравнению с пропускной способностью грузопотоков;
·
технико-экономические
обоснования мероприятий по развитию и совершенствованию транспортной сети
региона в масштабах, обеспечивающих освоение ожидаемого прироста перевозок
грузов и пассажиров;
·
обоснование необходимых
затрат на развитие транспортной сети региона и их экономической эффективности.
Постановка проблемы принципов и форм функционирования сферы транспорта не
нова для научной экономической мысли. Формирование взглядов на транспорт как
обособленный, самостоятельно функционирующий сектор экономики впервые
отмечалось в работах К. Маркса. Впоследствии этим вопросам были посвящены также
многочисленные работы как отечественных, так и зарубежных экономистов - Е.А.
Жукова, А.И. Абрамова, М.В. Плешаковой, А.С. Дробышева, В.Б. Кондратьева, Л.Ф.
Суховой, В.Н. Филиной, Д. Дрю, М. Кларка, П. Холла, Х. Баума и др. Множество
публикаций было представлено аналитиками МВФ, ОЭСР, группы Всемирного банка.
Переход мировой экономики к постиндустриальному типу развития во многом
явился определяющим для современного состояния мирового транспорта. Предпосылки
для перехода на качественно иной уровень стали складываться во второй половине
ХХ в. Анализ динамики доли транспорта в структуре мирового ВВП и в структуре
мировой сферы услуг позволяет выделить некоторые закономерности в этапах
развития транспортного комплекса. Последнее десятилетие ХХ в. положило начало
заключительному этапу формирования современного международного транспортного
комплекса. Важнейшая черта данного этапа заключается в том, что значение
транспорта как инфраструктурной отрасли экономики дополнилось также выделением
транспорта в самостоятельную отрасль сферы услуг.
Реформирование моделей международной торговли также является объективным
условием развития транспорта. Новые модели заключаются в переходе к
межрегиональной и внутриблоковой торговле - к созданию наднациональных
интеграционных торговых блоков (АСЕАН, МЕРКОСУР, НАФТА, ЕС), внутри которых
осуществляется основной объем операций и соответственно перевозок. В настоящее
время в мировой экономике сформированы два региона, характеризующихся высокой
экономической эффективностью транспортных услуг - США и ЕС, и, исходя из
существующей динамики развития. В силу уже сформировавшихся структур
распределения производственных мощностей в развитых странах региональные
транспортные комплексы будут ориентироваться на построение единой мировой
транспортной системы с центрами управления и контроля в развитых странах. В
перспективе, с высокой долей вероятности, произойдет поглощение региональных
перевозчиков интеррегиональными, на международном транспортном рынке возникнут
транснациональные операторы, вследствие чего различия в эффективности
транспортных услуг по регионам только усилятся. Достижения научно-технического
прогресса, внедрение в массовом порядке инноваций характерны для всей сферы
услуг, в том числе и для транспортной отрасли. Новейшие технические средства и
технологии обеспечивают более эффективное функционирование всех видов
транспорта и управление транспортным процессом. Повышение наукоемкости
транспортных услуг, широкое внедрение информационных технологий и использование
достижений логистики приводят к модернизации всех звеньев современного
транспортного хозяйства мирового сообщества [4,28].
Основанием для разработки Транспортной стратегии Российской Федерации до
2020 года явилось Поручение Президента и Поручение Правительства от 7 апреля
2003 года. В декабре 2003 года проект Стратегии был рассмотрен и одобрен
Государственным Советом. В декабре 2003 и феврале 2004 года проект
рассматривался и в основном был одобрен Правительством Российской Федерации.
Кардинально изменившаяся за последнее десятилетие структура внутренних и
внешних грузопотоков, постепенное преодоление последствий системного кризиса
90-х годов и выход России на траекторию устойчивого экономического роста
потребовали уточнения приоритетов развития транспортной системы России и
конкретизации задач государства в области развития транспорта. Новая
Транспортная стратегия России - это концептуальный документ, определяющий
основные направления транспортной политики государства на период до 2020 года.
Выбор такого длительного горизонта планирования продиктован следующими
причинами:
. Последние 13-14 лет государственное управление в транспортной сфере
преимущественно было сосредоточено на решении задач текущего оперативного
плана, качественно новой системы планирования, основанной на выработке
государственных стратегических приоритетов на долгосрочную перспективу.
. Объекты транспорта, и особенно объекты транспортной инфраструктуры,
отличают исключительно высокая капиталоемкость, длительные сроки строительства
и окупаемости.
. Одной из важнейших задач представляемой Транспортной стратегии является
преодоление узкоотраслевого подхода к планированию и развитию транспортной
инфраструктуры и ориентация на достижение максимальных системных и
макроэкономических результатов.
. Сформировать высокоэффективную и современную транспортную систему будет
невозможно без активного привлечения частного капитала, его финансовых и
организационных ресурсов.
Отмечая необходимость бюджетного обеспечения, следует отметить, что
перспективная модель организации финансирования транспортного комплекса должна
ориентироваться на создание условий для повышения его инвестиционной
привлекательности.
В качестве особо перспективного направления привлечения внебюджетных
средств транспортная стратегия рассматривает реализацию проектов, основанных на
принципах и механизмах государственно-частного партнерства.
В России основной сферой применения государственно-частного партнерства
на транспорте должны стать строительство платных автомобильных дорог и морских
терминальных комплексов, реконструкция аэропортов, железнодорожное
строительство в районах освоения новых месторождений, создание сложных информационных
систем по управлению транспортными потоками и т.д.
На сегодня, безусловно, приоритетной задачей является разработка и
принятие необходимой нормативной правовой базы, обеспечивающей четкое
законодательное распределение прав. Следующей системной задачей является
повышение эффективности управления государственной собственностью, создание
условий, обеспечивающих нормальную хозяйственную деятельность транспортных
предприятий. В качестве стратегического приоритетного направления развития
транспортного комплекса определяется интеграция России в мировой рынок
транспортных услуг.
В условиях формирования новой модели развития мировой экономики транспорт
должен стать мощным и эффективным инструментом реализации национальных
интересов России, обеспечения достойного места страны в системе
мирохозяйственных связей, а экспорт транспортных услуг должен стать весомой
составляющей национального продукта Российской Федерации.
год для многочисленных рынков России начался тяжело: в первый же месяц
сократились поставки в страну самых разных товаров - от еды до автомобилей. По
данным ФТС, в январе объем импорта снизился на 35%, в феврале - уже на 37%.А
это не могло не вызвать дальнейшего снижения объемов грузоперевозок. И если за
последние 3 месяца 2008 года падение составило 16% с лишним, то за
январь-февраль 2009 года - более чем 30%.
У грузоперевозчиков, которые работают на международных маршрутах, к
проблеме с тотальным отсутствием заказов прибавляется еще и проблема с
удешевлением рубля. Все договоры, включая и лизинговые, у них оформлены в
валюте, а ее курс растет с каждым днем. Это означает, что регулярные платежи
нужно вносить в долларах или евро, каждый раз теряя на этом все больше и
больше. Таким образом, число компаний-перевозчиков в 2009 году может
сократиться на 20-30% [6,29-32].
Основными проблемами для транспорта являются: перегруженность основных
автомобильных магистралей и городских агломераций, слабая пропускная
способность инфраструктуры, высокая степень износа основного капитала на
транспорте и, как следствие, невосприимчивость к новым технологиям, в
частности, к контейнерным перевозкам, высокие техногенные нагрузки транспорта
на экологию и здоровье населения, недостаточно эффективная система
безопасности.
Проведенное РБК.research исследование "Рынок транспортно-логистических
услуг в 2010-2011 годах и прогноз до 2014 года" показало, что российский
рынок логистического аутсорсинга еще неустойчив, но последствия кризиса
преодолел.
В 2011-2014 году динамику рынка транспортных услуг будут сдерживать
неопределенная ситуация на мировом рынке товаров, снижение темпов роста
экономик с 2010 года в мире и в России и медленно восстанавливающийся в России
инвестиционный и потребительский спрос.
Основываясь на прогнозе развития экономики, предложенном
Минэкономразвития в базовом варианте, в 2011-2014 гг. аналитики предполагают
увеличение грузооборота транспорта общего пользования до 12%, хотя общую
динамику отрасли будет диктовать железнодорожный транспорт - его темпы роста
достигнут 4-4,5% в год. А в целом, с доходами от перевалки грузов в аэропортах
и морпортах, оборот транспортных услуг в стране к 2014 году составит более 72
млрд. долларов.
Учитывая динамику грузооборота и тарифы грузоперевозок, изменение спроса
и ставок аренды в сфере складских услуг, объем рынка транспортных и
логистических услуг в 2014 году по сравнению с 2010 может вырасти в 1,5 раза.
Глава 2. Расчет и анализ показателей рынка транспортных услуг
РФ
.1
Группировка
Группировка - разбиение единиц изучаемой статистической
совокупности на группы в зависимости от значений исследуемого признака или
объединение отдельных единиц совокупности в группы, однородные по каким-либо
признакам. Признак, на основании значений которого формируются подмножества
исходной совокупности, называется группировочным, или основанием группировки.
Он может быть количественным (дискретным или интервальным) и атрибутивным. Для
решения этих задач применяют три вида группировок (соответственно):
типологическую, структурную и аналитическую.
Типологическая группировка - разделение качественно разнородной
совокупности на качественно однородные группы (классы, типы), при этом под
однородностью понимается подчинение всех единиц совокупности одному закону
развития в отношении рассматриваемого свойства.
Структурной называется группировка, позволяющая разделить однородную
совокупность на группы, характеризующие структуру исследуемой совокупности по
какому-либо варьирующему признаку. Аналитическая - группировка, производимая с
целью выявления взаимосвязи признаков, характеризующих одну статистическую
совокупность.
По числу группировочных признаков различают простые группировки (один
признак) и сложные (два или более признаков). Сложные группировки, в свою
очередь, бывают комбинированными (два - четыре признака) и многомерными.
Многомерная группировка, или многомерная классификация, основана на
измерении сходства или различия между объектами: единицы, отнесенные к одной
группе, различаются между собой меньше, чем единицы, отнесенные к различным
группам.
На основании данных Приложения 1 приведём имеющиеся данные в систему по
интересующему нас признаку. В качестве изучаемого признака возьмём, например,
величину грузооборота транспорта РФ и построим по нему ряд распределения
(таблица 1).
) Определение числа групп определяется по формуле:
где
n- число
групп,
N - число единиц совокупности;
Определение
числа групп тесно связано с понятием величина интервала: чем больше число
групп, тем меньше величина интервала, и наоборот. Интервал - разница
между максимальным и минимальным значениями признака в каждой группе. Каждый
интервал имеет нижнюю (наименьшее значение признака) и верхнюю (наибольшее
значение признака) границы или одну из них. Поэтому величина интервала есть
разность между верхней и нижней границами интервала. Если у интервала указана
лишь одна граница (у первого - верхняя, у последнего - нижняя), то речь идет об
открытых интервалах. Если у интервала имеются и нижняя, и верхняя
границы, то речь идет о закрытых интервалах.
2)
Величина интервала определяется по формуле:
,
где
xmax и xmin - максимальное и минимальное значение признаков в
совокупности, n - число групп.
Далее
образуем группы, отстающие друг от друга на величину грузооборота равную 170
млрд.т.* км:
Таблица
1. Группировка по величине грузооборота (млрд. т*км)
|
№
|
Размер грузооборота, млрд.
т*км
|
Количество лет, входящих в
группу
|
|
|
Абсолютное
|
в % к итогу
|
|
1
|
4446-4616
|
1
|
16,67
|
|
2
|
4616-4786
|
1
|
16,67
|
|
3
|
4786-4948
|
4
|
66,66
|
|
Итого:
|
6
|
100
|
Результаты группировки представим графически (см. рис. 1)
Рис. 1. Группировка по величине грузооборота транспорта РФ на период с
2006 г. по 2011 г.
Проанализировав данные таблицы 1, можно сделать вывод о том, что
наибольшее количество лет входит в группу №3, размер грузооборота которой
составляет не более 4948 млрд. т.*км. Доля этой группы составляет 66,66% от
общего числа групп.
2.2 Расчет средних величин
Средние величины используются на этапе обработки и обобщения полученных
первичных статистических данных. Чтобы определить значение признака,
характерное для всей изучаемой совокупности единиц, прибегают к расчету средних
величин.
Средняя величина - обобщающий показатель, характеризующий типичный
уровень явления в конкретных условиях места и времени, отражающий величину
варьирующего признака в расчете на единицу качественно однородной совокупности.
Средние величины бывают:
· Степенные средние: арифметическая, гармоническая, геометрическая,
квадратическая, кубическая. В зависимости от характера исходных данных могут
использоваться простые и взвешенные средние (если данные несгруппированные -
простая, сгруппированные - взвешенная);
· Структурные средние (мода и медиана).
Рассчитаем степенные средние, так как исходные данные являются не
сгруппированными, то в расчетах будут применяться формулы простых средних.
Средняя арифметическая простая
,
где
x -
значение усредняемого признака (варианта), n - число единиц изучаемой
совокупности.
На
основе данных приложения 2 рассчитаем средний пассажирооборот за период
с 2006 до 2010 года:
Средняя геометрическая простая
Чаще всего средняя геометрическая находит свое
применение при определении средних темпов роста (средних коэффициентов роста),
когда индивидуальные значения признака представлены в виде относительных
величин. Для расчета средней геометрической применяют следующую формулу:
На основе данных приложения 1 рассчитаем
сначала темп роста грузооборота полученные результаты представим в виде
таблицы:
Таблица 2. Грузооборот продукции за период с 2006 по
2011 гг.
|
№п.п.
|
год
|
грузооборот, млрд. т*км
|
темп роста
|
|
1
|
2006
|
4800
|
|
|
2
|
2007
|
4915
|
1,024
|
|
3
|
2008
|
4948
|
1,007
|
|
4
|
2009
|
4446
|
0,90
|
|
5
|
2010
|
4752
|
1,067
|
|
6
|
2011
|
4915
|
1,034
|
На основе данных таблицы 2 рассчитаем среднюю
геометрическую простую:
За
период с 2006 по 2011 год грузооборот в среднем увеличился в 1,0047 раза, или
на 0,47%
Медиана
и мода
Для
определения структуры совокупности используют особые средние показатели, к
которым относятся медиана и мода, или так называемые структурные средние.
Структурные
средние - вспомогательные характеристики изучаемой совокупности. Мода и медиана
считаются типичными характеристиками только однородной совокупности с большим
количеством единиц.
Мода
(Мо) - числовое значение признака, которое наиболее часто
встречается у единиц совокупности. Мода для интервальных рядов определяется по
формуле:
,
где: xМо - нижняя граница модального интервала;
iМо - величина модального интервала;m - частота модального интервала;m-1 - частота интервала, предшествующего
модальному;m+1 - частота интервала, следующего за
модальным.
На основе данных табл. 1 рассчитаем моду для размера грузооборота:
Таким образом, у наибольшего количества лет данной совокупности размер
грузооборота составляет 4858,85 млрд. т*км.
Медиана - это величина признака, которая делит упорядоченную
последовательность его значений на две равные по численности части. Для
интервального ряда распределения медиана рассчитывается по формуле:
,
- верхняя
граница предмедианного интервала
-
величина медианного интервала
-
полусумма накопленных частот
- сумма
частот, накопленных до начала медианного интервала
- число
наблюдений в медианном интервале.
На
основе данных табл.1 построим вспомогательную таблицу, по которой рассчитаем
медиану для интервального ряда:
Таблица
3. Вспомогательная таблица для расчета медианы
|
№
|
Размер грузооборота,
млрд.т*км
|
количество лет
|
Сумма накопленных частот
|
|
1
|
4446-4616
|
1
|
1
|
|
2
|
4616-4786
|
1
|
2
|
|
3
|
4786-4948
|
4
|
6
|
Следовательно,
при размере грузооборота в 4828,5 млрд. т*км вся совокупность разделяется на
две равные части.
.3
Относительные величины
Сопоставление статистических данных осуществляется при помощи
относительных величин.
Относительные величины - это соотношение двух сопоставимых абсолютных
величин. При этом числитель называется сравниваемой величиной, а знаменатель
базой относительного сравнения. В соответствии с различными задачами и
направлениями сопоставления статистических данных применяются различные виды
относительных величин.
Относительная величина структуры
Относительная величина структуры (удельного веса) характеризует долю
отдельных частей в общем объеме совокупности, ее рассчитывают как отношение
числа единиц (или объема признака) к общей численности единиц (или объему
признака) по всей совокупности.
Расчет
относительных величин структуры за несколько периодов позволяет выявить
структурные сдвиги.
На
основе данных Приложения 2 рассчитаем долю воздушного транспорта в общем
объеме пассажирооборота за период с 2005 по 2010 год:
;
;
;
;
;
;
Относительная
величина координации
Относительная
величина координации характеризует соотношение между двумя частями одного
целого, то есть показывает, сколько единиц одной группы приходится в среднем на
одну единицу другой группы изучаемой совокупности.
На
основе данных Приложения3 рассчитаем соотношение перевозок, совершенных морским
транспортом и железнодорожным за период с 2005 по 2010 год:
;
;
Следовательно,
в 2005 году на один млн. тонн груза, перевезенного железнодорожным транспортом
приходиться 0,020 млн.тонн груза, перевезенного морским транспортом; в 2006-
0,019; в 2007- 0,021; в 2008- 0,005; в 2009- 0,033; в 2010- 0,028.
Относительная
величина динамики
Относительная
величина динамики характеризует изменение явления во времени и показывает, во
сколько раз увеличился (или уменьшился) уровень показателя по сравнению с каким-либо
предшествующим периодом. В результате такого сравнения получаем коэффициент
роста. Коэффициент роста можно рассчитать с постоянной и переменной базой
сравнения. Коэффициенты роста с постоянной базой сравнения получают путем
сопоставления уровня явления каждого периода с уровнем явления, принятом за
базу сравнения.
;
,
где
у0 - постоянная база сравнения.
На
основе данных Приложения 4 рассчитаем коэффициенты роста с постоянной базой
сравнения перевозки грузов морским транспортом,(за постоянную базу сравнения
примем перевозки нефтяных грузов в 2000 году):
;
;
;
;
;
Следовательно,
перевозки увеличивались, начиная с 2009 года: в году они увеличились на 5,6%, в
2010 на 4,5%. В период с 2005-2008 года объем перевозок снизился: в 2005 на
27%, в 2006 на 28,2%, в 2007 на 20,6%, в 2008 на 0,6%.
Коэффициент
роста с переменной базой сравнения получают при сравнении уровня явления
каждого явления с уровнем явления предшествующего периода:
;
;
На
основе данных Приложения 4 произведем расчет коэффициентов роста с переменной
базой сравнения:
;
;
;
;
;
Таким
образом, в 2005 году перевозки уменьшились в 0,73 раза по сравнению с 2000
годом; в 2006 году уменьшились в 0,978 раза по сравнению с 2005 годом; в 2007
году увеличились в 1,106 раза по сравнению с 2006 годом; в 2008 году
увеличились в 1,293 раза по сравнению с 2007 годом; 2009 году перевозки морских
грузов увеличились в 1,0625 раза по сравнению с 2008 годом; в 2010 году
уменьшились в 0,989 раза по сравнению с 2009 годом.
Относительная
величина сравнения
Относительной
величиной сравнения называют показатели, представляющие собой частные от
деления одноименных абсолютных статистических величин, характеризующих разные
объекты и относящихся к одному и тому же периоду времени. Рассчитывая
относительные величины сравнения, следует обращать внимание на сопоставимость
сравниваемых показателей с позиции методологии их исчисления, поскольку по
целому ряду показателей методы их исчисления в разных странах или в разные
периоды времени неодинаковы.
На
основе данных приведенных в Приложении 5 рассчитаем относительную
величину сравнения по числу собственных легковых автомобилей на 1 000 человек
населения для Брянской, Воронежской, Калужской,, Московской областей.

Таким
образом, на 100 собственных легковых автомобилей Брянской области приходиться
186 автомобилей Калужской, 183 автомобиля Курской и 234 Московской.
2.4
Показатели вариации
Для исследования колеблемости средней величины в статистике возникла
необходимость изучения признаков вариации и её изменений.
Вариация - это несовпадение уровней одного и того же показателя у разных
объектов. Задачами исследования вариации в статистике являются:
ü Выявление изменчивости размеров явления дает возможность
оценить степень зависимости изучаемого явления от других факторов или оценить
степень устойчивости явления внешним воздействиям;
ü Вариация предполагает оценку однородности изучаемого явления,
то есть меру типичности рассчитанной для этого явления статистической величины;
ü Возможность оценивать вариативность определенного признака
делает статистические методы особенно актуальными в условиях современной
экономики.
Для измерения вариации признака используют как абсолютные (размах
вариации, среднее линейное отклонение, среднее квадратическое отклонение и
дисперсия), так и относительные (коэффициент вариации и коэффициент осцилляции)
показатели.
Среднее линейное отклонение представляет собой среднюю арифметическую
абсолютных значений отклонений отдельных вариантов от их средней
арифметической. Для дискретных рядов рассчитывается по формуле:
,
где
- значение
признака,
- среднее
значение признака,
- число
вариантов.
На
основе данных Приложения 6 построим вспомогательную таблицу по 2009
году, по которой рассчитаем среднее значение признака.
Таблица
4. Перевозки отдельных грузов железнодорожным транспортом
|
Наименование груза
|
Перевозки по 2009 году,
млн. тонн
|
|
Каменный уголь
|
275,4
|
|
Кокс
|
10,5
|
|
Нефтяные грузы
|
228,0
|
|
Руда железная и марганцевая
|
95,4
|
|
Руда цветная и серное сырье
|
23,4
|
|
Черные металлы (включая
лом)
|
81,3
|
|
Химические и минеральные
удобрения
|
39,1
|
|
Строительные грузы
|
128,2
|
|
Цемент
|
29,2
|
|
Лесные грузы
|
40,6
|
|
Зерно и продукты перемола
|
22,6
|
|
Комбикорма
|
1,0
|
Затем
определим отклонение от среднего (
),
результаты расчетов также внесем в Таблицу 5:
Таблица
5. Расчетная таблица
|
№
|
х
|
(x-x)
|
(x-x)2
|
|
1
|
275,4
|
215,37
|
46384,2369
|
|
2
|
10,5
|
69,03
|
4765,1409
|
|
3
|
228,0
|
150,87
|
22761,7569
|
|
4
|
95,4
|
21,07
|
443,9449
|
|
5
|
23,4
|
56,43
|
3184,3449
|
|
6
|
81,3
|
22,35
|
499,5225
|
|
7
|
39,1
|
39,13
|
1531,1569
|
|
8
|
128,2
|
115,87
|
13425,8569
|
|
9
|
29,2
|
45,23
|
2045,7529
|
|
10
|
40,6
|
25,83
|
667,1889
|
|
11
|
22,6
|
57,13
|
3263,8369
|
|
12
|
1,0
|
79,83
|
6372,8289
|
|
итого:
|
974,7
|
898,14
|
806655,45
|
Среднее
квадратическое отклонение и дисперсия
Среднее
квадратическое отклонение - обобщающая характеристика размеров вариации в
совокупности. Для дискретных рядов рассчитывается по следующей формуле:
Дисперсия
представляет собой среднее квадратическое отклонение в квадрате:
Размах
вариации
Размах
вариации показывает, насколько велико различие между единицами совокупности,
имеющими самое маленькое и самое большое значение. Его определяют по следующей
формуле:
,
где
и
-
максимальное и минимальное значение признака.
На
основе данных таблицы 4 рассчитаем размах вариации:
Коэффициент
вариации
Коэффициент
вариации показывает отклонение среднего квадратического отклонения от среднего
значения признака:
Данная
совокупность неоднородна, так как коэффициент вариации превышает 33%.
Коэффициент
осцилляции
Коэффициент
осцилляции показывает отклонение размаха вариации от среднего значения
признака:
.5 Ряды
динамики
транспортный услуга статистический грузооборот
Ряд динамики - последовательность одноименных показателей, расположенных
в хронологическом порядке и характеризующих развитие изучаемого явления. Анализ
рядов позволяет выявить тенденции и закономерности социально-экономического
развития.
В каждом ряду динамики имеются два основных элемента: конкретное значение
показателя (уровень ряда) и время.
Уровни ряда - это показатели, числовые значения которых составляют
динамический ряд.
Время - это моменты или периоды, к которым относятся уровни.
Выделяют следующие виды рядов динамики:
Моментный ряд - ряд, состоящий из последовательности уровней, отражающих
фактическое состояние изучаемого явления в конкретный момент времени.
Интервальным называется ряд, в котором уровни характеризуют результат,
накопленный или вновь произведенный за определенный интервал времени. Сумма
уровней таких рядов выражает общий объем явления, относящегося к более
длительным периодам. По расстоянию между датами или интервалами времени
выделяют полные и неполные хронологические ряды.
Аналитические показатели ряда динамики характеризуют изменение уровней
ряда в отчетном периоде по сравнению с предыдущим. В случае, когда сравнение
проводится с периодом (моментом) времени, начальным в ряду динамики, получают базисные
показатели (с постоянной базой сравнения). Если же сравнение производится с
периодом или моментом времени, непосредственно предшествующим отчетному, то
говорят о цепных показателях (с переменной базой сравнения).
Абсолютное изменение уровней ряда
Абсолютное изменение (прирост или уменьшение) уровней ряда показывает, на
сколько единиц изменился данный уровень по сравнению с первым (базисный
прирост) или предшествующим (цепной прирост):
;
,
где:
yi - уровень сравниваемого периода;0 -
уровень базисного периода;i-1 - уровень предшествующего
периода.
Коэффициент
и темп роста
Коэффициент
роста определяется как отношение данного уровня к предыдущему или базисному,
показывает относительную скорость изменения ряда. Если коэффициент роста
выражается в процентах, то его называют темпом роста.
;
;
;
Темп
прироста
Темп
прироста определяется как отношение абсолютного прироста данного уровня к
предыдущему или базисному.
Темп
прироста базисный
Темп
прироста цепной
Абсолютное значение 1% прироста. Этот показатель служит косвенной мерой
базисного уровня. Представляет собой одну сотую часть базисного уровня, но
одновременно представляет собой и отношение абсолютного прироста к
соответствующему темпу роста:
;
На
основе данных Приложения 2 рассчитаем аналитические показатели динамики
пассажирооборота по троллейбусному транспорту. Данные представим в таблице
6.
По данным таблицы 6 об абсолютном приросте, можно сделать
вывод, что в 2010 году по сравнению с 2009 годом пассажирооборот уменьшился на
0,8млрд.пассажиро-километров.
Средние показатели ряда динамики
Средние показатели ряда динамики характеризуют общую тенденцию динамики
явления или процесса на протяжении длительного интервала. Исчисляются с целью
выявления закономерностей развития социально-экономических явлений. К средним
показателям относятся: средний уровень ряда, средний абсолютный прирост,
средний темп роста, средний темп прироста, среднее абсолютное значение 1%
прироста. На основе данных таблицы 6 рассчитаем средние показатели ряда
динамики:
Таблица 6. Аналитические показатели ряда динамики
|
Годы
|
Пассажирооборот, млрд.
пассажиро-километров
|
Абсолютный прирост
|
коэффициент роста
|
Темп роста, %
|
Темп прироста, %
|
абсолютное значение 1%
|
|
|
|
б.
|
ц.
|
б.
|
ц.
|
б.
|
ц.
|
б.
|
ц.
|
б.
|
ц.
|
|
2005
|
23,8
|
-
|
-
|
-
|
-
|
-
|
-
|
-
|
-
|
-
|
-
|
|
2006
|
21,4
|
-2,6
|
-2,6
|
0,824
|
0,827
|
82,7
|
82,7
|
-17,3
|
-17,3
|
0,150
|
0,150
|
|
2007
|
15
|
-5,2
|
-2,6
|
0,653
|
0,79
|
65,3
|
79
|
-34,7
|
-21
|
0,1498
|
0,124
|
|
2008
|
12,4
|
-6
|
-0,8
|
0,6
|
0,918
|
60
|
91,8
|
-40
|
-8,2
|
0,15
|
0,098
|
|
2009
|
9,8
|
-7,1
|
-1,1
|
0,527
|
0,878
|
52,7
|
87,8
|
-47,3
|
-12,2
|
0,150
|
0,090
|
|
2010
|
9
|
-7,9
|
-0,8
|
0,473
|
0,879
|
47,3
|
87,9
|
-52,7
|
-12,1
|
0,1499
|
0,066
|
Средний абсолютный прирост определяется путем распределения суммарного
объема изменения признака поровну между промежутками времени:
Средний
коэффициент роста рассчитывается по следующей формуле:
Средний
темп роста является обобщающей характеристикой ряда динамики:
Средний
темп прироста:
Средний уровень ряда - это показатель, обобщающий итоги развития явления
за единичный интервал или момент времени. т. к. рассматриваемый динамический
ряд является интервальным с равными интервалами, поэтому будем использовать
среднюю арифметическую простую:
Метод
аналитического выравнивания
В
ходе обработки динамического ряда для статистики важнейшей задачей является
выявление основной тенденции развития явления (тренда) и сглаживание случайных
колебаний.
Основная
тенденция развития (тренд) - это плавное и устойчивое изменение уровня явления
во времени свободное от случайных колебаний. Тренд можно представить
аналитически (в виде уравнения) и графически.
Для
выявления тренда используются следующие методы:
1. Метод укрупнения интервалов;
2. Метод скользящей средней;
. Метод аналитического выравнивания.
Рассмотрим подробнее применение метода аналитического выравнивания для
выявления тренда в динамическом ряду.
При применении данного метода используется уравнение функции времени,
которое имеет следующий вид:
Выбор
модели зависит от цели исследования.
Уравнение
прямой линии (тренда) выражено формулой:
,
где
a 0 и a1 - параметры уравнения,
t - условные
показатели времени (дни, месяцы, годы и т.д.)
Линейная
зависимость выбирается в том случае, когда в исходном ряду наблюдается
постоянные абсолютные приросты.
Для
нахождения параметров a0 и a1 необходимо решить систему уравнений:
где yi - фактические уровни ряда;
t -
порядковый номер периода;
n -
общее число уровней ряда динамики.
Рассмотрим применение метода на основе данных Приложения 8 о густоте
автомобильных дорог общего пользования. Для определения формы тренда и расчета
его параметров составим расчетную таблицу 7:
Таблица 7. Расчетная таблица для построения линии тренда
|
год
|
Густота автомобильных дорог
(км путей на 1000кв. Км территории
|
t
|
t2
|
yt
|
yt
|
yi-yt
|
(yi-yt)2
|
|
2002
|
241
|
-4
|
16
|
-964
|
236,91
|
4,09
|
16,73
|
|
2003
|
242
|
-3
|
9
|
-726
|
236,63
|
5,37
|
28,84
|
|
2004
|
236
|
-2
|
4
|
-472
|
236,35
|
-0,35
|
0,1225
|
|
2005
|
230
|
-1
|
1
|
-230
|
236,06
|
-6,06
|
36,72
|
|
2006
|
233
|
0
|
0
|
0
|
235,78
|
-2,78
|
7,73
|
|
2007
|
235
|
1
|
1
|
235
|
235,49
|
-0,49
|
0,24
|
|
2008
|
217
|
2
|
4
|
434
|
235,21
|
-18,21
|
331,60
|
|
2009
|
246
|
3
|
9
|
738
|
234,93
|
11,07
|
122,54
|
|
2010
|
242
|
4
|
16
|
968
|
234,65
|
7,35
|
54,02
|
|
итого:
|
2122
|
0
|
-17
|
2122
|
-0,01
|
598,60
|
Из системы уравнений, указанной выше, рассчитаем параметры a 0 и a1:
Затем
подставляем полученные параметры в уравнение прямой и находим yt.
Следовательно,
уравнение линии тренда имеет общий вид:
Найдем
выровненные значения интервального ряда, подставив значения t. Исходные данные о густоте автомобильных дорог общего
пользования и полученную линию тренда представим графически (см. рис.2):
Рис.
2. Густота автомобильных дорог общего пользования на период с 2002 г. по 2010
г.
Линия
тренда отображает увеличение густоты автомобильных дорог общего пользования,
приходящееся на период с 2000 по 2008 год.
.6
Выборочное наблюдение
Выборочное
наблюдение - это такое несплошное наблюдение, при котором отбор подлежащих
обследованию единиц осуществляется в случайном исходную совокупность.
Наблюдение организуется таким образом, что эта часть отобранных единиц в
уменьшенном масштабе репрезентирует всю совокупность.
Проведем
выборочное наблюдение на основе данных, представленных в Приложении 5 о
количестве собственных легковых автомобилей на 1 000 человек населения по
субъектам РФ.
Совокупность,
из которой производится отбор, называется генеральной (N), а
совокупность отобранных единиц именуют выборочной совокупностью (n).
Проведем наблюдение по Брянской, Курской, Архангельской, Псковской,
Волгоградской, Ростовской, Курганской, Тюменской, Томской, Омской, Амурской
областям и Республике Марий Эл, N=83, а n=12. Значит доля выборки
В
качестве интересующего признака обозначим наличие в данных субъектах личных
легковых автомобилей в количестве от 200 и выше на 1 000 человек населения. к
таковым субъектам относятся 10. Значит,
Так
как известно N, то выборка будет бесповторной. Основная задача
выборочного наблюдения в экономике состоит в том, чтобы на основе характеристик
выборочной совокупности получить достоверные суждения о показателях средней и
доли в генеральной совокупности. При любых статистических исследованиях
возникают ошибки двух видов:
ü регистрации;
ü репрезентативности
Для характеристики надежности выборки и ее показателей используют:
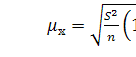
1) Среднюю ошибку выборки
2) Предельную.
Произведем расчет средней ошибки простой случайной выборки для средней и
доли.
,
Для
доли средняя ошибка простой случайной выборки находится по формуле:
Выборочные
средние относительные величины распространяются на генеральную совокупность с
учетом предела и их возможной ошибки. Зададим вероятность ошибки равную 0,683 (t=1).
Рассчитаем предельную ошибку для средней и доли соответственно.
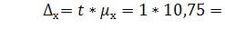
Предельная
ошибка выборки позволяет определить предельные значения характеристик
генеральной совокупности и их доверительные интервалы. Для средней они будут
находиться по следующей формуле:
По
приведенному расчету можно сделать вывод о том, что при заданной вероятности мы
можем утверждать, что среднее число легковых автомобилей на 1 000 человек
населения находиться в интервале
Теперь
найдем для доли:
Таким
образом, при заданной вероятности можно утверждать, что доля субъектов с
интересующим нас признаком (количеством собственных легковых автомобилей более
200 на 1 000 человек населения) находится в интервале от 73% до 93%.
.7
Индексный метод
Индексами
называют сравнительные относительные величины, которые характеризуют изменение
сложных социально-экономических показателей (показатели, состоящие из
несуммируемых элементов) во времени, в пространстве или другим критериям.
Классификация индексов проводится по трем признакам:
1) По характеру изучаемых объектов - индексы количественных и
качественных показателей.
2) По степени охвата элементов явления индексы делят на индивидуальные и
общие (сводные). Индивидуальные индексы (i) - это индексы, которые
характеризуют изменение только одного элемента совокупности. Общий (сводный)
индекс (I) характеризует изменение по всей совокупности элементов сложного
явления. Если индексы охватывают только часть явления, то их называют групповыми.
) По методам расчета сводных индексов - агрегатные, в которых различают
индексы постоянного и переменного состава, индексы с переменным сдвигом;
средние индивидуальные (средние арифметические и др.)
Основным индексом, используемым в статистике рынка транспортных услуг
являются индексы физического объема.
По имеющимся данным в Приложении 3 рассчитаем индивидуальный индекс физического
объема по грузообороту автомобильного транспорта с 2006 по 2010 год.
Важное значение для исчисления индексов имеет выбор периода, по сравнению
с которым исследуется изменение изучаемого явления. Существует 2 способа
исчисления индекса - базисный и цепной.
Базисный индивидуальный индекс показывает во сколько раз увеличился или
уменьшился грузооборот автомобильного транспорта в отчетном периоде по
сравнению с базисным и рассчитывается по формуле (за базу возьмем 2005 год):
;
;
;
;
.
Таким
образом, грузооборот транспорта увеличивался по сравнению с 2005 годом: в 2006
году в 1,0102 раза; в 2007 году в 1,026 раза; в 2008 году в 1,031 раза; в 2009
году грузооборот уменьшился в 0,783 раза, а в 2010 году в 0,783 раза.
Цепной
индивидуальный индекс показывает во сколько раз увеличился или уменьшился
грузооборот в отчетном периоде по сравнению с предыдущим периодом и имеет
следующую формулу для расчета:
;
;
;
;
.
Следовательно,
грузооборот автомобильного транспорта увеличивался: в 2006г. в 1,0102 раза по
сравнению с 2005 годом; в 2007г. в 1,015 раза по сравнению с 2006 годом; в 2008
г. в 1,005 раза по сравнению с 2007 годом; в 2009 г.уменьшился в 0,760 раза по
сравнению с 2008 годом, а в 2010г. в 0,999 раза по сравнению с 2007 годом.
.8
Корреляционно-регрессионный анализ
Важнейшей целью статистики является изучение объективно существующих связей
между явлениями. В ходе статистического исследования этих связей необходимо
выявить причинно-следственные зависимости между показателями, т.е. насколько
изменение одних показателей зависит от изменения других показателей. В
статистике выделяют следующие основные виды связей:
) Функциональная (полная связь) - это связь, в которой величина
факторного признака строго соответствует одному или нескольким значениям
функции.
) Корреляционная (неполная) связь проявляется в среднем для массовых
явлений, когда заданным значениям зависимой переменной соответствует некоторый
ряд вероятных значений независимой переменной.
В статистике при изучении взаимосвязей чаще всего применяется метод
парной корреляции, которая представляет собой однофакторный корреляционный и
последующий регрессионный анализ.
На основе данных Приложения 7 проведем анализ связи между общей
транспортировкой грузов трубопроводом (Х) и транспортировкой нефти(Y). Произведем вспомогательные расчеты
в таблице 8.
Таблица 8. Вспомогательные расчеты по корреляционно-регрессионному
анализу
|
Общая транспортировка
грузов трубопроводом, (Х)
|
транспортировка нефти (У)
|
|
|
ХУ
|
Урав.
|
|
976,5
|
404,3
|
953552,25
|
163458,49
|
394798,95
|
408,102
|
|
1024,3
|
441,5
|
1049190,49
|
194922,25
|
452228,45
|
436,6864
|
|
1048,1
|
454,1
|
1098513,61
|
206206,81
|
475942,21
|
450,9188
|
|
1070,3
|
460,8
|
1145542,09
|
212336,64
|
493194,24
|
464,1944
|
|
1062
|
461,8
|
1127844
|
213259,24
|
490431,6
|
459,231
|
|
1066,7
|
456,4
|
1137848,89
|
208300,96
|
486841,88
|
462,0416
|
|
6247,9
|
2678,9
|
6512491,33
|
1198484,39
|
2793437,33
|
2681,1742
|
Так X и Y зависят от года, то предварительно поведем ранжирование X. Затем строим точечный график,
добавляем линию тренда, на основании расчетов произведенных в таблице 9.
График зависимости имеет следующий вид (см. рис.3).
Рис. 3.
По уравнению регрессии можно судить о наличии прямой связи.
Т.к. коэффициент корреляции R2 принимает
значение равное 0,9637, можно говорить о том, что существует тесная связь
между общим объемом транспортировок грузов и объемом прямых транспортировок
нефти.
Заключение
На основе проведенных расчетов и анализа показателей рынка транспортных
услуг можно сделать следующие выводы:
· размер грузооборота транспорта РФ на период с 2005 по 2010год чаще всего
не превышал 4948 млрд.т.*км, а наибольшее количество лет достигал 4760,86 млрд.
т*км.;
· за период с 2005 по 2010 год грузооборот в среднем
возрастал в 1,02 раза, или на 2%;
· при размере грузооборота в 4947,99 млрд.т*км вся совокупность разделяется
на две равные части;
· весомую роль на рынке транспортных услуг по грузообороту
имеет железнодорожный транспорт. Его доля в общем объеме по грузообороту в
2009году составила 41,95%;
· в 2010 году на один млн. тонн груза, перевезенного железнодорожным
транспортом приходиться 0,028 млн.тонн груза, перевезенного по морским путям;
· в 2010 году перевозки морских грузов уменьшились в 0,989 раза
по сравнению с 2009 годом;
· совокупность грузов, перевозимых железнодорожным транспортом
неоднородна, так как коэффициент вариации превышает 33% и составляет 337,81%;
· в 2010 году по сравнению с 2009 годом пассажирооборот по
троллейбусному транспорту уменьшился на 0,8млрд.пассажиро-километров.;
· линия тренда отображает уменьшение густоты автомобильных дорог
общего пользования, приходящееся на период с 2002 по 2010 год;
· среднее
число собственных легковых автомобилей в 2010г. на 1 000 человек населения по
субъектам РФ находиться в интервале 75,2≤;
≤90,8
· грузооборот
автомобильного транспорта в 2010 году уменьшился в 0,783 раза по сравнению с
2009 годом;
· на основе
корреляционного анализа установлено, что между общим объемом транспортировок
грузов трубопроводом и объемом транспортировок нефти существует тесная, прямая
связь, так как рост общего объема транспортировок вызывает увеличение объема
транспортировок нефти.
Все эти выводы свидетельствуют о том, что в целом рынок транспортных
услуг РФ имеет высокие темпы развития в настоящее время и перспективы развития
в будущем.
Список используемой литературы
1. Новицкий
В.Е. Международная экономическая деятельность. Учебник. − М.: Финансы и
кредит, 2005. − 465.
. Евсеев С.В.
Эффективность транспортных услуг в современных условиях // Экономические науки.
- 2006. - №3.
. Место транспорта
России в мировой транспортной системе // Экономика и жизнь. - 2007. −
№15.
. Российский
статистический ежегодник 2011.: Стат.сб./Росстат. - М., 2011.
. Воронцова
С. Оценки и перспективы: влияние экономического кризиса на дорожное хозяйство
России // Автомобильные дороги. - 2009. − №1.
Приложение 1
Грузооборот транспорта, включая коммерческий и некоммерческий грузооборот
|
|
В год
|
Кварталы
|
|
|
I
|
II
|
III
|
IV
|
|
2006
|
4800
|
1163,4
|
1193,6
|
1209,4
|
1233,3
|
|
2007
|
4915
|
1201,0
|
1225,1
|
1216,3
|
1272,8
|
|
2008
|
4948
|
1262,2
|
1261,1
|
1233,3
|
1191,9
|
|
2009
|
4446
|
1045,1
|
1036,7
|
1147,9
|
1216,6
|
|
2010
|
4752
|
1166,7
|
1171,1
|
1167,7
|
1246,2
|
|
2011
|
4915
|
1212,0
|
1232,0
|
1195,8
|
1275,6
|
Приложение 2
Пассажирооборот по видам транспорта общего пользования (миллиардов
пассажиро-километров)
|
|
2005
|
2006
|
2007
|
2008
|
2009
|
2010
|
|
Транспорт - всего
|
415,0
|
420,1
|
444,8
|
459,6
|
413,4
|
433,2
|
|
в том числе:
|
|
|
|
|
|
|
|
железнодорожный
|
172,2
|
177,8
|
174,1
|
175,9
|
151,5
|
139,0
|
|
автобусный (включая
маршрутные таксомоторы)
|
142,3
|
136,0
|
149,9
|
152,1
|
141,5
|
140,6
|
|
троллейбусный
|
15,0
|
12,4
|
9,8
|
9,0
|
7,9
|
7,1
|
|
воздушный
|
85,8
|
93,9
|
111,0
|
122,6
|
112,5
|
147,1
|
Приложение 3
Перевозки грузов по видам транспорта (миллионов тонн)
|
|
2005
|
2006
|
2007
|
2008
|
2009
|
2010
|
|
Транспорт - всего
|
7984
|
8090
|
8234
|
8232
|
6386
|
6585
|
|
в том числе:
|
|
|
|
|
|
|
|
железнодорожный
|
1273
|
1312
|
1345
|
1304
|
1109
|
1312
|
|
автомобильный
|
6685
|
6753
|
6861
|
6893
|
5240
|
5236
|
|
морской
|
26
|
25
|
28
|
35
|
37
|
37
|
Приложение 4
Перевозки грузов и грузооборот морского транспорта
|
|
2000
|
2005
|
2006
|
2007
|
2008
|
2009
|
2010
|
|
перевезено грузов,
млн. т
|
35,4
|
26
|
25,4
|
28,1
|
35,2
|
37,4
|
37
|
|
грузооборот, млрд. т км
|
122,2
|
60,3
|
61,6
|
65
|
84,4
|
98,4
|
101
|
Приложение 5
Число собственных легковых автомобилей на 1000 человек населения по
субъектам Российской Федерации (на конец года; штук)
|
|
1970
|
1980
|
1990
|
1995
|
2000
|
2005
|
2006
|
2007
|
2008
|
2009
|
2010
|
|
Российская Федерация
|
5,5
|
30,2
|
58,5
|
92,3
|
130,5
|
169,0
|
177,8
|
195,4
|
213,5
|
220,8
|
228,3
|
|
Центральный федеральный
округ
|
|
28,2
|
56,1
|
95,3
|
140,4
|
188,8
|
199,4
|
215,4
|
236,5
|
243,1
|
249,1
|
|
Белгородская область
|
28,3
|
66,5
|
99,1
|
136,5
|
160,4
|
169,6
|
184,6
|
203,2
|
208,7
|
213,2
|
|
Брянская область
|
1,7
|
16,5
|
32,0
|
37,7
|
58,3
|
82,2
|
89,3
|
98,8
|
115,0
|
119,8
|
125,1
|
|
Владимирская область
|
3,1
|
25,5
|
45,2
|
69,3
|
104,6
|
138,8
|
147,0
|
165,3
|
184,2
|
194,0
|
206,4
|
|
Воронежская область
|
5,3
|
34,1
|
77,8
|
106,9
|
166,8
|
185,1
|
185,5
|
205,4
|
224,7
|
229,4
|
232,4
|
|
Ивановская область
|
3,8
|
20,5
|
40,7
|
58,1
|
97,5
|
117,1
|
124,7
|
140,2
|
151,3
|
154,7
|
175,8
|
|
Калужская область
|
4,7
|
27,7
|
55,6
|
80,7
|
114,9
|
162,7
|
176,5
|
189,1
|
215,8
|
227,5
|
229,4
|
|
Костромская область
|
2,1
|
20,5
|
47,6
|
64,4
|
97,9
|
134,1
|
149,1
|
164,4
|
192,1
|
192,9
|
205,5
|
|
Курская область
|
2,6
|
16,4
|
34,6
|
48,7
|
110,3
|
140,7
|
150,1
|
165,7
|
183,0
|
191,2
|
203,5
|
|
Липецкая область
|
3,4
|
24,7
|
53,8
|
77,6
|
132,3
|
172,9
|
189,1
|
202,5
|
224,6
|
237,5
|
245,5
|
|
Московская область
|
8,6
|
31,1
|
57,6
|
100,1
|
144,5
|
232,3
|
241,0
|
261,1
|
284,0
|
289,8
|
293,3
|
|
Орловская область
|
3,0
|
24,2
|
51,1
|
76,2
|
114,5
|
161,7
|
178,6
|
179,1
|
185,7
|
180,0
|
213,1
|
|
Рязанская область
|
3,4
|
24,3
|
47,6
|
72,2
|
112,8
|
160,0
|
176,5
|
193,4
|
254,3
|
265,2
|
272,4
|
|
Смоленская область
|
3,1
|
25,7
|
50,7
|
79,7
|
102,8
|
174,5
|
183,8
|
203,3
|
228,6
|
238,2
|
246,0
|
|
Тамбовская область
|
2,5
|
21,3
|
46,9
|
74,8
|
127,1
|
153,7
|
159,7
|
174,5
|
193,2
|
202,4
|
209,3
|
|
Тверская область
|
3,0
|
21,6
|
42,6
|
67,7
|
117,7
|
158,0
|
168,9
|
183,1
|
195,6
|
208,1
|
218,7
|
|
Тульская область
|
4,7
|
26,0
|
49,6
|
81,0
|
115,8
|
171,9
|
175,7
|
195,1
|
226,7
|
234,6
|
252,7
|
|
Ярославская область
|
3,2
|
20,8
|
42,4
|
67,1
|
98,6
|
130,1
|
140,4
|
149,7
|
172,0
|
176,1
|
184,1
|
|
г. Москва
|
14,3
|
37,2
|
69,8
|
142,3
|
189,1
|
232,8
|
246,5
|
261,4
|
278,7
|
284,1
|
279,2
|
|
Северо-Западный федеральный
округ
|
|
25,9
|
50,5
|
97,7
|
146,4
|
183,4
|
201,2
|
220,5
|
239,1
|
245,7
|
254,3
|
|
Республика Карелия
|
2,5
|
24,1
|
56,4
|
112,4
|
155,2
|
192,7
|
200,6
|
218,9
|
235,2
|
242,7
|
263,5
|
|
Республика Коми
|
3,1
|
23,7
|
46,0
|
78,2
|
110,5
|
151,2
|
163,5
|
175,3
|
188,3
|
196,4
|
214,1
|
|
Архангельская область
|
1,7
|
16,9
|
37,5
|
63,6
|
90,4
|
123,0
|
134,5
|
150,5
|
170,1
|
174,9
|
192,8
|
|
в т.ч. Ненецкий автономный
округ
|
0,8
|
6,6
|
27,8
|
47,6
|
59,4
|
114,4
|
128,0
|
143,2
|
152,2
|
173,1
|
195,8
|
|
Вологодская область
|
2,1
|
18,6
|
39,0
|
62,2
|
114,9
|
163,2
|
178,5
|
202,2
|
221,1
|
224,2
|
228,8
|
|
Калининградская область
|
5,8
|
32,0
|
60,8
|
136,6
|
205,7
|
235,0
|
259,4
|
269,4
|
278,8
|
285,1
|
283,5
|
|
Ленинградская область
|
4,5
|
21,6
|
44,4
|
88,4
|
138,1
|
179,3
|
197,6
|
221,3
|
245,6
|
255,8
|
266,5
|
|
Мурманская область
|
5,1
|
33,4
|
59,5
|
117,4
|
143,8
|
153,2
|
160,9
|
173,4
|
185,3
|
186,6
|
247,6
|
|
Новгородская область
|
3,8
|
23,4
|
42,6
|
71,8
|
101,8
|
139,8
|
155,0
|
168,5
|
196,7
|
202,4
|
217,6
|
|
Псковская область
|
3,1
|
28,6
|
56,3
|
84,0
|
120,5
|
148,7
|
175,5
|
185,3
|
202,4
|
210,9
|
221,7
|
|
г. Санкт-Петербург
|
10,4
|
30,3
|
56,1
|
180,3
|
219,9
|
241,6
|
266,0
|
285,1
|
291,8
|
282,8
|
|
Южный федеральный округ
|
|
39,7
|
75,1
|
103,4
|
140,0
|
173,1
|
184,8
|
198,4
|
215,4
|
223,4
|
230,1
|
|
Республика Адыгея
|
4,2
|
45,1
|
103,4
|
117,5
|
154,0
|
167,8
|
181,7
|
196,4
|
218,9
|
233,8
|
239,8
|
|
Республика Калмыкия
|
3,3
|
33,9
|
62,3
|
96,5
|
107,3
|
141,3
|
145,4
|
152,3
|
161,1
|
169,4
|
180,8
|
|
Краснодарский край
|
7,6
|
43,3
|
80,6
|
112,9
|
162,3
|
196,5
|
207,9
|
221,8
|
238,6
|
243,7
|
249,1
|
|
Астраханская область
|
2,9
|
18,8
|
47,5
|
68,7
|
96,2
|
170,1
|
184,9
|
198,8
|
203,7
|
209,0
|
229,4
|
|
Волгоградская область
|
6,0
|
39,0
|
73,4
|
91,3
|
119,4
|
150,4
|
157,9
|
170,4
|
189,8
|
194,4
|
200,8
|
|
Ростовская область
|
9,2
|
40,8
|
74,7
|
107,0
|
137,7
|
162,6
|
176,7
|
190,5
|
209,1
|
222,3
|
227,3
|
|
Северо-Кавказский
федеральный округ
|
|
35,5
|
61,6
|
61,5
|
82,2
|
106,5
|
111,0
|
119,6
|
130,3
|
146,7
|
153,6
|
|
Республика Дагестан
|
2,3
|
20,0
|
37,4
|
37,0
|
46,5
|
55,4
|
58,0
|
62,2
|
67,9
|
104,0
|
104,1
|
|
Республика Ингушетия
Чеченская Республика
|
5,9
|
31,5
|
49,6
|
40,3...
|
56,6...
|
57,7 47,8
|
59,7 53,5
|
66,6 62,8
|
88,5 70,4
|
77,3 92,0
|
105,3 100.2
|
|
Кабардино-Балкарская
Республика
|
7,6
|
46,9
|
72,8
|
93,1
|
94,5
|
108,0
|
113,9
|
123,9
|
138,6
|
146,3
|
156,4
|
|
Карачаево-Черкесская
Республика
|
...
|
46,6
|
76,1
|
85,1
|
92,9
|
137,4
|
146,6
|
160,8
|
176,7
|
184,0
|
172,7
|
|
Республика Северная Осетия
- Алания
|
6,5
|
37,2
|
68,2
|
75,1
|
108,9
|
141,6
|
153,6
|
159,6
|
175,1
|
188,1
|
195,0
|
|
Ставропольский край2)
|
6,8
|
43,6
|
78,6
|
94,9
|
135,9
|
175,8
|
180,2
|
193,4
|
206,2
|
212,2
|
223,6
|
|
Приволжский федеральный
округ
|
|
26,1
|
51,8
|
76,8
|
114,5
|
149,5
|
162,2
|
176,0
|
192,3
|
197,4
|
209,3
|
|
Республика Башкортостан
|
3,8
|
26,4
|
57,9
|
86,0
|
124,2
|
179,8
|
189,2
|
200,4
|
218,5
|
219,8
|
223,5
|
|
Республика Марий Эл
|
1,8
|
19,4
|
38,9
|
52,4
|
77,1
|
107,0
|
112,3
|
126,4
|
140,6
|
146,1
|
155,1
|
|
Республика Мордовия
|
1,7
|
17,7
|
40,5
|
55,1
|
79,6
|
108,8
|
121,7
|
137,7
|
156,1
|
172,5
|
176,0
|
|
Республика Татарстан
|
2,8
|
20,6
|
43,7
|
72,0
|
107,9
|
134,3
|
150,2
|
169,7
|
186,5
|
190,3
|
197,4
|
|
Удмуртская Республика
|
5,4
|
29,9
|
52,4
|
73,5
|
112,2
|
148,3
|
159,1
|
170,0
|
182,8
|
189,5
|
194,5
|
|
Чувашская Республика
|
1,6
|
13,5
|
25,5
|
40,5
|
65,6
|
86,5
|
99,9
|
110,0
|
124,9
|
129,7
|
139,0
|
|
Пермский край
|
2,9
|
21,8
|
38,8
|
54,0
|
105,8
|
131,9
|
145,0
|
159,9
|
178,6
|
181,5
|
187,9
|
|
Кировская область
|
2,8
|
22,4
|
45,6
|
59,7
|
85,7
|
134,0
|
145,6
|
161,2
|
177,8
|
184,4
|
195,3
|
|
Нижегородская область
|
4,1
|
24,1
|
42,2
|
64,7
|
106,1
|
142,2
|
152,3
|
166,2
|
185,6
|
189,9
|
207,6
|
|
Оренбургская область
|
5,3
|
39,3
|
75,6
|
104,2
|
133,2
|
172,6
|
208,4
|
211,1
|
218,0
|
220,3
|
247,2
|
|
Пензенская область
|
2,9
|
22,5
|
46,1
|
69,5
|
103,5
|
126,7
|
144,7
|
160,3
|
180,3
|
200,5
|
223,0
|
|
Самарская область
|
6,8
|
33,1
|
67,4
|
110,0
|
163,2
|
202,9
|
205,2
|
220,4
|
234,1
|
236,8
|
236,3
|
|
Саратовская область
|
7,5
|
35,8
|
71,1
|
96,2
|
123,1
|
150,9
|
159,2
|
174,8
|
194,1
|
201,1
|
239,7
|
|
Ульяновская область
|
3,4
|
25,0
|
52,9
|
77,0
|
118,0
|
140,1
|
170,9
|
183,3
|
189,4
|
196,2
|
|
Уральский федеральный округ
|
|
33,7
|
60,6
|
96,9
|
126,9
|
173,2
|
190,1
|
210,2
|
228,7
|
235,9
|
254,1
|
|
Курганская область
|
5,8
|
44,8
|
86,8
|
111,4
|
117,7
|
160,7
|
173,9
|
195,8
|
211,4
|
215,0
|
226,0
|
|
Свердловская область
|
6,6
|
30,6
|
52,3
|
76,8
|
97,8
|
161,7
|
188,1
|
215,6
|
234,6
|
248,6
|
275,4
|
|
Тюменская область
|
3,5
|
32,8
|
60,4
|
120,2
|
171,5
|
206,1
|
217,4
|
232,2
|
252,7
|
256,0
|
260,8
|
|
в том числе:
|
|
|
|
|
|
|
|
|
|
|
|
|
Ханты-Мансийский автономный
округ - Югра
|
2,1
|
32,5
|
56,7
|
144,5
|
201,6
|
225,1
|
237,1
|
254,4
|
269,7
|
268,4
|
266,1
|
|
Ямало-Ненецкий автономный
округ
|
1,4
|
12,2
|
29,5
|
87,9
|
150,1
|
183,1
|
191,6
|
200,0
|
212,9
|
213,6
|
220,7
|
|
Челябинская область
|
8,2
|
34,8
|
63,6
|
97,8
|
126,3
|
160,2
|
171,3
|
186,1
|
202,9
|
206,0
|
228,5
|
|
Сибирский федеральный округ
|
|
32,7
|
66,4
|
95,6
|
117,3
|
151,8
|
162,7
|
175,7
|
195,5
|
201,1
|
215,1
|
|
Республика Алтай
|
2,2
|
25,2
|
56,2
|
68,7
|
104,8
|
166,5
|
182,6
|
188,8
|
177,2
|
171,6
|
192,3
|
|
Республика Бурятия
|
4,1
|
28,6
|
59,1
|
83,2
|
78,4
|
109,0
|
137,7
|
142,6
|
174,0
|
174,0
|
182,6
|
|
Республика Тыва
|
4,4
|
29,9
|
51,2
|
56,6
|
91,9
|
80,0
|
85,5
|
101,4
|
112,3
|
115,4
|
127,4
|
|
Республика Хакасия
|
...
|
35,7
|
90,1
|
118,0
|
154,4
|
184,9
|
207,6
|
207,9
|
203,4
|
206,8
|
223,7
|
|
Алтайский край
|
3,2
|
34,6
|
75,8
|
97,0
|
125,2
|
153,8
|
159,2
|
167,4
|
193,9
|
217,8
|
215,3
|
|
Забайкальский край
|
3,0
|
32,6
|
65,1
|
91,1
|
114,4
|
144,3
|
152,2
|
162,8
|
188,8
|
202,8
|
208,9
|
|
Красноярский край3)
|
4,7
|
36,7
|
64,4
|
107,4
|
113,0
|
160,9
|
171,3
|
198,5
|
208,3
|
215,4
|
249,4
|
|
Иркутская область
|
5,1
|
38,8
|
75,3
|
115,2
|
138,8
|
141,4
|
151,9
|
165,7
|
183,9
|
185,1
|
202,6
|
|
Кемеровская область
|
6,7
|
30,5
|
64,1
|
90,0
|
115,5
|
140,4
|
153,9
|
170,6
|
187,3
|
189,2
|
201,6
|
|
Новосибирская область
|
5,6
|
34,5
|
64,2
|
83,0
|
96,7
|
184,1
|
189,5
|
196,8
|
231,1
|
230,9
|
232,1
|
|
Омская область
|
4,6
|
31,1
|
57,6
|
82,8
|
127,1
|
152,0
|
163,9
|
172,6
|
190,3
|
191,1
|
207,3
|
|
Томская область
|
4,0
|
32,7
|
58,8
|
104,1
|
125,4
|
144,8
|
156,1
|
171,1
|
185,3
|
188,1
|
220,8
|
|
Дальневосточный федеральный
округ
|
|
27,0
|
57,2
|
130,0
|
160,6
|
181,2
|
180,2
|
192,7
|
206,6
|
218,4
|
235,3
|
|
Республика Саха (Якутия)
|
4,5
|
26,3
|
58,2
|
115,1
|
111,7
|
133,2
|
136,1
|
137,9
|
143,7
|
143,2
|
142,5
|
|
Камчатский край
|
4,4
|
33,7
|
73,2
|
136,0
|
173,8
|
245,0
|
249,4
|
248,4
|
252,4
|
343,8
|
372,3
|
|
Приморский край
|
5,1
|
32,8
|
61,2
|
139,5
|
205,4
|
197,3
|
197,1
|
233,5
|
267,8
|
278,0
|
304,2
|
|
Хабаровский край
|
3,2
|
21,3
|
43,7
|
130,2
|
133,2
|
167,9
|
156,7
|
160,2
|
158,2
|
167,4
|
183,4
|
|
Амурская область
|
3,3
|
26,1
|
63,0
|
113,5
|
144,4
|
163,8
|
167,0
|
170,2
|
180,1
|
183,4
|
201,7
|
|
Магаданская область
|
3,2
|
24,2
|
50,4
|
110,7
|
164,6
|
205,6
|
213,2
|
230,5
|
236,4
|
260,3
|
270,0
|
|
Сахалинская область
|
5,5
|
28,9
|
74,4
|
187,6
|
193,2
|
247,1
|
248,7
|
251,9
|
266,8
|
291,1
|
|
Еврейская автономная
область
|
1,2
|
17,6
|
37,6
|
63,6
|
114,6
|
145,8
|
149,6
|
121,6
|
125,0
|
127,4
|
142,4
|
|
Чукотский автономный округ
|
0,6
|
4,2
|
7,8
|
9,9
|
19,8
|
34,5
|
40,0
|
44,4
|
49,0
|
54,8
|
59,1
|
Приложение 6
Перевозки отдельных грузов железнодорожным транспортом, млн.тонн
|
|
2001
|
2002
|
2003
|
2004
|
2005
|
2006
|
2007
|
2008
|
2009
|
|
Каменный уголь
|
252,8
|
242,7
|
260,9
|
273,9
|
278,7
|
287,5
|
286,4
|
296,6
|
275,4
|
|
Кокс
|
10,1
|
11,2
|
12,1
|
12,7
|
11,3
|
11,3
|
12,5
|
12,2
|
10,5
|
|
Нефтяные грузы
|
158,7
|
178,8
|
206,2
|
209,6
|
218,9
|
228,3
|
234
|
232,1
|
228,0
|
|
Руда железная и марганцевая
|
86,9
|
85
|
93,6
|
99,4
|
101,6
|
108,4
|
110,5
|
102,3
|
95,4
|
|
Руда цветная и серное сырье
|
23,6
|
23,5
|
24,8
|
24,9
|
26,1
|
27,1
|
28,6
|
24,8
|
23,4
|
|
Черные металлы (включая
лом)
|
80,8
|
80,1
|
88,2
|
97,4
|
100,1
|
108,6
|
112,9
|
103,3
|
81,3
|
|
Химические и минеральные
удобрения
|
35,4
|
37
|
38,4
|
41,6
|
43,3
|
42,9
|
45,1
|
42,1
|
39,1
|
|
Строительные грузы
|
162,6
|
167,6
|
169,4
|
185
|
208,3
|
203,3
|
202,2
|
197,1
|
128,2
|
|
Цемент
|
25
|
26,6
|
29,3
|
32,4
|
34,3
|
38,3
|
41,9
|
36
|
29,2
|
|
Лесные грузы
|
48,7
|
52
|
54,3
|
59,6
|
64,5
|
64,6
|
66,7
|
55,4
|
40,6
|
|
Зерно и продукты перемола1)
|
22,1
|
27,6
|
26,5
|
22,1
|
23,4
|
23,2
|
27,5
|
24,1
|
22,6
|
|
Комбикорма
|
2
|
1,9
|
1,7
|
1,6
|
1,5
|
1,5
|
1,5
|
1,4
|
1,0
|
Приложение 7
Транспортировка грузов по магистральным трубопроводам (млн.тонн)
|
|
2000
|
2001
|
2002
|
2003
|
2004
|
2005
|
2006
|
2007
|
2008
|
|
Грузы - всего
|
828,9
|
853,4
|
899,3
|
976,5
|
1024,3
|
1048,1
|
1070,3
|
1062
|
1066,7
|
|
в том числе:
|
|
|
|
|
|
|
|
|
|
|
газ
|
511,2
|
508,8
|
513,8
|
544,5
|
555,1
|
565,8
|
581,1
|
571,6
|
578,6
|
|
нефтяные грузы
|
317,8
|
344,6
|
385,5
|
432
|
469,2
|
482,3
|
489,2
|
490,4
|
488,1
|
|
из них:
|
|
|
|
|
|
|
|
|
|
|
нефть
|
294,6
|
319,7
|
359,8
|
404,3
|
441,5
|
454,1
|
460,8
|
461,8
|
456,4
|
|
нефтепродукты
|
23,1
|
24,9
|
25,7
|
27,6
|
27,6
|
28,2
|
28,4
|
28,7
|
31,6
|
Приложение 8
Густота путей сообщения (на конец года; километров путей на 1000
квадратных километров территории)
|
|
2002
|
2003
|
2004
|
2005
|
2006
|
2007
|
2008
|
2009
|
2010
|
|
Железнодорожные пути -
всего
|
…
|
32,1
|
…
|
…
|
31,1
|
31,2
|
…
|
31,1
|
30,3
|
|
в том числе: общего
пользования
|
24,1
|
24,1
|
24,1
|
24,1
|
24,1
|
24,1
|
24,1
|
24,1
|
24,1
|
|
не общего пользования
|
…
|
7,9
|
…
|
…
|
6,9
|
7,0
|
…
|
6,9
|
6,2
|
|
Автомобильные дороги с
твердым покрытием -всего
|
241
|
242
|
236
|
230
|
233
|
235
|
217
|
246
|
242
|
|
в том числе: общего
пользования
|
168
|
171
|
173
|
173
|
203
|
212
|
201
|
226
|
226
|
|
не общего пользования
|
73
|
71
|
63
|
57
|
30
|
23
|
16
|
20
|
16
|