Аналіз ліквідності підприємства
Зміст
Вступ
1. Теоретичні основи аналізу ліквідності підприємства
1.1 Сутність ліквідності, характеристика та методика розрахунків
основних показників
1.2 Методика проведення аналізу ліквідності
1.3 Характеристика методів та прийомів проведення аналізу ліквідності
2. Аналіз ліквідності ВАТ „Миколаївська теплоелектроцентраль"
2.1 Характеристика підприємства як об’єкта дослідження
2.2 Аналіз ліквідності балансу
2.3 Аналіз ліквідності на основі основних показників
2.4 Факторний аналіз ліквідності
3. Шляхи підвищення ліквідності на ВАТ „Миколаївська
теплоелектроцентраль"
3.1 Заходи щодо оптимізації показників ліквідності
Висновки
Список використаної літератури
Додатки
Вступ
Тема курсової роботи: «Аналіз
ліквідності підприємства».
Найважливішим показником фінансового
стану підприємства є ліквідність, сутність якої полягає в можливості
підприємства в будь-який момент розрахуватися за своими зобов'язаннями
(пасивам) за допомогою (за рахунок) майна (активів), яке є на балансі, тобто в
тому, як швидко підприємство може продати свої активи, отримати грошові кошти і
погасити заборгованість перед постачальниками, і банком щодо повернення
кредитів, перед бюджетом та позабюджетними централізованими фондами із сплати
податків та платежів, перед працівниками з виплати заробітної плати тощо.
Ліквідність суб'єкта господарювання
визначається відношенням вартості ліквідного майна, тобто активів, які можуть
бути використані для оплати заборгованостей, до короткострокової
заборгованості. По суті, ліквідність суб'єкта господарювання є ліквідністю його
балансу. Ліквідність же балансу підприємства характеризує зв'язок можливості
продажу його активів з одночасною оплатою пасивів.
Ліквідність балансу визначається
рівнем покриття зобов'язань підприємства його активами, строк перетворення яких
на грошові кошти відповідає строку погашення зобов'язань.
Метою даної курсової роботи є
дослідження ліквідності підприємства ВАТ «Миколаївська теплоелектроцентраль».
Основні задачі:
Об’єктом дослідження є ВАТ
«Миколаївська теплоелектроцентраль».
Предмет дослідження - ліквідність
підприємства.
Робота складається з вступу, трьох
розділів та висновків.
У першому розділі виставлені
теоретичні аспекти аналізу ліквідності підприємства: сутність, методика
проведення, методи та прийоми проведення, джерела інформації.
У другому розділі наведено
характеристику об'єкта ВАТ «Миколаївські теплоелектроцентраль» та аналіз
ліквідності балансу.
У третьому розділі розглянуті шляхи
підвищення ліквідності підприємства.
У висновках підведенні підсумки
курсової роботи, обґрунтовані пропозиції щодо підвищення ліквідності ВАТ
«Миколаївська теплоелектроцентраль».
Методи дослідження: порівняння,
статистичний, деталізації.
Курсова робота виконана:
1. Теоретичні основи аналізу
ліквідності підприємства
.1 Сутність ліквідності,
характеристика та методика розрахунків основних показників
Найважливішим показником фінансового
стану підприємства є ліквідність, сутність якої проявляється у можливості
підприємства у будь-який момент розрахуватися зі своїми зобов'язаннями
(пасивам) за допомогою (за рахунок) майна (активів), яке є на балансі, тобто в
тому, як швидко підприємство може продати свої активи, отримати грошові кошти і
погасити свої борги - заборгованості перед постачальниками, перед банком з
повернення кредитів, перед бюджетом та позабюджетними централізованими фондами
зі сплати податків та платежів, перед робітниками з виплати заробітної плати та
інше.
До активів підприємства відносяться
виробничі запаси, готова продукція, товари, дебіторська заборгованість, грошові
кошти та їх еквіваленти тощо. Ці активи називаються ліквідними через те, що їх
можна відносно швидко продати (стягти) і за отримані грошові кошти погасити
наявні боргові зобов'язання.
Ліквідність суб'єкта господарювання
визначається відношенням вартості ліквідного майна, тобто активів, які можуть
бути використані для оплати заборгованостей, до короткострокової
заборгованості. По суті, ліквідність суб'єкта господарювання - це ліквідність
його балансу Ліквідність же балансу підприємства - це зв'язок можливості продажу
його активів з одночасною оплатою пасивів.
Ліквідність балансу підприємства
визначається рівнем покриття зобов'язань підприємства його активами, строк
перетворення яких у грошові кошти відповідає строку погашення зобов'язань.
Аналіз ліквідності балансу полягає в
порівнянні коштів по активу, що згруповані за ступенем їх ліквідності і
розташовані у порядку зменшення ліквідності з зобов'язаннями по пасиву,
об'єднаними за строками їх погашення і в порядку зростання цих строків. Залежно
від ступеня ліквідності, тобто швидкості перетворення в гроші, активи
підприємства, з огляду на викладене вище, поділяються на групи:
. Найбільш ліквідні активи.
. Активи, що швидко реалізуються.
. Активи, що реалізуються повільно.
. Важкореалізовані активи.
Пасиви за ступенем строку їх оплати
поділяються на чотири групи:
. Негайні пасиви
. Короткострокові пасиви.
. Довгострокові пасиви.
. Постійні пасиви.
В активи, які беруть участь у
розрахунках, включаються грошові кошти і цінні папери, дебіторська
заборгованість, матеріальні запаси цінностей і незавершене виробництво, основні
фонди, нематеріальні активи, незавершені капітальні вкладення та устаткування.
Не включаються до активів заборгованість засновників за їх вкладами в основний
фонд, збитки.
До складу пасивів, які беруть участь
у розрахунках, включаються кредиторська заборгованість, короткострокові і
довгострокові кредити та позичені кошти, джерела формування власних оборотних
активів, цільове фінансування та цільові надходження, резерви майбутніх витрат
та платежів, а також інші пасиви.
Найбільш ліквідні активи - грошові
кошти та цінні папери підприємства повинні бути більші або дорівнювати
терміновим зобов'язанням (кредиторській заборгованості). Активи, що швидко
реалізовуються, - дебіторська заборгованість та інші активи повинні бути
більшими або дорівнювати короткостроковим пасивам (короткостроковим кредитам та
позиченим коштам). Активи, що повільно реалізовуються, - запаси та втрати за
виключенням витрат майбутніх періодів повинні бути більшими або дорівнювати
довгостроковим пасивам (довгостроковим кредитам та позиченим коштам). Активи,
що важко реалізовуються - нематеріальні активи, основні фонди, незавершені
капітальні вкладення та устаткування повинні бути меншими або дорівнювати
сталим пасивам (джерелам власних коштів).
При виконанні зазначених вище умов
баланс підприємства вважається абсолютно ліквідним. У випадку, якщо одна або
декілька із вказаних умов не виконуються, ліквідність балансу більшою або
меншою мірою відрізняється від абсолютної. При цьому нестача коштів в одній
групі активів компенсується їх залишком в іншій групі у вартісному виразі.
Аналіз ліквідності підприємства,
здійснюється шляхом складання балансу ліквідності. Саме його складання і є
першим етапом методики аналізу ліквідності підприємства.
Другим етапом методики аналізу
ліквідності підприємства виступає визначення фінансових коефіцієнтів, що
характеризують ліквідність підприємства. Ліквідність підприємства можна
оперативно визначити за допомогою коефіцієнтів.
Основними серед них є:
. Коефіцієнт покриття або поточної
ліквідності.
. Коефіцієнт швидкої ліквідності.
. Коефіцієнт абсолютної ліквідності
(платоспроможності).
Ці показники розраховуються на
підставі даних форми №1 шляхом зіставлення поточних активів і поточних
зобов'язань підприємства.
Поточні активи - це активи, які
постійно обертаються в процесі господарської діяльності підприємства.
До них належать:
оборотні активи;
витрати майбутніх періодів.
Незважаючи на те, що це витрати, оплачені наперед, тобто здійснені заради
прибутку, очікуваного в майбутньому, цілком можливо, що частина цього прибутку
може бути отримана протягом одного року або операційного циклу підприємства.
Таким чином, витрати майбутніх періодів зберігають грошові кошти підприємства.
Прикладом таких витрат є витрати,
пов'язані з підготовчими до виробництва роботами в сезонних галузях
промисловості, з освоениям нових виробництв і агрегатів; оплачені авансом
орендні платежі; оплата страхового полісу; передплата на газети, журнали,
періодичні та довідкові видання та ін.
Якщо на підприємстві відношення
оборотних активів і поточних зобов'язань нижчі, ніж 1:1, то це говорить про
високий фінансовий ризик, оскільки підприємство не в змозі сплатити свої
рахунки. Співвідношення 1:1 припускає рівність поточних активів і
короткострокових зобов'язань. Але, зважаючи на різний ступінь ліквідності
активів, можна припустити, що не всі активи будуть негайно реалізовані, а тому
виникає загроза для фінансової стабільності підприємства. Якщо значення
коефіцієнта покриття значно перевищує співвідношення 1:1, то можна зробити
висновок про те, що підприємство володіє значним обсягом вільних ресурсів, що
сформувалися завдяки власним джерелам. З позиції кредиторів підприємства такий
варіант формування оборотних коштів є найбільш прийнятним. Водночас, з точки
зору менеджера, значне накопичення запасів на підприємстві, відтягування грошей
у дебіторську заборгованість може бути пов'язане з невмілим управлінням
активами. Скорочення величини коефіцієнта поточної ліквідності може статися під
впливом двох факторів: 1) зменшення оборотних активів; 2) значного зростання
поточних зобов'язань. Для з'ясування причин модифікації цього показника
необхідно проаналізувати зміни в складі джерел коштів і їх розміщенні в
порівнянні з початком періоду аналізу.
Дана операція являє собою третій
етап методики аналізу ліквідності підприємства.
З метою встановлення рівня
ліквідності підприємства визначається індекс ліквідності, що вказує кількість
днів, необхідних для перетворення поточних активів у готівку, цей розрахунок
являє собою четвертий етап аналізу ліквідності.
.2 Методика проведення аналізу
ліквідності
Залежно від того, якими платіжними
засобами підприємство має можливість погасити свої зобов'язання, розраховують
декілька показників ліквідності.
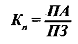
Перш за все, найважливішим
показником ліквідності є коефіцієнт покриття. Він показує рівень покриття
активами підприємства своїх зобов'язань. Визначається коефіцієнт покриття
відношенням усіх поточних активів підприємства до його поточних зобов'язань.
Розрахувати його можна за формулою:
ліквідність баланс
(1.1)
де Кп- коефіцієнт покриття;
ПА - поточні активи;
ПЗ - поточні зобов'язання.
Нормативне значення коефіцієнта
більше 1.
У даному випадку підприємство може
своєчасно погасити свої зобов'язання. При значенні коефіцієнта менше 1 -
підприємство має неліквідний баланс.
Крім коефіцієнта покриття для оцінки
рівня ліквідності розраховують коефіцієнти швидкої і абсолютної ліквідності.
Коефіцієнт швидкої ліквідності
розраховується діленням найбільш ліквідних активів та активів, які швидко
реалізовуються (грошових коштів і дебіторської заборгованості) на поточні
зобов'язання. У вигляді формули це можна подати так:
(1.2)
де Кшл - коефіцієнт швидкої
ліквідності;
ГК - грошові кошти;
ДЗ - дебіторська заборгованість;
ПЗ - поточні зобов'язання.
Цей коефіцієнт за смисловим
значенням аналогічний коефіцієнту покриття, тільки він обчислюється по вужчому
колу поточних активів, коли з розрахунку вилучена найменш ліквідна їх частина -
виробничі запаси.
Вилучаються матеріальні запаси не
тільки через те, що вони менш ліквідні, а в основному через те, що грошові
кошти, одержані у випадку вимушеної реалізації виробничих запасів, можуть бути
істотно нижчими за затрати на їх закупку. В умовах ринкової економіки типовою є
ситуація, коли при ліквідації підприємства одержують 40% і менше від облікової
вартості запасів. Достатнім коефіцієнтом швидкої ліквідності є співвідношення
1:1.
На практиці багато підприємств мають
більш низький коефіцієнт швидкої ліквідності (наприклад, 0,5:1), тому для
оцінки їх ліквідності необхідно проаналізувати тенденції зміни цього показника
за певний період часу. Так, якщо зростання коефіцієнта швидкої ліквідності було
пов'язане в основному, зі зростанням невиправданої дебіторської заборгованості,
то це свідчить про серйозні фінансові проблеми підприємства. У західній
економічній літературі цей коефіцієнт називають ще коефіцієнтом миттєвої
оцінки.
Коефіцієнт абсолютної ліквідності
характеризується рівнем покриття зобов'язань підприємства його активами, строк
перетворення яких у гроші відповідає строку погашення зобов'язань. Визначається
коефіцієнт абсолютної ліквідності як відношення суми грошових коштів і
короткострокових фінансових вкладень до суми короткострокових (поточних)
зобов'язань. Для розрахунку даного коефіцієнта можна використовувати таку
формулу:
(1.3)
де Кал - коефіцієнт абсолютної
ліквідності;
ГК - грошові кошти;
КВФ - короткострокові фінансові
вкладення;
ПЗ - поточні зобов'язання.
Цей коефіцієнт показує, що частина
короткострокових позикових зобов’язань може бути по мірі необхідності погашена
негайно.
Значення коефіцієнта абсолютної
ліквідності більше 0,2 є достатнім, щоб підприємство своєчасно розраховувалось
за своїми боргами з кредиторами. Зниження рівня даного коефіцієнта означає
зовнішню причину неплатоспроможності підприємства.
При значенні коефіцієнта абсолютної
ліквідності (Кал) менше 0,2, а коефіцієнта покриття менше 0,5, підприємство
вважається банкрутом і може підлягати ліквідації з продажем майна.
Для оцінки ліквідності, окрім
коефіцієнтів, застосовуються й інші показники.
Величина власних оборотних коштів,
що розраховується: власний капітал + довгострокові кредити банків +
довгострокові позики - підсумок розділу І активу балансу.
Основним і постійним джерелом
збільшення власних оборотних коштів є прибуток. Слід розрізняти поняття
«оборотні кошти» і «власні оборотні кошти». Оборотні кошти (синоніми: оборотний
капітал, мобільні активи, поточні активи) - це кошти, що здійснюють оборот
(гроші -> кошти -> гроші) протягом року чи одного виробничого циклу. Вони
складаються з двох частин:
а) постійного оборотного капіталу
(синонім - системна частина оборотних активів). Це та частина оборотних
активів, необхідність в якій відносно постійна протягом усього операційного
циклу;
б) змінного оборотного капіталу
(синонім - варіююча (змінна частина оборотних активів). Необхідність у цій
частині виникає лише в пікові моменти виробничого циклу.
Оборотні кошти характеризують активи
підприємства (II розділ активу балансу). Власні оборотні кошти - це джерела
коштів, а саме - частина власного капіталу підприємства, що розглядається як
джерело покриття поточних активів. Величина власних оборотних коштів дорівнює
перевищенню поточних активів над поточними зобов'язаннями. Інколи складається і
зворотна ситуація, коли поточні зобов'язання перевищують поточні активи. Тоді
одним із джерел покриття основних коштів і позаобігових активів є
короткострокова кредиторська заборгованість. Фінансовий стан підприємства
вважається в цьому випадку нестійким. Потрібно терміново вжити негайних заходів
щодо його покращання.
Ліквідність підприємств характеризує
також показник маневреності власних обігових коштів (капіталу, що функціонує).
Він визначається: грошові кошти /
капітал, що функціонує.
Цей показник характеризує ту частину
власних обігових коштів, які знаходяться в формі грошових коштів, що мають
абсолютну ліквідність.
Для підприємства, що нормально
функціонує, цей показник змінюється від нуля до одиниці. Найбільш прийнятне
орієнтовне значення показника встановлюється підприємством самостійно і
залежить, наприклад, від того, наскільки висока щоденна потреба підприємства у
вільних грошових ресурсах.
Частка оборотних коштів у активах
розраховується за формулою:
оборотні активи / всього активів.
Частка власних оборотних коштів у
загальній їх сумі розраховується як відношення власних оборотних коштів до
оборотних активів.
Частка запасів в оборотних активах
розраховується як відношення запасів до оборотних активів.
Частка власних оборотних коштів у
покритті запасів розраховується як відношення власних оборотних коштів до
величини запасів і характеризує ту частину вартості запасів, що покривається
власними оборотними коштами. Рекомендоване значення цього показника - 50%.
Коефіцієнт покриття запасів
розраховується співвідношенням величини «нормальних» джерел покриття запасів і
суми запасів. Якщо значення цього показника менше 1, то поточний фінансовий
стан підприємства вважається нестійким.
Таким чином, можна зробити висновок,
що ліквідність - це спроможність, зважаючи на викладене вище, будь-якого з
активів трансформуватися в грошові кошти, а ступінь ліквідності визначається
тривалістю періоду, впродовж якого ця трансформація може бути здійснена. Чим
коротший період, тим вища ліквідність.
.3 Характеристика методів та
прийомів проведення аналізу ліквідності
Одним з основних критеріїв, що
характеризують фінансову систему підприємства, є платоспроможність.
Платоспроможність підприємства тісно
пов'язана з поняттям ліквідності різних видів майна. Ліквідність - це здатність
того чи іншого виду активу перетворюватися в грошову форму в процесі
реалізації. У різних видів активів різна ліквідність, одні активи є більш
ліквідними, інші - менш ліквідними.
У свою чергу, платоспроможність
тісно пов'язана з поняттям оборотності поточних активів. Чим менше термін
оборотності активу, тим вище його ліквідність і платоспроможність.
Таким чином, для оцінки
платоспроможності всі активи підприємства необхідно ділити на групи в
залежності від їх ліквідності. Крім того, всі зобов'язання підприємства
розрізняються між собою за термінами настання їх оплати. Всі зобов'язання також
ділять на групи в залежності від терміновості їх погашення.
У залежності від ліквідності активів
і терміновості погашення зобов'язань платоспроможність буває трьох видів:
Загальна платоспроможність;
Поточна платоспроможність;
Термінова платоспроможність.
Неплатоспроможність може бути 2
видів: випадкової (тимчасової) і тривалої (хронічної).
Щоб встановити, яка вона для даного
підприємства, необхідно проаналізувати склад і рух кредиторської заборгованості
за тривалий період часу, не менше 2-3 років.
Основними причинами
неплатоспроможності є:
Низька оборотність оборотних активів
підприємства.
Труднощі з реалізацією продукції.
Нераціональна структура оборотних
коштів.
Несвоєчасні надходження платежів за
боргами дебіторів.
Наявність у складі МПЗ неліквідів.
При цьому структура оборотних
активів вважається нераціональною, якщо в їх складі найбільшу питому вагу
займає дебіторська заборгованість або ж її частка перевищує 15% у складі
оборотних активів. По підприємствах промисловості і торгівлі раціональної
вважається така структура оборотних активів, в якій найбільшу питому вагу
(50-60%) належить запасам товарно-матеріальних цінностей, на другому місці -
частка грошових коштів (не менше 20% від суми короткострокових зобов'язань і
30-35 % у складі оборотних активів) і на третьому місці повинна знаходитися
дебіторська заборгованість. Крім того, у складі оборотних активів не повинно
бути неліквідів.
Неліквіди - це активи, які повністю
втратили свою первинну якість. У їх складі можуть бути зіпсовані матеріальні
цінності (сировина, матеріали, продукція, товари), безнадійна дебіторська
заборгованість підприємств-банкрутів, неліквідні цінні папери.
Аналіз платоспроможності необхідно
починати з оцінки динаміки основних коефіцієнтів, що характеризують
платоспроможність.
При аналізі термінової
платоспроможності особливу увагу звертають на статті, характеризують готівкові
гроші в касі і на рахунках підприємства в банку, а також вкладені у
високоліквідні короткострокові цінні папери. Це саме ті кошти, які мають
найменший термін оборотності і є найбільш ліквідними.
Мистецтво фінансового управління
полягає в тому, щоб тримати на грошових рахунках лише мінімально необхідну суму
грошей, за допомогою якої можна було б погасити найбільш термінові зобов'язання
(щомісячні платежі), а решту частини коштів, яка потрібна для забезпечення
поточної діяльності, тримати в активах - в короткостроковій дебіторської
заборгованості.
Якщо ж у підприємства значна частина
активів складається з важкореалізованих (довгострокова, прострочена та
відстрочена дебіторська заборгованість), це може свідчити про нераціональну
структуру активів, а, отже, і про неплатоспроможність підприємства.
При проведенні такого аналізу в
складі активів виділяють найбільш ліквідні - це грошові кошти та їх еквіваленти
(еквівалентами грошових коштів вважають високоліквідні цінні папери). У складі
зобов'язань виділяють найбільш термінові, тобто ті, які вимагають щомісячного
погашення. До них відносяться:
Заборгованість перед постачальниками
і підрядчиками, з якої підійшов термін оплати за договором.
Сума кредитів і позик, які повинні
бути погашені в даному місяці відповідно до договірних зобов'язань.
Відсоток за кредити і позики.
Сума заборгованості перед бюджетом
та позабюджетними фондами.
Заборгованості з оплати праці.
Комунальні платежі.
Для оцінки термінової
платоспроможності будується баланс термінової ліквідності. Такий аналіз
необхідно здійснювати систематично, до настання кінця місяця, щоб знати,
скільки грошей потрібно для погашення всіх боргів.
Для погашення поточних зобов'язань
можуть використовуватися різноманітні види активів, які різняться між собою
часом, необхідним для перетворення їх в грошову готівку.
Майно підприємства, відбите в активі
бухгалтерського балансу, може бути реалізовано з метою отримання готівкових
грошей.
2. Аналіз ліквідності ВАТ
„Миколаївська теплоелектроцентраль"
.1 Характеристика підприємства як
об’єкта дослідження
ВАТ «Миколаївська
теплоелектроцентраль» створене в процесі корпоратизації Державного підприємства
«Миколаївська теплоелектроцентраль» на підставі наказу Мінпаливенерго Уіфаїни
від 29.11.2001 р. № 599. В подальшому наказ від 29.11.2001 р. № 599 скасовано
наказом Мінпаливенерго від 16.04.2002 р. № 230 і його дія відновлена наказом
від 16.08.2002 р. № 485, відповідно до якого наказ Мінпаливенерго України від
29.11.2002 р. № 599 про створення ВАТ «Миколаївська теплоелектроцентраль»
вважається таким, що набрала чинності з 16.08.2002 р.
Метою діяльності Товариства є
одержання прибутку від виробництва, передачі та постачання електричної та
теплової енергії згідно одержаних ліцензій, забезпечення інтересів його працівників
та задоволення їх економічних, соціальних потреб, а також здійснення інших
видів діяльності з метою отримання прибутку.
Середньообліковий склад чисельності
працюючих підприємства за 2005 р:
кількість працюючих - 515 чол.
промислово-виробничий персонал - 492
чол.
непромисловий персонал - 23 чол.
Середньорічна заробітна плата 2005
р. працівникам підприємства склала 4668,7 грн.
Обліковим підрозділом на
підприємстві є спеціальна управлінська служба - бухгалтерія, яка є самостійним
структурним підрозділом підприємства на правах відділу, підкоряється головному
бухгалтеру.
Задачами бухгалтерії є організація
бухгалтерського, податкового і статистичного обліків фінансово-господарської
діяльності підприємства.
Структуру і штати бухгалтерії
затверджує директор підприємства. До складу бухгалтерії входять підрозділи
(сектори, групи) обліку основних засобів і малоцінного інвентарю, матеріалів,
витрат на виробництво і калькулювання собівартості, облік; готовій продукції і
її реалізації, розрахунків з робітниками та службовцями,
фінансово-розрахункових операцій. Структура Служби методології бухгалтерського
обліку і звітності приведена на рис.2.1
Рис. 2.1 Структура бухгалтерії ВАТ
„Миколаївська ТЕЦ"
Як складова частина управлінського
апарату, бухгалтерія тісно пов'язана з усіма службами, відділами та іншими
підрозділами підприємства і отримує від них необхідну для обліку і контролю
документацію та надає їм економічну інформацію про результати роботи.
Облікова політика акціонерного
товариства визначена наказом керівника і відповідає вимогам Закону України «Про
бухгалтерський облік та фінансову звітність в Україні» від 16.07.99 року
№996-ХІV та положенням бухгалтерського обліку.
.2 Аналіз ліквідності балансу
Ліквідність балансу виявляється в
ступені покриття зобов'язань підприємства його активами, строк перетворення
яких на гроші відповідає строку погашення зобов'язань. Ліквідність балансу
досягається встановленням рівності між зобов'язаннями підприємства та його
активами.
Технічна сторона аналізу ліквідності
балансу полягає в зіставленні засобів в активі із зобов'язаннями в пасиві. При
цьому активи повинні бути згруповані за ступенем їх ліквідності і розташовані в
порядку зменшення ліквідності, а зобов'язання - за строками їх погашення і
розташовані в порядку зростання строків оплати.
Активи підприємства залежно від
швидкості перетворення їх на гроші поділяються на чотири групи:
Найліквідніші активи А1. До цієї
групи належать грошові кошти і поточні фінансові інвестиції. Використовуючи
коди рядків повної форми балансу (ф. № 1 за ОКУД), можна записати алгоритм
розрахунку цієї групи. У тексті розрахунки наведені за показниками на кінець
звітного періоду:
=(220 + 230 + 240) (2.1)
(на початок звітного
періоду)=(0+662+0) =662 тис. грн.(на кінець звітного періоду)=(0+2118+0) =2118
тис. грн.
Активи, що швидко реалізуються A2.
До цієї групи належить дебіторська заборгованість та інші активи. Дебіторська
заборгованість - теж ліквідний актив, оскільки передбачається, що дебітори
оплатять рахунок у найближчому майбутньому.
=(150 + 160 + 170 + 180 + 190 + 200
+ 210 + 250) (2.2)
(на початок звітного періоду)
=(0+20250+0 +1331+0+0+159+1117)=22857 тис. грн.(на кінець звітного
періоду)=(0+14205+8+233+0+0+140+140)=14726 тис. грн.
Активи, що повільно реалізуються A3.
До групи належать «Запаси» плюс із I розділу балансу вносять рядок
«Довгострокові фінансові інвестиції».
=(040 + 045 + 100 + 110 + 120 + 130
+ 140) (2.3)
(на початок звітного
періоду)=(0+0+1986+0+0+0+0)=1986 тис. грн.(на кінець звітного
періоду)=(0+0+3708+0+0+0+0)=3708 тис. грн.
Активи, що важко реалізуються А4. До
групи належать статті І розділу балансу, за винятком рядка, який увійшов до
групи "Активи, шо повільно реалізуються".
=(010 + 020 + 030 + 050 + 060 + 070)
(2.4)
(на початок звітного
періоду)=(317+748+24908+0+0+0)=25973 тис. грн.(на кінець звітного
періоду)=(323+1375+23802+0+0+0)=25500 тис. грн.
Зобов'язання підприємства (статті
пасиву балансу) також групуються в чотири групи і розташовуються за ступенем
терміновості їх оплати.
Найтерміновіші зобов'язання П1. До
групи належить кредиторська заборгованість:
П1 = (520 + 530 + 540 + 550 + 560 +
570 + 580 + 590 + 600) (2.5)
П1(на початок звітного періоду) =
(0+27936+1961+2290+0+263+634+0+0)=33084 тис. грн.
П1(на кінець звітного періоду) =
(0+28667+4174+2145+0+253+829+0+0)=36068 тис. грн.
Короткострокові пасиви П2. До групи
включають короткострокові кредити і позики та інші короткострокові пасиви:
П2 = (500+ 510+ 610) (2.6)
П2(на початок звітного періоду)
=(2300+0+6126)=8426 тис. грн.
П2(на кінець звітного періоду)
=(0+0+5015)=5015 тис. грн.
Довгострокові пасиви П3. До групи
належать довгострокові зобов'язання:
П3 = (480) = (440 + 450 + 460 + 470)
(2.7)
П3(на початок звітного періоду)
=3469 тис. грн.
П3(на кінець звітного періоду) =3469
тис. грн.
Постійні пасиви П4. До групи беруть
рядки І та II розділів пасиву балансу плюс рядок 630 розділу V. Для збереження
балансу активу і пасиву підсумок цієї групи зменшується на величину рядка
"Витрати майбутніх періодів" III розділу активу балансу:
П4 = (380 + 430 + 630 - 270) (2.8)
П4(на початок звітного періоду)
=(6534+0+0-35)=6499 тис. грн.
П4(на кінець звітного періоду)
=(1530+0+0-30)=1500 тис. грн.
Для визначення ліквідності балансу
треба зіставити розрахунки, які були зроблені, груп активів і груп зобов'язань.
Баланс вважається ліквідним за умови дотримання таких співвідношень між групами
активів і зобов'язань:
А1 ≥ П1, А2 ≥ П2, А3 ≥
П3, А4 ≥ П4
Визначимо співвідношення на початок
звітного періоду:
А1 = 662 П1
=33084 А1 < П1
А2 =22857 П2
=8426 А2 > П2
А3 =1986 П3
=3469 А3 < П3
А4 =25973 П4
=1500 А4 > П4
Тобто на початок звітного періоду
недотримані перше та третє співвідношення.
Проаналізуємо ситуацію на кінець
звітного періоду:
А1 = 2118 П1
=36068 А1 < П1
А2 =14726 П2
=5015 А2 > П2
А3 =3708 П3
=3469 А3 > П3
А4 =25500 П4
=1500 А4 > П4
Ми бачимо, що ситуація дещо
покращилася і на кінець звітного періоду недотримується перше співвідношення.
Порівняння першої і другої груп
активів (найліквідніших активів і активів, що швидко реалізуються) з першими
двома групами пасивів (найтерміновішими зобов'язаннями і короткостроковими
пасивами) показує поточну ліквідність, тобто платоспроможність або
неплатоспроможність підприємства в найближчий до моменту проведення аналізу
час. В нашому випадку на початок і на кінець звітного періоду підприємство
неплатоспроможне.
Порівняння третьої групи активів і
пасивів (активів, що повільно реалізуються, з довгостроковими зобов'язаннями)
показує перспективну ліквідність, тобто прогноз платоспроможності підприємства.
В нашому випадку на початок періоду прогноз платоспроможності негативний, на
кінець звітного періоду ситуація покращилася.
|
Структура АКТИВУ на початок звітного періоду
|
Структура АКТИВУ на кінець звітного періоду
|
|

|
|
|
A1. Найліквідніші активи
|
|
A3. Активи, що повільно реалізуються
|
|
А2. Активи, що швидко реалізуються
|
|
А4. Активи, що важко реалізуються
|
Рисунок 2.2 Структура активів ВАТ
„Миколаївська теплоелектроцентраль"
|
Структура ПАСИВУ на початок звітного періоду
|
Структура ПАСИВУ на кінець звітного періоду
|
|

|
|
|
П1. Найтерміновіші зобов'язання
|
|
П3. Довгострокові пасиви
|
|
П2. Короткострокові пасиви
|
|
П4. Постійні пасиви
|
Рисунок 2.3 Структура пасивів ВАТ
„Миколаївська теплоелектроцентраль"
Для зручності проведення аналізу
ліквідності балансу й оформлення його результатів складається таблиця аналізу
ліквідності балансу за наведеною нижче схемою (табл. 2.1).
Таблиця 2.1
Аналіз ліквідності балансу (баланс
ліквідності) ВАТ „Миколаївська теплоелектроцентраль"
|
Актив
|
На початок року
|
На кінець року
|
Пасив
|
На початок року
|
На кінець року
|
Модифікація
|
|
|
|
|
|
|
На початок року
|
На кінець року
|
|
1.Найбільш ліквідні активи
|
662
|
2118
|
1. Негайні пасиви
|
33084
|
36068
|
-33950
|
-35406
|
|
2.Активи, що швидко реалізуються
|
22857
|
14726
|
2. Короткострокові пасиви
|
8426
|
5015
|
9711
|
14431
|
|
3.Активи, що реалізуються повільно
|
1986
|
3708
|
3. Довгострокові пасиви
|
3469
|
3469
|
239
|
-1722
|
|
4. Складно- реалізовані активи
|
25973
|
25500
|
4. Постійні пасиви
|
6499
|
1500
|
24000
|
19474
|
|
Баланс
|
51478
|
46052
|
Баланс
|
51478
|
46052
|
0
|
-3223
|
З огляду на вищенаведені розрахунки
ліквідність баланса відрізняється від абсолютної.
.3 Аналіз ліквідності на основі
основних показників
Розрахуємо поточну ліквідність, яка
свідчить про платоспроможності (+) або неплатоспроможності (-) аналізованого
підприємства:
ПЛ = (А1 +А2) - (П1 + П2) 2.9
Поточн.Л на початок звітного періоду
= (662+22857) - (33084+8426) = 23519-41510=-17991
Поточн.Л на кінець звітного періоду
= (2118+14726) - (36068+5015) = 16844-41083=-24239
Розраховані показники мають
негативний знак на протязі усього періоду, що свідчить в цілому про
неплатоспроможність підприємства. Для підвищення міри платоспроможності бракує
швидкості оборотності дебіторської заборгованості, яка при швидшому
перетворенні на грошові кошти могла б збільшити агрегат А1 до величини, що
перевищує агрегат П1.
Розрахунок перспективної ліквідності
як прогнозною платоспроможності розрахуємо на основі порівняння майбутніх
надходжень і платежів:
Персп.Л = A3 - ПЗ
(2.10)
Персп.Л на початок звітного періоду
= 1986 - 3469=-1483
Персп.Л на кінець звітного періоду =
3708 - 3469=239
Тільки на кінець звітного періоду
показники перспективної ліквідності є позитивними за рахунок відсутності
довгострокових зобов'язань. Можна зробити висновок тому, що активи по мірі
ліквідності не співпадають з мірою терміновості погашення зобов'язань.
Для аналізу міри ліквідності активів
необхідно розрахувати питому вагу кожного активного агрегату в загальному
об'ємі активів на підприємстві.
Розрахуємо питому вагу А1 в
загальній сумі активів за даними таблиця. 2.1:
А1 пит. вага. = А1 / (А1 + А2 + А3 +
А4) X 100 %. (2.11)
А1 пит. вага на поч. звіт. періоду =
662/ 51478 х 100 = 1,28%.
А1 пит. вага на кін. звіт. періоду =
2118/ 46052 х 100 = 4,59%.
Якщо на початок звітного періоду
питома вага грошових коштів в активі балансу складав 1,28 %, то на кінець
періоду спостерігається незначне збільшення цього показника до 4,59%, але цього
як і раніше не досить для того, щоб погасити свої найбільш термінові
зобов'язання самими ліквідними активами.
А2 пит. вага. = А2 / (А1 + А2 + А3 +
А4) X 100 %. (2.12)
А2 пит. вага на поч. звіт. періоду =
22857/ 51478 х 100 = 44,4%.
А2 пит. вага на кін. звіт. періоду =
14726/ 46052 х 100 = 32,0%.
По агрегату А2 cпостерігається
наступне: на початок звітного періоду доля дебіторській заборгованості складає
44,4 % в активі балансу, на кінець звітного періоду сталося її зниження до 32,0
%.
А3 пит. вага. = А3 / (А1 + А2 + А3 +
А4) X 100 %. (2.13)
А3 пит. вага на поч. звіт. періоду =
1986/ 51478 х 100 = 3,9%.
А3 пит. вага на кін. звіт. періоду =
3708/ 46052 х 100 = 8,1%.
Якщо порівнювати питомі ваги
агрегатів А1, А2 і А3, то явно є видимим значний пріоритет агрегатів А1 і А2,
тобто найбільш ліквідних і активів, що швидко реалізовуються.
А4 пит. вага. = А4 / (А1 + А2 + А3 +
А4) X 100 %. (2.14)
А4 пит. вага на поч. звіт. періоду =
25973/51478 х 100 = 50,5%.
А4 пит. вага на кін. звіт. періоду =
25500/46052 х 100 = 55,4%.
Тут спостерігається невелике
збільшення на кінець звітного періоду. В цілому ж питома вага цього агрегату в
сумі активів висока. Це сприяє виконанню четвертого порівняння і утворенню
власних оборотних коштів.
Дані переконливо показують, що
найбільш питому вагу активів організації займають активи А4.
Велике значення в аналізі
ліквідності підприємства має вивчення власного оборотного капіталу (ВОК), який
розраховується як різниця між оборотними активами підприємства і його
короткостроковими зобов'язаннями. З використанням агрегатів аналітичного
балансу формула виглядатиме таким чином:
ВОК = (А1 + А2 + А3) - (П1 + П2) (2.15)
Прийнятним є і інший адекватний
алгоритм розрахунку цього показника - різниця між сумою власного капіталу і
довгострокових зобов'язань і величиной внеоборотных активів:
СІК = (П4 + П3) - А4 (2.16)
Результат вичислень за обома
приведеними формулами буде однаковий. Власний оборотний капітал потрібний для
підтримки фінансовій стійкості підприємства, оскільки перевищення оборотних
коштів над короткостроковими зобов'язаннями означає, що підприємство не лише
може погасити короткострокові зобов'язання, але і має фінансові ресурси для
розширення своєї діяльності в майбутньому. Наявність власного оборотного
капіталу служить для інвесторів і кредиторів позитивним індикатором до
вкладення засобів в компанію. Власний оборотний капітал надає велику фінансову
незалежність компанії в умовах уповільнення оборотності оборотних активів
(наприклад, при витратах погашення дебіторської заборгованості або труднощах із
збутом продукції) або втрат оборотних активів (в результаті падіння цін на
готову продукцію, банкрутства дебітора).
Оптимальна сума власного оборотного
капіталу залежить від особливостей діяльності підприємства, зокрема від
розмірів підприємства, об'єму реалізації, швидкості оборотності
матеріально-виробничих запасів і дебіторської заборгованості умов надання
кредитів підприємству, від галузевої специфіки і господарської кон'юнктури.
На фінансовому положенні
підприємства негативно позначається як недолік, так і надлишок власного
оборотного капіталу.
Недолік цих засобів може привести
підприємство до банкрутства оскільки свідчить про його нездатність своєчасно
погасити короткострокові зобов'язання. Недолік може бути викликаний збитками у
господарській діяльності, зростанням безнадійною дебіторською заборгованості,
придбанням дорогих об'єктів основних засобів без попереднього накопичення
грошових коштів на ці цілі.
Власний оборотний капітал є основним
з абсолютних показників ліквідності. Він характеризує ту частину власного
капіталу підприємства, яка є джерелом покриття поточних активів підприємства
(т. е. активів, що мають оборотність менш одного року). ВОК є розрахунковим
показником, залежним як від структури активів, так і від структури джерел
засобів і має особливо важливе значення для підприємств, що займаються
комерційною діяльністю і іншими посередницькими операціями. При інших рівних
умовах цей показник, як правило, збільшується із зростанням об'ємів виробничої
діяльності. Основним і постійним джерелом збільшення власного оборотного
капіталу є прибуток.
Значне перевищення власного
оборотного капіталу над оптимальною потребою в нім свідчить про неефективне
використанні ресурсів.
Розрахуємо власний оборотний капітал
на підприємстві в динаміці на підставі даних аналітичного балансу (див.
таблицю. 2.1) по формулі 2.15:
ВОКна поч. звіт. пер. = (662 + 22857
+ 1986) - (33084 + 8426)=25505-41510=-16005
ВОКна кін. звіт. пер. = (2118 +
14726 + 3708) - (36068 + 5015)=20552-41083=-20531
де ВОК - власний оборотний капітал.
Після розрахунку власного оборотного
капіталу можна говорити про тому, що підприємство у кінці аналізованого періоду
не зможе погасити свої короткострокові зобов'язання, воно не має досить
фінансових ресурсів для розширення своєї діяльності. Якщо на початок звітного
періоду власний оборотний капітал складав -16005 тис. грн.., то на кінець
періоду він знизився до -20531 тис. грн. за рахунок зростання кредиторській
заборгованості П1.
Для детальнішого аналізу
господарської діяльності підприємства використовуються коефіцієнти ліквідності.
Показники ліквідності підприємства
дозволяють визначити його здатність сплатити короткострокові зобов'язання.
Найбільш важливими для аналізу являються наступні показники:
) коефіцієнт поточної ліквідності;
) коефіцієнт термінової ліквідності;
) коефіцієнт абсолютної ліквідності.
Коефіцієнт поточної ліквідності
характеризує загальну забезпеченість підприємства оборотними коштами для
ведення господарської діяльності і своєчасного погашення термінових зобов'язань
підприємства. Цей коефіцієнт розраховується як відношення фактичної суми
поточних активів підприємства до суми термінових зобов'язань по формулі:
Кп.л. = (А1 + А2 + А3) / (П1 + П2)
(2.16)
Кп.л. на початок звітного періоду =
(662+22857+1986) / (33084+8426) = 22505/41510=0,54
Кп.л. на кінець звітного періоду =
(2118+14726+3708) / (36068+5015) = 20552/41083=0,50
Згідно із загальноприйнятими нормами
вважається, що цей коефіцієнт повинен знаходитися в межах від 1 до 2. Оборотних
коштів повинно бути, щонайменше, вистачає для погашення короткострокових
зобов'язань. На цьому підприємстві коефіцієнт поточної ліквідності не досягає
нормативного значення. У підприємства не достатньо засобів, які можуть бути
використані для погашення своїх короткострокових зобов'язань.
Приватним показником коефіцієнта
поточної ліквідності являється коефіцієнт термінової ліквідності, що розкриває
відношення найбільш ліквідної частини оборотних коштів (грошових засобів,
короткострокових фінансових вкладень і дебіторських заборгованості) до короткострокових
зобов'язань. Необхідність розрахунку коефіцієнта термінової ліквідності
викликана тим, що ліквідність окремих категорій оборотних коштів далеко не
однакова, і якщо грошові кошти можуть служити безпосереднім джерелом погашення
поточних зобов'язань, то запаси можуть бути використані для цієї мети тільки
після реалізації, що припускає не лише наявність безпосереднього покупця, але і
присутність у його грошових коштів. Дебіторська заборгованість в цьому сенсі
ближча до трансформації в грошові кошти. Коефіцієнт терміновій ліквідності
визначається як відношення грошових коштів короткострокових фінансових
вкладень, дебіторській заборгованості до короткостроковим зобов'язанням.
Кт.л. = (А1 + А2) / (П1 + П2)
(2.17)
Розрахуємо коефіцієнт термінової
ліквідності на підприємстві у динаміці на підставі даних аналітичного балансу
(див. таблицю 2.1).
Кт.л. на початок звітного періоду =
(662+22857) / (33084+8426) = 23519/41510=0,57
Кт.л. на кінець звітного періоду =
(2118+14726) / (36068+5015) = 16844/41083=0,41
Розрахований коефіцієнт характеризує
прогнозовані платіжні можливості за умови своєчасних розрахунків з дебіторами.
Цей показник відбиває очікувану платоспроможність на період, рівний середній
тривалості одного обороту дебіторської заборгованості. Нормальним для цього
коефіцієнта рахують значення 0,7-0,8. Розглядаючи даний коефіцієнт в динаміці,
можна спостерігати наступні зміни: на початок звітного періоду коефіцієнт був
нижчий за норму - 0,57, на кінець звітного періоду ще знизився до 0,41. Це характеризує
очікувану ліквідність упродовж аналізованого періоду як не достатню. Найбільшу
долю в чисельнику цього показника складає дебіторська заборгованість, і тому
від того, наскільки своєчасно буде погашена дебіторська заборгованість,
залежить платоспроможність цього підприємства.
Коефіцієнт абсолютної ліквідності
обчислюється як відношення грошових коштів до короткострокових зобов'язань.
Коефіцієнт показує, яка частина
поточної заборгованості може бути погашена на дату складання балансу.
Ка.л. = А1 / (П1 + П2)
(2.18)
Розрахуємо коефіцієнт абсолютної
ліквідності в динаміці на цьому підприємстві на підставі даних аналітичного
балансу (див. таблицю 2.1).
Кт.л. на початок звітного періоду =
662 / (33084+8426) = 662/41510=0,016
Кт.л. на кінець звітного періоду =
2118 / (36068+5015) = 2118/41083=0,052
Нормальним для цього коефіцієнта
вважають значення 0,1-0,2.
Аналіз цього коефіцієнта в динаміці
показує, що у підприємства недостатньо грошових коштів, для того, щоб
найближчим часом погасити свої короткострокові зобов'язання.
Отримані коефіцієнти ліквідності
зведемо в таблицю (табл. 2.2).
|
Показники ліквідності
|
Формула розрахунку
|
Значення показника
|
|
1. Коефіцієнт поточної ліквідності
|
(А1 + А2 + А3) / (П1 + П2)
|
Початок звітного періоду=0,54; Кінець звітного періоду=0,50
|
|
2. Коефіцієнт термінової ліквідності
|
(А1 + А2) / (П1 + П2)
|
Початок звітного періоду=0,57; Кінець звітного періоду=0,41
|
|
3. Коефіцієнт абсолютної ліквідності
|
А1/ (П1 + П2)
|
Початок звітного періоду=0,016; Кінець звітного періоду=0,052
|
Загальний аналіз коефіцієнтів
ліквідності на початок і кінець звітного
Періоду показує, що структура
активів даного підприємства створює недостатню міру ліквідності активів для
досягнення рекомендованих показників для трьох коефіцієнтів в таблиці. 2.2.
Слід домагатися прискорення
оборотності активів, що відносяться до агрегату А3. Це в першу чергу
відноситься до підвищення оборотності запасів.
.4 Факторний аналіз ліквідності
Функціонування будь-якої
соціально-економічної системи здійснюється в умовах складної взаємодії
комплексу факторів різного порядку. Фактором називається причина, рушійна сила
якого-небудь процесу або явища, що визначає його характер або одну з його меж.
Всі фактори, що впливають на систему і визначають її поведінку, знаходяться у
взаємозв'язку і взаємообумовленості. Управління ліквідністю є необхідною умовою
підтримки фінансової стійкості підприємства.
Рівень ліквідності підприємства
обумовлює рівень його поточної платоспроможності, по якій підприємство безпосередньо
оцінюють ділові партнери. Факторний аналіз - це істотний елемент системи
управління ліквідністю підприємства. Оскільки одні види активів звертаються в
гроші швидше, інші - повільніше, необхідно групувати активи підприємства по
мірі їх ліквідності, тобто по можливості звернення в грошові кошти (див.
таблиці. 2.3).
Для факторного аналізу ліквідності
скористаємося даними таблицями. 2.1.
Таблиця 2.3 Величина агрегатів на
кінець звітного періоду
|
Актив
|
Пасив
|
|
Агрегат
|
Величина тис. грн.
|
Агрегат
|
Величина тис. грн.
|
|
A1
|
2118
|
П1
|
36068
|
|
A2
|
14726
|
П2
|
5015
|
|
A3
|
3708
|
П3
|
3469
|
|
A4
|
25500
|
П4
|
1500
|
|
Всього
|
46052
|
Всього
|
46052
|
Ліквідність підприємства може
вимірюватися з допомогою абсолютних і відносних показників. Традиційно у
фінансовому аналізі використовуються відносні показники ліквідності. Проте
факторний аналіз зручніше проводити за допомогою абсолютних показників. Для
цілей розробки справжньої методики під ліквідністю підприємства розуміється
поточна ліквідність визначувана як відношення поточних активів і поточних
зобов'язань. Поточна ліквідність характеризує загальну забезпеченість
підприємства обіговими коштами для ведення господарської діяльності і
своєчасного погашення термінових зобов'язань підприємства. Коефіцієнт поточної
ліквідності розраховується як відношення фактичної суми поточних активів
підприємства до суми термінових зобов'язань по формулі:
Кп.л. = (А1+А2+А3) / (П1+П2) (2.19)
Кп.л. = (2118+14726+3708) /
(36068+5015) = 20552/41083=0,5
Виходячи з того, що при розрахунку
Кп.л.використовуються наступні
агрегати: А1, А2, А3, П1, П2, -
розрахуємо питому вагу агрегатів (див. табл. 2.4).
Таблиця 2.4
Питома вага агрегатів у структурі
поточної ліквідності підприємства
|
Агрегати
|
Величина, тис. грн.
|
Питома вага, %
|
|
1
|
2
|
3
|
|
А1
|
2118
|
2118*100%/20552=10,3
|
|
А2
|
14726
|
14726*100%/20552=71,7
|
|
А3
|
3708
|
3708*100%/20552=18,04
|
|
Всього
|
20552
|
100
|
|
П1
|
36068
|
36068*100%/41083=87,8
|
|
П2
|
5015
|
5015*100%/41083=12,2
|
|
Всього
|
41083
|
100
|
|
Кп.л.
|
0,5
|
X
|
Далі необхідно розрахувати міру
впливу кожного агрегатів на величину ліквідності. Для розрахунку використовуємо
метод ланцюгових підстановок. Проведемо розрахунок впливу зміни кожного
агрегату на 10 з'ясуємо наскільки зміниться у зв'язку з цим міра ліквідності
(див. таблицю. 2.5)
Таблиця 2.5
Ступінь впливу агрегатів на величину
ліквідності
|
Показники
|
Початкові дані
|
Збільшення агрегату на 10%
|
Зменшення агрегату на 10%
|
|
|
А1
|
А2
|
А3
|
П1
|
П2
|
|
А1, тис. грн
|
2118
|
2329,8
|
2118
|
2118
|
2118
|
2118
|
|
А2, тис. грн
|
14726
|
14726
|
16198,6
|
14726
|
14726
|
14726
|
|
А3, тис. грн
|
3708
|
3708
|
3708
|
4078,8
|
3708
|
3708
|
|
П1, тис. грн.
|
36068
|
36068
|
36068
|
36068
|
32461,2
|
36068
|
|
П2. тис. грн.
|
5015
|
5015
|
5015
|
5015
|
5015
|
4513,5
|
|
Кп.л.
|
0,5
|
0,51
|
0,54
|
0,51
|
0,55
|
0,51
|
|
Абсолютна змінаКп.л.
|
Х
|
0,01
|
0,04
|
0,01
|
0,05
|
0,01
|
|
Відносна змінаКп.л.
|
Х
|
1,97%
|
7,41%
|
1,97%
|
9,1%
|
1,97%
|
Припустимо, що А1 збільшився на 10
т. е.
Кп.л.(А1) =
((2118+211,8)+14726+3708) / (36068+5015) = 0,51
Визначимо, на скільки збільшилася
ліквідність призбільшенні агрегату А1 на 10%. 100% - (0,5 х 100 / 0,51) = 1,97
При збільшенні А1 на 10% величина Кп.л. зростає на 1,97 о порівнянню з базисним
(початковим) варіантом.
При збільшенні А2 на 10% наблюдается
зростання показника поточної ліквідності на 7,41, а при збільшенні A3 на 10%
ріст складає 1,97%. Збільшення агрегатів П1 і П2 негативним чином вплине на
величину поточної ліквідності, зменшуючи її, тому в подальших розрахунках
зменшимо величину П1 і П2 на 10. Припустимо, що агрегат П1 зменшився на 10%.
Кп.л.(П1) = 20552 /
((36068-3606,8)+5015) = 20552/(32461,2+5015)=0,55
Визначимо, на скільки змінилася
ліквідність при зменшенні агрегату П1. 100% - (0,5 х 100/0,55) = 9,1%
При зменшенні П1 ліквідність
збільшується на 9,1. Аналогічним чином розрахована величина зміни П2.
Згідно із зробленими розрахунками
виявлена міра впливу агрегатів на величину Кп.л. Найбільш значний вплив на
збільшення показника ліквідності робить збільшення А2 (7,41% і зменшення
агрегату П1 (9,1% Для того, щоб детальніше визначити точки прикладення
управлінських зусиль, необхідно провести факторний аналіз агрегатних
показників. У агрегат А2 входять наступні статті бухгалтерського балансу:
товари відвантажені, готова продукція, ПДВ дебіторська заборгованість, платежі
по якій очікуються на протязі 12 місяців. Необхідно розрахувати питому вагу
статей балансу структурі агрегату А2 (див. таблицю. 2.5)
Таблиця 2.5 Питома вага статей
балансу у структурі агрегату А2 (на кінець звітного періоду)
|
Строка
|
Стаття
|
Величина тис. грн.
|
Питома вага, %
|
|
150
|
Векселі одержані
|
-
|
-
|
|
160
|
Дебіторська заборгованність за товари, роботи послуги (чиста
реалізаційна вартість)
|
14205
|
14205*100/14726=96,5%
|
|
170
|
Дебіторська заборгованність за розрахунками (з бюджетом)
|
8
|
0,05%
|
|
180
|
Дебіторська заборгованність за розрахунками (за виданими
авансами)
|
233
|
1,58%
|
|
190
|
Дебіторська заборгованність за розрахунками (з нарахованих
доходів)
|
-
|
-
|
|
200
|
Дебіторська заборгованність за розрахунками (із внутрішніх
розрахунків)
|
-
|
-
|
|
210
|
Інша поточна дебіторська заборгованість
|
140
|
0,95%
|
|
250
|
Інші оборотні активи
|
140
|
0,95%
|
|
Всього А2
|
14726
|
100
|
Результати розрахунків показують, що
на величину агрегату А2 найсильніше впливають статті «дебіторська
заборгованність за товари, роботи послуги (чиста реалізаційна вартість)» і
«Дебіторська заборгованність за розрахунками (за виданими авансами)».
Виходячи з отриманих результатів,
можна зробити висновок необхідності збільшення об'ємів реалізації, розширенні
круга покупців і замовників, активному розвитку механізму збуту. В даному
випадку представляється доцільним провести аналіз платіжної дисципліни з
покупцями.
Як було розраховано раніше,
позитивний вплив на величину ліквідності робить зменшення П1. Цей агрегат
включає кредиторську заборгованість (див. таблицю 2.6).
Таблиця 2.5 Питома вага статей
балансу у структурі агрегату П1 (на кінець звітного періоду)
|
Строка
|
Стаття
|
Величина тис. грн.
|
Питома вага, %
|
|
520
|
Векселі видані
|
-
|
-
|
|
530
|
Кредиторська заборгованість за товари, роботи, послуги
|
28667
|
28667*100/36068=79,5%
|
|
540
|
Поточні зобов’язаня за розрахунками (з одержаних авансів)
|
4174
|
11,6%
|
|
550
|
Поточні зобов’язаня за розрахунками (з бюджетом)
|
2145
|
5,95%
|
|
560
|
Поточні зобов’язаня за розрахунками (з позабюджетних платежів)
|
-
|
-
|
|
570
|
Поточні зобов’язаня за розрахунками (зі страхування)
|
253
|
0,70%
|
|
580
|
Поточні зобов’язаня за розрахунками (з оплати праці)
|
829
|
2,3%
|
|
590
|
Поточні зобов’язаня за розрахунками (з учасниками)
|
-
|
-
|
|
600
|
Поточні зобов’язаня за розрахунками (із внутрішніх розрахунків)
|
-
|
-
|
|
Всього П2
|
36068
|
100
|
Доцільно вивчити структуру
кредиторської заборгованості виявити статті, що найсильніше впливають на
величину ліквідності.
Виходячи з отриманих даних, ми
бачимо, що найсильніше вплив на П1, а отже, на величину Кп.л. робить стаття
«Кредиторська заборгованість за товари, роботи, послуги».
3. Шляхи підвищення ліквідності на
ВАТ „Миколаївська теплоелектроцентраль"
.1 Заходи щодо оптимізації
показників ліквідності
Аналізуючи стан ліквідності та
платоспроможності підприємства, необхідно розглядати причини фінансових
труднощів, частоту їх утворення та тривалість прострочених боргів.
На ліквідність підприємства основне
впливає структура його активів і капіталу, організація і стан його оборотних
активів та джерел їх формування.
Суть політики комплексного
оперативного управління поточними активами і пасивами полягає, з одного боку, у
визначенні достатнього рівня і раціональної структури поточних активів,
враховуючи, що підприємства різних сфер і масштабів діяльності відчувають
неоднакові потреби в поточних активах для підтримки заданого обсягу реалізації,
а з іншого боку - у визначенні величини і структури джерел фінансування
поточних активів.
Джерела формування оборотного капіталу
в значній мірі визначають ефективність його використання. Встановлення
оптимального співвідношення між власними та залученими коштами, обумовленого
специфічними особливостями кругообігу фондів у тому чи іншому господарюючого
суб'єкта, є важливим завданням керуючої системи. У процесі управління
формуванням оборотного капіталу повинні бути забезпечені права підприємств і
організацій у поєднанні з підвищенням їх відповідальності за ефективне і
раціональне використання коштів. Достатній мінімум власних і позикових засобів
повинен забезпечити безперервність руху оборотного капіталу на всіх стадіях
кругообігу, що задовольняє потреби виробництва в матеріальних і грошових
ресурсах, а також забезпечує своєчасні і повні розрахунки з постачальниками,
бюджетом, банками та іншими кореспондуючими ланками.
Особливу увагу звертаємо на частку
заборгованості перед іншими підприємствами, а також аванси видані.
Зниження заборгованості перед
постачальниками і підрядниками може стати можливим за рахунок скорочення
терміну платежу, а також зниження вартості матеріалів, сировини і товарів
зарахунок більше ефективного пошуку постачальників. На підприємстві доцільно
застосування фінансових схем, за допомогою яких з постачальниками матеріалів,
сировини, комунальних послуг підприємство зможе частково розплачуватися готовою
продукцією, товарами.
Заборгованість перед постачальниками
хоч і зменшилася на 100%-(14205*100/20250)=100-70,15=29%, але також є
небажаною, оскільки це може свідчити про скорочення обсягів виробництва або про
перехід до розрахунків за поставки по передоплаті.
Отже, для ВАТ „Миколаївська
теплоелектроцентраль" причинами зниження показників ліквідності послужило
наступне:
Неправильне використання оборотного
капіталу, що виразилося в відволікання коштів в дебіторську заборгованість;
Наявність сумнівної та безнадійної
дебіторської заборгованості;
Низька оборотність поточних активів.
Головним напрямком роботи щодо
підвищення ліквідності є підвищення збирання платежів громадян і підприємств -
споживачів послуг. Серйозним резервом поліпшення фінансового стану підприємств
енергетичної сфери є зниження простроченої заборгованості з оплати
електроенергії населенням і підприємствами. Необхідно використовувати
передбачені законодавством заходи впливу на боржників, включаючи навіть такі
аварійні заходи, як накладення арешту на майно.
Для поліпшення показників
ліквідності та платоспроможності підприємства необхідно вжити заходів, що
сприяють збільшенню прибутку, зменшенню вартості матеріальних активів та
дебіторської заборгованості, а також оптимізації структури капіталу
підприємства.
Висновки
Фінансовий стан підприємств можна
оцінювати з точки зору його короткострокової і довгострокової перспектив. У
короткостроковій перспективі критерієм оцінки фінансового стану підприємства є його
ліквідність і платоспроможність, тобто здатність своєчасно і в повному обсязі
розрахуватися за короткостроковими зобов'язаннями. Термін «ліквідний»
передбачає безперешкодне перетворення майна в гроші. Ліквідність підприємства -
це його спроможність перетворювати свої активи в гроші для покриття усіх
необхідних платежів у термін їх сплати.
Найліквіднішою є готівка (або сальдо
балансового рахунку). Наступним за ступенем ліквідності активом є
короткострокові інвестиції (цінні папери), оскільки у випадку необхідності вони
можуть бути швидко перетворені на гроші.
Дебіторська заборгованість - теж
ліквідний актив, оскільки передбачається, що дебітори оплатять рахунок у
найближчому майбутньому.
Найменш ліквідним поточним активом є
запаси, тому що для перетворення їх у гроші спочатку необхідно їх продати.
Отже, під ліквідністю будь-якого активу слід розуміти можливість перетворення
його в гроші, а ступінь ліквідності визначається тривалістю періоду, протягом
якого відбувається це перетворення. Чим коротший цей період, тим вищою є
ліквідність даного виду активів.
Таким чином для підвищення
ліквідності ВАТ «Миколаївська теплоелектроцентраль» потрібно:
. Створити ефективну систему
управління ресурсами підприємства з метою оптимізації виробництва. Для цього
грамотно перерозподіляти оборотні кошти підприємства. Це допоможе збільшити
запас ліквідних коштів і зменшити величину неліквідних виробничих запасів.
. Знизити його дебіторську
заборгованість. Крім того, щоб домогтися підвищення ефективності
фінансово-господарської діяльності, необхідно планувати всю фінансову
діяльність та контролювати виконання фінансових планів.
. Скористатися механізмом фінансової
стабілізації, який являє собою систему заходів, спрямованих на зменшення
фінансових зобов'язань, а також на збільшення грошових активів, що забезпечують
ці зобов'язання. Для цього зменшити суму постійних витрат (у тому числі витрат
на утримання управлінського персоналу), понизити рівень умовно-змінних витрат,
продовжити терміни кредиторської заборгованості за товарними операціями.
. Збільшити суму грошових активів за
рахунок рефінансування дебіторської заборгованості (використовуючи факторинг,
форфейтинг, примусове стягнення), поліпшити її оборотність (шляхом скорочення
термінів надання комерційного кредиту). Провести оптимізацію
товарно-матеріальних цінностей за допомогою встановлення нормативів для запасів
підприємства методом техніко-економічних розрахунків. Скоротити розміри
страхових, гарантійних і сезонних запасів.
. Досягти збільшення обсягу
реалізації продукції, розмірів прибутку і рівня прибутковості шляхом
інтенсивного застосування оборотних активів підприємства. Направити зусилля на
підвищення продуктивності праці персоналу. Прагнути до розширення ринку збуту
продукції послуг. Провести грамотну рекламну компанію і залучити якомога більше
великих інвесторів і кредиторів.
Список використаної літератури
1. Аналіз финансово-экономической деятельности предприятия:
Учебное пособие / Под ред. проф. Н.П. Любушина. - М.: ЮНИТИ-ДАНА, 1999. - 471;
. Анташов В. А., Уварова Г. В. Экономический советник
менеджера. Уч.-пр. пос.: - Мн.: "Финансы, учёт, аудит". 1996. - 320
с.;
3. Анущенкова К.А., Анущенкова
<http://www.ozon.ru/context/detail/id/4173174/> В.Ю.
Финансово-экономический анализ. - М.: Дашков и Ко, 2009, 404с., 2009. - 404 с.;
. Баканов М.І., Шеремет А.Д. Теорія економічного аналізу:
Уч. - М.: Фінанси і статистика, 2006. - 416 с.;
. Балабанов І.Т. Фінансовий аналіз і планування
господарюючого суб'єкта. - М.: Фінанси і статистика, 2007. - 208 с.;
. Бандурка О.М., Коробов М.Я., Орлов П.І., Петрова KJL
Фінансова діяльність підприємства: Підручник. - К.: Либідь, 1998. - 312 с.;
. Бортніков А.П. Про платоспроможності та ліквідності
підприємства. / / Бухгалтерський облік - 2005. - № 11. - стор. 32-34;
. Бланк І. О. Управління фінансами підприємств: Підруч.
/1.0. Бланк, Г. В. Ситник. - К.: КНЕУ, 2006. - 780 с.;
. Брігхем Є.Ф. Основи фінансового менеджменту. - К.: КП
"ВАЗА- КО". "МОЛОДЬ". 1997. - 1000 с.;
. Бухгалтерський фінансовий облік. Підручник / За ред.
проф. Ф.Ф. Бутинця. - Житомир: ЖІТІ, 2001. - 672 с.;
. Герчнкова И.Н. Финансовый менеджмент: Учебное пособие. -
М.: Издательство АО "Консалтбанкир", 1996. - 208 с.;
. Глухов В.В. Бахрамов Ю.М. Финансовый менеджмент. - С-П.
"Специальная литература". 1995 - 428 с.;
. Гридчина М.В. Финансовый менеджмент: Курс лекций - К.:
МА- УП, 1999 - 136 с.;
. Грушко В.І.. Пишиченко О.І. Фінансові ризики. Навчальний
посібник. - К.: Знання: 1998. -188 с.;
. Дєєва Н.М., Дедіков О.І. Фінансовий аналіз. Навчальний
посібник. - К.: Центр учбової літератури, 2007. - 328 с.;
. Донцова Л.В., Никифорова Н.А. Комплексный анализ
бухгалтерской отчетности. - М.: Издательство "Дело и Сервис", 1999. -
304 с.;
. Ефимова О.В. Как анализировать финансовое положение
предприятия (практическое пособие). - М.: ДО "Бизнес-школа
"Интел-Синтез", 1994. - 118 с.;
. Задачи финансового менеджменти: Учебное пособие для вузов
/ Под ред. В.A. Муравья, В.А.Яковлева. - М.:Фпнаисы. ІОНИТІІ. 1998. - 248 с.;
. Зеленкова Н.М. Финасирование и кредитование капитальных
вложений: Учебник. - 3-е изд.. перераб. и доп. М.: Финансы и статистика. 1990.
- 220 с.;
. Ковальов В.В. Введення у фінансовий менеджмент. М.:
Фінанси і статистика, 2003. - 768 с.;
. Ковальов В.В. Фінансовий аналіз: методи й процедури. М.:
Фінанси і статистика, 2003. - 560 с.;
. Ковальов В.В., Привалов В.П. Аналіз фінансового стану
підприємства. - М.: Центр економіки і маркетингу, 2007. - 216 с.;
. Кредісов АЛ.. Панченко С.Г.. Кредісов В.А. Менеджмент для
керівників. К.: Т-во: "Знання", КОО. 1999. 556 с. (С. 18 29).
. Мец В. О. Економічний аналіз фінансових результатів та
фінансового стану підприємства: Навч. посібник. - К., КНЕУ, 1999. -132 с.;
. Павлова Л.Н. Финансовый менеджмент. Управление денежным
оборотом предприятия: Учебник для вузов. - М.: Банки и биржи, ЮНИ'ГИ, 1995. -
400 с.;
. Савицька Г.В. Аналіз хозяйственної діяльності
підприємства. - М.: ІП "Екоперспектіва", 2006. - 498 с.;
. Терещенко С. Оцінка фінансової стійкості підприємства
//Вісник НБУ. - 1999. - №11, - стор. 52-57.
. Фащевський В.М. Про аналіз платоспроможності та
ліквідності підприємства. / / Бухгалтерський облік, 2005. - № 11. - стор.
27-28;
. Філімоненков О. С., Дема Д. I. Фінанси підприємств:
Підручник. - К.: Алерта, 2009. - 496 с.;
. Фінанси підприємств: Підручник / За ред. професора A.M.
Іїоддерьогіна. К.: КНЕУ. 1998. - 368 с.Фінансовий менеджмент: Навчальний
посібник: / За ред. проф. Г.Г. Кірейцева. - Київ: ЦУЛ, 2002. - 496 с.;
. Фінансовий менеджмент: Навч.-метод, посіб. / A.M.
Поддєрьогін та ін. - К.: КНЕУ, 2001. - 294 с.;
. Хміль Ф.І. Менеджмент: Підручник. - К.: Вища шк.. 1995. -
351 с.;
. Холт Роберт Н. Основы финансового менеджмента. - Пер. с
англ. - М.: "Дело", 1993 - 128 с.;
. Шеремет А.Д., Сайфулин Р.С. Финансы предприятий. - М.
ИНФРА-М, 1998. - 343 с.;
. Шеремет А.Д., Сайфулін Р.С. Методика фінансового аналізу.
- М.: ИНФРА-М, 2005. - 176 с.;
. Уткін Е.А. Аналіз фінансового стану підприємства. - М.:
Инфра-М, 2005. - 243 с.;
Додаток 1
БАЛАНС
станом на 30 вересня 2009 року ФОРМА
№ 1
|
Актив
|
Код рядка
|
На початок звітного
|
На кінець звітного
|
|
|
періоду
|
періоду
|
|
1
|
2
|
3
|
4
|
|
І. НЕОБОРОТНІ АКТИВИ
|
|
|
|
|
Нематеріальні активи:
|
|
|
|
|
залишкова вартість
|
010
|
317
|
323
|
|
первісна вартість
|
011
|
1 480
|
1 576
|
|
накопичена амортизація
|
012
|
1 163
|
1 253
|
|
Незавершене будівництво:
|
020
|
748
|
1 375
|
|
Основні засоби:
|
|
|
|
|
залишкова вартість
|
030
|
24 908
|
23 802
|
|
первісна вартість
|
031
|
100 003
|
|
знос
|
032
|
75 095
|
76 758
|
|
Довгострокові біологічні активи
|
|
|
|
|
справедлива (залишкова) вартість
|
035
|
0
|
0
|
|
первісна вартість
|
036
|
|
|
|
накопичена амортизація
|
037
|
|
|
|
Довгострокові фінансові інвестиції:
|
|
|
|
|
які обліковуються за методом участі в капіталі інших підприємств
|
040
|
|
|
|
інші фінансові інвестиції
|
045
|
|
|
|
Довгострокова дебіторська заборгованість
|
050
|
|
|
|
Інвестиційна нерухомість:
|
055
|
0
|
0
|
|
Справедлива (залишкова) вартість івестиційної нерухомості
|
|
|
|
|
первісна вартість інвестиційної нерухомості
|
056
|
|
|
|
знос інвестиційної нерухомості
|
057
|
|
|
|
Відсрочені податкові активи
|
060
|
|
|
|
Гудвіл
|
065
|
|
|
|
Інші необоротні активи
|
070
|
|
|
|
Усього за розділом І
|
080
|
25 973
|
25 500
|
|
II. ОБОРОТНІ АКТИВИ
|
|
|
|
|
Виробничі запаси
|
100
|
1 986
|
3 708
|
|
Поточні біологічні активи
|
110
|
|
|
|
Незавершене виробництво
|
120
|
|
|
|
Готова продукція
|
130
|
|
|
|
Товари
|
140
|
|
|
|
Векселі одержані
|
150
|
|
|
|
Дебіторська заборгованість за товари, роботи, послуги:
|
|
|
|
|
чиста реалізаційна вартість
|
160
|
20 250
|
14 205
|
|
первісна вартість
|
161
|
20 357
|
14 304
|
|
резерв сумнівних боргів
|
162
|
107
|
99
|
|
Дебіторська заборгованість за розрахунками:
|
|
|
|
|
з бюджетом
|
170
|
|
8
|
|
за виданими авансами
|
180
|
1 331
|
233
|
|
з нарахованих доходів
|
190
|
|
|
|
із внутрішніх розрахунків
|
200
|
|
|
|
Інша поточна дебіторська заборгованість
|
210
|
159
|
140
|
|
Поточні фінансові інвестиції
|
220
|
|
|
|
Грошові кошти та їх еквіваленти:
|
|
|
|
|
в національній валюті
|
230
|
662
|
2 118
|
|
у т. ч. в касі
|
231
|
|
1
|
|
в іноземній валюті
|
240
|
|
|
|
Інші оборотні активи
|
250
|
1 117
|
140
|
|
Усього за розділом II
|
260
|
25 505
|
20 552
|
|
III. ВИТРАТИ МАЙБУТНІХ ПЕРІОДІВ
|
270
|
35
|
30
|
|
IV. НЕОБОРОТНІ АКТИВИ ТА ГРУПИ ВИБУТТЯ
|
275
|
|
|
|
БАЛАНС
|
280
|
51513
|
46 082
|
|
Пасив
|
Код рядка
|
На початок звітного періоду
|
На кінець звітного періоду
|
|
1
|
2
|
3
|
4
|
|
1. ВЛАСНИИ КАПІТАЛ
|
|
|
|
|
Статутний капітал
|
300
|
62 513
|
62 513
|
|
Пайовий капітал
|
310
|
|
|
|
Додатковий вкладений капітал
|
320
|
|
|
|
Інший додатковий капітал
|
330
|
2 439
|
2 364
|
|
Резервний капітал
|
340
|
|
|
|
Нерозподілений прибуток (непокритий збиток)
|
350
|
-58 418
|
-63 347
|
|
Неоплачений капітал
|
360
|
|
|
|
Вилучений капітал
|
370
|
|
|
|
Усього за розділом І
|
380
|
6 534
|
1530
|
|
II. ЗАБЕЗПЕЧЕННЯ ТАКИХ ВИТРАТ І ПЛАТЕЖІВ
|
|
|
|
|
Забезпечення виплат персоналу
|
400
|
|
|
|
Інші забезпечення
|
410
|
|
|
|
Технічні резерви, резерви зі страхування життя
|
415
|
|
|
|
Частка перестраховиків у технічних резервах, у резервах зі страхування
життя
|
416
|
|
|
|
Забезпечення призового фонду
|
417
|
|
|
|
Резерв на виплату джек-поту, не забезпеченого сплатою участі у
лотереї
|
418
|
|
|
|
Цільове фінансування
|
420
|
|
|
|
Усього за розділом II
|
430
|
0
|
0
|
|
III. ДОВГОСТРОКОВІ ЗОБОВ'ЯЗАННЯ
|
|
|
|
|
Довгострокові кредити банків
|
440
|
|
|
|
Інші довгострокові фінансові зобов'язання
|
450
|
|
|
|
Відстрочені податкові зобов'язання
|
460
|
3 469
|
3 469
|
|
Інші довгострокові зобов'язання
|
470
|
|
|
|
Усього за розділом III
|
480
|
3 469
|
3 469
|
|
IV. ПОТОЧНІ ЗОБОВ'ЯЗАННЯ
|
|
|
|
|
Короткострокові кредити банків
|
500
|
2 300
|
|
|
Поточна заборгованість за довгостроковими зобов'язаннями
|
510
|
|
|
|
Векселі видані
|
520
|
|
|
|
Кредиторська заборгованість за товари, роботи, послуги
|
530
|
27 936
|
28 667
|
|
Поточні зобов'язання за розрахунками:
|
|
|
|
|
з одержаних авансів
|
540
|
1 961
|
4 174
|
|
з бюджетом
|
550
|
2 290
|
2 145
|
|
з позабюджетних платежів
|
560
|
|
|
|
зі страхування
|
570
|
263
|
253
|
|
з оплати праці
|
580
|
634
|
829
|
|
з учасниками
|
590
|
|
|
|
із внутрішніх розрахунків
|
600
|
|
|
|
Зобов'язання, пов'язані з необоротними активами та групами
вибуття, утримуваними для продажу
|
605
|
|
|
|
Інші поточні зобов'язання
|
6Ї0
|
6 126
|
5 015
|
|
Усього за розділом IV
|
620
|
41 510
|
41 083
|
|
ДОХОДИ МАЙБУТНІХ ПЕРІОДІВ
|
630
|
|
|
|
640
|
51 513
|
46 082
|
Додаток 2
ЗВІТ ПРО ФІНАНСОВІ РЕЗУЛЬТАТИ за 9
місяців 2009 року
ФОРМА № 2
І. ФІНАНСОВІ РЕЗУЛЬТАТИ
|
Стаття
|
Код оядка
|
За звітний період
|
За попередній період
|
|
і
|
2
|
3
|
4
|
|
Доход (виручка) від реалізації продукції (товарів, робіт,
послуг)
|
010
|
76 223
|
65 386
|
|
Податок на додану вартість
|
015
|
12 704
|
10 898
|
|
Акцизний збір
|
020
|
|
|
|
Інші податки та збори, сплачені з обороту
|
025
|
|
|
|
Інші вирахування з доходу
|
030
|
4
|
|
|
Чистий доход (виручка) від реалізації продукції (товарів, робіт,
послуг)
|
035
|
63 515
|
54 488
|
|
Собівартість реалізованої продукції (товарів, робіт, послуг)
|
040
|
62 514
|
47 750
|
|
Валовий:
|
|
|
|
|
прибуток
|
050
|
1 001
|
6 738
|
|
збиток
|
055
|
0
|
0
|
|
Інші операційні доходи
|
060
|
3 490
|
8 143
|
|
У т.ч. дохід від первісного визнання біологічних активів і
сільськогосподарської продукції, одержаних унаслідок сільськогосподарської
діяльності
|
061
|
|
|
|
Адміністративні витрати
|
070
|
4 562
|
4 153
|
|
Витрати на збут
|
080
|
2 482
|
1 1 929
|
|
Інші операційні витрати
|
090
|
2 037
|
4 573
|
|
У т.ч. витрати від первісного визнання біологічних активів і
сільськогосподарської продукції, одержаних унаслідок сільськогосподарської
діяльності
|
091
|
|
|
|
Фінансові результати від операційної діяльності:
|
|
|
|
|
прибуток
|
100
|
0
|
4 226
|
|
збиток
|
105
|
4 590
|
0
|
|
Доход від участі у капіталі
|
110
|
|
|
|
Інші фінансові доходи
|
120
|
|
18
|
|
Інші доходи
|
130
|
75
|
108
|
|
Фінансові витрати
|
140
|
54
|
69
|
|
Втрати від участі у капіталі
|
150
|
|
|
|
Інші витрати
|
160
|
|
|
|
Прибуток (збиток) від впливу інфляції на монетарні статті
|
165
|
|
|
|
Фінансові результати від звичайної діяльності до оподаткування:
|
|
|
|
|
прибуток
|
170
|
0
|
4 283
|
|
збиток
|
175
|
4 569
|
0
|
|
У т.ч. від припинення діяльності та/або від переоцінки
необоротних активів та груп вибуття унаслідок припинення діяльності
|
|
|
|
|
прибуток
|
176
|
|
|
|
збиток
|
177
|
|
|
|
Податок на прибуток від звичайної діяльності:
|
180
|
|
570
|
|
Дохід з податку на прибуток від звичайної діяльності
|
185
|
|
|
|
Фінансові результати від звичайної діяльності:
|
|
|
|
|
прибуток
|
190
|
0
|
3 713
|
|
збиток
|
195
|
0
|
|
Надзвичайні:
|
|
|
|
|
доходи
|
200
|
|
|
|
витрати
|
205
|
|
|
|
Податки з надзвичайного прибутку
|
210
|
|
|
|
Чистий
|
|
|
|
|
прибуток
|
220
|
0
|
3713
|
|
збиток
|
225
|
4 569
|
0
|
|
Забезпечення матеріального заохочення
|
226
|
|
|
. ЕЛЕМЕНТИ ОПЕРАЦІЙНИХ ВИТРАТ
|
Найменування показника
|
Код рядка
|
За звітний період
|
За попередній період
|
|
1
|
2
|
3
|
4
|
|
Матеріальні затрати
|
230
|
48 648
|
36 744
|
|
Витрати на оплату праці
|
240
|
13 351
|
10 380
|
|
Відрахування на соціальні заходи
|
250
|
4 909
|
3 533
|
|
Амортизація
|
260
|
1 777
|
1 665
|
|
Інші операційні витрати
|
270
|
2 793
|
5 733
|
|
Разом
|
280
|
71 478
|
58 055
|
III. РОЗРАХУНОК ПОКАЗНИКІВ
ПРИБУТКОВОСТІ АКЦІЙ
|
Назва статті
|
Код рядка
|
За звітний період
|
1 За попередній період
|
|
і
|
2
|
3
|
4
|
|
Середньорічна кількість простих акцій
|
300
|
|
|
|
Скоригована середньорічна кількість простих акцій
|
310
|
|
|
|
Чистий прибуток (збиток) на одну просту акцію
|
320
|
|
|
|
Скоригований чистий прибуток (збиток) на одну просту акцію
|
330
|
|
|
|
Дивіденди на одну просту акцію
|
340
|
|
|