Теория вероятности. Распределение Пуассона и Эрланга
Задание № 1
. Построить распределение вероятности занятия линий в пучке из V линий в соответствии с
распределениями Бернулли, Пуассона и Эрланга.
. Для каждого распределения рассчитать математическое ожидание числа
занятых линий, их дисперсию и среднеквадратическое отклонение.
Исходные данные для расчетов приведены в таблице 1.1 Величину А принять
равной А=а
V.
Таблица 1.1
Требования к выполнению задания:
1. Результаты расчета распределений
представить в виде таблицы 1.2 и графика Pi = f(i).
Таблица 1.2
На
каждом графике привести значения математического ожидания, дисперсии,
среднеквадратического отклонения и
.
1. Расчеты проводить с точностью до
четвертого знака после запятой.
В заключении провести анализ полученных результатов.
Решение:
. Распределение Бернулли
Пусть исследуется пучок из V линий,
каждая линия с вероятностью a
может оказаться занятой и с вероятностью (1-a) - свободной. Тогда вероятность того, что в пучке из V линий окажется i любых линий занято, может быть
определена из выражения
где
Таблица 1.1
|
|
|
|
0
|
0
|
|
1
|
0.225
|
|
2
|
0.3
|
|
3
|
0.233
|
|
4
|
0.116
|
|
5
|
0.039
|
|
6
|
0.0086
|
|
7
|
0.0012
|
|
8
|
0.0001
|
|
9
|
0
|
Математическое ожидание и дисперсия числа занятых линий, вероятность
занятия которых описывается распределением Бернулли, соответственно равны:
Средним квадратическим отклонением СВ называют корень квадратный из
дисперсии:
2. Распределение Пуассона
Требуется найти вероятность Pi того, что на интервал [0,t) попадет точно i точек, т.е. будет занято i любых линий из V.
Обозначим λ -математическое ожидание числа вызовов, приходящихся
на единицу длины интервала. Обычно за единицу длины интервала времени
принимается 1 час. Вероятность Pi выражается формулой
Это выражение носит название распределения Пуассона. Распределение
Пуассона справедливо при выполнении следующих условий:
·
вероятность
попадания того или иного числа точек на интервал [0,t) зависит только от длины
этого интервала и не зависит от его положения на оси времени;
·
события, состоящие
в попадании того или иного числа точек в неперекрывающиеся интервалы времени,
независимы;
·
вероятность
попадания на малый участок Δt двух и более точек пренебрежимо мала по сравнению с
вероятностью попадания одной точки.
Входящая
в формулу величина
есть не что иное, как среднее число точек,
приходящихся на интервал [0,t) (математическое
ожидание числа точек, попадающих на этот участок). Пусть длина интервала [0,t)
равна средней длительности обслуживания одного вызова -
. Величину
в теории
телетрафика называют интенсивностью поступающей нагрузки и обозначают A.
Тогда
формула может быть записана:
;
где
Таблица
1.2
|
|
|
|
0
|
0
|
|
1
|
0.237
|
|
2
|
0.266
|
|
3
|
0.2
|
|
4
|
0.11
|
|
5
|
0.05
|
|
6
|
0.018
|
|
7
|
0.006
|
|
8
|
0.0017
|
|
9
|
0.0004
|
Математическое ожидание и дисперсия СВ, распределенной по закону Пуассона
;
3. Распределение Эрланга
В теории телетрафика широко применяется усеченное распределение Пуассона,
связанное с формулой Эрланга
, i=0,1,…,V ,
(1.5)
В
распределении Эрланга взяты первые V+1 значения из
распределения Пуассона и пронормированы так, чтобы сумма вероятностей была бы
равна 1.
Для
определения составляющих распределения Эрланга можно применить следующее
рекуррентное соотношение:
Таблица 1.3
|
|
|
|
0
|
0
|
|
1
|
0.237
|
|
2
|
0.2668
|
|
3
|
0.2
|
|
4
|
0.112
|
|
5
|
0.05
|
|
6
|
0.0189
|
|
7
|
0.006
|
|
8
|
0.0017
|
|
9
|
0.0004
|
Математическое ожидание и дисперсия числа занятых линий, вероятность
которых определяется по распределению Эрланга, соответственно равны:

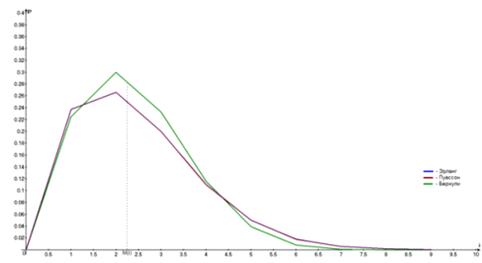
Построим графики распределения вероятности:
Рис. 1
Задание № 2
1. Для простейшего потока вызовов рассчитать вероятности поступления k вызовов за промежуток времени [0,t) Pk(t*), где t*=0,5;1,0;1,5;2,0. Значения A и
V взять из задания 1. Число вызовов
k=[V/2] - целая часть числа.
2.
Построить функцию распределения промежутков времени между двумя
последовательными моментами поступления вызовов F(t*) для значений t*=0;0,1;0,2;0,3;0,4;0,5.Результаты расчета
представить в виде таблицы 2.1 и графика
.
Таблица
2.1.
|
t*
|
0
|
0,1
|
0,2
|
0,3
|
0,4
|
0,5
|
|
F(t*)
|
|
|
|
|
|
|
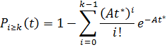
. Рассчитать вероятность поступления не менее k вызовов за интервал времени [0,t* ) Pi≥k(t*), где t*=1.
1. Провести анализ результатов.
Решение:
Исходные данные:
;
Рассчитаем вероятности поступления k вызовов за промежуток времени [0,t) Pk(t*), где t*=0,5;1,0;1,5;2,0 по формуле:
Таблица 2.1
|
|
0.5
|
1
|
1.5
|
2
|
|
|
0.0216
|
0.1125
|
0.1849
|
0.1898
|
Найдём функцию распределения по формуле:
Таблица 2.2
|
t*
|
0
|
0,1
|
0,2
|
0,3
|
0,4
|
0,5
|
|
(t*)
|
0
|
0.2014
|
0.362
|
0.49
|
0.593
|
0.675
|
Построим график функции распределения:
Рис. 2
Вероятность поступления не менее K вызовов будем искать по формуле:
Где
Задание № 3
1) Изобразить структурную схему проектируемой сети.
) Изобразить функциональную схему проектируемой АТС.
3)
По формулам (3.3), (3.7), (3.1), (3.8) рассчитать интенсивность нагрузки,
поступающей на входы коммутационного поля проектируемой АТСЭ-4 -
)
Рассчитать среднюю удельную интенсивность нагрузки на абонентскую линию.
)
Пересчитать по (3.9) интенсивность нагрузки на выходы коммутационного поля
проектируемой АТСЭ-4.
Таблица 3.1 Исходные данные:
|
№ вар.
|
Nнх
|
Nкв
|
cнх
|
Tнх,с
|
скв
|
Tкв,с
|
|
2.
|
3500
|
3500
|
3
|
100
|
1
|
150
|
Решение:
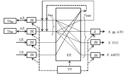
. Структурная схема проектируемой сети
Рис. 3
2. Функциональная схема проектируемой АТС
Рис. 4
3.По
формулам (3.3), (3.7), (3.1), (3.8) рассчитать интенсивность нагрузки,
поступающей на входы коммутационного поля проектируемой АТСЭ-4 -
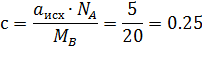
Время
разговора определяется как
с
Средняя
длительность занятия определяется по следующей формуле:
Интенсивность
поступающей нагрузки:
Эрл.
.
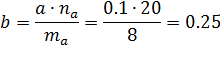
Рассчитаем среднюю удельную интенсивность нагрузки на абонентскую линию.
Эрл
Эрл
Эрл
.Пересчитаем
интенсивность нагрузки на выходу коммутационного поля проектируемой АТСЭ-4.
,
6.Рассчитать
интенсивность нагрузки к АМТС
0,07Yвых, к УСС
0,02Yвых, к ЦПС
0.02Yвых ; к IP-сети
0.01 Yвых.
.Распределить
интенсивность нагрузки
по направлениям межстанционной связи методом
нормированных коэффициентов тяготения. Интенсивность нагрузки на АТС сети
рассчитывать следующим образом:
.
Расстояния от проектируемой АТСЭ-4 к АТС сети принять по рис. 3.3. из расчета
1см=1км.
Где
Эрл
Эрл
Эрл
Эрл
Эрл
;
;
. Эрл
.Результаты
расчета представить в виде таблицы 3.1
Таблица
3.1
|
Направлен.
|
АМТС
|
УСС
|
ЦПС
|
IP-сеть
|
АТСЭ-1
|
АТСДШ-2
|
АТСК-3
|
АТСЭ-4
|
Итого
|
|
Интенсив. межстанц. нагрузкиЭрл.
|
21,22
|
6,06
|
6,06
|
3,03
|
57.25
|
72,18
|
64,16
|
73,18
|
303.08
|
Сделать проверку:
.
9.Построить
диаграмму распределения телефонной нагрузки проектируемой АТСЭ-4 (рис.3.5). При
этом исходящую нагрузку к другой АТС принять равной входящей
.
Задание № 4
Тема 4. Метод расчета пропускной способности однозвенных
полнодоступных включений при обслуживании простейшего потока вызовов по системе
с потерями. Первая формула Эрланга
Рассчитать необходимое число линий на всех направлениях межстанционной
связи от проектируемой АТСЭ-4 к АТСЭ-1, АМТС, ЦПС, IP-сети и АТСЭ-4 число линий рассчитывается по суммарной
исходящей и входящей нагрузке, так как используются линии двустороннего
занятия. Расчет числа соединительных линий провести в предположении
полнодоступного неблокируемого включения при следующих нормах величины потерь
по исходящей и входящей связи: PУСС=1‰; PАМТС=10‰; PЦПС=5‰; PIP=7‰; Pвн.стан.=3‰, PАТС-АТС.=10‰.
Решение:
1. Расчёт необходимого числа линий на всех направлениях
межстанционной связи.
Таблица 4.1
|
Наименование исходящих направлений
|
Интенсивность нагрузки, Эрл.
|
Норма потерь, P
|
Табличное значение потерь, EV,V(А)
|
Число линий,V
|
|
УСС
|
6.06
|
0.001
|
0,000048
|
18
|
|
АМТС+
|
21.22
|
0.01
|
0.00037
|
63
|
|
ЦПС+
|
6.06
|
0.005
|
0,00039
|
16
|
|
IP-сеть+
|
3.03
|
0.007
|
0,00027
|
11
|
|
АТСЭ-1+
|
57,25
|
0.003
|
0,0003
|
86
|
|
АТСДШ-2
|
73.18
|
0.003
|
0,00028
|
105
|
|
АТСК-3
|
64.16
|
0.003
|
0,00027
|
91
|
|
АТСЭ-4+ (внутристанционное)
|
73.18
|
0.003
|
0,00028
|
105
|
2.Зависимость
числа линий V и коэффициента среднего использования
от величины интенсивности нагрузки при величине
потерь P=0,0NN, где NN- номер варианта. NN = 7
Таблица 4.2
|
№№ пп
|
Нагрузка Y,Эрл.
|
Число линий V
|
Табличное значение потерь, EV,V(Y)
|
Обслуженная нагрузка, Yo,Эрл.
|
Коэффициент использования, η
|
|
1
|
1
|
3
|
0,0625
|
0,9375
|
0,3125
|
|
2
|
3
|
6
|
0,0521
|
2,84
|
0,474
|
|
3
|
5
|
9
|
4,81
|
0,535
|
|
4
|
10
|
14
|
0,057
|
9,4318
|
0,674
|
|
5
|
15
|
19
|
0,064
|
14,044
|
0,74
|
|
6
|
20
|
24
|
0,066
|
18,678
|
0,778
|
|
7
|
30
|
34
|
0,0663
|
28,01
|
0,824
|
|
8
|
40
|
44
|
0,0646
|
37, 4
|
0,85
|
|
9
|
45
|
49
|
0,0635
|
42,14
|
0,86
|
|
10
|
50
|
54
|
0,0625
|
46,88
|
0,868
|
Зависимость
коэффициента среднего использования
от
величины интенсивности нагрузки
Рис.
5
Зависимость
числа линий V от величины интенсивности нагрузки
Рис.
6
.
Построим зависимость величины потерь
от
интенсивности поступающей нагрузки при фиксированном значении числа линий в
направлении к УСС.
Таблица
4.3
|
NN пп
|
1
|
2
|
3
|
4
|
5
|
6
|
7
|
8
|
9
|
10
|
|
Y,Эрл.
|
5,5
|
6
|
6,5
|
7,5
|
8,5
|
9
|
10
|
10,5
|
11
|
11,5
|
|
0,00110,00220,00460,01140,02460,03370,05680,07040,08510,1008
|
|
|
|
|
|
|
|
|
|
|
Задание № 5
Тема 5. Метод расчета полнодоступных неблокируемых включений
при обслуживании примитивного потока вызовов по системе с потерями. Формула
Энгсета
1.Рассчитаем
для заданого V и a при n=20 вероятности
,
и Pн,
сравнить их по величине. Для расчета значения V и a
возьмём из задания 1.
,
Используя
таблицы определим потери по вызовам:
.Построим
зависимость числа линий V от интенсивности нагрузки для фиксированного значения
при
, где NN-номер
варианта. NN=07
Таблица
5.1
|
№№ пп
|
n=10
|
n=30
|
n=60
|
n=∞
|
|
a
|
Y=na
|
V
|
a
|
Y=na
|
V
|
a
|
Y=na
|
V
|
Y
|
V
|
|
1 2 3 4 5
|
0,005 0,05 0,12 0,25 0,36
|
0,05 0,5 1,2 2,5 3,6
|
2 4 5 7 8
|
0,025 0,1 0,18 0,3 0,4
|
0,75 3 5,4 9 12
|
4 8 11 16 19
|
0,02 0,12 0,2 0,4 0,5
|
1,2 7,2 12 24 30
|
5 14 20 33 39
|
3,5 10 16,9 22 26
|
10 20 30 35 40
|
Построим зависимость числа линий от нагрузки для каждого из n=10, 30, 60.
Рис. 7
Задание № 6
Тема 6. Методы расчета полнодоступных неблокируемых включений
при обслуживании вызовов простейшего потока вызовов по системе с ожиданием
1.Расчёт величины условных потерь для всех исходящих направлений от
проектируемой АТСЭ-4, предполагая, что полнодоступный пучок линий обслуживается
по системе с ожиданием.
Таблица 6.1
|
Назначения направления
|
A,Эрл.
|
V
|

|
|
|
УСС АМТС ЦПC IP-сеть
АТСЭ-1 АТСДШ-2 АТСК-3 АТСЭ-4 (внутристанционное)
|
6.6 21.22 6.06 3.03 57.25 73.18 64.16 73.18
|
18 37 16 11 86 105 91 105
|
0,000048 0,000668 0,000394 0,000274 0,0003 0,000279
0,000273 0,000279
|
0,000072 0,0015 0,00063 0,000375 0,000897 0,00092 0,000945
0,00092
|
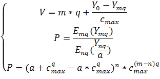
2.Для
направления к АМТС рассчитаем:
,
,
,
и
.
Значение
примем равным
, которое
рассчитано в задании 3.
, 
, тогда
.Определим качество обслуживания вызовов маркером блока
ГИ АТСК-3 при норме качества обслуживания
Время
обслуживания одного вызова маркером ГИ составляет
Допустимое время ожидания не должно превышать
.
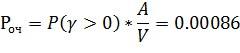
Нагрузка
на маркер блока ГИ определяется как:
=0.204
Эрл.
Рис.
8
Эрл. -
максимально доп. нагрузка на входе блока ГИ
Эрл.
4.Изменение качества обслуживания при:
увеличении
скорости работы маркера в 2 раза
В
этом случае, максимальная нагрузка, которую может обслужить блок ГИ, при
заданной норме качества увеличится в 2 раза.
Эрл.
Эрл.
уменьшении
скорости работы маркера в 2 раза
Эрл.
При
этом максимальная нагрузка уменьшается в 2 раза
Эрл.
При
этом необходимо уменьшать нагрузку на вход ГИ.
Задание
№ 8
пропускной обслуживание вероятность пуассон
Тема 8. Методы расчета пропускной способности однозвенных
неполнодоступных включений: упрощенная формула Эрланга, формула О’Делла,
формула Пальма-Якобеуса
1.Рассчитаем
и построим зависимости числа линий V и коэффициента среднего
использования
от интенсивности поступающей нагрузки А при величине
потерь
, используя метод О’Делла.
Формула
О’Делла:
Где
- нагрузка, обслуженная ПД пучком из D
линий при потерях P.
Таблица
8.1
|
Направление связи от АТСЭ-4
|
А, Эрл
|

|
|
|
|
|
V
|
VV
|
|
|
|
|
|
УСС
|
6.06
|
14
|
0.428
|
-
|
-
|
-
|
-
|
|
АМТС
|
21.22
|
38
|
0.558
|
33
|
0.643
|
-
|
-
|
|
ЦПС
|
6.06
|
14
|
0.428
|
-
|
-
|
-
|
-
|
|
IP-сеть
|
3.03
|
-
|
-
|
-
|
-
|
-
|
-
|
|
АТСЭ - 1
|
57.25
|
98
|
0.584
|
79
|
0.724
|
74
|
0.774
|
|
АТСДШ - 2 (удвоен.)
|
144.36
|
241
|
0.599
|
190
|
0.76
|
172
|
0.839
|
|
АТСК - 2 (удвоен.)
|
128.32
|
215
|
0.596
|
170
|
0.754
|
154
|
0.833
|
|
АТСЭ-4 (внутристанционное)
|
73.18
|
124
|
0.59
|
100
|
0.732
|
92
|
0.795
|
Рис. 9
2.
Рассчитаем и построим зависимость числа линий
от
величины потерь
неполнодоступного пучка при значении
и
по
формуле Эрланга, О’Делла, Пальма - Якобеуса. Результаты расчета представить в
виде таблицы и графика.
Таблица
8.2
|
№ п.п.
|
, рассчитанное по формулам
|
|
|
|
Эрланга
|
О’ Делла
|
Пальма -Якобеуса
|
|
1 2 3 4 5
|
0,001 0,007 0,01 0,1 0,2
|
147 121 116 93 89
|
148 124 120 97 92
|
150 130 125 100 95
|
Формула Эрланга:
Формула О’Делла:
Формула Пальма-Якобеуса:
Рис. 10
Задание № 9
Тема 9. Метод Якобеуса для расчета пропускной способности
двухзвенных полнодоступных включений.
Тип блока: Двухзвенный блок ГИ с параметрами
Нагрузка:
Рис. 11
Найдем количество коммутаторов в звене А:
Определим количество входов в каждом коммутаторе:
Количество выходов:
Звено А состоит из четырех коммутаторов
Рассмотрим звено В:
Количество выходов:
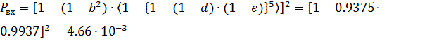
1)Рассчитаем величину вероятности потерь для направлений к УСС и АМТС при
полнодоступном двухзвенном включении линий:
Найдем связность блока:
Найдем коэффициент сжатия или расширения:
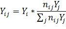
Интенсивности нагрузок:
Норма потерь:
Вероятности потерь для направлений
к АМТС:
Возьмем q=1
- не удовлетворяет норме, тогда
Возьмем q=2
- Потери удовлетворяют нормам.
к УСС: Возьмем q=1
- Потери удовлетворяют нормам.
) Для того же двухзвенного блока ГИ найдём необходимое число линий в
направлении от АТСК-3 к проектируемой АТСЭ-4, при потерях P=0.007 и предполагая полнодоступное
включение.
Найдем необходимое число линий методом подбора.
Возьмем q=1
q=3
=4
=5
Следовательно, нам нужно 100 линий в направлении от АТСК-3 к
проектируемой АТСЭ-4.
Задание № 10
Тема 10. Методы расчета пропускной способности двухзвенных
схем, в выходы которых включен неполнодоступный пучок линий
1.
Для заданного в таблице 6.2 задания 6 двухзвенного блока ГИ методом Якобеуса
рассчитаем число линий в НПД пучке для направления от АТСК-3 к проектируемой
АТСЭ-4 при величине
и качестве обслуживания
5‰. Интенсивность поступающей на один вход блока ГИ
нагрузки взять из задания 6.
,
Уравнения
для коммутационных двухзвенных схем с расширением:
Найдем
методом подбора, с использованием таблиц Пальма, и при известных Р,m,n,q и a, из
второго уравнения системы определим
Пусть
Тогда:
Не
подходит по потерям.
Возьмем
:
-
выбрано верно.
Найдем
решением третьего уравнения
Подставим
полученные значения в первое уравнение и определим число линий:
Для
этого же блока ГИ методом эффективной доступности рассчитаем число линий для
направления от АТСК-3 к проектируемой АТСЭ-4 при величине
и качестве обслуживания
5‰.
Минимальная
доступность
Минимальная
доступность
Найдем
математическое ожидание количества свободных линий:
Найдем
эффективную доступность:
Сравнение
этих методов, показывает, что метод Якобеуса даёт небольшие погрешности при
расчёте числа линий в НПД пучке.
Задание
№ 11
Тема 11. Метод построения равномерных неполнодоступных
включений: метод цилиндров
Построим
схему равномерного НПД включения линий для направления от АТСК-3 к
проектируемой АТСЭ-4 на выходе двухзвенного блока ГИ. Для оценки выполненного
включения составим матрицу связности. Число линий V возьмём из
результатов расчета задания 9, число нагрузочных групп
выберем таким образом, чтобы выполнялось условие
=2÷4.
Исходные
данные:
=18, V=120, D = 20,
=3 -
коэффициент уплотнения.
Решение:
Построим
матрицу связности.
|
1
|
2
|
3
|
4
|
5
|
6
|
7
|
8
|
9
|
10
|
11
|
12
|
13
|
14
|
15
|
16
|
17
|
18
|
|
1
|
X
|
2
|
3
|
3
|
3
|
1
|
4
|
|
1
|
1
|
2
|
|
1
|
3
|
2
|
1
|
2
|
|
2
|
2
|
X
|
2
|
2
|
3
|
3
|
3
|
1
|
3
|
|
1
|
1
|
2
|
|
2
|
3
|
3
|
2
|
|
3
|
2
|
2
|
X
|
2
|
2
|
3
|
3
|
3
|
1
|
3
|
|
2
|
1
|
2
|
1
|
1
|
1
|
1
|
|
4
|
3
|
2
|
2
|
X
|
2
|
2
|
3
|
3
|
3
|
1
|
2
|
|
2
|
1
|
2
|
1
|
2
|
2
|
|
5
|
3
|
3
|
2
|
2
|
X
|
2
|
2
|
3
|
3
|
3
|
1
|
2
|
|
1
|
1
|
2
|
|
2
|
|
6
|
3
|
3
|
3
|
2
|
2
|
X
|
2
|
2
|
3
|
3
|
3
|
1
|
2
|
|
1
|
1
|
2
|
1
|
|
7
|
1
|
3
|
3
|
3
|
2
|
2
|
X
|
2
|
2
|
3
|
3
|
3
|
1
|
2
|
|
2
|
1
|
2
|
|
8
|
4
|
1
|
3
|
3
|
3
|
2
|
2
|
X
|
2
|
2
|
3
|
3
|
3
|
1
|
2
|
|
2
|
|
|
9
|
|
3
|
1
|
3
|
3
|
3
|
2
|
2
|
X
|
2
|
2
|
3
|
3
|
3
|
1
|
2
|
|
1
|
|
10
|
1
|
|
3
|
1
|
3
|
3
|
3
|
2
|
2
|
X
|
2
|
2
|
3
|
3
|
3
|
1
|
3
|
|
|
11
|
1
|
1
|
|
2
|
1
|
3
|
3
|
3
|
2
|
2
|
X
|
2
|
2
|
3
|
4
|
3
|
1
|
3
|
|
12
|
2
|
1
|
2
|
|
2
|
1
|
3
|
3
|
3
|
2
|
2
|
X
|
3
|
3
|
3
|
3
|
3
|
1
|
|
13
|
|
2
|
1
|
2
|
|
2
|
1
|
3
|
3
|
3
|
2
|
3
|
X
|
3
|
2
|
3
|
3
|
3
|
|
14
|
1
|
|
2
|
1
|
1
|
|
2
|
1
|
3
|
3
|
3
|
3
|
3
|
X
|
2
|
2
|
3
|
3
|
|
15
|
3
|
2
|
1
|
2
|
1
|
1
|
|
2
|
1
|
3
|
4
|
3
|
2
|
2
|
X
|
2
|
2
|
4
|
|
16
|
2
|
3
|
1
|
1
|
2
|
1
|
2
|
|
2
|
1
|
3
|
3
|
3
|
2
|
2
|
X
|
2
|
2
|
|
17
|
1
|
3
|
1
|
2
|
|
2
|
1
|
2
|
|
3
|
1
|
3
|
3
|
3
|
2
|
2
|
X
|
2
|
|
18
|
2
|
2
|
1
|
2
|
2
|
1
|
2
|
|
1
|
|
3
|
1
|
3
|
3
|
4
|
2
|
2
|
X
|
Рис. 12
Задание № 12
Тема 12. Метод вероятностных графов для расчета пропускной
способности многозвенных коммутационных схем.
1.Рассчитаем структурные параметры и построим схему группообразования
блока абонентского искания (АИ) АТСК-3 в координатном виде. Структура
коммутационной схемы и типы МКС, на которых реализовано каждое звено, заданы в
таблице в соответствии с номером варианта.
.Построить вероятностные графы и рассчитать вероятность потерь методом
вероятностных графов по исходящей и входящей связи для блока абонентского
искания Удельную исходящую абонентскую нагрузку принять равной входящей аисх=авх=а
из задания 3.
Исходные данные: аисх=0.05 Эрл.
|
Звено А
|
20 10 6
|
|
Звено В
|
10 10 12
|
10 10 12
|
|
Звено D
|
10 10 12
|
Параметры блока ГИ :
Рис.
13
1) Число коммутаторов на звене А:
Число входов, включенных в 1-н коммутатор на звене А:
;
Число выходов из одного коммутатора на звене А:
) Число коммутаторов на звене B:
Число входов, включенных в 1-н коммутатор на звене B:
;
Число выходов из одного коммутатора на звене B:
3) Число коммутаторов на звене C:
Число входов, включенных в 1-н коммутатор на звене C:
;
Число выходов из одного коммутатора на звене C:
) Число коммутаторов на звене D:
Число входов, включенных в 1-н коммутатор на звене D:
;
Число выходов из одного коммутатора на звене D:
Схема группообразования ступени абонентского искания в координатном виде
Рис. 14
Вероятностный граф по входящей связи.
Рассчитаем потери по входящей связи:
Тогда:
Вероятностный граф по исходящей связи.
Рис. 16
Рассчитаем потери по исходящей связи:
или
Задание № 13
Тема 13. Метод расчета сети с обходными направлениями
1.Рассчитать оптимальное число линий в прямых направления от
проектируемой АТСЭ-4 к АТСДШ-2 иАТСК-3. В качестве обходной принять АТСЭ-1.
.Рассчитать параметры избыточной нагрузки от прямых направлений 4-2 и
4-3.
3.Построить
реальную и эквивалентную схемы включения линий на обходном направлении и
рассчитать число линий на этом направлении при норме величины потерь
.
Для
расчетов воспользоваться следующими исходными данными:
1) интенсивность нагрузки в прямых направлениях принять в
соответствии с задан. 3;
) для определения расстояния составить матрицу расстояний между
АТС в соответствии с заданием 3;
) значение затрат на организацию одной соединительной линии
принять в соотв. с табл. 13.2; затраты на один вход коммут. оборудования
принять 1500 руб.
Таблица 13.2
|
Диапазон расстояний
|
Затраты на 1 км линии, руб.
|
|
от 0 до 5 от 5 до 10 от 10 до 13 свыше 13
|
180 200 300 500
|
4) нагрузку
на обоих участках обходного направления принять одинаковой и равной нагрузке от
проектируемой АТСЭ-4 к АТСЭ-1
;
Решение:
Схема включения линий на обходном направлении имеет вид:
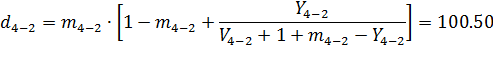
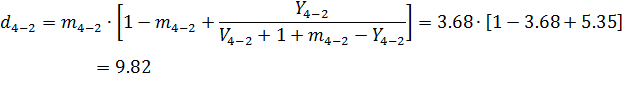
Нагрузки в прямых направлениях:
Эрл
Эрл.
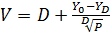
1)Рассчитаем оптимальное число линий в прямых направлениях:
Оптимальное
число линий в прямом направлении зависит от интенсивности нагрузки, поступающей
на прямое направление ij
;
отношения
затрат на одну линию в прямом направлении к затратам на одну линию в обходном
направлении
;
Тогда:
Воспользуемся
приближенным методом определения
. Как
показали исследования, зависимость
при
и
достаточно
хорошо описывается уравнением прямой
.
Значения коэффициентов а и в при
для
различных
приведены в табл. 13.1.
Таблица
13.1
|
0,40,50,60,70,80,9
|
|
|
|
|
|
|
|
а
|
1,162
|
1,143
|
1,132
|
1,128
|
1,124
|
1,120
|
|
в
|
2,0
|
1,5
|
0,9
|
-0,8
|
-2,4
|
-0,5
|
Тогда:
Т.к. оптимальное число линий в прямых направлениях должно
быть кратно 30, то :
линий.
2)Рассчитаем параметры избыточной нагрузки от прямых направлений
4-2 и 4-3.
Для
характеристики избыточной нагрузки используют два параметра: математическое
ожидание
и пикфактор (коэффициент скученности)
, определяемый отношением дисперсии нагрузки к ее
математическому ожиданию:
.
Математическое
ожидание и дисперсию избыточной нагрузки можно найти из следующих выражений:
.
В
общем случае на обходное направление могут поступать избыточные нагрузки от
нескольких прямых направлений. Если принять, что поступающие на прямые
направления нагрузки являются независимыми, то избыточные нагрузки будут также
независимыми, и параметры объединенной на обходном направлении нагрузки
определяются из выражения:
Тогда
Пик-фактор
Зная
значения
и
, находят
число линий S
и нагрузку
,
используя формулы полученные Раппом:
Эрл.
рассчитаем
=0.43
с
помощью таблиц Пальма по значениям
и
определим
= 211
рассчитаем
число линий в обходном направлении
=211-102=109
Вариант
с учётом
)
Рассчитаем параметры избыточной нагрузки от прямых направлений 4-2 и 4-3.
В
общем случае на обходное направление могут поступать избыточные нагрузки от
нескольких прямых направлений. Если принять, что поступающие на прямые
направления нагрузки являются независимыми, то избыточные нагрузки будут также
независимыми, и параметры объединенной на обходном направлении нагрузки
определяются из выражения:
Тогда
Пик-фактор
Зная
значения
и
, находят
число линий S
и нагрузку
,
используя формулы полученные Раппом:
рассчитаем
=0.033
с
помощью таблиц Пальма по значениям
и
определим
= 43
рассчитаем
число линий в обходном направлении
=43-28=15