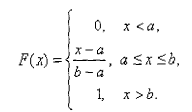
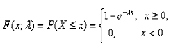
|
Значения х случайной величины X
|
х1
|
х2
|
…
|
хk
|
|
Вероятности Р (Х =х)
|
Р2
|
…
|
Рk
|
Для перечисленных к значений
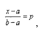
вероятности р решение хр уравнения (2) неединственно,
а именно,
F(x) =р, +р2+… + Рт
для всех х таких, что хт
< х < хт+1. Т.е. хр - любое число из
интервала (хт; xm+1). Для всех остальных р из промежутка (0; 1), не входящих в
перечень (3), имеет место «скачок» со значения меньше р до значения
больше р. А именно, если
p1 +p2+… + pт <p<p1 +p2+ … + pт+ pт+1,
то xр=xт+1.
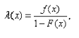
Рассмотренное свойство дискретных
распределений создает значительные трудности при табулировании и использовании
подобных распределений, поскольку невозможным оказывается точно выдержать
типовые численные значения характеристик распределения. В частности, это так
для критических значений и уровней значимости непараметрических статистических
критериев (см. ниже), поскольку распределения статистик этих критериев
дискретны.
Большое значение в статистике имеет
квантиль порядка p = ½. Он называется медианой
(случайной величины X или ее функции распределения F(x)) и обозначается Ме(Х). В геометрии есть понятие «медиана» -
прямая, проходящая через вершину треугольника и делящая противоположную его
сторону пополам. В математической статистике медиана делит пополам не сторону
треугольника, а распределение случайной величины: равенство F(x0,5) = 0,5 означает, что
вероятность попасть левее x0,5 и вероятность попасть правее x0,5 (или непосредственно x0,5) равны между собой
и равны ½, т.е.
Р (Х<х0,5)
= Р (Х>х0,5) = ½.
Медиана указывает «центр»
распределения. С точки зрения одной из современных концепций - теории
устойчивых статистических процедур - медиана является более хорошей
характеристикой случайной величины, чем математическое ожидание [2,7]. При
обработке результатов измерений в порядковой шкале (см. главу о теории
измерений) медианой можно пользоваться, а математическим ожиданием - нет.
Ясный смысл имеет такая
характеристика случайной величины, как мода - значение (или значения) случайной
величины, соответствующее локальному максимуму плотности вероятности для
непрерывной случайной величины или локальному максимуму вероятности для
дискретной случайной величины.
Если х0 - мода
случайной величины с плотностью f(x), то, как известно
из дифференциального исчисления,
У случайной величины может быть
много мод. Так, для равномерного распределения (1) каждая точка х такая,
что а < х < b, является модой. Однако
это исключение. Большинство случайных величин, используемых в
вероятностно-статистических методах принятия решений и других прикладных
исследованиях, имеют одну моду. Случайные величины, плотности, распределения,
имеющие одну моду, называются унимодальными.
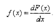
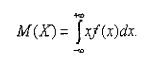
Математическое ожидание для
дискретных случайных величин с конечным числом значений рассмотрено в главе
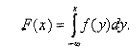
«События и вероятности». Для непрерывной случайной величины X математическое ожидание М(Х) удовлетворяет равенству
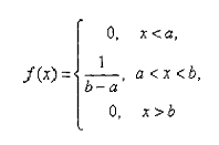
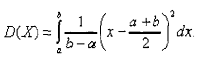
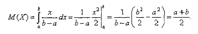
Пример 5. Математическое ожидание для равномерно распределенной случайной
величины X равно
Для рассматриваемых в настоящей
главе случайных величин верны все те свойства математических ожиданий и
дисперсий, которые были рассмотрены ранее для дискретных случайных величин с
конечным числом значений. Однако доказательства этих свойств не приводим,
поскольку они требуют углубления в математические тонкости, не являющегося
необходимым для понимания и квалифицированного применения
вероятностно-статистических методов принятия решений.
Замечание. В
настоящем учебнике сознательно обходятся математические тонкости, связанные, в
частности, с понятиями измеримых множеств и измеримых функций,
-алгебры
событий и т.п. Желающим освоить эти понятия необходимо обратиться к специальной
литературе, в частности, к энциклопедии [1].
Каждая из трех
характеристик - математическое ожидание, медиана, мода - описывает «центр»
распределения вероятностей. Понятие «центр» можно определять разными способами
- отсюда три разные характеристики. Однако для важного класса распределений -
симметричных унимодальных - все три характеристики совпадают.
Плотность распределения f(x)
- плотность симметричного распределения, если найдется число х0
такое, что
(3)
Равенство (3) означает, что график
функции у =f(х) симметричен относительно
вертикальной прямой, проходящей через центр симметрии х = х0. Из
(3) следует, что функция симметричного распределения удовлетворяет соотношению
(4)
Для симметричного распределения с
одной модой математическое ожидание, медиана и мода совпадают и равны х0.
Наиболее важен случай симметрии
относительно 0, т.е. хп = 0. Тогда (3) и (4) переходят в
равенства
(5)
и
(6)
соответственно.
Приведенные соотношения показывают, что симметричные распределения нет
необходимости табулировать при всех х, достаточно иметь таблицы при х
х0.
Отметим еще одно свойство
симметричных распределений, постоянно используемое в
вероятностно-статистических методах принятия решений и других прикладных
исследованиях. Для непрерывной функции распределения
Р(
а)
= Р (-а
<Х
а)
= F(a)
- F(-a),
где F - функция распределения случайной величины X. Если функция
распределения F симметрична относительно
0, т.е. для нее справедлива формула (6), то
Р(
а)
=2F(a)
- 1.
Часто используют другую формулировку
рассматриваемого утверждения: если
то
Если
и
-
квантили порядка α и 1-α соответственно (см. (2)) функции распределения, симметричной
относительно 0, то из (6) следует, что
От характеристик положения -
математического ожидания, медианы, моды - перейдем к характеристикам разброса
случайной величины X:
дисперсии
, среднему квадратическому отклонению σ и коэффициенту вариации
v.
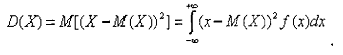
Определение и свойства дисперсии для дискретных случайных величин рассмотрены в
предыдущей главе. Для непрерывных случайных величин
Среднее квадратическое отклонение -
это неотрицательное значение квадратного корня из дисперсии:
Коэффициент вариации - это отношение
среднего квадратического отклонения к математическому ожиданию:
Коэффициент вариации применяется при
М(Х)>0. Он измеряет разброс в относительных единицах, в то время как
среднее квадратическое отклонение - в абсолютных.
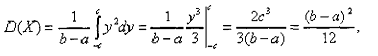
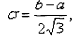
Пример 6. Для равномерно распределенной случайной величины X найдем
дисперсию, среднеквадратическое отклонение и коэффициент вариации. Дисперсия
равна:
Замена переменной
дает возможность записать:
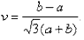
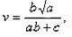
где с = (b - а)/2. Следовательно, среднее квадратическое отклонение
равно
, а коэффициент вариации таков:
По каждой случайной величине X определяют
еще три величины - центрированную Y, нормированную V и
приведенную U. Центрированная случайная
величина Y - это разность между
данной случайной величиной X и ее математическим ожиданием М(Х), т.е.
Y= Х - М(Х). Математическое
ожидание центрированной случайной величины Г равно 0, а дисперсия - дисперсии
данной случайной величины: M(Y) = 0, D(Y) = D(X). Функция распределения FY(x) центрированной случайной
величины Y связана с функцией
распределения F(x) исходной случайной
величины Xсоотношением:
FY(x) =F (x + М(Х)).
Для плотностей этих случайных
величин справедливо равенство
fY(x) =f (x + М(Х)).
Нормированная случайная величина V-это
отношение данной случайной величины Хк ее среднему
квадратическому отклонению σ, т.е.
.
Математическое ожидание и дисперсия нормированной случайной величины V выражаются через
характеристики X так:
где v - коэффициент вариации
исходной случайной величины X. Для функции распределения Fv(x) и плотности fv(x) нормированной случайной
величины V имеем:
где F(x) - функция распределения исходной случайной величины X, a f(x) - ее плотность вероятности.
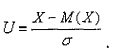
Приведенная случайная величина U - это центрированная и нормированная случайная величина:

(7)
Нормированные, центрированные и
приведенные случайные величины постоянно используются как в теоретических
исследованиях, так и в алгоритмах, программных продуктах,
нормативно-технической и инструктивно-методической документации. В частности,
потому, что
позволяют
упростить обоснования методов, формулировки теорем и расчетные формулы.
Используются преобразования
случайных величин и более общего плана. Так, если Y= аХ+ b, где а и b - некоторые числа, то
(8)
Пример 7. Если
то У
- приведенная случайная величина, и формулы (8) переходят в формулы (7).
С каждой случайной величиной X можно
связать множество случайных величин Y, заданных формулой У= аХ+b при различных а>0 и b. Это множество называют масштабно-сдвиговым семейством, порожденным
случайной величиной X. Функции распределения FY(x) составляют масштабно сдвиговое семейство распределений,
порожденное функцией распределения F(x). Вместо Y= аХ+ b часто используют запись
(9)
где
Число с называют параметром
сдвига, а число d - параметром масштаба.
Формула (9) показывает, что Х - результат измерения некоторой величины -
переходит в У - результат измерения той же величины, если начало измерения
перенести в точку с, а затем использовать новую единицу измерения, в d раз большую старой.
Для масштабно-сдвигового семейства
(9) распределение X называют стандартным. В вероятностно-статистических методах
принятия решений и других прикладных исследованиях используют стандартное
нормальное распределение, стандартное распределение Вейбулла-Гнеденко,
стандартное гамма-распределение и др. (см. ниже).
Применяют и другие преобразования
случайных величин. Например, для положительной случайной величины X рассматривают
Y=gX, где lgX-десятичный логарифм
числа X. Цепочка равенств
связывает функции распределениями Y.
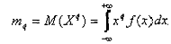
При обработке данных используют
такие характеристики случайной величины X как моменты порядка q, т.е. математические ожидания случайной величины Xq, q=1,2,… Так, само математическое ожидание - это момент порядка 1.
Для дискретной случайной величины момент порядка q может быть рассчитан как
Для непрерывной случайной величины
Моменты порядка q называют также начальными моментами порядка q, в отличие от родственных характеристик - центральных моментов
порядка q, задаваемых формулой
Так, дисперсия - это центральный
момент порядка 2.
Нормальное распределение
и центральная предельная теорема
В вероятностно-статистических
методах принятия решений часто идет речь о нормальном распределении. Иногда его
пытаются использовать для моделирования распределения исходных данных (эти
попытки не всегда являются обоснованными - см. ниже). Более существенно, что
многие методы обработки данных основаны на том, что расчетные величины имеют
распределения, близкие к нормальному.
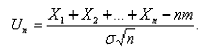
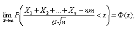
Пусть X], Х2, Хп,…
- независимые одинаково распределенные случайные величины с математическими
ожиданиями M(Xt) = т и дисперсиями D(Xj) =σ2, i = 1, 2,…, и,… Как
следует из результатов предыдущей главы,
Рассмотрим приведенную случайную
величину Un для суммы X1+X2+ … +Xn, а именно,
Как следует из формул (7), M(Un) = 0, D(Un) = 1.
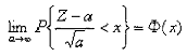
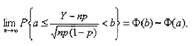
Центральная предельная
теорема (для одинаково распределенных
слагаемых). Пусть X1, Х2>…,
Хп, независимые одинаково
распределенные случайные величины с математическими ожиданиями М(Хi) = т и дисперсиями D(Xi) = σ2, i= 1, 2,…, n. Тогда для любого х существует
предел
где Ф(х) - функция
стандартного нормального распределения.
Введем понятие семейства нормальных
распределений. По определению нормальным распределением называется
распределение случайной величины X, для которой распределение
приведенной случайной величины есть Ф(х). Как следует из общих свойств
масштабно-сдвиговых семейств распределений (см. выше), нормальное распределение
- это распределение случайной величины
Y=σX+m,
где Х - случайная величина с
распределением Ф(Х), причем т = M(Y), σ2= D(Y). Нормальное распределение
с параметрами сдвига т и масштаба σ обычно обозначается N (m, σ) (иногда используется обозначение N (m, σ2)).
Как следует из
(8), плотность вероятности нормального распределения N
(m, σ)
есть
Нормальные распределения образуют
масштабно-сдвиговое семейство. При этом параметром масштаба является d = 1/σ
параметром сдвига с =-m/σ.
Для центральных моментов третьего и
четвертого порядка нормального распределения справедливы равенства
Эти равенства лежат в основе
классических методов проверки того, что результаты наблюдений подчиняются
нормальному распределению. В настоящее время нормальность обычно рекомендуется
проверять по критерию W Шапиро - Уилка. Проблема
проверки нормальности обсуждается ниже.
Если случайные величины X1
иХ2 имеют функции распределения N(m1,σ1) и N (m², σ2) соответственно, то X1
+ Х2 имеет распределение
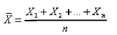
. Следовательно, если случайные величины Х1, Х2,…,
Хn независимы и имеют одно
и тоже распределение N (m, σ), то их среднее
арифметическое
имеет распределение N (m,
). Эти свойства нормального
распределения постоянно используются в различных вероятностно-статистических
методах принятия решений, в частности, при статистическом регулировании
технологических процессов и в статистическом приемочном контроле по
количественному признаку.
С помощью нормального распределения
определяются три распределения, которые в настоящее время часто используются
при статистической обработке данных.
Распределение χ2 (хи - квадрат) - распределение случайной величины
где случайные величины Х1,
Х2, …, Хп независимы и имеют одно и тоже
распределение N (0,1). При этом число
слагаемых, т.е. п, называется «числом степеней свободы» распределения хи
- квадрат.
Распределение t Стьюдента - это распределение случайной величины
где случайные величины U и X независимы, U имеет распределение стандартное нормальное распределение N (0,1), а Х - распределение
хи - квадрат с п степенями свободы. При этом п называется «числом
степеней свободы» распределения Стьюдента. Это распределение было введено в
1908 г. английским статистиком В. Госсетом, работавшем на фабрике, выпускающей
пиво. Вероятностно-статистические методы использовались для принятия
экономических и технических решений на этой фабрике, поэтому ее руководство
запрещало В. Госсету публиковать научные статьи под своим именем. Таким
способом охранялась коммерческая тайна, «ноу-хау» в виде
вероятностно-статистических методов, разработанных В. Госсетом. Однако он имел
возможность публиковаться под псевдонимом «Стьюдент». История Госсета -
Стьюдента показывает, что еще сто лет менеджерам Великобритании была очевидна
большая экономическая эффективность вероятностно-статистических методов
принятия решений.
Распределение Фишера - это
распределение случайной величины
где случайные величины X1
и Х2 независимы и имеют распределения хи - квадрат с
числом степеней свободы k1 и k2 соответственно. При этом пара (k1, k2) - пара «чисел степеней свободы» распределения Фишера, а именно, к1
- число степеней свободы числителя, а k2 - число степеней свободы
знаменателя. Распределение случайной величины F названо в честь великого
английского статистика Р. Фишера (1890-1962), активно использовавшего его в
своих работах.
Выражения для функций распределения
хи - квадрат, Стьюдента и Фишера, их плотностей и характеристик, а также
таблицы можно найти в специальной литературе (см., например, [8]).
Как уже отмечалось, нормальные
распределения в настоящее время часто используют в вероятностных моделях в
различных прикладных областях. В чем причина такой широкой распространенности
этого двухпараметрического семейства распределений? Она проясняется следующей
теоремой.
Центральная предельная
теорема (для разнораспределенных слагаемых).
Пусть X1, Х2,…,
Хn… - независимые случайные
величины с математическими ожиданиями M(X1), М(Х2),…, М(Хп),… и дисперсиями D(X1), D(X2),…, D(Xn),… соответственно. Пусть
Тогда при справедливости некоторых
условий, обеспечивающих малость вклада любого из слагаемых в Un,
для любого х.
Перейдем к другому семейству
распределений, широко используемому в различных вероятностно-статистических
методах принятия решений и других прикладных исследованиях, - семейству
экспоненциальных распределений. Начнем с вероятностной модели, приводящей к
таким распределениям. Для этого рассмотрим «поток событий», т.е. последовательность
событий, происходящих одно за другим в какие-то моменты времени. Примерами
могут служить: поток вызовов на телефонной станции; поток отказов оборудования
в технологической цепочке; поток отказов изделий при испытаниях продукции;
поток обращений клиентов в отделение банка; поток покупателей, обращающихся за
товарами и услугами, и т.д. В теории потоков событий справедлива теорема,
аналогичная центральной предельной теореме, но в ней речь идет не о
суммировании случайных величин, а о суммировании потоков событий.
Рассматривается суммарный поток, составленный из большого числа независимых
потоков, ни один из которых не оказывает преобладающего влияния на суммарный
поток. Например, поток вызовов, поступающих на телефонную станцию, слагается из
большого числа независимых потоков вызовов, исходящих от отдельных абонентов.
Доказано [6], что в случае, когда характеристики потоков не зависят от времени,
суммарный поток полностью описывается одним числом λ - интенсивностью
потока. Для суммарного потока рассмотрим случайную величину X - длину
промежутка времени между последовательными событиями. Ее функция распределения
имеет вид
(10)
Это распределение называется
экспоненциальным распределением, т.к. в формуле (10) участвует экспоненциальная
функция е-λx. Величина 1/λ - масштабный параметр.
Иногда вводят и параметр сдвига с, экспоненциальным называют
распределение случайной величины X + с, где распределение X задается
формулой (10).
Экспоненциальные распределения -
частный случай т. н. распределений Вейбулла - Гнеденко. Они названы по фамилиям
инженера В. Вейбулла, введшего эти распределения в практику анализа результатов
усталостных испытаний, и математика Б.В. Гнеденко (1912-1995), получившего
такие распределения в качестве предельных при изучении максимального из
результатов испытаний. Пусть Х - случайная величина, характеризующая
длительность функционирования изделия, сложной системы, элемента (т.е. ресурс,
наработку до предельного состояния и т.п.), длительность функционирования
предприятия или жизни живого существа и т.д. Важную роль играет интенсивность
отказа
(11)
распределение решение
предельный статистический
где F(x) и f(x) - функция распределения
и плотность случайной величины X.
Опишем типичное поведение
интенсивности отказа. Весь интервал времени можно разбить на три периода. На
первом из них функция λ(х) имеет высокие значения и
явную тенденцию к убыванию (чаще всего она монотонно убывает). Это можно
объяснить наличием в рассматриваемой партии единиц продукции с явными и
скрытыми дефектами, которые приводят к относительно быстрому выходу из строя
этих единиц продукции. Первый период называют «периодом приработки» (или
«обкатки»). Именно на него обычно распространяется гарантийный срок.
Затем наступает период нормальной
эксплуатации, характеризующийся приблизительно постоянной и сравнительно низкой
интенсивностью отказов. Природа отказов в этот период носит внезапный характер
(аварии, ошибки эксплуатационных работников и т.п.) и не зависит от
длительности эксплуатации единицы продукции.
Наконец, последний период
эксплуатации - период старения и износа. Природа отказов в этот период - в
необратимых физико-механических и химических изменениях материалов, приводящих
к прогрессирующему ухудшению качества единицы продукции и окончательному выходу
ее из строя.
Каждому периоду соответствует свой
вид функции λ(х). Рассмотрим класс
степенных зависимостей
где λ0>0иb>0 - некоторые
числовые параметры. Значения b < 1, b = 0 и b> 1 отвечают виду интенсивности отказов в периоды приработки,
нормальной эксплуатации и старения соответственно.
Соотношение (11) при заданной интенсивности
отказа λ(х) - дифференциальное
уравнение относительно функции F(x). Из теории
дифференциальных уравнений следует, что
(13)
Подставив (12) в (13), получим, что
(14)
Распределение, задаваемое формулой
(14) называется распределением Вейбулла - Гнеденко. Поскольку
где
Частным случаем гамма-распределений
при а=1 являются экспоненциальные распределения (с λ = 1/b). При натуральном а и с=0 гамма-распределения
называются распределениями Эрланга. С работ датского ученого К.А. Эрланга
(1878-1929), сотрудника Копенгагенской телефонной компании, изучавшего в
1908-1922 гг. функционирование телефонных сетей, началось развитие теории
массового обслуживания. Эта теория занимается вероятностно-статистическим
моделированием систем, в которых происходит обслуживание потока заявок, с целью
принятия оптимальных решений. Распределения Эрланга используют в тех же прикладных
областях, в которых применяют экспоненциальные распределения. Это основано на
следующем математическом факте: сумма k независимых случайных величин, экспоненциально распределенных с
одинаковыми параметрами λ и с, имеет
гамма-распределение с параметром формы а = k, параметром масштаба b=1/λ и параметром сдвига kс. При с = 0 получаем распределение Эрланга.
Если случайная величина X имеет
гамма-распределение с параметром формы а таким, что d = 2а - целое число, b = 1 и с = 0, то 2Х
имеет распределение хи-квадрат с d степенями свободы.
Случайная величина X с
гамма-распределением имеет следующие характеристики:
· математическое ожидание М(Х) = ab + с,
· дисперсию D(X) = σ2 = ab2,
- коэффициент вариации
- асимметрию
- эксцесс
Нормальное распределение -
предельный случай гамма-распределения. Точнее, пусть Z - случайная величина, имеющая
стандартное гамма-распределение, заданное формулой (18). Тогда
для любого действительного числа х,
где Ф(х) - функция стандартного нормального распределения N (0,1).
В прикладных исследованиях
используются и другие параметрические семейства распределений, из которых
наиболее известны система кривых Пирсона, ряды Эджворта и Шар лье. Здесь они не
рассматриваются.
Дискретные
распределения, используемые в вероятностно-статистических методах принятия
решений
Наиболее часто используют три
семейства дискретных распределений - биномиальных, гипергеометрических и
Пуассона, а также некоторые другие семейства - геометрических, отрицательных
биномиальных, мультиномиальных, отрицательных гипергеометрических и т.д.
Как уже говорилось, биномиальное
распределение имеет место при независимых испытаниях, в каждом из которых с
вероятностью р появляется событие А. Если общее число испытаний п
задано, то число испытаний Y, в которых появилось
событие^, имеет биномиальное распределение. Для биномиального распределения
вероятность принятия случайной величиной Y значения у определяется формулой
(19)
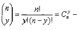
где
число сочетаний из п элементов
пo y, известное из комбинаторики. Для всех у, кроме 0, 1,2,…, п,
имеем P (Y=y)=0. Биномиальное
распределение при фиксированном объеме выборки п задается параметром р,
т.е. биномиальные распределения образуют однопараметрическое семейство. Они
применяются при анализе данных выборочных исследований [2], в частности, при
изучении предпочтений потребителей, выборочном контроле качества продукции по
планам одноступенчатого контроля, при испытаниях совокупностей индивидуумов в
демографии, социологии, медицине, биологии и др.
Если Y1 иY2 - независимые
биномиальные случайные величины с одним и тем же параметромр0, определенные
по выборкам с объемами п1 и п2 соответственно,
то Y1 + Y2 - биномиальная случайная
величина, имеющая распределение (19) ср =р0 и п= п1
+ п2. Это замечание расширяет область применимости биномиального
распределения, позволяя объединять результаты нескольких групп испытаний, когда
есть основания полагать, что всем этим группам соответствует один и тот же
параметр.
Характеристики биномиального
распределения вычислены ранее:
M(Y) = пр, D(Y) = пр (1-р).
В разделе «События и вероятности»
для биномиальной случайной величины доказан закон больших чисел:
для любого ε> 0. С помощью центральной предельной теоремы закон больших чисел
можно уточнить, указав, насколько Y/n отличается от р.
Теорема Муавра-Лапласа. Для любых чисел а и b, а<Ь, имеем
где Ф(х) - функция стандартного
нормального распределения с математическим ожиданием 0 и дисперсией 1.
Третье широко используемое
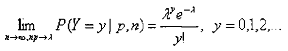
дискретное распределение - распределение Пуассона. Случайная величина Y имеет распределение Пуассона, если
где λ - параметр распределения Пуассона, и P (Y=y) =0 для всех прочих у (при у=0 обозначено 0! =1). Для
распределения Пуассона
M(Y) = λ, D(Y) = λ.
Это распределение названо в честь
французского математика С.Д. Пуассона (1781-1840), впервые получившего его в
1837 г. Распределение Пуассона является предельным случаем биномиального
распределения, когда вероятность р осуществления события мала, но число
испытаний п велико, причем np = λ. Точнее, справедливо
предельное соотношение
Поэтому распределение Пуассона (в
старой терминологии «закон распределения») часто называют также «законом редких
событий».
Распределение Пуассона возникает в
теории потоков событий (см. выше). Доказано, что для простейшего потока с
постоянной интенсивностью Л число событий (вызовов), происшедших за время t, имеет распределение Пуассона с параметром λ = Λt. Следовательно,
вероятность того, что за время t не произойдет ни одного
события, равна eΛt, т.е. функция
распределения длины промежутка между событиями является экспоненциальной.
Распределение Пуассона используется
при анализе результатов выборочных маркетинговых обследований потребителей,
расчете оперативных характеристик планов статистического приемочного контроля в
случае малых значений приемочного уровня дефектности, для описания числа
разладок статистически управляемого технологического процесса в единицу
времени, числа «требований на обслуживание», поступающих в единицу времени в
систему массового обслуживания, статистических закономерностей несчастных
случаев и редких заболеваний, и т.д.
2. Расчётная часть
По известным центральным моментам
находим начальные моменты. В общем виде формула для нахождения начальных
моментов имеет вид:
Представим формулу в следующем виде:
μ1=0,
μ2=2,
μ3=0,
μ4=1,
μ5=0.
Имея пять начальных и пять
центральных моментов, находим следующие характеристики данного случайного
события:
а) математическое ожидание есть первый начальный момент: М = 1,
б) дисперсия есть второй центральный момент: D = 2,
в) стандартное отклонение есть квадратный корень из дисперсии:
а,
г) коэффициент
вариации находится как
,
д) коэффициент
асимметрии:
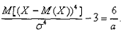
(Этот коэффициент характеризует
скошенность графической функции плотности распределения вероятности Р(х).),
е) коэффициент
эксцессии:
(Он характеризует меру остроты пика
кривой Р(х) сравнительно с Р(х) для нормального распределения).
Библиографический список
1.
Шнепс М.А. Численные методы теории телетрафика. - М: Связь 1974;