Криволінійні системи координат
Вступ
фізичний координата
електричний поле
Координати на площині і в просторі можна вводити
нескінченним числом різних способів. Вирішуючи ту або іншу математичну або
фізичну задачу методом координат, можна використовувати різні координатні
системи, вибираючи ту з них, в якій завдання вирішується простіше або зручніше
в даному конкретному випадку. Системи координат в геометрії -
величини,
що визначають положення точки на площині і в просторі. На площині положення
точки найчастіше визначається відстанями від двох прямих (координатних осей),
що перетинаються в одній точці (початку координат) під прямим кутом; одна з
координат називається ординатою, а інша - абсцисою. У просторі за системою Декарта
положення
точки визначається відстанями від трьох площин координат, що перетинаються в
одній точці під прямими кутами одна до одної, або сферичними координатами, де
початок координат знаходиться в центрі сфери. Проте не всі фізичні завдання
успішно вирішуються в декартовій системі. Наприклад, для центральних сил
F = r0F(r)
(таких, як гравітаційні або електростатичні) декартові координати можуть
виявитися вкрай незручними, тому користуються такою системою, в якій однією з
координат служить відстань в радіальному напрямі.
Систему координат слід вибирати з умови
якнайкращої відповідності поставленому завданню, використовуючи різні умови і
симетрію, характерні для даної проблеми. Правильний вибір системи координат
дозволяє швидше отримати рішення. Дуже часто слово «швидше» означає, що
диференціальне рівняння з власними похідними в новій системі можна звести до
диференціальних рівнянь першого порядку «стандартного» вигляду методом
розділення змінних.
Таким чином, актуальність теми мого дослідження
зумовлена:
• обмеженим
рівнем знань про різні типи систем координат та вибором тієї чи іншої системи
координат;
• необхідністю
вибору певної системи координат при розв'язуванні певної
задачі;
• вигляд
диференціальних операторів в різних координатних системах.
Актуальність проблеми та її недостатня
розробленість зумовили вибір теми дослідження: «Застосування різних
криволінійних систем координат в задачах теоретичної фізики».
Мета даної роботи - показати застосування систем
координат при розв'язувані фізичних задач, зокрема як правильно слід вибирати
ту чи іншу систему координат, а також використання диференціальних векторних
операторів і розділення змінних.
Об'єкт дослідження - задачі з теоретичної
фізики, де застосовуються системи координат.
Предмет дослідження - диференціальні векторні
оператори і розділення змінних.
Відповідно до предмета та мети визначено основні
завдання даної роботи:
1. зібрати
матеріал по системах координат, який можна використовувати у теоретичній
фізиці,
2. показати
варіанти розв'язування задач в різних системах координат.
Робота складається з двох розділів, теоретичної
і практичної частини. Перший розділ містить найпоширеніші системи координат,
які найзручніше використовувати для розв'язку задач; другий розділ містить
приклади
розв'язування задач з теоретичної фізики.
1.Теоретична частина
.1 Ортогональні системи координат
Положення точки в просторі може бути задано
тільки по відношенню до іншої точки, яку приймаємо за початок відліку. Одним з
можливих способів завдання положення точки є векторний спосіб. Визначимо
вектор, як спрямований відрізок прямої. (Далі поняття вектора буде розвиватися
глибше.) Вектор, спрямований із початку відліку в точку М,
називається
радіус-вектором точки М. Очевидно,
що завдання радіус-вектора однозначно визначає положення точки. Однак, більш
зручним є координатний спосіб.
Приклади координатних систем
а) декартова система координат (ДСК). Положення
точки простору задається за допомогою трьох змінних х, у, z. (Мал.1). Ці змінні
називаються декартовими координатами точки. Так, декартові координати точки Мо
- х0, у0, z0. Очевидно, що границі змінювання декартових координат:
-
< х <
; -
< у <
; -
< z <
.
Мал. 1. Декартова система Мал. 2. Циліндрична
система
координат. координат.
б) циліндрична система координат
(ЦСК). Циліндричними координатами точки називаються три змінні R,
, z (Мал.2),
які однозначно визначають положення точки в просторі. R - радіус, який з'єднує
початок відліку та проекцію точки на площину XY;
- кут між віссю x та радіусом R.
Прийнято називати R - полярним
радіусом,
-
азимутальним кутом. Границі змінювання циліндричних координат:
; 0
;
Із малюнка видно зв'язок декартових
і циліндричних координат:
x=Rcos
; y=Rsin
; z=z, (1)
обернений зв'язок:
z=z
в) сферична система координат (ССК).
Сферичними координатами точки називаються три змінні r, θ, ψ (Мал.3),
які однозначно визначають положення точки в просторі: r - радіус, який з'єднує
початок відліку та точку M ; θ - кут між віссю z та радіусом r; ψ -
азимутальний кут. Кут θ прийнято
називати полярним кутом. Границі змінювання сферичних координат:
0
0
Зв'язок декартових та сферичних координат:
x = r sin θ
cos ψ;
y = r sin θ sin ψ;
z = r cos θ, (3)
Мал.3 . Сферична система координат.
Обернений зв’язок:
(4)
Координатні лінії та базисні
орти
Нехай є довільна система координат. Положення
будь-якої точки в цій системі задається трьома числами: х1 , х2 , х3 . Нехай
спочатку точка М має координати х10, х20, х30. Будемо рухати точку М так, щоб
змінювалась тільки одна з координат, наприклад х1, при незмінних двох інших
(х20, х30). Тоді точка опише в просторі лінію, яка називається координатною
лінією, що відповідає координатіх1. Зафіксувавши інші значення х2, х одержимо
іншу координатну лінію х1. Таким чином, змінюючи фіксовані значення координат
х2 , х3 ми можемо одержати нескінчену множину координатних ліній, що
відповідають координаті х1. Аналогічно будуються сімейства координатних ліній
для координат х2 , х3 Таким чином, через кожну точку простору проходить три
координатні лінії, що відповідають різним координатам.
Вектор, який має одиничну довжину та спрямований
за дотичною до координатної лінії в сторону зростання відповідної координати,
називається базисним ортом, що відповідає цій координаті. Очевидно, що з кожної
точки виходить три базисних орта, що відповідають різним координатам. Ця трійка
складає базис. Довільний вектор А можна представити, притому єдиним чином, у
вигляді розкладу за базисними ортами:
А = А1е1 + А2 е2 + А3е3, (5)
де А1,А2, А3 скалярні функції координат, які
називаються компонентами вектора А в даному базисі. Справедливе, також, і
обернене твердження, задання компонент А1, А2, А3 однозначно визначає вектор А.
Якщо в кожній точці простору всі базисні орти
взаємно ортогональні, то система координат називається ортонормованою. Тобто,
повинні виконуватися умови:
(e1,e2)=(e1,e3)=(e2,e3)=0;
(e1,e1)=(e2,e2)=(e3,e3)=1,
або інакше: (eK,eL)=
де
- символ
Кронекера:
Координатні лінії, взагалі кажучи, є
кривими, однак для деяких координатних систем одна або декілька ліній можуть
бути прямими. Так, для декартових координат всі координатні лінії прямі. Такі
координати називаються прямолінійними. Розглянемо деякі координатні системи.
а) ДСК. Для декартових координат
прийнято означення:
;
;
.
Всі координатні лінії - прямі, а
базисні орти зберігають свій напрямок в усіх точках простору (див.Мал.1).
Ортогональність декартових координат очевидна. Розклад радіус-вектора за
базисними ортами має вигляд:
r=xi+yj+zk. (6)
б) ЦСК. Як видно з малюнку
(див.Мал.2), в будь-якій точці простору всі базисні орти взаємно ортогональні.
Координатні лінії
- кола.
Тобто циліндричні координати відносяться за типом до криволінійних
ортонормованих координат. Орт еz - сталий, а напрямки ортів еК і
залежать
від кута
.
Розклад радіус-вектора за базисними
ортами має вигляд:
=ReR+zeZ. (7)
в) ССК. Координатні лінії r -
це промені, які виходять з початку координат (див.Мал.3). Координатні лінії
- це кола,
які співпадають з меридіанами. Координатні лінії
- є паралелями. Орти
взаємно
ортогональні, тобто сферична система координат є ортогональною. Орти еr и
залежать
від
і
, а орт
залежіть
тільки від
.
Розклад радіус-вектора за базисними
ортами має вигляд:
=rer. (8)
1.2 Скалярні і векторні поля
Якщо в кожній точці простору М
задано значення скалярної величини
, то кажуть, що задано скалярне
поле. Скалярне поле можна представити як функцію координат точки простору
=
( х1, х2,
х3).
Наведемо приклади скалярних полів:
Об’ємна густина електричного заряду
=
( х1, х2,
х3);
Поле температур Т = Т (х1, х2, х3);
Скалярний потенціал гравітаційного
поля
=
( х1, х2, х3).
Важливою характеристикою скалярних
полів є поверхні рівня. Це поверхні, на яких скалярна величина, що характеризує
поле, залишається сталою:
При різних значеннях константи С
утворюється сімейство поверхонь рівня. Розглянемо, наприклад, скалярний
потенціал гравітаційного поля матеріальної точки:
.
Поверхнями рівня є концентричні
сфери, центр яких співпадає з матеріальною точкою.
Деякі фізичні величини разом з
чисельним значенням характеризуються, також, напрямком в просторі. Наприклад,
швидкість, сила, напруженості електричного та магнітного полів. Такі величини
називаються векторними величинами, їх можна представити за допомогою векторів.
Якщо в кожній точці простору М
задано вектор
, то кажуть,
що задано векторне поле. Далі, говорячи про векторне поле, якщо не буде
оговорено обернене, будемо мати на увазі векторне поле, що відповідає реальній
фізичній величині (поле швидкостей, поле сил и т.д.).
Вектор однозначно визначається його
компонентами в заданому базисі.
Скалярним добутком двох векторів
і
є добуток
модулів цих векторів та косинуса кута між ними. Прийнято позначення:
=(
,
) або c=
.
Векторним добутком двох векторів
і
називається
вектор
, який
задовольняє таким вимогам:
Він перпендикулярний до площини,
утвореної векторами
і
;
За модулем дорівнює добутку модулів
векторів
і
помноженому
на синус кута між ними;
Спрямований у той бік, з якого
найкоротше повертання від першого вектора до другого можна бачити проти
годинникової стрілки. Інакше кажучи, вектор
є спрямованим за напрямком руху
штопора, якщо останній обертається за годинниковою стрілкою.
Прийнято позначення:
=[
,
] або
=

.
Нехай є будь-яка ДСК. Перетворення,
яке замінює напрямки осей цієї системи на протилежні, називається інверсією. В
залежності від поведінки відносно операції інверсії вектори поділяються на два
типи. До векторів першого типу відносяться ті, знаки проекцій яких на вісі СК
змінюються на протилежні внаслідок операції інверсії. Такі вектори називаються
полярними векторами. Очевидно, що радіус- вектор є полярним вектором.
Відповідно, полярними векторами є швидкість, прискорення, сила і т. д. До
векторів другого типу відносяться ті, знаки проекцій яких на вісі СК при
операції інверсії не змінюються. Такі вектори називаються аксіальними векторами
або псевдовекторами. Так, векторний добуток двох полярних векторів є аксіальним
вектором. Дійсно, нехай с = [
,
], де
і
полярні вектори. При інверсії
відбудеться заміна 
-
, 
-
. Оскільки ані площина, в якій
розташовані вектори
і
, ані
напрямок найкоротшого повертання від
до
не змінюються, вектор
залишається
незмінним. Легко бачити, що векторний добуток полярного і аксіального векторів
є полярним вектором.
Предметом нашої особливої уваги
будуть електричне і магнітне поля. Фізичними джерелами електричного поля є
електричні заряди. Якщо в електричне поле помістити точковий заряд, на нього з
боку електричного поля буде діяти сила
, тобто електричне поле є силовим
полем.
Вектором напруженості електричного
поля
в даній
точці називається векторна величина, яка характеризує електричне поле і
дорівнює силі, що діє на одиничний позитивний заряд, розташований в даній точці
поля. Для заряду q значення сили і напруженості поля пов'язані співвідношенням:
=
q (14)
Оскільки вектор
є полярним
вектором, вектор напруженості електричного поля
- полярний вектор.
Фізичними джерелами магнітного поля
є електричні струми. Елементом струму
будемо називати добуток сили струму
в провіднику І на векторний елемент довжини провідника d
:

. (15)
Напрямок
співпадає з
напрямком струму в провіднику.
Якщо в деякій точці магнітного поля
знаходиться елемент струму
, то збоку поля на нього діє сила.
Вектором напруженості магнітного
поля
в даній
точці називається вектор, який характеризує магнітне поле і визначає силу, що
діє з боку поля на елемент струму, розташований в даній точці поля, за
формулою:
Оскільки вектори
і
є полярними
векторами, вектор напруженості
магнітного поля
-
аксіальний вектор.
Структура векторного поля
передається за допомогою ліній поля. Лінії поля - це лінії, дотичні до яких в
кожній точці співпадають з напрямком вектора поля. Лінії поля спрямовані в ту ж
сторону, що і вектор поля. Їх проводять таким чином, щоб щільність ліній була
пропорційна модулю вектора поля. Розглянемо, наприклад, поле швидкостей (Мал
.5). В області (1) модуль швидкості більше, ніж в області (2). Тому щільність
ліній поля швидкостей в області (1) більше ніж в області (2).
Мал. 5. Поле швидкостей
Якщо поле, яке зображується, є
силовим, лінії поля називаються силовими лініями. Приклади силових полів
наведено на Мал.6, з якого можна бачити, що силові лінії електричного поля
починаються на позитивних зарядах, та закінчуються на негативних. На відміну
від електричного поля, силові лінії магнітного поля замкнені.
Мал. 6.
. силові лінії електричного поля, яке
утворюється нерухомим електричним зарядом
. поле електричного диполя
. силові лінії магнітного поля, яке
утворюється прямим нескінченим струмом.
1.3 Диференціальні
операції: градієнт, дивергенція, ротор
.3.1 Похідна
за напрямком та градієнт
Нехай задано скалярне поле U(М), де М - довільна
точка простору. Проведемо через точку М0 пряму в напрямку
та виберемо
на ній іншу точку М .Похідною скалярного поля U за
напрямком
в точці М0 називається
ліміт:
(17)
Через будь-яку точку можна провести нескінчену
множину прямих, тому в кожній точці існує нескінченно багато похідних за
напрямком.
Градієнтом скалярного поля U(М)
в
точці
М0
називається вектор grad U,
який задовольняє таким умовам:
1. Він за напрямком співпадає з напрямком
найшвидшого зростання функції U
(М);
2. Його модуль дорівнює швидкості
зростання функції в цьому напрямку.
В довільних ортогональних координатах:
1.3.2 Дивергенція
в довільних криволінійних ортогональних координатах
Нехай задано векторне поле
. Побудуємо
навколо точки М поверхню SV, яка
охоплює об'єм V. Дивергенцією векторного поля
в точці М називається границя:
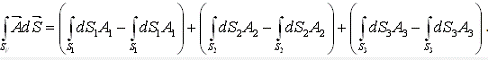
Виберемо SV як поверхню криволінійного
паралелепіпеда, яка утворена координатними поверхнями. Тоді
Тут S1, S2, S3 -поверхні,
які проходять через початок координат, а
- поверхні, які зсунуті з початку
координат на
.
Розглянемо детальніше різницю
інтегралів у першій скобці. Оскільки= h2h3dq2dq3, то
(20)
де B1
=h2h3A1.
Тепер використаємо тотожність
Враховуючи також, що dV =h1h2h3dq1dq2dq3,
формулу (20) можна
переписати у вигляді
Аналогічно можна перетворити і дві інші різниці
інтегралів у (19).
Скориставшись теоремою про середнє
де
, знаходимо:

(21)
З (18) та (21) витікає,
що дивергенція довільного поля
у криволінійних ортогональних
координатах дорівнює:
1.3.3 Ротор
в довільних криволінійних ортогональних координатах
За визначенням, проекція вектора
на
довільний напрямок
, задається
виразом:
(22)
де Lп - контур, який належить
поверхні, що перпендикулярна до вектора
, SL- площа поверхні, яку охоплює
контур Lп.
Нехай вектор
направлений
вздовж базисного вектора
, а контур L
має форму криволінійного паралелограма, утвореного координатними лініями q2 і
q3. В цьому випадку:
(23)
де l2 i l3 - сторони
паралелограма, які проходять через початок координат,
і
- сторони
паралелограма, які зміщенні на
та
відповідно. Неважко бачити, що
де B3=A3h3.
Друга різниця інтегралів у (23)
перетворюється аналогічно. Враховуючи, що dq2dq3=
циркуляцію вектора
по контуру
Lп можна представити у вигляді
За допомогою теореми про середнє:
ми знаходимо

(24)
З (22)
та (24) витікає,
що
. (25)
Таким чином можна
побудувати і дві інші компоненти вектора
Остаточний результат можна
представити у вигляді детермінанту:
=
(26)
Неважко бачити, що розклад детермінанта за
елементами першої строки якраз і приводить до проекцій на базисні орти,
подібних до (25).
1.4 Електростатика
У загальному випадку рівняння Максвела у вакуумі
мають вигляд:
div
div
= 0
rot
rot
(27)
У випадку, коли поля не залежать від часу
система розпадається на дві підсистеми. Перша з них описує постійне електричне
поле (електростатика):
div
(28)
rot
=0
Друга - постійне магнітне
поле(магнітостатика):
div
= 0
rot
(29)
Друге з рівнянь (43) можна
тотожно задовольнити, якщо покласти:
(30)
Тоді маємо одне рівняння,
загальний розв’язок якого включає довільні константи. Для визначення цих
констант треба використовувати граничні умови. Для нормальних та тангенціальних
складових вектора
:
(31)
де
-
поверхнева густина заряду.
Враховуючи (30), першому
рівнянню системи (28) можна придати вигляд:
Це є рівняння Пуассона. Його
розв'язок включає довільні константи. Граничні умови:
(33)
де
- похідна за
напрямком, який перпендикулярний до границі.
2.Практична частина
.1 Метричні
співвідношення
Нехай dli - елемент дуги координатної лінії хi .
Тоді, величина
hi =
називається коефіцієнтом Ламе, який
відповідає координаті xi.
Розглянемо конкретні приклади:
а) ДСК: dlX = dx; dlY = dy;
dlZ = dz,
так що h1= h2 = h3 = 1. (34)
б) ЦСК: dlR = dR ; = Rd ;
dlZ = dz,
таким чином, коефіцієнти Ламе:
= 1; h2 = R; h3 = 1. (35)
в) ССК:
dlr = dr; = rd ; = r sin d ,
коефіцієнти Ламе дорівнюють:
h1= 1; h2 = r; h3 = r sin. Добуток довжини елемента дуги та орта, дотичного
до дуги в даній точці будемо називати векторним елементом дуги та позначати: dl
. Тоді:
= dl1 + dl2 + dl3.
Часто в задачах доводиться
розглядати елемент площі dSi, перпендикулярний до координатної лінії xi. Він
дорівнює добутку довжин елементів дуг двох інших координатних ліній, тобто:
dS1 = dl2
dl3, dS2 = dl1dl3, dS3 = dl1dl2. (37)
Розглянемо конкретні системи
координат (СК):
Добуток елемента площі dS і орта n ,
нормального до неї в даній точці будемо називати векторним елементом площі та
позначати dS: dS = dS n.
Елемент об 'єму dV дорівнює добутку
елементів довжин dl1 dl2 dl3 :
= dl1dl2 dl3.
Розглянемо конкретні СК:
а) ДСК: dV = dxdydz. (41)
б) ЦСК: dV = RdRd dz. (42)
в) ССК: dV = r2 sin drd d
(43)
2.1.1 Обчислення довжин, площ та об'
ємів
Метричні співвідношення можуть бути
використані для обчислення деяких характеристик геометричних об 'єктів.
Приклади:
а) обчислення довжин. Нехай точки 1
і 2 з'єднані кривою, яка співпадає з координатною лінією xi . Тоді довжина
кривої дорівнює інтегралу:
Зокрема, коло можна розглядати як
координатну лінію у в циліндричних координатах. Тоді,
де вимірюється у радіанах:
.
б) обчислення площі. Поверхня Si в
кожній точці перпендикулярна до відповідної координатної лінії xi. На поверхні
сфери (r = const)
= r2 sin d d
Площа сфери: 
Обчислимо площу бокової поверхні
круглого конуса
(Мал .4).
Тут = const, тому:
Площа бокової поверхні з 0 ,
дорівнює: Мал. 4. Круглий конус
де a - радіус основи конуса.
Для бокової поверхні циліндра:
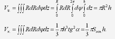
в) обчислення об'ємів. Об 'єм тіла
обчислюється за формулою:
Так, об'єм кульового шару з
радіусами R1 і R2 дорівнює:
Об'єм циліндра та конуса відповідно
дорівнюють:
2.2 Методи розв’язування
задач з електростатики
До методів точного розв 'язування задач
електростатики належать такі методи:
1. Безпосереднє
підсумування;
2. Використання
теореми Остроградського-Гауса;
3. Інтегрування
рівняння Пуассона;
4. Інтегрування
рівнянь Максвела;
Задача. Сфера радіуса а рівномірно заряджена.
Густина поверхневого заряду а. Визначити
потенціал і напруженість електричного поля, яке утворюється сферою. Одержати
розв 'язок усіма методами.
. Безпосереднє підсумування.
а) для просторового розподілу заряду:
(44)
де р - просторова густина заряду.
б) для поверхневого розподілу заряду:
(45)
де
- поверхнева
густина заряду.
в) для лінійних зарядів:
(46)
де
- лінійна густина зарядів.
г) для точкових зарядів:
(47)
В даній задачі реалізується випадок
(б).
Інтегрування виконується по всій поверхні сфери.
Відповідно з симетрією задачі інтегрування слід виконувати в сферичних
координатах. Справедливі співвідношення:
Безпосереднім інтегруванням
одержуємо:
Враховуючи, що
, остаточно
одержуємо:
(48)
Використовуючи (30), та
співвідношення:
, знаходимо
напруженість електричного поля
. Вона дорівнює:
(49)
. Використання
теореми Остроградського-Гауса:
де
- заряд,
якій охоплюється поверхнею S:
.
В нашій задачі розподіл заряду має
сферичну симетрію. Тому модуль вектора напруженості електричного поля в точці
R, може залежати тільки від модуля радіус-вектора
:
=E(R).
Вектор напруженості
може бути
направленим тільки вздовж єдиного характерного напрямку - напрямку
радіус-вектора
:
=E(R)
.
Поверхню S вибираємо у вигляді сфери
радіуса R(Мал.7). Тоді
.
Якщо R > а, то Е(R)=
та
.Якщо R
< а, то qS = 0, що
приводить до
0.
. Інтегрування рівняння Пуассона:
.
В задачі, яка розглядається є дві
області:
< а, (у сфері),> а, (поза
сферою).
Границею між ними є заряджена сфера
і на ній повинні виконуватись граничні умови (48), які в даній
задачі мають вигляд:
(51)
Об'ємна густина заряду в обох цих
областях дорівнює нулеві. Тому потенціали
і
задовольняють рівнянням Лапласа:

. (52)
Оскільки і
є функцією
тільки відстані, то
де
- радіальна частина оператора
Лапласа.
Рівнянням Лапласа (57) відповідають
розв’язки:
Вони включають в себе чотири
невідомі константи, для визначення яких ми маємо дві граничні умови. Два
додаткових співвідношення можуть бути вибрані у такій спосіб. Оскільки заряд
розташований в обмеженій області простору, то при R
значення
потенціалу
має бути
прирівняним нулеві. Звідси випливає, що С4=0.
Константи С2 і С3 знаходяться з
рівнянь (див.(46)):
;
і дорівнюють
Таким чином,
.
. Інтегрування рівнянь Максвела.
Рівняння Максвелла (28) і граничні
умови (31) приймають таку конкретну форму:
) R<a
) R>a
3) R=a
Завдяки сферичної симетрії у
розподілі зарядів
Як наслідок, рівняння для ротора
напруженості в областях 1 і 2 та граничні умови для тангенціальних складових
задовольняються тотожно. Рівняння для дивергенції напруженості
в областях 1 і 2 мають
розв’язки:
При R
напруженість поля
повинна бути
обмеженою, тому С1 = 0 і
= 0. Із
граничної умови для нормальних складових знаходимо, що С2 =
, так що
Задача. Сфера радіуса а
рівномірно заряджена з поверхневою густиною
. Визначити енергію електричного
поля і тиск кулонівських сил на поверхню сфери.
Визначимо енергію W двома
способами.
а) Перший спосіб: Wел =
, де
визначається
формулою (49).
Завдяки сферичній симетрії
електричного поля інтегрування доцільно виконувати по сферичним шарам для яких
dV = 4
r2dr. У
такий спосіб одержуємо
ел =
. (53)
Б
Другий спосіб: Wел =
.
Потенціал поля, напруженість якого
змінюється згідно (49), визначається виразом (53), і при r = а приймає
значення
(а) =
. Тоді
ел. = 2
Для визначення тиску на поверхню
сфери розглянемо роботу кулонівських сил при збільшенні радіуса сфери:
де F - тиск на поверхню сфери. Знак
(-) враховує зменшення енергії сфери при зростанні її радіуса. Звідки
F=-
Задача. Куля
радіуса α рівномірно
заряджена по всьому об’єму з густиною заряду ρ. Знайти потенціал
і напруженість поля всередині і зовні кулі.
З симетричності розподілу зарядів
випливає, що потенціал ϕ у цьому
разі залежить тільки від відстані r у центрі сфери. Тому рівняння Пуассона і
Лапласа будуть:
(для
); 
0 (для
). Після інтегрування дістанемо:
;
. Сталі
інтегрування визначимо з таких умов. Для того щоб
залишалось
скінченним при r=0, треба, щоб
=0.
дорівнюватиме нулю при
, якщо
. На цій
підставі дістанемо:
(54);
. (55)
З умов неперервності
і
на поверхні
дістанемо:
; (56)
. (57)
На підставі (54), (55) і (57) дістанемо:
;
;
;
.
Рис.
Результатам обчислень можна дати
просту геометричну інтерпретацію, показавши, що радіус кулі
м.
Задача.
Нескінченний круглий циліндр радіуса
рівномірно заряджений з об’ємною
густиною
. Знайти
потенціал і напруженість поля всередині і зовні циліндра.
Спрямуємо вісь
вздовж осі
циліндра. Тоді рівняння задачі записуються так:
(для
); 
(для
). Після інтегрування дістанемо:
;
Щоб залишалось скінченним при
, треба, щоб
. За умов
неперервності
на поверхні
циліндра дістанемо:
. Тому
остаточно маємо:
;
;
;
.
2.3 Обчислення градієнта функції
Приклад. Обчислити градієнт функції f(r) = r.
Оскільки функція f(r) залежить лише від модуля
радіус-вектора, доцільно користуватись сферичними координатами. В них:
grad f(r) =
Нехай задано стаціонарне (яке не
залежить від часу) векторне поле
(xi).
Якщо існує така скалярна функція
, що для
кожної точки поля виконується умова:
= grad
, то поле
(xi)
називається потенційним, а функція
-скалярним потенціалом векторного
поля
(xi).
Електростатичне поле є потенційним
полем. Зв'язок напруженості поля зі скалярним потенціалом дається формулою:
= - grad
Вектор grad
в кожній
точці поля перпендикулярний до поверхні
=const, тому силові лінії
електростатичного поля перпендикулярні до поверхонь рівня
=const (Мал
.7).
Мал. 7.Силові ліній
електростатичного поля та поверхні рівня.
Задача.
Потенціал поля, яке утворюється точковим зарядом q, дається формулою:
. Знайти
напруженість поля
.
Напруженість поля знаходимо
за формулою:
=-q•grad
.
В сферичних координатах: grad
=
Тоді:
=
Поверхні рівня є сферами, а
силові лінії спрямовані вдовж радіус-векторів.
Циркуляція вектора
потенційного поля вдовж будь-якого замкнутого контуру дорівнює нулеві. Оскільки
електростатичне поле є потенційним, можна твердити:
: (26)
де L -
будь-який замкнутий контур.
2.4
Обчислення дивергенції
Приклад. Обчислити
дивергенцію радіус-вектора.
В декартових координатах:
тому
Приклад.
Обчислити . 
.
В сферичних координатах:
,
2.5
Обчислення ротора
Приклади:
1.
Обчислити rot
:
а) відповідь rot
= 0
можна написати зразу, якщо врахувати, що лініями поля є радіуси -вектори, які в
принципі не можуть утворювати вихрових структур,
б) при формальному підході
враховуємо, що вектор
має такі
сферичнi координати(
,0,0). При
підстановці їх у
=
знаходимо,
що rot
= 0.
2.
Обчислити rot (
).
Вибираємо сферичну систему
координат таким чином, щоб полярна вісь збігалась з вектором
. Тоді (
) =
r sin
. Згідно з
(36)
rot (
)=
=
Оскільки
, де
- орт в
напрямку полярної осі (
=
), остаточно
маємо:
rot [
]= 2
Введемо векторний
диференційний оператор:
, (61)
який називається оператором
набла.
За допомогою оператора набла
основні диференційні операції записуються:
grad
= Vj;
div
rot
(62)
Диференціюючий комплекс (
) можна
записати у такому вигляді:
(
)=
(63)
Оператор
називають
оператором Лапласа, або лапласіаном (делта). В довільних ортогональних
координатах:
(64)
Задача. Спростити вирази:
, де
і
- векторні
поля.
Завжди слід пам'ятати
правило, що вектор-оператор набла діє тільки на функції, які стоять праворуч
від нього. Тому байдуже:
- постійний вектор або залежить від
координат. Спростити вираз - це означає перетворити його так, щоб оператор
діяв тільки
на один вектор, тобто праворуч від
стояв один
вектор.
Лінійний оператор
має дві
властивості:
- оператор диференційний. Його дія
на складну функцію визначається правилами диференціювання:
, (65)
де
- діє тільки
на
.
- вектор. Правила перестановки
вектора Vв з іншими векторами повинні визначатися
правилами векторної алгебри.
Диференціюючі комплекси
і
є
скалярами, тому правила перестановки комплексів і векторів
i
повинні бути
такі, як у скаляра і векторів:
Підставляючи ці вирази в
(65), одержуємо:
.
Висновки
Тема даної роботи є дуже актуальною. Як вже було
зазначено вона складається з двох розділів. В першому розділі описані
найпоширеніші системи координат. Декартова система координат
є найпростішою, однаю систему координат слід вибирати з умови якнайкращої
відповідності поставленому завданню. Правильний вибір системи координат
дозволяє швидше отримати рішення. В другому розділі описані диференціальні
векторні оператори і функції розділення змінних, а також перехід від однієї
системи до іншої.
Кожна людина свідомо чи ні користується певною
системою координат. В житті це можна спостерігати при визначенні свого місця
перебування відносно знайомих орієнтирів. Системи координат широко
використовуються багатьма науками, такими як фізика, математика, астрономія,
географія, інформатика та іншими.
Список використаної літератури
.Олєйнік
В. Класична електродинаміка та основи векторної алгебри. - Одеса, 2007. - С. 3
- 29.
.Арсенин
В. Математическая физика. - М., «Наука», 1966. - 310с.
.Бугаєнко
Г. О Методи математичної фізики. - Київ, «Вища школа», 1970.-С.76-94.
.Мазуренко
Д., Альперін М.Задачі і вправи з теоретичної фізики. - Київ, «Вища школа»,
1978.-14-105 с.
.Несис
Е. I Методы математической физики Учеб. пособие для студентов физ.-мат. фак.
пед. ин-тов. -М., Просвещеннее, 1977.
.Очан
Ю. С Методы математической физики. - М., «Высшая школа», 1965. -С.83- 104.
.Тихонов
А. Н, Самарский Д. А Уравнения математической физики. - М., Гостехиздат, 1966.
- С.88 - 95.
.Араманович
И. Г, Левин В. И Уравнения математической физики. - М., «Наука», 1964. - С. 101
- 114.
.Джеффрис
Г, Свирлс Б Методы математической физики. - М., «Мир», 1969.-230с.
.Курант
Р., Гильберт Д Методы математической физики, т. 1,2.
.Морс
Ф, Фешбах Г Методы теоретической физики. Т. 1. - М., 1958 - 1960.-С.202-209
.Функции
математической физики. Справочное руководство. - М., Физматгиз, 1963. - 168с.
.Шварц
Л Математические методы для физических наук. - М., «Мир», 1965.
.Шутц
Б Геометрические методы математической физики
.Корн
Г., Корн Т. Справочник по матиматике М., Наука, 1974. - 832 с.
.А.
М. Федорченко. Теоретична механіка. Київ: «Вища школа», 1975, 516 с.
.В.
И. Гервидс Модель декартовой системы координат
.http://ru.wikipedia.org
.http://znaimo.com.ua://www.mathematics.ru