Рівняння Пфаффа
КУРСОВА РОБОТА
на тему: «Рівняння Пфаффа»
ЗМІСТ
Вступ
. Рівняння Пфаффа
. Цілком інтегровані рівняння Пфаффа
. Інтегральні криві рівняння Пфаффа
. Цілком інтегровані рівняння Пфаффа в R3
Висновки
Додаток
Список літератури
Вступ
Сучасна теорія диференціальних рівнянь посідає чільне місце
серед інших математичних дисциплін. Гармонійне поєднання суто математичного й
прикладного аспектів робить її однаково привабливою як для теоретиків, так і
для тих, хто займається застосуванням математики в різноманітних галузях знань.
Механіка, фізика, радіоелектроніка, машинобудування, хімія, біологія, економіка
- це далеко не повний перелік наук, в яких широко використовуються
диференціальні рівняння.
Мета даної роботи - ознайомити з основними, базовими поняттями,
фактами, методами та найпростішими застосуваннями теми, підготувати до
самостійної роботи та виконання завдань щодо розв’язання рівнянь Пфаффа.
Центральним об'єктом вивчення є звісно поняття рівняння
Пфаффа (як диференціальне рівняння з кількома незалежними змінними) -
аналітичний запис задачі про відшукання інтегральних поверхонь максимально
можливої вимірності, яке пов’язує між собою значення шуканої функції, її
похідних та аргументу. Однак в курсовій роботі диференціальне рівняння Пфаффа
розглядається не лише як аналітичний об 'єкт. Значна увага приділяється
геометричним поняттям і образам, які дають змогу глибше зрозуміти природу цього
об'єкта, пояснити відповідні теоретичні побудови.
рівняння пфафф
інтегральний
1. Рівняння
Пфаффа
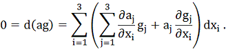
Нехай в області D с R3 задано диференціальну форму
ω := а(х)dх := а1(x) dx1 + ... + аn(x) dxn
з неперервно диференційовними коефіцієнтами аі : D → R , i =1, …, n. Усюди надалі ми розглядатимемо лише
невироджений випадок, для якого виконується умова || а(х) || ≠ 0
х є D.
Рівняння вигляду
ω = 0 (1)
називається рівнянням Пфаффа.
При n = 2 це рівняння знайоме нам. Тепер ми
зробимо це в загальному випадку. Ставлячи кожній точці х0
D у відповідність гіперплощину
Р(х0) : а1(х0)(х1 - х01) + ... + аn(х0) (хn - х0n) = 0, (2)
ортогональну до вектора аn(х0), рівняння (1) задає в
області D поле гіперплощин Р. Природно
сформулювати задачу про відшукання k-вимірної (k ≤ n - 1) інтегральної поверхні поля Р,
тобто такої поверхні, яка в кожній своїй точці х0 дотикається
відповідної гіперплощини Р(х0). Про таку поверхню можна також
сказати, що вона ортогональна до векторного поля а(х). Для k -вимірної поверхні, заданої
параметричними рівняннями
х = х(s), х(s)
С1 (D → D),
де D - область у Rk, умова інтегральності
виражається тотожністю a(x(s))dx(s) ≡ 0.
Основою для рівняння Пфаффа є задача відшукання інтегральних
поверхонь максимально можливої вимірності k = n - 1.
Виникає завдання про знаходження сімейства поверхонь U (x, y, z) = c, ортогональних до
векторних ліній. Рівняння таких поверхонь має вигляд (F• t) = 0. Де t - віктор, що лежить в дотичній площині до
шуканих поверхонь:
t = i dx + j dy + k dz,
бо в розгорнутому вигляді
Р (х, у, z) dx + Q (x, у, z) dy + R (x, у, z) dz = 0. (3)
Рівняння вигляду (3) називаються рівняннями Пфаффа.
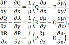
Якщо поле F = Pi+Qj+Rk потенційне:
F = grad U, тобто
то шуканими поверхнями є поверхні рівня U (x, y, z) = c з потенційною
функції U. В цьому випадку знаходження шуканих
поверхонь не становить труднощів, оскільки
де криволінійний інтеграл береться на будь-якому шляху між обраною фіксованою точкою (x0, y0, z0) і точкою зі змінними координатами (х, у, z), наприклад, по ламаній, що
складається з прямолінійних відрізків, паралельних осям координат.
Якщо ж поле F не потенційне, то в деяких випадках можна підібрати скалярний множник µ(х, у, z), після множення на який вектора F поле стає
потенційним.
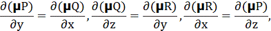
Якщо такий множник існує, то µ F = grad U або
Примножуючи перше з цих тотожностей на R, друге на P,
третє на Q і складаючи почленно всі три
тотожності, отримаємо необхідну
умову існування інтегруючого множника µ:
Якщо ця умова, яка називається
умовою повної інтегровності рівняння (3), не виконується, то не існує сімейства поверхностей U (x, y, z) = c, ортогональних векторним лініям поля F (x, у, z).
Дійсно, якщо б таке сімейство U (x, y, z) = c існувало, то ліва частина рівняння (3) могла б відрізнятися від
лише деяким множником µ(x, у, z), який і був би інтегровним множником рівняння (3).
Отже, для існування сімейства поверхонь U (x, y, z) = c,
ортогональних векторним лініям
векторного поля F, необхідно, щоб
вектори F і rot F були б ортогональні, тобто (F• rot F) = 0.
ЗАУВАЖЕННЯ
Умова (F• rot F) = 0 називається також умовою інтегровності рівняння Пфаффа
Р dx + Q dy + R dz = 0 одним співвідношенням U (x, y, z) = c.
Іноді потрібно визначити не поверхні, ортогональні векторним лініям поля F, а
лінії, що володіють тією ж властивістю,
іншими словами, треба проінтегрувати рівняння Пфаффа не одним, а двома
співвідношеннями:
U1 (x, y, z) = 0 та U2 (x, y, z) = 0. (4)
Для знаходження таких ліній можна одне з рівнянь (4) задати довільно, наприклад
U1
(x, y, z) = 0, (5)
і, виключивши з рівняння (3) за
допомогою рівняння (5) одну з змінних, наприклад z, отримаємо
диференціальне рівнянняння виду
М (х, y) dx + N (x, y) dy = 0,
інтегруючи яке, знайдемо шукані лінії на довільно обраній поверхні U1 (x, y, z) = 0.
Покажемо, що умова (F • rot F) = 0 є не тільки необхідним, але і
достатнім для існування сімейства поверхностей, ортогональних векторним лініям.
Зауважимо, що на шуканих поверхнях U (x, y, z) = c
повинно обертатися в тотожність рівняння
Р dx + Q dy + R dz = 0
або, що те ж саме, на цих поверхнях криволінійний інтеграл
(6)
має дорівнювати нулю по будь-якому шляху (в тому числі і по незамкнутим шляхам).
Розглянемо всілякі вихрові поверхні, тобто векторні поверхні поля rot F. Очевидно, що в силу теореми Стокса
де dr = i dx + j dy + k dz, і інтеграл (6) по будь-якому замкнутому шляху
на вихровий поверхні дорівнює нулю (так як скалярний добуток одиничного вектора нормалі до поверхні n і
вектора rot F дорівнює нулю). Виберемо тепер серед вихрових поверхонь ті, на яких всі інтеграли

Р dx + Q dy + R dz = 0 , (3)
до якого додано рівняння довільної поверхні z=f (x, у), що проходить через
точку М (найчастіше рівняння цієї поповерхні беруть у вигляді z = f1 (x) або z = f2 (y) або навіть у вигляді z = a, де а - константа). Підставляючи z = f (x, у) в (3), отримаємо звичайне
рівняння виду
М (х, y) dx + N (x, y) dy = 0,
інтегруючи
яке і враховуючи початкову умову у (х0) = у0, отримаємо шукану криву l, що проходить через точку М (x0, y0, z0) і ортогональну векторним лініям (рис. 1).
Якщо ця лінія не є лінією вихору, то, проводячи через кажну точку лінії l лінію вихору, отримаємо шукану поверхню S, ортогональну
векторним лініям поля F.
Дійсно, взявши будь-яку
незамкнену криву l на поверхні S (рис. 1) і провівши через її граничні точки вихрові лінії до перетину з кривою l
в точках р1 і р2, отримаємо замкнутий контур, що складається з відрізка
лінії l між точками р1
і р2, кривої l і двох
вихрових ліній.
Криволінійний інтеграл
. Взятий з цього замкнутого контуру С, дорівнює нулю, так як
контур лежить на вихровій поверхні, причому той же інтеграл,
узятий на відрізку дуги l, і по відрізках вихрових ліній дорівнює нулю, так як
дуга l і вихрові лінії ортогональні векторним лініях поля F (вихрові лінії ортогональні векторним лініях поля F в силу умови (F • rot F) = 0). Отже, інтеграл
по довільно
обраному нами незамкнутому шляху l дорівнює нулю, тобто поверхня S є
інтегральною поверхнею рівняння (3), що
проходить через задану точку М.
Цей метод доказу достатності
умови (F • rot F) = 0 для існування сімейства поверхонь, ортогональних
векторним лініям поля F, одночасно вказує шлях,
правда не найкоротший, для знаходження цих поверхонь.
ПРИКЛАД 1
z dx + (x - y) dy + zy dz = 0.
Умова (F • rot F) = 0, де F = zi + (x -y)j + yzk, не виконується, отже, дане рівняння не інтегрується одним співвідношенням.
ПРИКЛАД 2
(6x + yz) dx + (xz - 2у) dy + (ху + 2z)
dz = 0.F ≡ 0, де F = (6x +
yz) i + (xz - 2y) j + (xy + 2z) k, то F =
grad U, де
.
В якості шляху інтегрування вибираємо ламану,
ланки якої паралельні осям координат. Інтегруючи, отримуємо U =
3x2 - y2 + z2 + xyz, і
отже, шуканим інтегралом є 3x2 - y2 + z2 + xyz =
с.
2.
Цілком інтегровані рівняння Пфаффа
ОЗНАЧЕННЯ 1
Рівняння (1) називають цілком інтегрованим, якщо через кожну
точку області D проходить інтегральна
гіперповерхня (тобто (п - 1)-вимірна інтегральна поверхня) поля Р.
Як нам уже відомо, при n = 2 кожне рівняння Пфаффа є цілком інтегрованим. Цього, однак, уже не
можна стверджувати при n ≥
3.
Найпростішим прикладом цілком інтегрованого рівняння Пфаффа є
рівняння в повних диференціалах, яке характеризується тим, що форма ω є точною, тобто існує
функція U(х)
С2 (D → R) така, що
ω = dU (7)
[Зрозуміло, що точній формі ω
відповідає
потенціальне векторне поле а(х) = gгad U(х).] У
цьому випадку область D розшаровується інтегральними гіперповерхнями
Mc :={x
D : U(x) = с} (8)
- поверхнями
рівня функції U(х) (стала с пробігає область значень функції U(х).
Навпаки, припустимо, що для довільної точки х0
D у деякому її околі В(х0)
існує функція U(х)
C2(D → R) з ненульовим градієнтом, поверхні
рівня якої є інтегральними для поля Р, а отже, ортогональними до векторного
поля а. Легко бачити, що тоді вектори grad U(x) та а(х) будуть колінеарними кожному х
D. А це, своєю чергою, означає, що в
околі точки х0 для форми ω існує інтегрувальний множник, тобто
функція µ :
D → R \ {0}, яка має властивість
µω = dU. (9)
Із невиродженості форми ω випливає, що функція µ
неперервно дифе-ренційовна.
Зрозуміло, що рівняння Пфаффа, для якого існує інтегрувальний
множник, цілком інтегроване, причому, знаючи інтегрувальний множник, ми зможемо
виписати й рівняння інтегральних поверхонь (принаймні локально).
Далі, якщо для форми
µω := b(х) dx ≡ b1(х) dx1 + ... + bn(x)
dxn
виконується рівність (9), то з урахуванням рівностей
,
i, j = 1, …, n дістаємо умови на коефіцієнти bi :
, i, j = 1, ..., n. (10)
ОЗНАЧЕННЯ 2
Форму b(x) dx, для якої умови (10) виконуються в кожній точці х
D, називають замкненою формою в області D.
Відомо, що в разі виконання умов (10) криволінійний інтеграл
, принаймні в околі точки х0, не залежить від конкретного вибору шляху γ(х0, х), який
сполучає х0 з х і цілком лежить в околі точки х0. Даний
інтеграл і визначає функцію U(х), яка рівностями (8) задає інтегральні поверхні рівняння (1). Таку
функцію назвемо інтегралом рівняння Пфаффа.
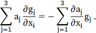
Знайдемо необхідні умови існування інтегрувального множника.
При bі = µаi як наслідок (13) маємо
За допомогою визначників цю рівність можна подати у вигляді
(11)
Оскільки всі мінори третього порядку матриці
дорівнюють нулю, то з огляду на рівності (11) таку саму
властивість має й символічна матриця
(12)
Щоб переконатися в цьому, достатньо розкласти будь-які два
відповідних мінори таких матриць за їх першими рядками.
Виявляється, знайдена умова є не лише необхідною, а й
достатньою.
ТЕОРЕМА (ФРОБЕНІУСА)
Для того щоб рівняння (1) було цілком інтегрованим, необхідно
й достатньо, щоб усі мінори третього порядку матриці (12) перетворювалися в
нуль в області D.
Доведення цієї теореми для n = 3 буде наведено в п.
4. У цьому
випадку умова теореми Фробеніуса набирає вигляду
a(x) rot a(x) = 0 (13)
і означає, що векторне поле а(х) ортогональне до свого
ротора.
.
Інтегральні криві рівняння Пфаффа
Для рівняння (1) завжди можна побудувати одновимірні
«інтегральні поверхні», тобто інтегральні криві. При n = З це можна зробити таким чином.
Візьмемо довільну точку х0
D. У деякому її околі B(х0) завжди можна визначити двічі неперервно диференційовну функцію F: В(х0) → R, для якої grad F(x) був би неколінеарний вектору а(х). Тоді система
(14)
визначає поле напрямів у B(х0). Це поле напрямів можна задати деякою
системою в симетричній формі
, (15)
якій відповідає автономна система
= f(х). (16)
Векторне поле f = (f1, f2, f3) з точністю до множника визначається
умовою: вектор f(x) ортогональний до векторів а(x) та grad F(x). Наприклад, можна покласти
f(x) := | а(x), grad F(х) |, (17)
де | ∙,
∙ | - операція векторного добутку в R3.
Інтегральні криві системи (15) [фазові криві системи (16)] будуть інтегральними кривими
системи (14), а отже, рівняння (1).
Зауважимо, що система (14) має очевидний перший інтеграл F. Тому її вимірність можна знизити на одиницю.
Припустимо, наприклад, що а3(х0) ≠
0. Нехай F = F (х1, х2) - довільна двічі
неперервно диференційовна в околі точки (х01, х02)
функція, яка в цьому околі задовольняє умову невиродженості
і F(х01,х02)=0. На площині х1Ох2 рівняння
F (х1, х2) = 0. (18)
визначає криву γ, яка проходить через точку
(х01, х02). У просторі R3 воно визначає циліндричну поверхню S із напрямною γ і твірними, паралельними осі
Ох3. Зрозуміло, що вектори а(х) та gгad F(х)
неколінеарні в деякому околі точки х0. Тоді існує єдина інтегральна крива
Г : х = ξ(s), s
I (19)
системи (17), яка лежить на поверхні S і проходить через точку х0.
Для відшукання цієї кривої потрібно рівняння (18) розв'язати
відносно однієї зі змінних і результат підставити в рівняння (1). Дістанемо рівняння Пфаффа на
площині. Якщо, наприклад, із (18) можна
виразити змінну х2 через х1, так що х2 = φ(х1) (х02
= φ
(х01)),
то рівняння на площині х1Ох3 матиме вигляд
.
Звичайно, функцію F слід намагатися вибирати так, щоб це рівняння легко розв'язувалося.
Знайшовши його інтегральну криву х1 = ξ1(s), х3 =
ξ3(s), яка проходить через точку (х01, х02), дістанемо
рівняння кривої (19), в якому ξ(s)= (ξ1(s),φ(ξ1(s)), ξ1(s)). Вона водночас є фазовою кривою автономної системи (19), де f(x) визначено формулою (17).
ПРИКЛАД 3
, (20)
де R - газова стала, Сѵ - теплоємність газу при сталому
об'ємі, Ср = Сѵ+АR - теплоємність газу при
сталому тиску, А - стала (термічний еквівалент роботи).
Для даного випадку умова теореми Фробеніуса не виконується:
.
Тому рівняння (20) не є цілком інтегрованим. Із фізичного
погляду не означає, що теплова енергія газу не є функцією його стану, який
визначається значеннями V, р. Тепло, котре поглинається (виділяється) під час
деякого процесу - переходу зі стану (V0, р0) у стан (V, р), залежить від кривої γ, що сполучає точки x0 та x, і зображується криволінійним
інтегралом
Наприклад, крива, вздовж якої виконується рівність
, (21)
забезпечує адіабатичний процес (W = const). Із рівняння (21) після відокремлення змінних дістаємо формулу
Пуассона для адіабати:
, де С - довільна стала.
Якщо скористатися формулою Клапейрона рV = RТ, де Т - абсолютна температура газу, й домножити обидві частини рівняння (20) на 1/T, то побачимо, що
Тому криволінійний інтеграл
не залежить від шляху інтегрування, який сполучає точку (V0, р0) зі змінною точкою
(V, р). Цей інтеграл визначає ентропію - фізичну величину, яка вже є функцією
стану газу.
4.
Цілком інтегровані рівняння Пфаффа в R3
Нехай n = З, а форма ω задовольняє умову (13). Покажемо, що через кожну точку х0 = (х01, х02, х03)
D можна провести інтегральну поверхню
рівняння (1), і притому лише одну. Спосіб
побудови цієї поверхні нагадує конструкцію розв'язку задачі Коші для рівняння з
частинними похідними й передбачає такі кроки.
• Знаходимо інтегральну криву Г : х = ξ(s), s
I рівняння Пфаффа, яка проходить через точку х0.
• Задаємо в D векторне поле g(x)
С1 (D → R3 ) так, щоб воно було ортогональне до векторного поля а(х), тобто
задовольняло умову
a(x)g(x) = 0, (22)
і не дотикалося кривої Г у жодній її точці. Зокрема, якщо для кожного s
I вектори ξ'(s) і rot a(ξ(s)) неколінеарні, то можна
покласти
g(x) = rot a(x).
Поле g(х) бажано вибирати так, щоб
система
= g(х) (23)
була інтегровною.
• З кожної точки кривої Г випускаємо фазову криву
системи (23) і таким чином утворюємо поверхню MГ, яка проходить через цю криву (рис.
2, а).
Виявляється, мг
і є шуканою інтегральною поверхнею рівняння Пфаффа. Точніше, якщо
позначити через χ(t, s) розв'язок системи (23), який
задовольняє початкову умову χ(0, s) = ξ(s), то для деякого δ > 0 рівняння
x = χ (t, s), t ∈
(-δ, δ), s ∈ (s0
- δ, s0 + δ) (24)
визначають (локальну) інтегральну поверхню рівняння Пфаффа (1), яка проходить через точку х0.
Множина (24) справді є поверхнею. Цей факт випливає з
міркувань, наведених у доведенні теореми існування розв'язку задачі Коші для
квазілінійного рівняння з частинними похідними першого порядку. Отже, для
обґрунтування сформульованого алгоритму залишається переконатися в тому, що
Для цього виведемо диференціальні рівняння, які описують
зміну в часі t коефіцієнтів при ds і dt форми
. Маємо
(25)
З (22) знаходимо
Оскільки виконуються умови (13) та (22), то векторне поле
колінеарне векторному полю а. Тому знайдеться така функція ρ(х), що
Це й є шукане рівняння для
. Розв'язавши його, дістанемо
Оскільки Г є інтегральною кривою рівняння Пфаффа, то
а тому й
. Таким чином, рівняння (24) справді визначають інтегральну поверхню рівняння (1).
Доведемо її єдиність. Нехай, навпаки, існують дві інтегральні
поверхні S1, та S2 рівняння (1), які проходять через
точку х0 і не збігаються в будь-якому о колі цієї точки. Вони мають
спільну дотичну площину П, Ортогональну до вектора а(х0). Уведемо в R3 нову декартову прямокутну систему
координат (х, у, z) із
початком О у точці х0 так, щоб площина хОу збігалася з П, а вісь Оz була спрямована вздовж вектора a(x0). Тоді кожна поверхня S1 (i= 1, 2) в околі точки О буде графіком
деякої неперервно диференційовної функції z = fi (х, у). Згідно з припущенням для як
завгодно малого е > 0 існує
точка (хе, уе) така, що |хе| + |уе|
< е і f1(хе, уе) ≠
f2(хе, уе).
Покладемо f= уеx - хеy. Рівняння f= 0 визначає площину, яка
проходить через точки (хе, уе, f1(хе, уе)) і
перетинає поверхні S1 та S2 по двох різних кривих Г1
та Г2.
Повернемося до старих координат. Кожна з кривих Г1 та Г2 проходить через
точку x0 і є інтегральною кривою системи (14). Для останньої існує лише одна інтегральна крива, яка проходить через
точку x0. Ця суперечність доводить
єдиність інтегральної поверхні, яка проходить через задану точку.
ПРИКЛАД 4
Розглянемо рівняння
(2yz + Зх) dx + xz dy + ху dz = 0. (26)
Уданому випадку а(х, у, z) = (2yz + 3х, xz, ху). Оскільки rot а(х, у, z) = (0, у, -z), то умова (16) виконується.
Знайдемо інтегральні криві рівняння (29), які лежать у
площині
F
y=1.
На ній рівняння (29) набирає вигляду
(2z + 3х) dх + х dz = 0.
Це лінійне відносно z рівняння легко інтегрується, і ми дістаємо сім'ю
інтегральних кривих рівняння (29), які лежать у площині y=1:
(27)
Тепер побудуємо векторне поле g так, щоб воно не лежало в площині у =
1, задовольняло умову аg = 0 і систему
= g(х) можна було легко
зінтегрувати. Зручно покласти g(x, у, z)
rot а(х, у, z) = (0, у, -z). Відповідна система в симетричній формі має вигляд
Її загальний інтеграл
yz = c1, х = с2. (28)
Тепер для того щоб утворити поверхню з інтегральних кривих
сім'ї (28), які для фіксованого с виходять із точок кривої (27), робимо так
само, як і під час розв'язування задачі Коші для рівняння з частинними
похідними: підставляємо (27) у (28), виключаємо змінну х, в одержаному
співвідношенні
, заміняємо с1, с2 лівими частинами
рівностей (28). Остаточно дістаємо рівняння сім'ї інтегральних поверхонь
рівняння (26):
х2уz + x3 = с.
Звідси, зокрема, випливає, що інтегрувальним множником форми
(2yz + Зх) dx + xz dy + ху dz є функція µ = х.
Висновки
Розбудова теорії звичайних диференціальних рівнянь триває вже
понад три століття. Сьогодні ця математична дисципліна являє собою
багаторівневу систему знань із розгалуженою внутрішньою структурою,
різноманітними зв'язками з іншими розділами математики, розвинутим понятійним
апаратом, потужним арсеналом аналітичних, геометричних та чисельних методів.
Коло проблем, які досліджує теорія диференціальних рівнянь,
невпинно розширюється. Зараз у ній можна виділити близько двадцяти великих
розділів. Згідно з класифікаційною системою провідних реферативних математичних
журналів загальне число тематичних напрямів (рубрик), які безпосередньо
стосуються теорії звичайних диференціальних рівнянь, перевищує півтори сотні й
продовжує зростати. Можна також налічити кілька десятків рубрик, які
відображають зв'язки цієї теорії з іншими математичними дисциплінами. І тому
навіть лаконічні огляди її здобутків за останні десятиліття нерідко виливаються
в багатотомні видання.
Диференціальні рівняння широко використовуються на практиці,
зокрема для опису перехідних процесів.
Основою для рівняння Пфаффа є задача відшукання інтегральних
поверхонь максимально можливої вимірності k = n - 1.
Виникає завдання про знаходження сімейства поверхонь U (x, y, z) = c, ортогональних до
векторних ліній.
ДОДАТОК
ЗАДАЧА 1
Знайти поверхню, що задовольняє рівняння Пфаффа:
Розв’язок:
Оскільки (F• rot F) = z - 2x + y і функція z = 2x - y не є розв’язком даного рівняння, то
воно не може бути про інтегровано одним співвідношенням. Про інтегруємо його
двома співвідношеннями, беручи, наприклад, z = x + y. Тоді отримаємо рівняння
dx - dy = 0,
Таким чином, одно параметричне сімейство прямих
x = t, y = t + C1, z = 2t + C1
задовольняє дане рівняння.
ЗАДАЧА 2
Знайти поверхню, що задовольняє рівняння Пфаффа:
Розв’язок:
F = (3yz, 2xz, xy).
Так як
rot F = -ix + 2jk - kz та (F• rot F) = 0,
то дане рівняння інтегрується одним співвідношенням. Таким
чином, існує множник µ =
µ(x, y, z) такий, що rot µF = 0, тобто поле µF потенційне. Звідси, для множника µ маємо рівняння:

Інтегруючи перше рівняння, отримуємо загальний розв’язок:
µ = yφ(x,ξ), ξ = yz2.
Підставляючи отримане значення µ у друге рівняння, маємо:
звідки знаходимо
φ = x2ψ(x3y2z4).
µ = yx2ψ(η), η = x3y2z4.
Залишається знайти ψ. Для цього скористаємося
третім рівнянням. Маємо
-9x5y3z4 ψ'(η) = 0,
звідси
ψ(η) = C.
Таким чином
µ= yx2
(нехай С рівне одиниці). Помноживши почленно дане рівняння на
yx2, отримуємо рівняння
x2y2zdx + 2x3yzdy + x3y2dz = 0,
ліва частина якого є повний диференціал функції
, яку ми знайдемо вичисливши
криволінійний інтеграл
Таким чином,
x3y2z = C
є шуканий інтеграл даного рівняння.
ЗАДАЧА 3
Знайти поверхню, що задовольняє рівняння Пфаффа:
Розв’язок:
Так як (F• rot F) = z + x - y2 ≠ 0, то дане рівняння не може
бути проінтегроване одним співвідношенням. Значить, залишається перевірити, чи
буде функція z = y2 - xy розв’язком цього рівняння.
Вичисливши dz = 2ydy - xdy - ydx й підставивши значення z і dz в рівняння, отримаємо тотожність.
Отже, поверхня
z = y2 - xy
є єдиною, яка ортогональна полю F = (z + xy, -z, -z - y2, y).
Список літератури
1. А. К. Боярчук,
Г.П.Головач - дифференциальные уравнения в примерах
и задачах. Справочное пособие по высшей
математике. Т. 5 М.: Эдиториал УРСС, 2010. - 384 с.
2. Вестник
самгу - Естественнонаучная серия. 2010. № 2(76)
3. Диригивцев
А. Я. Математичний аналіз: У 2 ч. - К.: Либідь, 1994. -Ч. І. - 320 с.
4. Диференціальні
рівняння / І. 1. Ляшко, О. К. Боярчук, Я. Г. Гай та ін. - К.: Виша шк. Головне вид-во, 1981. - 504 с.
5. Диференціальні
рівняння: Підручник / А. М. Самойленко, М. О. Перестюк, І. О. Парасюк. - 2-ге
вид., перероб. І дон. - К.: Либідь, 2007. - 600с.
6. Лаерешок
С. //. Курс диференціальних
рівнянь. - Львів: Вид-во паук.-техн. л-ри. 2009. - 216 с.
7. Филиппов
А. Ф. - Сборник задач по дифференциальным
уравнениям. - Ижевск: НИЦ «Регулярная и хаотическая динамика», 2000, 176 с.
8. Эльсгольц
Л.Э. - Дифференциальные уравнения и вариационное исчисление - М.: Наука , 1969.
- 425с.